Physiographic Controls on Landfast Ice Variability from 20 Years of Maximum Extents across the Northwest Canadian Arctic
Abstract
1. Introduction
2. Materials and Methods
2.1. Study Area
2.2. Data Availability and Preprocessing
2.3. MLIE Mapping
2.4. Analysis of Dynamic Controls on MLIE
3. Results
3.1. Spatial and Temporal Pattern Variability of Maximum Landfast Ice Extent
3.2. Static Controls—Topographic Setting and Bathymetry
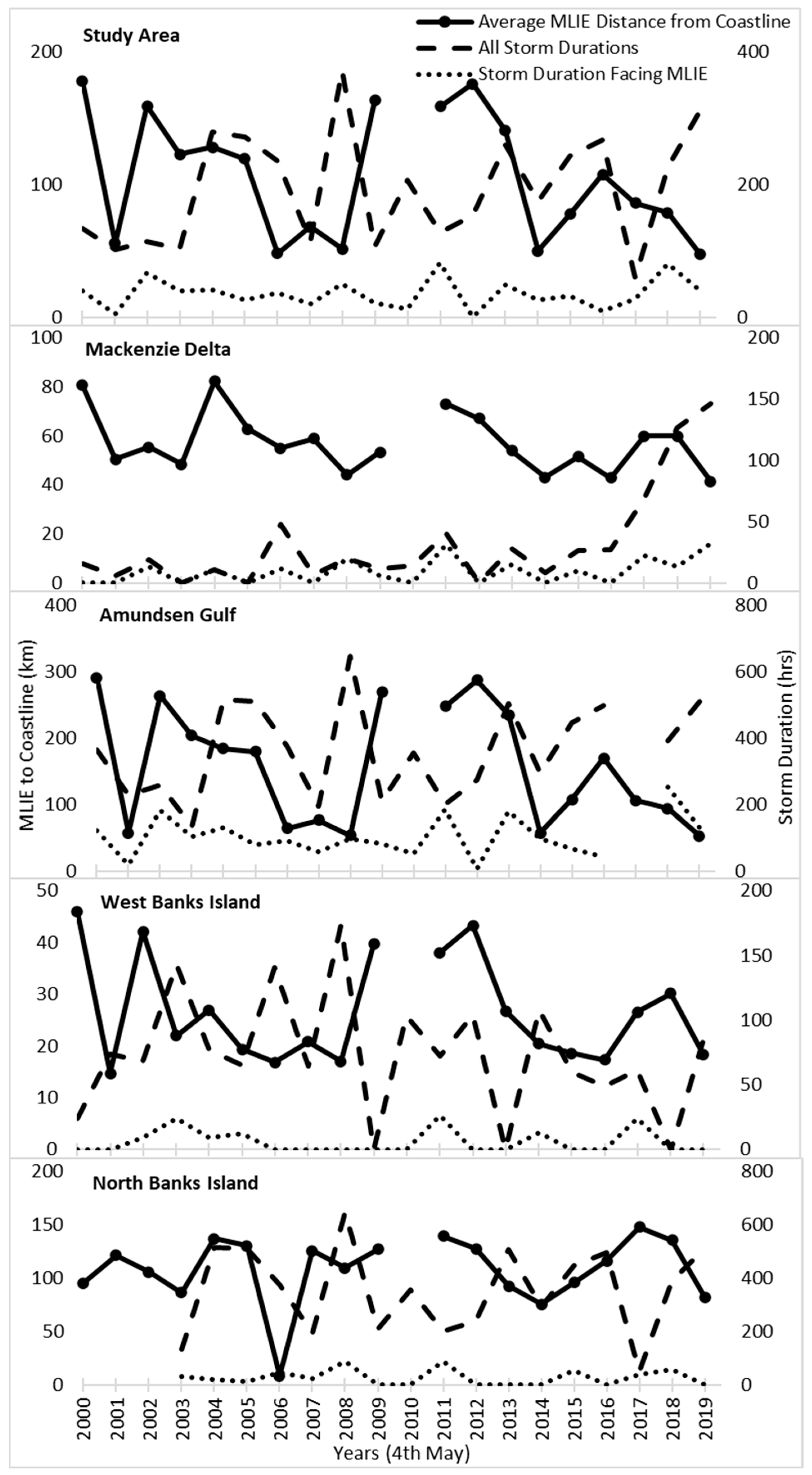
3.3. Dynamic Controls—Storm Duration, Mean Air Temperature, Freezing and Thawing Degree Day Occurrence
4. Discussion
4.1. Importance of Differentiating between Sea Ice and Landfast Ice
4.2. Inuit Community Reliance on and Vulnerability to Landfast Ice Variability
4.3. Appropriate Spatiotemporal Metrics and Scales for Landfast Ice Studies
5. Conclusions
Author Contributions
Funding
Data Availability Statement
Acknowledgments
Conflicts of Interest
References
- Li, Z.; Zhao, J.; Su, J.; Li, C.; Cheng, B.; Hui, F.; Yang, Q.; Shi, L. Spatial and Temporal Variations in the Extent and Thickness of Arctic Landfast Ice. Remote Sens. 2020, 12, 64. [Google Scholar] [CrossRef]
- Maslanik, J.; Stroeve, J.; Fowler, C.; Emery, W. Distribution and trends in Arctic sea ice age through spring 2011. Geophys. Res. Lett. 2011, 38, L13502. [Google Scholar] [CrossRef]
- Barry, R.G.; Moritz, R.E.; Rogers, J.C. The fast ice regimes of the Beaufort and Chukchi Sea coasts, Alaska. Cold Reg. Sci. Technol. 1979, 1, 129–152. [Google Scholar] [CrossRef]
- Petrich, C.; Eicken, H.; Zhang, J.; Krieger, J.; Fukamachi, Y.; Ohshima, K.I. Coastal landfast sea ice decay and breakup in northern Alaska: Key processes and seasonal prediction. J. Geophys. Res. Ocean 2012, 117, C02003. [Google Scholar] [CrossRef]
- Mahoney, A.R.; Eicken, H.; Gaylord, A.G.; Gens, R. Landfast sea ice extent in the Chukchi and Beaufort Seas: The annual cycle and decadal variability. Cold Reg. Sci. Technol. 2014, 103, 41–56. [Google Scholar] [CrossRef]
- Lantuit, H.; Pollard, W.H. Fifty years of coastal erosion and retrogressive thaw slump activity on Herschel Island, southern Beaufort Sea, Yukon Territory, Canada. Geomorphology 2008, 95, 84–102. [Google Scholar] [CrossRef]
