Long-Term Observations of the Thermospheric 6 h Oscillation Revealed by an Incoherent Scatter Radar over Arecibo
Abstract
:1. Introduction
2. Data Analysis
3. Results
3.1. Climatological Characteristics
3.2. Seasonal Characteristics
3.3. Characteristics under Different Solar Activities
3.4. Characteristics under Different Geomagnetic Activities
4. Discussion
5. Conclusions
- The climatological mean amplitude of the 6 h oscillation is about 11 m/s, and it increases slowly with increasing altitude above 225 km. The climatological mean 6 h oscillation is much smaller than the diurnal tide while being comparable with the semidiurnal and terdiurnal tides above 250 km. The climatological mean phase of the 6 h oscillation exhibits limited vertical variation.
- The amplitude of the 6 h oscillation is most prominent in autumn with a maximum amplitude of 20 m/s at 380 km, and it exhibits a clear pattern of increasing amplitude with height. The mean amplitude of the 6 h oscillations in the other seasons is 10 m/s. The vertical phase structures in the four seasons are largely consistent above 180 km, and they exhibit limited vertical variation.
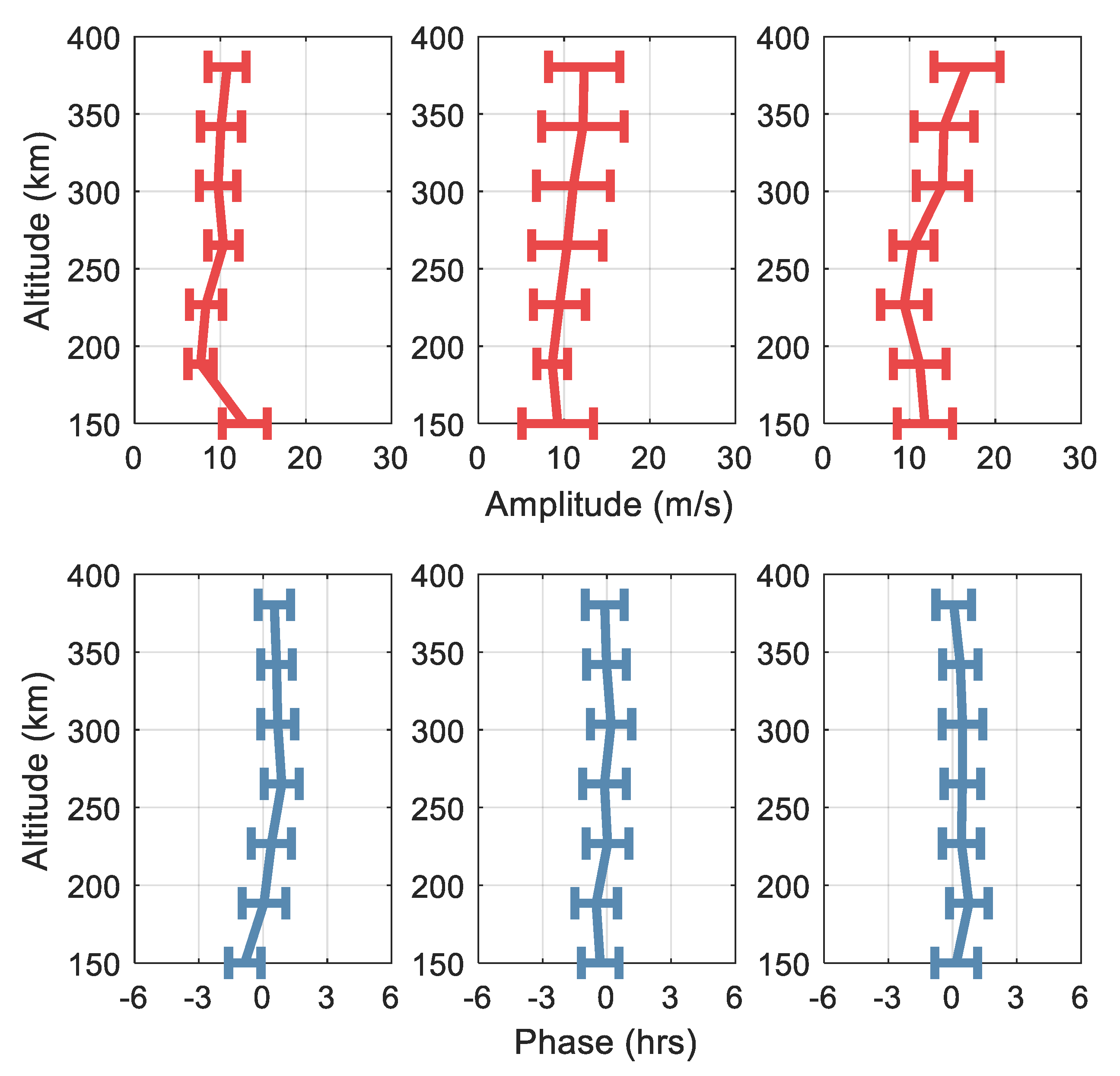
- The mean amplitude of the 6 h oscillation is 10 m/s, 10 m/s, and 12 m/s under high, moderate, and low solar activities, respectively. Our results indicate that solar activities have a small effect on the thermospheric 6 h oscillation at Arecibo. Compared with the phenomenon wherein the thermospheric terdiurnal tide at low latitude has limited response to solar activities, tidal waves with shorter periods are likely not sensitive to solar activities.
- The mean amplitude of the 6 h oscillation is 14 m/s, 12 m/s, and 10 m/s under strong, moderate, and weak geomagnetic activities. Above 250 km, the amplitude during strong geomagnetic activities is almost twice that occurring during weak geomagnetic activities. Our results indicate that the mean amplitude of the 6 h oscillation at low latitude increases with the intensification of geomagnetic activities above 200 km. Note that since the number of samples collected for strong geomagnetic activity is smaller than the number of the samples gathered for the moderate and weak geomagnetic activities, our conclusion may have a bias.
Author Contributions
Funding
Data Availability Statement
Acknowledgments
Conflicts of Interest
References
- Lindzen, R.S. The application of classical atmospheric tidal theory. Proc. R. Soc. 1968, 303, 299–316. [Google Scholar]
- Chapman, S.; Lindzen, R.S. Atmospheric Tides: Thermal and Gravitational; D. Reidel: Dordrecht, The Netherlands, 1970. [Google Scholar]
