Analysis of the Differences in Internal Solitary Wave Characteristics Retrieved from Synthetic Aperture Radar Images under Different Background Environments in the Northern South China Sea
Abstract
1. Introduction
2. Data and Methods
2.1. Two SAR-Observed ISW Fronts in the Distinct Oceanic Environment
2.2. Theoretical Model Analysis
3. Results and Discussion
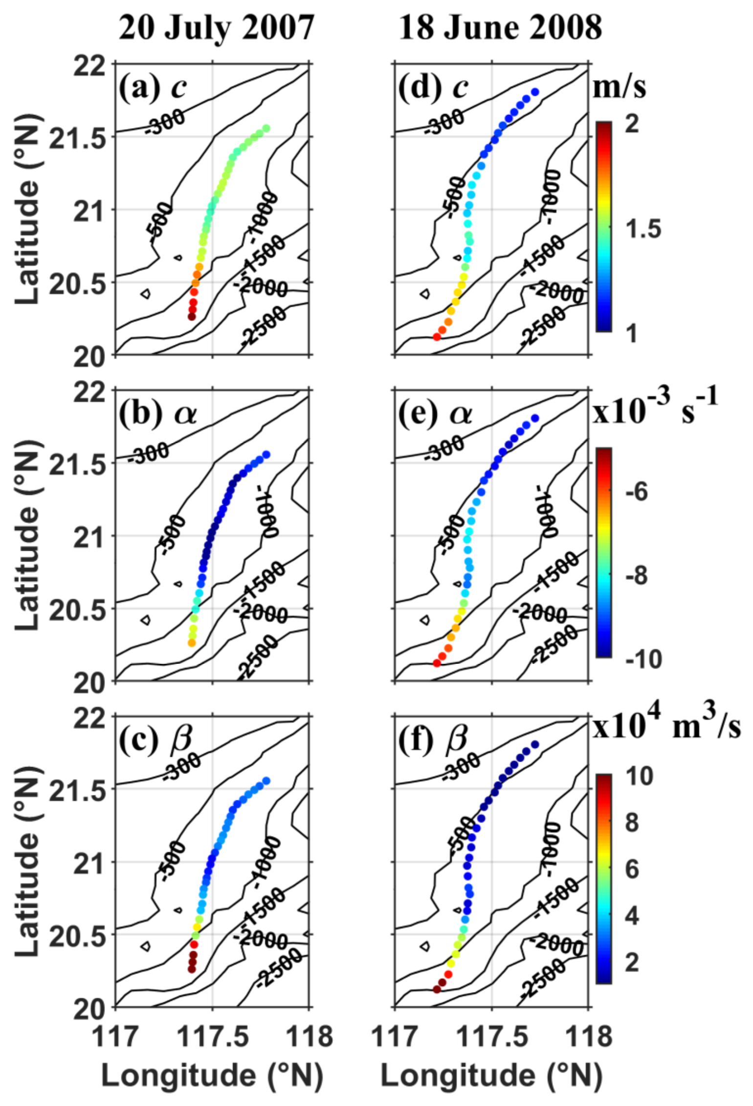
3.1. Environment Parameters of ISWs
3.2. Amplitude of ISWs
4. Conclusions
5. Prospects
Author Contributions
Funding
Data Availability Statement
Acknowledgments
Conflicts of Interest
References
- Cai, S.; Xie, J.; He, J. An overview of internal solitary waves in the South China Sea. Surv. Geophys. 2012, 33, 927–943. [Google Scholar] [CrossRef]
- Osborne, A.R.; Burch, T.L. Internal solitons in the Andaman Sea. Science 1980, 208, 451–460. [Google Scholar] [CrossRef] [PubMed]
- Apel, J.R.; Holbrook, J.R.; Liu, A.K.; Tsai, J.J. The Sulu Sea internal soliton experiment. J. Phys. Oceanogr. 1985, 15, 1625–1651. [Google Scholar] [CrossRef]
- Guo, C.; Chen, X. A review of internal solitary wave dynamics in the northern South China Sea. Prog. Oceanogr. 2014, 121, 7–23. [Google Scholar] [CrossRef]
- Alford, M.H.; Peacock, T.; MacKinnon, J.A.; Nash, J.D.; Buijsman, M.C.; Centurioni, L.R.; Chao, S.Y.; Chang, M.H.; Farmer, D.M.; Fringer, O.B.; et al. The formation and fate of internal waves in the South China Sea. Nature 2015, 521, 65–69. [Google Scholar] [CrossRef]
- La Forgia, G.; Cavaliere, D.; Adduce, C.; Falcini, F. Mixing Efficiency for Breaking Internal Solitary Waves. J. Geophys. Res. Oceans 2021, 126, 2169–9275. [Google Scholar] [CrossRef]
- Du, H.; Wang, S.-D.; Wang, X.-L.; Xu, J.-N.; Guo, H.-L.; Wei, G. Experimental investigation of elevation internal solitary wave propagation over a ridge. Phys. Fluids 2021, 33, 042108. [Google Scholar] [CrossRef]
- Peng, P.; Du, H.; Wei, G.; Wang, S.; Xuan, P.; Cai, S.; Xie, J. Experimental Investigation on the Vertical Structure Characteristics of Internal Solitary Waves. J. Mar. Sci. Eng. 2022, 10, 1045. [Google Scholar] [CrossRef]
- Wang, S.; Du, H.; Wei, G.; Peng, P.; Xuan, P. Experimental modification of the internal solitary wave force exerted on a horizontal transverse cylinder due to wave-flow and vortex shedding. Ocean Eng. 2023, 269, 113513. [Google Scholar] [CrossRef]
- Huang, X.; Chen, Z.; Zhao, W.; Zhang, Z.; Zhou, C.; Yang, Q.; Tian, J. An extreme internal solitary wave event observed in the northern South China Sea. Sci. Rep. 2016, 6, 30041. [Google Scholar] [CrossRef]
- Rong, L.; Xiong, X.; Chen, L. Assessment of KdV and EKdV theories for simulating internal solitary waves in the continental slope of the South China Sea. Cont. Shelf Res. 2023, 256, 104944. [Google Scholar] [CrossRef]
- Xie, J.; Fang, W.; He, Y.; Chen, Z.; Liu, G.; Gong, Y.; Cai, S. Variation of Internal Solitary Wave Propagation Induced by the Typical Oceanic Circulation Patterns in the Northern South China Sea Deep Basin. Geophys. Res. Lett. 2021, 48, e2021GL093969. [Google Scholar] [CrossRef]
- Zhang, P.; Xu, Z.; Li, Q.; You, J.; Yin, B.; Robertson, R.; Zheng, Q. Numerical simulations of internal solitary wave evolution beneath an ice keel. J. Geophys. Res. Oceans 2022, 127, e2020JC017068. [Google Scholar] [CrossRef]
