First Results on the Systematic Search of Land Surface Temperature Anomalies as Earthquakes Precursors
Abstract
1. Introduction
- How much can we trust the LST anomalies as earthquake precursors?
- What is the receiver operating curve of the detector, its optimum parameters, and the optimum probability of detection, false alarm, and other figures of merit?
2. Materials and Methods
2.1. General Architecture for Data Acquisition and Processing
2.2. Input Data
2.2.1. LST Datasets from ABI/GOES
2.2.2. LST Datasets from MODIS/AQUA
2.2.3. Earthquakes Datasets from the USGS Ground Stations
2.3. LST Anomaly Calculation
2.3.1. STD Method
2.3.2. IQT Method
2.3.3. LST and Earthquakes Aggregation
2.4. LST Data Pre-Processing and Normalization
2.5. LST and Earthquakes Correlation Analytics Using the Full Confusion Matrix
- True Positive (TP) is the number of correct predictions: An earthquake occurs, and an LST anomaly occurs.
- False Negative (FN) is the number of incorrect predictions: An earthquake occurs, and there is no LST anomaly.
- False Positive (FP) is the number of incorrect predictions: An earthquake does not happen, but there is an LST anomaly.
- True Negative (TN) is the number of correct predictions: An earthquake does not occur, and there is no LST anomaly.
3. Results
3.1. Statistical Analysis of LST Anomalies and Earthquakes Correlations
3.2. Output of the CM and Visualization of the ROC Curves
3.2.1. CM of ABI/GOES for Mw > 3
3.2.2. CM of MODIS/AQUA for Mw > 3
3.2.3. CM as a Function of the Earthquake Magnitude (Mw = 7, 6, 5, and 4)
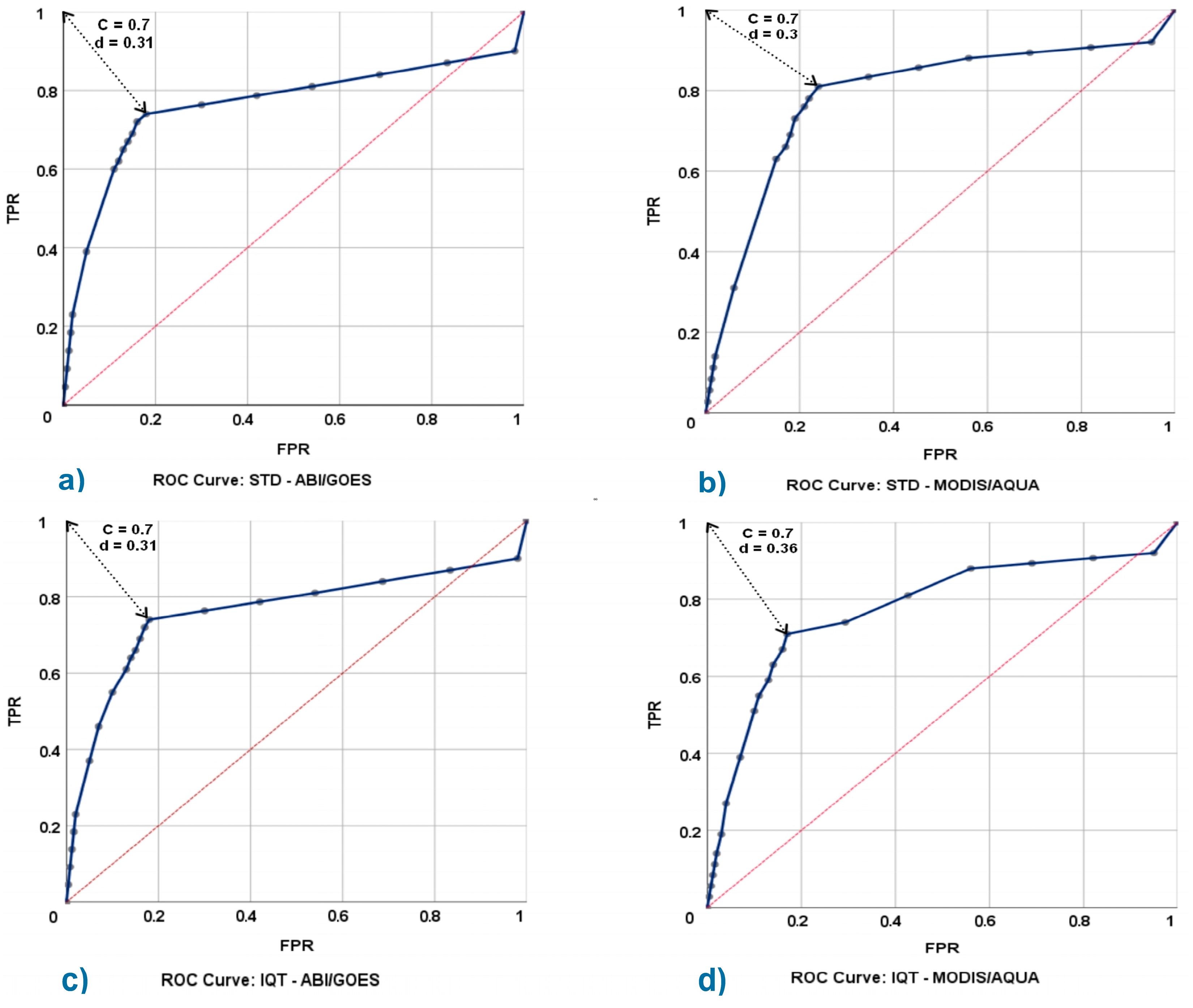
3.2.4. ROC Curves of ABI/GOES and MODIS/AQUA for Mw ≥ 4
4. Discussion: Correlation between LST and Earthquakes for Strong Earthquakes (Mw> 6)
5. Conclusions
Author Contributions
Funding
Acknowledgments
Conflicts of Interest
References
- Number of Deaths from Earthquakes. Our World in Data. Available online: https://ourworldindata.org/grapher/earthquake-deaths (accessed on 21 September 2021).
- IDDR2018_Economic Losses.pdf. 2018. Available online: https://www.unisdr.org/2016/iddr/IDDR2018_Economic%20Losses.pdf (accessed on 22 November 2022).
- Rasul, A.; Omar, L.W. Land Surface Temperature Anomalies Detection for the Strong Earthquakes in 2018. ARO 2020, 8, 15–21. [Google Scholar] [CrossRef]
- Jiao, Z.-H.; Zhao, J.; Shan, X. Pre-seismic anomalies from optical satellite observations: A review. Nat. Hazards Earth Syst. Sci. 2018, 18, 1013–1036. [Google Scholar] [CrossRef]
