Revealing the Kinematic Characteristics and Tectonic Implications of a Buried Fault through the Joint Inversion of GPS and Strong-Motion Data: The Case of the 2022 Mw7.0 Taiwan Earthquake
Abstract
:1. Introduction
2. Data and Methods
2.1. Processing of the Strong-Motion Data
2.2. GPS Data Processing
2.3. Coseismic Deformation Field
3. Result
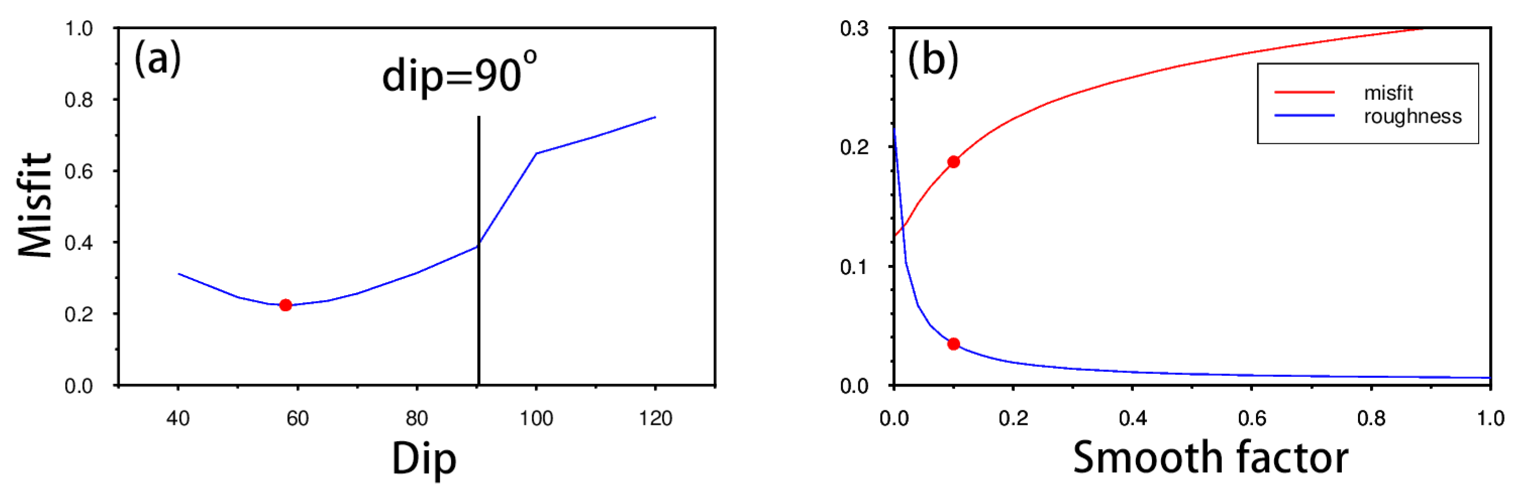
3.1. Inversion Method
3.2. Slip Distribution
4. Discussion
4.1. Slip Distribution Resolution of the 2022 Mw7.0 Earthquake
4.2. Seismogenic Structure Analysis
4.3. Characteristics of the Central Range Fault Movement and Strain Partitioning Pattern in the LVFZ
4.4. Insights from Construction
5. Conclusions
Author Contributions
Funding
Data Availability Statement
Conflicts of Interest
References
- Toda, S.; Stein, R. Taiwan Earthquake Sequence May Signal Future Shocks. Temblor. 2022. Available online: https://temblor.net/earthquake-insights/taiwan-earthquake-may-have-more-shocks-in-store-14484/ (accessed on 1 January 2023).