- Yu, Y.; Stern, H.; Fowler, C.; Fetterer, F.; Maslanik, J. Interannual Variability of Arctic Landfast Ice between 1976 and 2007. J. Clim. 2014, 27, 227–243. [Google Scholar] [CrossRef]
- Lemieux, J.-F.; Tremblay, L.B.; Dupont, F.; Plante, M.; Smith, G.C.; Dumont, D. A basal stress parameterization for modeling landfast ice. J. Geophys. Res. Ocean 2015, 120, 3157–3173. [Google Scholar] [CrossRef]
- Cooley, S.W.; Ryan, J.C.; Smith, L.C.; Horvat, C.; Pearson, B.; Dale, B.; Lynch, A.H. Coldest Canadian Arctic communities face greatest reductions in shorefast sea ice. Nat. Clim. Chang. 2020, 10, 533–538. [Google Scholar] [CrossRef]
- Dammann, D.O.; Eriksson, L.E.B.; Mahoney, A.R.; Eicken, H.; Meyer, F.J. Mapping pan-Arctic landfast sea ice stability using Sentinel-1 interferometry. Cryosphere 2019, 13, 557–577. [Google Scholar] [CrossRef]
- Jensen, D.; Mahoney, A.; Resler, L. The annual cycle of landfast ice in the eastern Bering Sea. Cold Reg. Sci. Technol. 2020, 174, 103059. [Google Scholar] [CrossRef]
- Overeem, I.; Anderson, R.S.; Wobus, C.W.; Clow, G.D.; Urban, F.E.; Matell, N. Sea ice loss enhances wave action at the Arctic coast. Geophys. Res. Lett. 2011, 38, L17503. [Google Scholar] [CrossRef]
- Markus, T.; Stroeve, J.C.; Miller, J. Recent changes in Arctic sea ice melt onset, freezeup, and melt season length. J. Geophys. Res. 2009, 114, C12024. [Google Scholar] [CrossRef]
- Divine, D.V.; Korsnes, R.; Makshtas, A.P. Temporal and spatial variation of shore-fast ice in the Kara Sea. Cont. Shelf Res. 2004, 24, 1717–1736. [Google Scholar] [CrossRef]
- Nghiem, S.V.; Hall, D.K.; Rigor, I.G.; Li, P.; Neumann, G. Effects of Mackenzie River discharge and bathymetry on sea ice in the Beaufort Sea. Geophys. Res. Lett. 2014, 41, 873–879. [Google Scholar] [CrossRef]
- Shestov, A.S.; Marchenko, A.V. Thermodynamic consolidation of ice ridge keels in water at varying freezing points. Cold Reg. Sci. Technol. 2016, 121, 1–10. [Google Scholar] [CrossRef]
- Mahoney, A.; Eicken, H.; Gaylord, A.G.; Shapiro, L. Alaska landfast sea ice: Links with bathymetry and atmospheric circulation. J. Geophys. Res. Ocean 2007, 112, C02001. [Google Scholar] [CrossRef]