- Tramutoli, V. From Visual Comparison to Robust Satellite Techniques: 30 years of thermal infrared satellite data analyses for the study of earthquakes preparation phases. BGTA 2015, 56, 167–202. [Google Scholar]
- Prakash, R.; Srivastava, H.N. Thermal anomalies in relation to earthquakes in India and its neighborhood. Curr. Sci. 2015, 108, 13. [Google Scholar]
- Zoran, M. MODIS and NOAA-AVHRR l and surface temperature data detect a thermal anomaly preceding the March 11th 2011 Tohoku earthquake. Int. J. Remote Sens. 2012, 33, 6805–6817. [Google Scholar] [CrossRef]
- Zhong, M.; Shan, X.; Zhang, X.; Qu, C.; Guo, X.; Jiao, Z. Thermal Infrared and Ionospheric Anomalies of the 2017 Mw6.5 Jiuzhaigou Earthquake. Remote Sens. 2020, 12, 2843. [Google Scholar] [CrossRef]
- Zoran, M.; Savastru, R.; Savastru, D. Earthquake anomalies recognition through satellite and in-situ monitoring data. Eur. J. Remote Sens. 2016, 49, 1011–1032. [Google Scholar] [CrossRef]
- Ghamry, E.; Mohamed, E.K.; Abdalzaher, M.S.; Elwekeil, M.; Marchetti, D.; De Santis, A.; Hegy, M.; Yoshikawa, A.; Fathy, A. Integrating Pre-Earthquake Signatures From Different Precursor Tools. IEEE Access 2021, 9, 33268–33283. [Google Scholar] [CrossRef]
- Xie, T.; Ma, W. Possible thermal brightness temperature anomalies associated with the Lushan (China) M S7.0 earthquake on 20 April 2013. Earthq. Sci. 2015, 28, 37–47. [Google Scholar] [CrossRef]
- Chen, S.; Liu, P.; Feng, T.; Wang, D.; Jiao, Z.; Chen, L.; Xu, Z.; Zhang, G. Exploring Changes in Land Surface Temperature Possibly Associated with Earthquake: Case of the April 2015 Nepal Mw 7.9 Earthquake. Entropy 2020, 22, 377. [Google Scholar] [CrossRef]
- Pavlidou, E.; van der Meijde, M.; van der Werff, H.; Hecker, C. Time Series Analysis of Land Surface Temperatures in 20 Earthquake Cases Worldwide. Remote Sens. 2018, 11, 61. [Google Scholar] [CrossRef]
- Xu, X.-D.; Xu, X.-M.; Wang, Y. Satellite infrared anomaly before the nantou M S=7.6 earthquake in Taiwan, China. Acta Seism. Sin. 2000, 13, 710–713. [Google Scholar] [CrossRef]
- Zhang, Y.; Guo, X.; Zhong, M.; Shen, W.; Li, W.; He, B. Wenchuan earthquake: Brightness temperature changes from satellite infrared information. Chin. Sci. Bull. 2010, 55, 1917–1924. [Google Scholar] [CrossRef]
- Jing, F.; Singh, R.P.; Cui, Y.; Sun, K. Microwave Brightness Temperature Characteristics of Three Strong Earthquakes in Sichuan Province, China. IEEE J. Sel. Top. Appl. Earth Obs. Remote. Sens. 2020, 13, 513–522. [Google Scholar] [CrossRef]
- Saradjian, M.R.; Akhoondzadeh, M. Thermal anomalies detection before strong earthquakes (M > 6.0) using interquartile, wavelet and Kalman filter methods. Nat. Hazards Earth Syst. Sci. 2011, 11, 1099–1108. [Google Scholar] [CrossRef]