- Li, Q.; Farmer, D. The generation and evolution of nonlinear internal waves in the deep basin of the South China Sea. J. Phys. Oceanogr. 2011, 41, 1345–1363. [Google Scholar] [CrossRef]
- Xu, Z.; Liu, K.; Yin, B.; Zhao, Z.; Wang, Y.; Li, Q. Long-range propagation and associated variability of internal tides in the South China Sea. J. Geophys. Res. Oceans 2016, 121, 8268–8286. [Google Scholar] [CrossRef]
- Pan, J.; David, A.; Lin, H. Determining azimuthal variations in frontal Froude number from SAR imagery. Geophys. Res. Lett. 2009, 36, 0094-8276. [Google Scholar] [CrossRef]
- Magalhaes, J.M.; Lapa, I.G.; Santos-Ferreira, A.M.; da Silva, J.C.B.; Piras, F.; Moreau, T.; Amraoui, S.; Passaro, M.; Schwatke, C.; Hart-Davis, M.; et al. Using a Tandem Flight Configuration between Sentinel-6 and Jason-3 to Compare SAR and Conventional Altimeters in Sea Surface Signatures of Internal Solitary Waves. Remote Sens. 2023, 15, 392. [Google Scholar] [CrossRef]
- Kozlov, I.E.; Atadzhanova, O.A.; Zimin, A.V. Internal Solitary Waves in the White Sea: Hot-Spots, Structure, and Kinematics from Multi-Sensor Observations. Remote Sens. 2022, 14, 4948. [Google Scholar] [CrossRef]
- Jackson, C.R.; Da Silva, J.C.B.; Jeans, G.; Alpers, W.; Caruso, M.J. Nonlinear internal waves in synthetic aperture radar imagery. Oceanography 2013, 26, 68–79. [Google Scholar] [CrossRef]
- Alpers, W. Theory of radar imaging of internal waves. Nature 1985, 314, 245–247. [Google Scholar] [CrossRef]
- Romeiser, R.; Graber, H.C. Advanced remote sensing of internal waves by spaceborne along-track InSAR-A demonstration with TerraSAR-X. IEEE Trans. Geosci. Remote Sens. 2015, 53, 6735–6751. [Google Scholar] [CrossRef]
- Xie, H.; Xu, Q.; Zheng, Q.; Xiong, X.; Ye, X.; Cheng, Y. Assessment of theoretical approaches to derivation of internal solitary wave parameters from multi-satellite images near the Dongsha Atoll of the South China Sea. Acta Oceanol. Sin. 2022, 41, 137–145. [Google Scholar] [CrossRef]
- Zheng, Q.; Yuan, Y.; Klemas, V.; Yan, X. Theoretical expression for an ocean internal soliton synthetic aperture radar image and determination of the soliton characteristic half width. J. Geophys. Res. Oceans 2001, 106, 31415–31423. [Google Scholar] [CrossRef]
- Pan, J.; Jay, D.A.; Orton, P.M. Analyses of internal solitary waves generated at the Columbia River plume front using SAR imagery. J. Geophys. Res. Oceans 2007, 112, 2169–9275. [Google Scholar] [CrossRef]
- Benjamin, T.B. Internal waves of finite amplitude and permanent form. J. Fluid Mech. 1966, 25, 241–270. [Google Scholar] [CrossRef]
- Benney, D.J. Long non-linear waves in fluid flows. J. Math Phys. 1966, 45, 52–63. [Google Scholar] [CrossRef]
- Kubota, T.; Ko, D.R.S.; Dobbs, L. Propagation of weakly nonlinear internal waves in a stratified fluid of finite depth. J. Hydronaut. 1978, 12, 157–165. [Google Scholar] [CrossRef]
- Joseph, R.I. Solitary waves in a finite depth fluid. J. Phys. A Math. Gen. 1977, 10, L225–L227. [Google Scholar] [CrossRef]
- Benjamin, T.B. Internal waves of permanent form in fluids of great depth. J. Fluid Mech. 1967, 29, 559–592. [Google Scholar] [CrossRef]