- Trishchenko, A.P.; Luo, Y. Landfast Ice Mapping Using MODIS Clear-Sky Composites: Application for the Banks Island Coastline in Beaufort Sea and Comparison with Canadian Ice Service Data. Can. J. Remote Sens. 2021, 47, 143–158. [Google Scholar] [CrossRef]
- Haas, C.; Dierking, W.; Busche, T.; Hölemann, J. Envisat ASAR monitoring of polynya processes and sea ice production in the Laptev Sea. In Proceedings of the 2004 Envisat & ERS Symposium (ESA SP-572), Salzburg, Austria, 6–10 September 2004. [Google Scholar]
- Wadhams, P. Ice in the Ocean; CRC Press: London, UK, 2014. [Google Scholar] [CrossRef]
- Candlish, L.M.; Iacozza, J.; Lukovich, J.V.; Horton, B.; Barber, D.G. Sea ice climatology in the Canadian Western Arctic: Thermodynamic versus dynamic controls. Int. J. Climatol. 2015, 35, 1867–1880. [Google Scholar] [CrossRef]
- Lemieux, J.-F.; Lei, J.; Dupont, F.; Roy, F.; Losch, M.; Lique, C.; Laliberté, F. The Impact of Tides on Simulated Landfast Ice in a Pan-Arctic Ice-Ocean Model. J. Geophys. Res. Ocean 2018, 123, 7747–7762. [Google Scholar] [CrossRef]
- Frederick, J.M.; Thomas, M.A.; Bull, D.L.; Jones, C.A.; Roberts, J.D. The Arctic Coastal Erosion Problem; U.S. Department of Energy, Office of Scientific and Technical Information: Washington, DC, USA, 2016. [CrossRef]
- Stewart, E.J.; Howell, S.E.L.; Draper, D.; Yackel, J.; Tivy, A. Sea Ice in Canada’s Arctic: Implications for Cruise Tourism. ARCTIC 2007, 60, 370–380. [Google Scholar] [CrossRef]
- Gignac, C.; Bernier, M.; Chokmani, K.; Poulin, J. IceMap250—Automatic 250 m Sea Ice Extent Mapping Using MODIS Data. Remote Sens. 2017, 9, 70. [Google Scholar] [CrossRef]
- Jones, B.M.; Arp, C.D.; Jorgenson, M.T.; Hinkel, K.M.; Schmutz, J.A.; Flint, P.L. Increase in the rate and uniformity of coastline erosion in Arctic Alaska. Geophys. Res. Lett. 2009, 36, L03503. [Google Scholar] [CrossRef]
- Overduin, P.P.; Strzelecki, M.C.; Grigoriev, M.N.; Couture, N.; Lantuit, H.; St-Hilaire-Gravel, D.; Günther, F.; Wetterich, S. Coastal changes in the Arctic. Geol. Soc. London Spec. Publ. 2014, 388, 103–129. [Google Scholar] [CrossRef]