- Pulinets, S.; Ouzounov, D.; Karelin, A.; Davidenko, D. Lithosphere–Atmosphere–Ionosphere–Magnetosphere Coupling a Concept for Pre-Earthquake Signals Generation. In Pre-Earthquake Processes: A Multidisciplinary Approach to Earthquake Predic-tion Studies; Dimitar, O., Sergey, P., Katsumi, H., Patrick, T., Eds.; AGU/Wiley: Hoboken, NJ, USA, 2018; pp. 77–98. [Google Scholar]
- Panda, S.K.; Choudhury, S.; Saraf, A.K.; Das, J.D. MODIS land surface temperature data detects thermal anomaly preceding 8 October 2005 Kashmir earthquake. Int. J. Remote Sens. 2007, 28, 4587–4596. [Google Scholar] [CrossRef]
- Dunajecka, M.A.; Pulinets, S.A. Atmospheric and thermal anomalies observed around the time of strong earthquakes in México. Atmósfera 2005, 18, 235–247. [Google Scholar]
- Semlali, B.-E.B.; El Amrani, C.; Ortiz, G. Hadoop Paradigm for Satellite Environmental Big Data Processing. Int. J. Agric. Environ. Inf. Syst. 2020, 11, 23–47. [Google Scholar] [CrossRef]
- Semlali, B.-E.B.; El Amrani, C. Satellite Big Data Ingestion for Environmentally Sustainable Development. In Emerging Trends in ICT for Sustainable Development; Ahmed, M.B., Mellouli, S., Braganca, L., Abdelhakim, B.A., Bernadetta, K.A., Eds.; Springer International Publishing: Cham, Germany, 2021; pp. 269–284. [Google Scholar] [CrossRef]
- Semlali, B.-E.B.B.; El Amrani, C. Big data and remote sensing: A new software of ingestion. Int. J. Electr. Comput. Eng. (IJECE) 2021, 11, 10. [Google Scholar] [CrossRef]
- Semlali, B.B.; Chaker, E.A. Towards Remote Sensing Datasets Collection and Processing. Int. J. Embed. Real-Time Commun. Syst. 2019, 10, 49–67. [Google Scholar] [CrossRef]
- Semlali, B.-E.B.; El Amrani, C. Towards Remote Sensing Datasets Collection and Processing. In Transactions on Large-Scale Data-and Knowledge-Centered Systems XLI; Hameurlain, A., Wagner, R., Dang, T.K., Eds.; Springer: Berlin/Heidelberg, Germany, 2019; Volume 11390, pp. 286–294. [Google Scholar] [CrossRef]
- Semlali, B.-E.B.; El Amrani, C.; Ortiz, G. SAT-ETL-Integrator: An extract-transform-load software for satellite big data ingestion. J. Appl. Remote. Sens. 2020, 14, 018501. [Google Scholar] [CrossRef]
- Semlali, B.-E.B.; Freitag, F. SAT-Hadoop-Processor: A Distributed Remote Sensing Big Data Processing Software for Earth Observation Applications. Appl. Sci. 2021, 11, 10610. [Google Scholar] [CrossRef]
- Semlali, B.-E.B.; El Amrani, C.; Ortiz, G. Adopting the Hadoop Architecture to Process Satellite Pollution Big Data. Int. J. Technol. Eng. Stud. 2019, 5, 30–39. [Google Scholar] [CrossRef]