- Forbes, J.M.; Garret, H.B. Thermal excitation of atmospheric tides due to insolation absorption by O3 and H2O. Geophys. Res. Lett. 1978, 5, 12. [Google Scholar] [CrossRef]
- Forbes, J.M. Tidal and planetary waves. In The Upper Mesosphere and Lower Thermosphere: A Review of Experiment and Theory, Geophys; Geophysical Monograph Series; American Geophysical Union: Washington, DC, USA, 1995; Volume 87, pp. 67–87. [Google Scholar]
- Forbes, J.M.; Wu, D. Solar tides as revealed by measurements of mesosphere temperature by the MLS experiment on UARS. J. Atmos. Sci. 2006, 63, 1776–1797. [Google Scholar] [CrossRef]
- Lieberman, R.S.; Oberheide, J.; Talaat, E.R. Nonmigrating diurnal tides observed in global thermospheric winds. J. Geophys. Res. Space Phys. 2013, 118, 7384–7397. [Google Scholar] [CrossRef]
- Hagan, M.E.; Roble, R.G.; Hackney, J. Migrating thermospheric tides. J. Geophys. Res. 2001, 106, 12739–12752. [Google Scholar] [CrossRef]
- Hagan, M.E.; Forbes, J.M. Migrating and nonmigrating diurnal tides in the middle and upper atmosphere excited by tropospheric latent heat release. J. Geophys. Res. 2002, 107, 4754. [Google Scholar] [CrossRef]
- Gong, Y.; Zhou, Q. Incoherent scatter radar study of the terdiurnal tide in the E and F-region heights at Arecibo. Geophys. Res. Lett. 2011, 38, L15101. [Google Scholar] [CrossRef]
- Kumar, G.K.; Singer, W.; Oberheide, J.; Grieger, N.; Batista, P.P. Diurnal tides at low latitudes: Radar, satellite, and model results. J. Atmos. Sol. Terr. Physis 2014, 118, 96–105. [Google Scholar] [CrossRef]
- Gong, Y.; Zhou, Q.; Zhang, S. Atmospheric tides in the low-latitude E and F regions and their responses to a sudden stratospheric warming event in January 2010. J. Geophys. Res. Space Phys. 2013, 118, 5177–5183. [Google Scholar] [CrossRef]
- Gong, Y.; Xue, J.; Ma, Z.; Zhang, S.; Zhou, Q.; Huang, C.; Huang, K.; Yu, Y.; Li, G. Strong quarterdiurnal tides in the mesosphere and lower thermosphere during the 2019 arctic sudden stratospheric warming over Mohe, China. J. Geophys. Res. Space Phys. 2021, 10, 126. [Google Scholar] [CrossRef]
- Pedatella, N.M.; Oberheide, J.; Sutton, E.K.; Liu, H.L.; Anderson, J.L.; Raeder, K. Short-term nonmigrating tide variability in the mesosphere, thermosphere, and ionosphere. J. Geophys. Res. Space Phys. 2016, 121, 3621–3633. [Google Scholar] [CrossRef]
- Vitharana, A.; Du, J.; Zhu, X.; Oberheide, J.; Ward, W.E. Numerical prediction of the migrating diurnal tide total variability in the mesosphere and lower thermosphere. J. Geophys. Res. Space Phys. 2021, 126, e2021JA029588. [Google Scholar] [CrossRef]