- Ono, H. Algebraic solitary waves in stratified fluids. J. Phys. Soc. Jpn. 1975, 39, 1082–1091. [Google Scholar] [CrossRef]
- Koop, C.G.; Butler, G. An investigation of internal solitary waves in a two-fluid system. J. Fluid. Mech. 1981, 112, 225–251. [Google Scholar] [CrossRef]
- Wang, C.; Wang, X.; Da Silva, J.C.B. Studies of internal waves in the strait of Georgia based on remote sensing images. Remote Sens. 2019, 11, 96. [Google Scholar] [CrossRef]
- Chen, L.; Zheng, Q.; Xiong, X.; Yuan, Y.; Xie, H.; Guo, Y.; Yu, L.; Yun, S. Dynamic and statistical features of internal solitary waves on the continental slope in the northern South China Sea derived from mooring observations. J. Geophys. Res. Oceans 2019, 124, 4078–4097. [Google Scholar] [CrossRef]
- Klymak, J.M.; Pinkel, R.; Liu, C.-T.; Liu, A.K.; David, L. Prototypical solitons in the South China Sea. Geophys. Res. Lett. 2006, 33, L11607. [Google Scholar] [CrossRef]
- Alford, M.H.; Lien, R.C.; Simmons, H.; Klymak, J.; Ramp, S.; Yang, Y.J.; Tang, D.; Chang, M.H. Speed and evolution of nonlinear internal waves transiting the South China Sea. J. Phys. Oceanogr. 2010, 40, 1338–1355. [Google Scholar] [CrossRef]
- Liu, A.K.; Ramp, S.R.; Zhao, Y.; Tang, T.Y. A case study of internal solitary wave propagation during ASIAEX 2001. IEEE J. Ocean. Eng. 2004, 29, 1144–1156. [Google Scholar] [CrossRef]
- Zhao, Z.; Klemas, V.; Zheng, Q.; Li, X.; Yan, X.H. Estimating parameters of a two-layer stratified ocean from polarity conversion of internal solitary waves observed in satellite SAR images. Remote Sens. Environ. 2004, 92, 276–287. [Google Scholar] [CrossRef]
- Zheng, Q.; Susanto, R.D.; Ho, C.-R.; Song, Y.T.; Xu, Q. Statistical and dynamical analyses of generation mechanisms of solitary internal waves in the northern South China Sea. J. Geophys. Res. Oceans 2007, 112, C03021. [Google Scholar] [CrossRef]
- Jia, T.; Liang, J.; Li, X.-M.; Fan, K. Retrieval of Internal Solitary Wave Amplitude in Shallow Water by Tandem Spaceborne SAR. Remote Sens. 2019, 11, 1706. [Google Scholar] [CrossRef]
- Xue, J.; Graber, H.C.; Lund, B.; Romeiser, R. Amplitudes estimation of large internal solitary waves in the Mid-Atlantic Bight using synthetic aperture radar and marine X-band radar images. IEEE Trans. Geosci. Remote Sens. 2013, 51, 3250–3258. [Google Scholar] [CrossRef]
- Chen, G.-Y.; Wu, C.-L.; Wang, Y.-H. Interface depth used in a two-layer model of nonlinear internal waves. J. Oceanogr. 2014, 70, 329–342. [Google Scholar] [CrossRef]
- Liu, A.K.; Benny, D.J. The evolution of non-linear wave-trains in stratified shear flows. Stud. Appl. Math. 1981, 64, 247–269. [Google Scholar] [CrossRef]
- Tung, K.K.; Ko, D.R.S.; Chang, J.J. Weakly non-linear internal waves in shear. Stud. Appl. Math. 1981, 65, 189–221. [Google Scholar] [CrossRef]
- Stastna, M.; Lamb, K.G. Large fully nonlinear internal solitary waves: The effect of background current. Phys. Fluids 2002, 14, 2987–2999. [Google Scholar] [CrossRef]
- Liu, A.K.; Holbrook, J.R.; Apel, J.R. Nonlinear internal wave evolution in the Sulu Sea. J. Phys. Oceanogr. 1985, 15, 1613–1624. [Google Scholar] [CrossRef]