- Croasdale, K.; Frederking, R.; Jordaan, I.; Noble, P. Engineering in Canada’s Northern Oceans; Research and Strategies for Development—A Report for the Canadian Academy of Engineering; Canadian Academy of Engineering: Ottawa, ON, Canada, 2016; ISBN 9781928194026. [Google Scholar]
- Ford, J.D.; Clark, D.; Pearce, T.; Berrang-Ford, L.; Copland, L.; Dawson, J.; New, M.; Harper, S.L. Changing access to ice, land and water in Arctic communities. Nat. Clim. Chang. 2019, 9, 335–339. [Google Scholar] [CrossRef]
- Barber, D.G.M.J. The International Polar Year (IPY) Circumpolar Flaw Lead (CFL) System Study: A Focus on Fast Ice Edge Systems—NASA/ADS. Available online: https://ui.adsabs.harvard.edu/abs/2009AGUFM.C53B..04B/abstract (accessed on 29 October 2021).
- Laidre, K.L.; Stirling, I.; Lowry, L.F.; Wiig, Ø.; Heide-Jørgensen, M.P.; Ferguson, S.H. Quantifying the sensitivity of arctic marine mammals to climate-induced habitat change. Ecol. Appl. 2008, 18, S97–S125. [Google Scholar] [CrossRef] [PubMed]
- Burn, C.R. Herschel Island (Qikiqtaryuk), Yukon’s Arctic Island; Springer: Berlin/Heidelberg, Germany, 2017; pp. 335–348. [Google Scholar] [CrossRef]
- Nagy, M. Reinterpreting the First Human Occupations of Ivujivik (Nunavik, Canada). Arct. Anthropol. 2018, 55, 17–43. [Google Scholar] [CrossRef]
- Burek, K.A.; Gulland, F.M.D.; O’Hara, T.M. Effects of climate change on arctic marine mammal health. Ecol. Appl. 2008, 18, S126–S134. [Google Scholar] [CrossRef]
- Kovacs, K. Circumpolar Ringed Seal (Pusa hispida) Monitoring: CAFF’s Ringed Seal Monitoring Network; Rapportserie 143; Norsk Polar Institute: Tromsø, Norway, 2014; 48p. [Google Scholar]
- Fawcett, D.; Pearce, T.; Notaina, R.; Ford, J.D.; Collings, P. Inuit adaptability to changing environmental conditions over an 11-year period in Ulukhaktok, Northwest Territories. Polar Rec. (Gr. Brit.) 2018, 54, 119–132. [Google Scholar] [CrossRef]
- NWT Bureau of Statistics. 2018 Engaged in Traditional Activities. Available online: https://www.statsnwt.ca/Traditional%20Activities/ (accessed on 22 February 2021).