- Franklin, K.R.; Huang, M.H. Revealing Crustal Deformation and Strain Rate in Taiwan Using InSAR and GNSS. Geophys. Res. Lett. 2022, 49, e2022GL101306. [Google Scholar] [CrossRef]
- Shyu, J.B.H.; Sieh, K.; Avouac, J.P.; Chen, W.S.; Chen, Y.G. Millennial slip rate of the Longitudinal Valley fault from river terraces: Implications for convergence across the active suture of eastern Taiwan. J. Geophys. Res. Solid Earth 2006, 111. [Google Scholar] [CrossRef]
- Huang, W.J.; Johnson, K.M.; Fukuda, J.I.; Yu, S.-B. Insights into active tectonics of eastern Taiwan from analyses of geodetic and geologic data. J. Geophys. Res. 2010, 115. [Google Scholar] [CrossRef]
- Angelier, J.; Chu, H.T.; Lee, J.C. Shear concentration in a collision zone- kinematics of the Chihshang Fault as revealed by outcrop-scale quantification of active faulting, Longitudinal Valley eastern Taiwan. Tectonophysics 1997, 274, 117–143. [Google Scholar] [CrossRef]
- Lee, J.C.; Angelier, J.; Chu, H.T.; Yu, S.B.; Hu, J.C. Plate-boundary strain partitioning along the sinistral collision suture of the Philippine and Eurasian plates: Analysis of geodetic data and geological observation in southeastern Taiwan. Tectonics 1998, 17, 859–871. [Google Scholar] [CrossRef]
- Thomas, M.Y.; Avouac, J.P.; Champenois, J.; Lee, J.C.; Kuo, L.C. Spatiotemporal evolution of seismic and aseismic slip on the Longitudinal Valley Fault, Taiwan. J. Geophys. Res. Solid Earth 2014, 119, 5114–5139. [Google Scholar] [CrossRef]
- Angelier, J.; Chu, H.T.; Lee, J.C.; Hu, J.C. Active faulting and earthquake hazard the case study of continuous monitoring of the Chihshang Fault Taiwan. J. Geodyn. 2000, 29, 151–185. [Google Scholar] [CrossRef]
- Lee, J.C.; Angelier, J.; Chu, H.T.; Hu, J.C.; Jeng, F.S.; Rau, R.J. Active fault creep variations at Chihshang, Taiwan, revealed by creep meter monitoring, 1998–2001. J. Geophys. Res. Solid Earth 2003, 108, 25285. [Google Scholar] [CrossRef]
- Big, C. The eastern Taiwan Rift. Petrol. Geol. Taiwan 1965, 4, 93–106. [Google Scholar]
- Crespi, J.M.; Chan, Y.C.; Swaim, M.S. Synorogenic extension and exhumation of the Taiwan hinterland. Geology 1996, 24, 247–250. [Google Scholar] [CrossRef]
- Lee, J.C.; Angelier, J.; Chu, H.T.; Hu, J.C.; Jeng, F.S. Continuous monitoring of an active fault in a plate suture zone: A creepmeter study of the Chihshang Fault, eastern Taiwan. Tectonophysics 2001, 333, 219–240. [Google Scholar] [CrossRef]
- Malavieille, J.; Lallemand, S.E.; Dominguez, S.; Deschamps, A. Arc-continent collision in Taiwan: New marine observations and tectonic evolution. Geol. Soc. Am. Spec. Pap. 2002, 358, 189–213. [Google Scholar]
- Wu, Y.M.; Chen, Y.G.; Chang, C.H.; Chung, L.H.; Teng, T.L.; Wu, F.T.; Wu, C.F. Seismogenic structure in a tectonic suture zone: With new constraints from 2006 Mw6.1 Taitung earthquake. Geophys. Res. Lett. 2006, 33. [Google Scholar] [CrossRef]
- Chen, H.Y.; Hsu, Y.J.; Lee, J.C.; Yu, S.B.; Kuo, L.C.; Jiang, Y.L.; Liu, C.C.; Tsai, C.S. Coseismic displacements and slip distribution from GPS and leveling observations for the 2006 Peinan earthquake (Mw 6.1) in southeastern Taiwan. Earth Planets Space 2009, 61, 299–318. [Google Scholar] [CrossRef]
- Yagi, Y.; Okuwaki, R.; Enescu, B.; Lu, J. Irregular rupture process of the 2022 Taitung, Taiwan, earthquake sequence. Sci. Rep. 2023, 13, 1107. [Google Scholar] [CrossRef]
- Lee, S.J.; Liu, T.Y.; Lin, T.C. The role of the west-dipping collision boundary fault in the Taiwan 2022 Chihshang earthquake sequence. Sci. Rep. 2023, 13, 3552. [Google Scholar] [CrossRef] [PubMed]
- Chang, C.-P.; Angelier, J.; Huang, C.-Y. Origin and evolution of a melange: The active plate boundary and suture zone of the Longitudinal Valley, Taiwan. Tectonophysics 2000, 325, 43–62. [Google Scholar]
- Hsu, Y.J.; Simons, M.; Yu, S.B.; Kuo, L.C.; Chen, H.Y. A two-dimensional dislocation model for interseismic deformation of the Taiwan mountain belt. Earth Planet. Sci. Lett. 2003, 211, 287–294. [Google Scholar] [CrossRef]
- Shyu, J.B.H.; Chung, L.H.; Chen, Y.G.; Lee, J.C.; Sieh, K. Re-evaluation of the surface ruptures of the November 1951 earthquake series in eastern Taiwan, and its neotectonic implications. J. Asian Earth Sci. 2007, 31, 317–331. [Google Scholar] [CrossRef]