- Available online: https://www.star.nesdis.noaa.gov/GOESCal/G16_ABI_INST_CAL_daily_allmode.php (accessed on 22 November 2022).
- Available online: https://modis.gsfc.nasa.gov/about/specifications.php (accessed on 22 November 2022).
- NOAA CLASS Website. 2020. Available online: https://www.bou.class.noaa.gov/saa/products/welcome (accessed on 15 January 2020).
- Semlali, B.-E.B.; El Amrani, C.; Ortiz, G.; Boubeta-Puig, J.; Garcia-De-Prado, A. SAT-CEP-monitor: An air quality monitoring software architecture combining complex event processing with satellite remote sensing. Comput. Electr. Eng. 2021, 93, 107257. [Google Scholar] [CrossRef]
- Wan, Z.; Simon, H.; Glynn, H. MYD11_L2 MODIS/Aqua Land Surface Temperature/Emissivity 5-Min L2 Swath 1 km V006. NASA EOSDIS Land Process. DAAC 2015. [Google Scholar] [CrossRef]
- USGS Earthquakes. Available online: https://www.usgs.gov/natural-hazards/earthquake-hazards/earthquakes (accessed on 8 August 2021).
- Dey, S.; Singh, R.P. Surface latent heat flux as an earthquake precursor. Nat. Hazards Earth Syst. Sci. 2003, 3, 749–755. [Google Scholar] [CrossRef]
- Wu, L.; Zheng, S.; De Santis, A.; Qin, K.; Di Mauro, R.; Liu, S.; Rainone, M.L. Geosphere coupling and hydrothermal anomalies before the 2009 Mw 6.3 L’Aquila earthquake in Italy. Nat. Hazards Earth Syst. Sci. 2016, 16, 1859–1880. [Google Scholar] [CrossRef]
- Tronin, A.A. Thermal satellite data for earthquake research. In Proceedings of the IGARSS 2000. IEEE 2000 International Geoscience and Remote Sensing Symposium. Taking the Pulse of the Planet: The Role of Remote Sensing in Managing the Environment; Proceedings (Cat. No.00CH37120), Honolulu, HI, USA, 24–28 July 2000; Volume 6, pp. 2703–2705. [Google Scholar] [CrossRef]
- Piroddi, L.; Ranieri, G. Night Thermal Gradient: A New Potential Tool for Earthquake Precursors Studies. An Application to the Seismic Area of L’Aquila (Central Italy). IEEE J. Sel. Top. Appl. Earth Obs. Remote Sens. 2011, 5, 307–312. [Google Scholar] [CrossRef]
- Dobrovolsky, I.P.; Zubkov, S.I.; Miachkin, V.I. Estimation of the size of earthquake preparation zones. Pure Appl. Geophys. 1979, 117, 1025–1044. [Google Scholar] [CrossRef]
- Jiao, Z.-H.; Shan, X. Statistical framework for the evaluation of earthquake forecasting: A case study based on satellite surface temperature anomalies. J. Asian Earth Sci. 2021, 211, 104710. [Google Scholar] [CrossRef]
- Blackett, M.; Wooster, M.J.; Malamud, B.D. Exploring land surface temperature earthquake precursors: A focus on the Gujarat (India) earthquake of 2001: Earthquake Land Temperature Study. Geophys. Res. Lett. 2011, 38. [Google Scholar] [CrossRef]