- Dumas, J.A.; Flato, G.M.; Brown, R.D. Future Projections of Landfast Ice Thickness and Duration in the Canadian Arctic. J. Clim. 2006, 19, 5175–5189. [Google Scholar] [CrossRef][Green Version]
- Lim, M.; Whalen, D.; Martin, J.; Mann, P.J.; Hayes, S.; Fraser, P.; Berry, H.B.; Ouellette, D. Massive Ice Control on Permafrost Coast Erosion and Sensitivity. Geophys. Res. Lett. 2020, 47, e2020GL087917. [Google Scholar] [CrossRef]
- Waseda, T.; Webb, A.; Sato, K.; Inoue, J.; Kohout, A.; Penrose, B.; Penrose, S. Correlated Increase of High Ocean Waves and Winds in the Ice-Free Waters of the Arctic Ocean. Sci. Rep. 2018, 8, 4489. [Google Scholar] [CrossRef] [PubMed]
- Abbott, B.W.; Jones, J.B.; Godsey, S.E.; Larouche, J.R.; Bowden, W.B. Patterns and persistence of hydrologic carbon and nutrient export from collapsing upland permafrost. Biogeosciences 2015, 12, 3725–3740. [Google Scholar] [CrossRef]
- Couture, N.J.; Irrgang, A.; Pollard, W.; Lantuit, H.; Fritz, M. Coastal Erosion of Permafrost Soils along the Yukon Coastal Plain and Fluxes of Organic Carbon to the Canadian Beaufort Sea. J. Geophys. Res. Biogeosci. 2018, 123, 406–422. [Google Scholar] [CrossRef]
- Cunliffe, A.M.; Tanski, G.; Radosavljevic, B.; Palmer, W.F.; Sachs, T.; Lantuit, H.; Kerby, J.T.; Myers-Smith, I.H. Rapid retreat of permafrost coastline observed with aerial drone photogrammetry. Cryosphere 2019, 13, 1513–1528. [Google Scholar] [CrossRef]
- Tanski, G.; Wagner, D.; Knoblauch, C.; Fritz, M.; Sachs, T.; Lantuit, H. Rapid CO2 Release from Eroding Permafrost in Seawater. Geophys. Res. Lett. 2019, 46, 11244–11252. [Google Scholar] [CrossRef]
- Turetsky, M.R.; Abbott, B.W.; Jones, M.C.; Walter Anthony, K.; Olefeldt, D.; Schuur, E.A.G.; Koven, C.; McGuire, A.D.; Grosse, G.; Kuhry, P.; et al. Permafrost collapse is accelerating carbon release. Nature 2019, 569, 32–34. [Google Scholar] [CrossRef]
- Shokr, M.; Sinha, N.K. Sea Ice: Physics and Remote Sensing—Google Books. Available online: https://books.google.co.uk/books?hl=en&lr=&id=GnNuBwAAQBAJ&oi=fnd&pg=PR3&dq=+Sea+ice:+physics+and+remote+sensing+shokra+and+sinha+2015&ots=TZLDaYkeb2&sig=-BXbJeR73hovHOneUGcSGFMW-xs&redir_esc=y#v=onepage&q&f=false (accessed on 9 November 2021).
- Drüe, C.; Heinemann, G. High-resolution maps of the sea-ice concentration from MODIS satellite data. Geophys. Res. Lett. 2004, 31, L20403. [Google Scholar] [CrossRef]
- Rees, W.G. Remote Sensing of Snow and Ice, 1st ed.; GIS, Remote Sensing and Cartography: Boca Raton, FL, USA, 2006. [Google Scholar]
- Su, H.; Wang, Y. Using MODIS data to estimate sea ice thickness in the Bohai Sea (China) in the 2009–2010 winter. J. Geophys. Res. Ocean 2012, 117, 10018. [Google Scholar] [CrossRef]
- Su, H.; Wang, Y.; Xiao, J.; Li, L. Improving MODIS sea ice detectability using gray level co-occurrence matrix texture analysis method: A case study in the Bohai Sea. ISPRS J. Photogramm. Remote Sens. 2013, 85, 13–20. [Google Scholar] [CrossRef]
- Cooley, S.W.; Pavelsky, T.M. Spatial and temporal patterns in Arctic river ice breakup revealed by automated ice detection from MODIS imagery. Remote Sens. Environ. 2016, 175, 310–322. [Google Scholar] [CrossRef]
- Trishchenko, A.P.; Kostylev, V.; Luo, Y.; Ungureanu, C.; Whalen, D.; Li, J. Landfast ice properties over the Beaufort Sea region in 2000-2019 from MODIS and Canadian Ice Service data. Can. J. Earth Sci. 2021, 99, 1–19. [Google Scholar] [CrossRef]
- Grid, G. GEBCO_2021 Grid. Available online: https://www.gebco.net/data_and_products/gridded_bathymetry_data/gebco_2021/?msclkid=80d07261b1ba11eca8680daf2522feb1 (accessed on 12 December 2021).