- Pan, J.; Jay, D.A. Effects of ambient velocity shear on nonlinear internal wave associated mixing at the Columbia River plume front. J. Geophys. Res. Oceans 2009, 114, 2169–9275. [Google Scholar] [CrossRef]
- Xie, J.; He, Y.; Lu, H.; Chen, Z.; Xu, J.; Cai, S. Distortion and broadening of internal solitary wavefront in the northeastern South China Sea deep basin. Geophys. Res. Lett. 2016, 43, 7617–7624. [Google Scholar] [CrossRef]
- Wang, J.; Huang, W.; Yang, J.; Zhang, H.; Zheng, G. Study of the propagation direction of the internal waves in the South China Sea using satellite images. Acta Oceanol. Sin. 2012, 32, 42–50. [Google Scholar] [CrossRef]
- Park, J.H.; Farmer, D. Effects of Kuroshio intrusions on nonlinear internal waves in the South China Sea during winter. J. Geophys. Res. Oceans 2013, 118, 7081–7094. [Google Scholar] [CrossRef]
- Li, Q.; Wang, B.; Chen, X.; Chen, X.; Park, J. Variability of nonlinear internal waves in the South China Sea affected by the Kuroshio and mesoscale eddies. J. Geophys. Res. Oceans 2016, 121, 2098–2118. [Google Scholar] [CrossRef]
- Wang, P.; Wang, X.Q.; Chong, J.S.; Lu, Y.L. Optimal Parameter Estimation Method of Internal Solitary Waves in SAR Images and the Crame’r-Rao Bound. IEEE Trans. Geosci. Remote Sens. 2016, 54, 3143–3150. [Google Scholar] [CrossRef]
- Small, J.; Hallock, Z.; Pavey, G.; Scott, J. Observations of large amplitude internal waves at the Malin Shelf edge during SESAME 1995. Cont. Shelf. Res. 1999, 19, 1389–1436. [Google Scholar] [CrossRef]
- Liao, G.; Xu, X.; Liang, C.; Dong, C.; Zhou, B.; Ding, T.; Huang, W.; Xu, D. Analysis of kinematic parameters of Internal Solitary Waves in the Northern South China Sea. Deep Sea Res. Part I Oceanogr. Res. Pap. 2014, 94, 159–172. [Google Scholar] [CrossRef]
- Zhao, Z.; Klemas, V.V.; Zheng, Q.; Yan, X.-H. Satellite observation of internal solitary waves converting polarity. Geophys. Res. Lett. 2003, 30, 1988. [Google Scholar] [CrossRef]
- Zhao, Z.; Klemas, V.; Zheng, Q.; Yan, X.-H. Remote sensing evidence for baroclinic tide origin of internal solitary waves in the northeastern South China Sea. Geophys. Res. Lett. 2004, 31, 0094–8276. [Google Scholar] [CrossRef]
- Jackson, C.R. An empirical model for estimating the geographic location of nonlinear internal solitary waves. J. Atmos. Ocean Technol. 2009, 26, 2243–2255. [Google Scholar] [CrossRef]
- Xu, Z.; Yin, B.; Hou, Y.; Liu, A.K. Seasonal variability and north–south asymmetry of internal tides in the deep basin west of the Luzon Strait. J. Mar. Syst. 2014, 134, 101–112. [Google Scholar] [CrossRef]
- Ramp, S.R.; Park, J.-H.; Yang, Y.; Bahr, F.L.; Jeon, C. Latitudinal structure of solitons in the South China Sea. J. Phys. Oceanogr. 2019, 49, 1747–1767. [Google Scholar] [CrossRef]
- Yang, Y.; Huang, X.; Zhou, C.; Zhang, Z.; Zhao, W.; Tian, J. Three-dimensional structures of internal solitary waves in the northern south China sea revealed by mooring array observations. Prog. Oceanogr. 2022, 209, 102907. [Google Scholar] [CrossRef]
- Lien, R.C.; Tang, T.Y.; Chang, M.H.; D’Asaro, E.A. Energy of nonlinear internal waves in the South China Sea. Geophys. Res. Lett. 2005, 32, L05615. [Google Scholar] [CrossRef]