- Sboras, S.; Lazos, I.; Bitharis, S.; Pikridas, C.; Galanakis, D.; Fotiou, A.; Chatzipetros, A.; Pavlides, S. Source modelling and stress transfer scenarios of the October 30, 2020 Samos earthquake: Seismotectonic implications. Turk. J. Earth Sci. 2021, 30, 699–717. [Google Scholar] [CrossRef]
- Yi, L.; Xu, C.; Zhang, X.; Wen, Y.; Jiang, G.; Li, M.; Wang, Y. Joint inversion of GPS, InSAR and teleseismic data sets for the rupture process of the 2015 Gorkha, Nepal, earthquake using a generalized ABIC method. J. Asian Earth Sci. 2017, 148, 121–130. [Google Scholar] [CrossRef]
- Toda, S.; Enescu, B. Rate/state Coulomb stress transfer model for the CSEP Japan seismicity forecast. Earth Planets Space 2011, 63, 171–185. [Google Scholar]
- Chen, H.Y.; Yu, S.B.; Kuo, L.C.; Liu, C.C. Coseismic and postseismic surface displacements of the 10 December 2003(MW 6.5) Chengkung, eastern Taiwan, earthquake. Earth Planets Space 2006, 58, 5–21. [Google Scholar] [CrossRef]
- Seitz, M.; Angermann, D.; Blossfeld, M.; Gerstl, M.; Schmid, R. 2014 ITRS realization of DGFI: DTRF2014. In Proceedings of the EGU General Assembly 2015, Vienna, Austria, 12–17 April 2015. [Google Scholar]
- Okada, Y. Surface deformation due to shear and tensile faults in a half-space. Bull. Seismol. Soc. Am. 1985, 75, 1135–1154. [Google Scholar]
- Wang, R.; Parolai, S.; Ge, M.; Jin, M.; Walter, T.R.; Zschau, J. The 2011 M w 9.0 Tohoku earthquake: Comparison of GPS and strong-motion data. Bull. Seismol. Soc. Am. 2013, 103, 1336–1347. [Google Scholar] [CrossRef]
- Huang, C.; Zhang, G.; Zhao, D.; Shan, X.; Xie, C.; Tu, H.; Qu, C.; Zhu, C.; Han, N.; Chen, J. Rupture Process of the 2022 Mw6. 6 Menyuan, China, Earthquake from Joint Inversion of Accelerogram Data and InSAR Measurements. Remote Sens. 2022, 14, 5104. [Google Scholar] [CrossRef]
- Davis, D.; Suppe, J.; Dahlen, F.A. Mechanics of fold-and-thrust belts and accretionary wedges. J. Geophys. Res. 1983, 88, 1153–1172. [Google Scholar] [CrossRef]
- Carena, S.; Suppe, J.; Kao, H. Active detachment of Taiwan illuminated by small earthquakes and its control of first-order topography. Geology 2002, 30, 935–938. [Google Scholar] [CrossRef]
- Bruce, J.; Shyu, H.; Sieh, K.; Chen, Y.G.; Chung, L.H. Geomorphic analysis of the Central Range fault, the second major active structure of the Longitudinal Valley suture, eastern Taiwan. Geol. Soc. Am. Bull. 2006, 118, 1447–1462. [Google Scholar] [CrossRef]
- Willett, S.D.; Brandon, M.T. On steady states in mountain belts. Geology 2002, 30, 175–178. [Google Scholar] [CrossRef]









Disclaimer/Publisher’s Note: The statements, opinions and data contained in all publications are solely those of the individual author(s) and contributor(s) and not of MDPI and/or the editor(s). MDPI and/or the editor(s) disclaim responsibility for any injury to people or property resulting from any ideas, methods, instructions or products referred to in the content. |
© 2023 by the authors. Licensee MDPI, Basel, Switzerland. This article is an open access article distributed under the terms and conditions of the Creative Commons Attribution (CC BY) license (https://creativecommons.org/licenses/by/4.0/).
Share and Cite
Huang, C.; Xie, C.; Zhang, G.; Wang, W.; Tsai, M.-C.; Hu, J.-C. Revealing the Kinematic Characteristics and Tectonic Implications of a Buried Fault through the Joint Inversion of GPS and Strong-Motion Data: The Case of the 2022 Mw7.0 Taiwan Earthquake. Remote Sens. 2023, 15, 4868. https://doi.org/10.3390/rs15194868
Huang C, Xie C, Zhang G, Wang W, Tsai M-C, Hu J-C. Revealing the Kinematic Characteristics and Tectonic Implications of a Buried Fault through the Joint Inversion of GPS and Strong-Motion Data: The Case of the 2022 Mw7.0 Taiwan Earthquake. Remote Sensing. 2023; 15(19):4868. https://doi.org/10.3390/rs15194868
Chicago/Turabian StyleHuang, Chuanchao, Chaodi Xie, Guohong Zhang, Wan Wang, Min-Chien Tsai, and Jyr-Ching Hu. 2023. "Revealing the Kinematic Characteristics and Tectonic Implications of a Buried Fault through the Joint Inversion of GPS and Strong-Motion Data: The Case of the 2022 Mw7.0 Taiwan Earthquake" Remote Sensing 15, no. 19: 4868. https://doi.org/10.3390/rs15194868
APA StyleHuang, C., Xie, C., Zhang, G., Wang, W., Tsai, M.-C., & Hu, J.-C. (2023). Revealing the Kinematic Characteristics and Tectonic Implications of a Buried Fault through the Joint Inversion of GPS and Strong-Motion Data: The Case of the 2022 Mw7.0 Taiwan Earthquake. Remote Sensing, 15(19), 4868. https://doi.org/10.3390/rs15194868