- Guharay, A.; Batista, P.P.; Andrioli, V.F. Investigation of solar cycle dependence of the tides in the low latitude MLT using meteor radar observations. J. Atmos. Sol. Terr. Phys. 2019, 193, 105083. [Google Scholar] [CrossRef]
- Lee, J.; Kwak, Y.S.; Eswaraiah, S.; Kam, H.; Kim, Y.H.; Lee, C.; Kim, J.H. Observational evidence of nonlinear wave-wave interaction over Antarctic MLT region. J. Geophys. Res. Space Phys. 2023, 128, e2022JA030738. [Google Scholar] [CrossRef]
- Jacobi, C.; Krug, A.; Merzlyakov, E. Radar observations of the quarterdiurnal tide at midlatitudes: Seasonal and long-term variations. J. Atmos. Sol. Terr. Physis 2017, 163, 70–77. [Google Scholar] [CrossRef]
- Jacobi, C.; Geissler, C.; Lilienthal, F.; Krug, A. Forcing mechanisms of the 6h tide in the mesosphere/lower thermosphere. Adv. Radio Sci. 2018, 16, 141–147. [Google Scholar] [CrossRef]
- Guharay, A.; Batista, P.P.; Buriti, R.A.; Schuch, N.J. On the variability of the quarter-diurnal tide in the MLT over Brazilian low-latitude stations. Earth Planet Space 2018, 70, 140. [Google Scholar] [CrossRef]
- Pancheva, D.; Mukhtarov, P.; Hall, C.; Smith, A.; Tsutsumi, M. Climatology of the short-period (8-h and 6-h) tides observed by meteor radars at Tromsø and Svalbard. J. Atmos. Sol. Terr. Phy. 2021, 212, 105513. [Google Scholar] [CrossRef]
- Hindly, N.P.; Mitchell, N.J.; Cobbett, N.; Smith, A.K.; Fritts, D.C.; Janches, D. Radar observations of winds, waves and tides in the mesosphere and lower thermosphere over South Georgia island (54° S, 36° W) and comparison with WACCM simulations. Atmos. Chem. Phys. 2022, 22, 9435–9459. [Google Scholar] [CrossRef]
- Kovalam, S.; Vincent, R.A. Intradiurnal wind variations in the midlatitude and high-latitude mesosphere and lower thermosphere. J. Geophys. Res. 2003, 108, 4135–4147. [Google Scholar] [CrossRef]
- Liu, R.; Lu, D.; Yi, F.; Hu, X. Quadratic nonlinear interactions between atmospheric tides in the mid-latitude winter lower thermosphere. J. Atmos. Sol. Terr. Phys. 2006, 68, 1245–1259. [Google Scholar] [CrossRef]
- She, C.Y.; Chen, S.; Williams, B.P.; Hu, Z.; Krueger, D.; Hagan, M.E. Tides in the mesopause region over Fort Collins, Colorado based on lidar temperature observations covering full diurnal cycles. J. Geophys. Res. 2002, 107, 4350. [Google Scholar] [CrossRef]
- Walterscheid, R.L.; Sivjee, G.G. Very high frequency tides observed in the airglow over Eureka. Geophys. Res. Lett. 1996, 23, 3651–3654. [Google Scholar] [CrossRef]
- Walterscheid, R.L.; Sivjee, G.G. Zonally symmetric oscillations observed in the airglow from South Pole station. J. Geophys. Res. 2001, 106, 3645–3654. [Google Scholar] [CrossRef]