- MacClenahan, P.; McKenna, J.; Cooper, J.A.G.; O’Kane, B. Identification of highest magnitude coastal storm events over Western Ireland on the basis of wind speed and duration thresholds. Int. J. Climatol. 2001, 21, 829–842. [Google Scholar] [CrossRef]
- Hudak, D.R.; Young, J.M.C. Storm climatology of the Southern Beaufort sea. Atmos.-Ocean 2002, 40, 145–158. [Google Scholar] [CrossRef]
- Atkinson, D.E. Observed storminess patterns and trends in the circum-Arctic coastal regime. Geo-Mar. Lett. 2005, 25, 98–109. [Google Scholar] [CrossRef]
- Serreze, M.C.; Meier, W.N. The Arctic’s sea ice cover: Trends, variability, predictability, and comparisons to the Antarctic. Ann. N. Y. Acad. Sci. 2019, 1436, 36–53. [Google Scholar] [CrossRef] [PubMed]
- Stroeve, J.; Notz, D. Changing state of Arctic sea ice across all seasons. Environ. Res. Lett. 2018, 13, 103001. [Google Scholar] [CrossRef]
- Cavalieri, D.J.; Parkinson, C.L. Arctic sea ice variability and trends, 1979–2010. Cryosphere 2012, 6, 881–889. [Google Scholar] [CrossRef]
- Parkinson, C.L.; Cavalieri, D.J.; Gloersen, P.; Zwally, H.J.; Comiso, J.C. Arctic sea ice extents, areas, and trends, 1978–1996. J. Geophys. Res. Ocean 1999, 104, 20837–20856. [Google Scholar] [CrossRef]
- Vinnikov, K.Y.; Cavalieri, D.J.; Parkinson, C.L. A model assessment of satellite observed trends in polar sea ice extents. Geophys. Res. Lett. 2006, 33, L05704. [Google Scholar] [CrossRef]
- Meier, W.N.; Stroeve, J.; Fetterer, F. Whither Arctic sea ice? A clear signal of decline regionally, seasonally and extending beyond the satellite record. Ann. Glaciol. 2007, 46, 428–434. [Google Scholar] [CrossRef]
- Parkinson, C.L.; Cavalieri, D.J. Arctic sea ice variability and trends, 1979–2006. J. Geophys. Res. Ocean 2008, 113, C07003. [Google Scholar] [CrossRef]
- Stroeve, J.; Holland, M.M.; Meier, W.; Scambos, T.; Serreze, M. Arctic sea ice decline: Faster than forecast. Geophys. Res. Lett. 2007, 34, L09501. [Google Scholar] [CrossRef]
- Comiso, J.C.; Parkinson, C.L.; Gersten, R.; Stock, L. Accelerated decline in the Arctic sea ice cover. Geophys. Res. Lett. 2008, 35, L01703. [Google Scholar] [CrossRef]
- Zhang, J.; Lindsay, R.; Schweiger, A.; Steele, M. The impact of an intense summer cyclone on 2012 Arctic sea ice retreat. Geophys. Res. Lett. 2013, 40, 720–726. [Google Scholar] [CrossRef]
- Parkinson, C.L.; Comiso, J.C. On the 2012 record low Arctic sea ice cover: Combined impact of preconditioning and an August storm. Geophys. Res. Lett. 2013, 40, 1356–1361. [Google Scholar] [CrossRef]
- Wang, Q.; Danilov, S.; Mu, L.; Sidorenko, D.; Wekerle, C. Lasting impact of winds on Arctic sea ice through the ocean’s memory. Cryosphere 2021, 15, 4703–4725. [Google Scholar] [CrossRef]