- Jia, T.; Liang, J.; Li, X.-M.; Sha, J. SAR Observation and numerical simulation of internal solitary wave refraction and reconnection behind the Dongsha Atoll. J. Geophys. Res. Oceans 2018, 123, 74–89. [Google Scholar] [CrossRef]
- Li, X.; Jackson, C.R.; Pichel, W.G. Internal solitary wave refraction at Dongsha Atoll, South China Sea. Geophys. Res. Lett. 2013, 40, 3128–3132. [Google Scholar] [CrossRef]
- Xie, J.; He, Y.; Chen, Z.; Xu, J.; Cai, S. Simulations of internal solitary wave interactions with mesoscale eddies in the northeastern South China Sea. J. Phys. Oceanogr. 2015, 45, 2959–2978. [Google Scholar] [CrossRef]
- Huang, X.D.; Wang, Z.Y.; Zhang, Z.W.; Yang, Y.C.; Zhou, C.; Yang, Q.X.; Zhao, W.; Tian, J.W. Role of mesoscale eddies in modulating the semidiurnal internal tide: Observation results in the northern South China sea. J. Phys. Oceanogr. 2018, 48, 1749–1770. [Google Scholar] [CrossRef]
- Zhang, Z.; Fringer, O.B.; Ramp, S.R. Three dimensional, nonhydrostatic numerical simulation of nonlinear internal wave generation and propagation in the South China Sea. J. Geophys. Res. Oceans 2011, 116, C05022. [Google Scholar] [CrossRef]













Disclaimer/Publisher’s Note: The statements, opinions and data contained in all publications are solely those of the individual author(s) and contributor(s) and not of MDPI and/or the editor(s). MDPI and/or the editor(s) disclaim responsibility for any injury to people or property resulting from any ideas, methods, instructions or products referred to in the content. |
© 2023 by the authors. Licensee MDPI, Basel, Switzerland. This article is an open access article distributed under the terms and conditions of the Creative Commons Attribution (CC BY) license (https://creativecommons.org/licenses/by/4.0/).
Share and Cite
Peng, P.; Xie, J.; Du, H.; Wang, S.; Xuan, P.; Wang, G.; Wei, G.; Cai, S. Analysis of the Differences in Internal Solitary Wave Characteristics Retrieved from Synthetic Aperture Radar Images under Different Background Environments in the Northern South China Sea. Remote Sens. 2023, 15, 3624. https://doi.org/10.3390/rs15143624
Peng P, Xie J, Du H, Wang S, Xuan P, Wang G, Wei G, Cai S. Analysis of the Differences in Internal Solitary Wave Characteristics Retrieved from Synthetic Aperture Radar Images under Different Background Environments in the Northern South China Sea. Remote Sensing. 2023; 15(14):3624. https://doi.org/10.3390/rs15143624
Chicago/Turabian StylePeng, Pai, Jieshuo Xie, Hui Du, Shaodong Wang, Pu Xuan, Guanjing Wang, Gang Wei, and Shuqun Cai. 2023. "Analysis of the Differences in Internal Solitary Wave Characteristics Retrieved from Synthetic Aperture Radar Images under Different Background Environments in the Northern South China Sea" Remote Sensing 15, no. 14: 3624. https://doi.org/10.3390/rs15143624
APA StylePeng, P., Xie, J., Du, H., Wang, S., Xuan, P., Wang, G., Wei, G., & Cai, S. (2023). Analysis of the Differences in Internal Solitary Wave Characteristics Retrieved from Synthetic Aperture Radar Images under Different Background Environments in the Northern South China Sea. Remote Sensing, 15(14), 3624. https://doi.org/10.3390/rs15143624