- Xu, J.; Smith, A.K.; Jiang, G.; Yuan, W.; Gao, H. Features of the seasonal variation of the semidiurnal, terdiurnal and 6-h components of ozone heating evaluated from Aura/MLS observations. Ann. Geophys. 2012, 30, 259–281. [Google Scholar] [CrossRef]
- Xu, J.; Smith, A.K.; Liu, M.; Liu, X.; Gao, H.; Jiang, G.; Yuan, W. Evidence for nonmigrating tides produced by the interaction between tides and stationary planetary waves in the stratosphere and lower mesosphere. J. Geophys. Res. Atmos. 2014, 119, 471–489. [Google Scholar] [CrossRef]
- Liu, M.H.; Xu, J.Y.; Yue, J.; Jiang, G.Y. Global structure and seasonal variations of the migrating 6-h tide observed by SABER/TIMED. Sci. China Earth Sci. 2015, 58, 1216–1227. [Google Scholar] [CrossRef]
- Azeem, I.; Walterscheid, R.L.; Crowley, G.; Bishop, R.L.; Christensen, A.B. Observations of the migrating semidiurnal and quaddiurnal tides from the RAIDS/NIRS instrument. J. Geophys. Res. Space Phys. 2016, 121, 4626–4637. [Google Scholar] [CrossRef]
- Jacobi, C.; Arras, C.; Geissler, C.; Lilienthal, F. Quarterdiurnal signature in sporadic E occurrence rates and comparison with neutral wind shear. Ann. Geophys. 2019, 37, 273–288. [Google Scholar] [CrossRef]
- Smith, A.K.; Pancheva, D.V.; Mitchell, N.J. Observations and modeling of the 6-hour tide in the upper mesosphere. J. Geophys. Res. 2004, 109, D10105. [Google Scholar] [CrossRef]
- Geissler, C.; Jacobi, C.; Lilienthal, F. Forcing mechanisms of the migrating quarterdiurnal tide. Ann. Geophys. 2020, 38, 527–544. [Google Scholar] [CrossRef]
- Tong, Y.U.; Mathews, J.D.; Ying, W.P. An upper E region quarterdiurnal tide at Arecibo. J. Geophys. Res. 1988, 93, 10047–10051. [Google Scholar] [CrossRef]
- Gong, Y.; Ma, Z.; Lv, X.; Zhang, S.; Zhou, Q.; Aponte, N.; Sulzer, M. A study on the quarterdiurnal tide in the thermosphere at Arecibo during the February 2016 sudden stratospheric warming event. Geophys. Res. Lett. 2018, 45, 13142–13149. [Google Scholar] [CrossRef]
- Gordon, W. Incoherent scattering of radio waves by free electrons with applications to space exploration by radar. Proc. IRE. 1958, 46, 1824–1829. [Google Scholar] [CrossRef]
- Sulzer, M. A phase modulation technique for a sevenfold statistical improvement in incoherent scatter data-taking. Radio Sci. 1986, 21, 737–744. [Google Scholar] [CrossRef]
- Isham, B.; Tepley, C.A.; Sulzer, M.P.; Zhou, Q.H.; Kelley, M.C.; Friedman, J.; Gonzalez, S. Upper atmospheric observations at the Arecibo Observatory: Examples obtained using new capabilities. J. Geophys. Res. 2000, 105, 18609–18637. [Google Scholar] [CrossRef]
- Sulzer, M.; Aponte, N.; Gonzalez, S. Application of linear regularization methods to Arecibo vector velocities. J. Geophys. Res. Space Phys. 2005, 110, A10. [Google Scholar] [CrossRef]