- Ukita, J.; Honda, M.; Nakamura, H.; Tachibana, Y.; Cavalieri, D.J.; Parkinson, C.L.; Koide, H.; Yamamoto, K. Northern Hemisphere sea ice variability: Lag structure and its implications. Tellus A Dyn. Meteorol. Oceanogr. 2016, 59, 261–272. [Google Scholar] [CrossRef]
- Deser, C.; Walsh, J.; Timlin, M. Arctic sea ice variability in the context of recent atmospheric circulation trends. trends. J. Clim. 2020, 13, 617–633. [Google Scholar] [CrossRef]
- Ding, Q.; Schweiger, A.; L’Heureux, M.; Battisti, D.S.; Po-Chedley, S.; Johnson, N.C.; Blanchard-Wrigglesworth, E.; Harnos, K.; Zhang, Q.; Eastman, R.; et al. Influence of high-latitude atmospheric circulation changes on summertime Arctic sea ice. Nat. Clim. Chang. 2017, 7, 289–295. [Google Scholar] [CrossRef]
- Olonscheck, D.; Mauritsen, T.; Notz, D. Arctic sea-ice variability is primarily driven by atmospheric temperature fluctuations. Nat. Geosci. 2019, 12, 430–434. [Google Scholar] [CrossRef]
- Flato, G.M.; Brown, R.D. Variability and climate sensitivity of landfast Arctic sea ice. J. Geophys. Res. Ocean 1996, 101, 25767–25777. [Google Scholar] [CrossRef]
- Howell, S.E.L.; Laliberté, F.; Kwok, R.; Derksen, C.; King, J. Landfast ice thickness in the Canadian Arctic Archipelago from observations and models. Cryosphere 2016, 10, 1463–1475. [Google Scholar] [CrossRef]
- Ford, J.D.; McDowell, G.; Shirley, J.; Pitre, M.; Siewierski, R.; Gough, W.; Duerden, F.; Pearce, T.; Adams, P.; Statham, S. The Dynamic Multiscale Nature of Climate Change Vulnerability: An Inuit Harvesting Example. Ann. Assoc. Am. Geogr. 2013, 103, 1193–1211. [Google Scholar] [CrossRef]
- Arctic Monitoring and Assessment Programm. Adaptation Actions for a Changing Arctic: Perspectives from the Bering-Chukchi-Beaufort Region; AMAP: Oslo, Norway, 2017. [Google Scholar]
- Ford, J.D.; Couture, N.; Bell, T.; Clark, D.G. Climate change and Canada’s north coast: Research trends, progress, and future directions. Environ. Rev. 2017, 26, 82–92. [Google Scholar] [CrossRef]
- Archer, L.; Ford, J.D.; Pearce, T.; Kowal, S.; Gough, W.A.; Allurut, M. Longitudinal assessment of climate vulnerability: A case study from the Canadian Arctic. Sustain. Sci. 2016, 12, 15–29. [Google Scholar] [CrossRef]
- Lamontagne-Cumiford, M. The End of the Road: An Ethnographic Account of Tourism along the Inuvik-Tuktoyaktuk Highway. Econ. Anthropol. 2017, 4, 7–21. [Google Scholar] [CrossRef]
- Divine, L.M.; Pearce, T.; Ford, J.; Solovyev, B.; Galappaththi, E.K.; Bluhm, B.; Kaiser, B.A. Protecting the future Arctic. One Earth 2021, 4, 1649–1651. [Google Scholar] [CrossRef]
- Baztan, J.; Cordier, M.; Huctin, J.M.; Zhu, Z.; Vanderlinden, J.P. Life on thin ice: Insights from Uummannaq, Greenland for connecting climate science with Arctic communities. Polar Sci. 2017, 13, 100–108. [Google Scholar] [CrossRef]
- Karvonen, J. Estimation of Arctic land-fast ice cover based on dual-polarized Sentinel-1 SAR imagery. Cryosphere 2018, 12, 2595–2607. [Google Scholar] [CrossRef]






| MLIE % Variability Compared to Average MLIE Over Study Period | |||||
|---|---|---|---|---|---|
| Year | Study Area | Mackenzie Delta | Amundsen Gulf | West Banks Island | North Banks Island |
| 2000 | 67 | 41 | 84 | 73 | −12 |
| 2001 | −47 | −12 | −64 | −45 | 12 |
| 2002 | 50 | −3 | 67 | 59 | −3 |
| 2003 | 16 | −15 | 29 | −17 | −20 |
| 2004 | 20 | 44 | 16 | 1 | 26 |
| 2005 | 12 | 10 | 14 | −27 | 20 |
| 2006 | −54 | −4 | −59 | −37 | −92 |
| 2007 | −36 | 3 | −52 | −22 | 16 |
| 2008 | −51 | −23 | −66 | −36 | 1 |
| 2009 | 54 | −7 | 71 | 49 | 17 |
| 2010 | - | - | - | - | - |
| 2011 | 50 | 28 | 57 | 43 | 29 |
| 2012 | 66 | 18 | 82 | 63 | 18 |
| 2013 | 32 | −5 | 49 | 1 | −15 |
| 2014 | −53 | −25 | −64 | −23 | −30 |
| 2015 | −27 | −10 | −32 | −30 | −11 |
| 2016 | 1 | −25 | 7 | −35 | 7 |
| 2017 | −19 | 5 | −33 | 0 | 36 |
| 2018 | −26 | 5 | −41 | 14 | 25 |
| 2019 | −55 | −27 | −67 | −31 | −24 |
Publisher’s Note: MDPI stays neutral with regard to jurisdictional claims in published maps and institutional affiliations. |
© 2022 by the authors. Licensee MDPI, Basel, Switzerland. This article is an open access article distributed under the terms and conditions of the Creative Commons Attribution (CC BY) license (https://creativecommons.org/licenses/by/4.0/).
Share and Cite
Wratten, E.E.; Cooley, S.W.; Mann, P.J.; Whalen, D.; Fraser, P.; Lim, M. Physiographic Controls on Landfast Ice Variability from 20 Years of Maximum Extents across the Northwest Canadian Arctic. Remote Sens. 2022, 14, 2175. https://doi.org/10.3390/rs14092175
Wratten EE, Cooley SW, Mann PJ, Whalen D, Fraser P, Lim M. Physiographic Controls on Landfast Ice Variability from 20 Years of Maximum Extents across the Northwest Canadian Arctic. Remote Sensing. 2022; 14(9):2175. https://doi.org/10.3390/rs14092175
Chicago/Turabian StyleWratten, Eleanor E., Sarah W. Cooley, Paul J. Mann, Dustin Whalen, Paul Fraser, and Michael Lim. 2022. "Physiographic Controls on Landfast Ice Variability from 20 Years of Maximum Extents across the Northwest Canadian Arctic" Remote Sensing 14, no. 9: 2175. https://doi.org/10.3390/rs14092175
APA StyleWratten, E. E., Cooley, S. W., Mann, P. J., Whalen, D., Fraser, P., & Lim, M. (2022). Physiographic Controls on Landfast Ice Variability from 20 Years of Maximum Extents across the Northwest Canadian Arctic. Remote Sensing, 14(9), 2175. https://doi.org/10.3390/rs14092175