- Cai, X.; Burns, A.G.; Wang, W.; Qian, L.; Solomon, S.C.; Eastes, R.W.; Pedatella, N.; Daniell, R.E.; McClintock, W.E. The two-dimensional evolution of thermospheric ∑O/N2 response to weak geomagnetic activity during solar-minimum observed by GOLD. Geophys. Res. Lett. 2020, 47, e2020GL088838. [Google Scholar] [CrossRef]
- Aponte, N.; Nicolls, M.J.; González, S.A.; Sulzer, M.P.; Kelley, M.C.; Robles, E.; Tepley, C.A. Instantaneous electric field measurements and derived neutral winds at Arecibo. Geophys. Res. Lett. 2005, 32, L12107. [Google Scholar] [CrossRef]
- Buonsanto, M. Ionospheric storms—A review. Space Sci. Rev. 1999, 88, 563–601. [Google Scholar] [CrossRef]
- Gong, Y.; Lv, X.; Zhang, S.; Zhou, Q.; Ma, Z. Climatology and seasonal variation of the thermospheric tides and their response to solar activities over Arecibo. J. Atmos. Sol. Terr. Phys. 2021, 215, 105592. [Google Scholar] [CrossRef]







Disclaimer/Publisher’s Note: The statements, opinions and data contained in all publications are solely those of the individual author(s) and contributor(s) and not of MDPI and/or the editor(s). MDPI and/or the editor(s) disclaim responsibility for any injury to people or property resulting from any ideas, methods, instructions or products referred to in the content. |
© 2023 by the authors. Licensee MDPI, Basel, Switzerland. This article is an open access article distributed under the terms and conditions of the Creative Commons Attribution (CC BY) license (https://creativecommons.org/licenses/by/4.0/).
Share and Cite
Gong, Y.; Ding, Y.; Chen, X.; Zhang, S.; Zhou, Q.; Ma, Z.; Luo, J. Long-Term Observations of the Thermospheric 6 h Oscillation Revealed by an Incoherent Scatter Radar over Arecibo. Remote Sens. 2023, 15, 5098. https://doi.org/10.3390/rs15215098
Gong Y, Ding Y, Chen X, Zhang S, Zhou Q, Ma Z, Luo J. Long-Term Observations of the Thermospheric 6 h Oscillation Revealed by an Incoherent Scatter Radar over Arecibo. Remote Sensing. 2023; 15(21):5098. https://doi.org/10.3390/rs15215098
Chicago/Turabian StyleGong, Yun, Yaxuan Ding, Xinkun Chen, Shaodong Zhang, Qihou Zhou, Zheng Ma, and Jiahui Luo. 2023. "Long-Term Observations of the Thermospheric 6 h Oscillation Revealed by an Incoherent Scatter Radar over Arecibo" Remote Sensing 15, no. 21: 5098. https://doi.org/10.3390/rs15215098
APA StyleGong, Y., Ding, Y., Chen, X., Zhang, S., Zhou, Q., Ma, Z., & Luo, J. (2023). Long-Term Observations of the Thermospheric 6 h Oscillation Revealed by an Incoherent Scatter Radar over Arecibo. Remote Sensing, 15(21), 5098. https://doi.org/10.3390/rs15215098