- Shah, M.; Ehsan, M.; Abbas, A.; Ahmed, A.; Jamjareegulgarn, P. Possible Thermal Anomalies Associated With Global Terrestrial Earthquakes During 2000–2019 Based on MODIS-LST. IEEE Geosci. Remote. Sens. Lett. 2021, 19, 1–5. [Google Scholar] [CrossRef]
- PA SIS Eventos. Available online: http://www.ign.es/web/resources/volcanologia/SIS/jpg/PA_SIS_eventos_2021-09-11_hoy.jpg (accessed on 20 October 2021).
- Zhao, W.; He, J.; Yin, G.; Wen, F.; Wu, H. Spatiotemporal Variability in Land Surface Temperature Over the Mountainous Region Affected by the 2008 Wenchuan Earthquake From 2000 to 2017. J. Geophys. Res. Atmos. 2019, 124, 1975–1991. [Google Scholar] [CrossRef]
- Beale, C.; Norouzi, H.; Sharifnezhadazizi, Z.; Bah, A.R.; Yu, P.; Yu, Y.; Blake, R.; Vaculik, A.; Gonzalez-Cruz, J. Comparison of Diurnal Variation of Land Surface Temperature From GOES-16 ABI and MODIS Instruments. IEEE Geosci. Remote Sens. Lett. 2019, 17, 572–576. [Google Scholar] [CrossRef]
- Wyss, M.; Rosset, P. Near-Real-Time Loss Estimates for Future Italian Earthquakes Based on the M6.9 Irpinia Example. Geosciences 2020, 10, 165. [Google Scholar] [CrossRef]
- Boudriki Semlali, B.-E.; Molina, C.; Park, H.; Camps, A. Study of Land Surface Temperature Anomalies Associated to Earthquakes Using GOES Data. In Proceedings of the IGARSS 2022—2022 IEEE International Geoscience and Remote Sensing Symposium, Kuala Lumpur, Malaysia, 17–22 July 2022; pp. 5732–5735. [Google Scholar]
- Molina, C.; Boudriki-Semlali, B.-E.; Park, H.; Camps, A. A Preliminary Study on Ionospheric Scintillation Anomalies Detected Using GNSS-R Data from NASA CYGNSS Mission as Possible Earthquake Precursors. Remote Sens. 2022, 14, 2555. [Google Scholar] [CrossRef]
- Molina, C.; Boudriki Semlali, B.-E.; González-Casado, G.; Park, H.; Camps, A. Ionospheric Scintillation Anomalies Associated with the 2021 La Palma Volcanic Eruption Detected with Gnss-R and Gnss-Ro Observations. In Proceedings of the IGARSS 2022—2022 IEEE International Geoscience and Remote Sensing Symposium, Kuala Lumpur, Malaysia, 17–22 July 2022; pp. 7445–7448. [Google Scholar]
- IGN-LA PALMA-SIS. Available online: http://www.ign.es/web/resources/volcanologia/SIS/html/PA_serie_SIS_20210911.html (accessed on 20 October 2021).
- Studies, D.; Ouzounov, S.; Pulinets, K.; Taylor, H.P. (Eds.) AppEEARS. Available online: https://lpdaacsvc.cr.usgs.gov/appeears/ (accessed on 20 October 2021).











| Satellite | Sensor | Spatial Resolution | Product | Input/Day | Rate/Day | Output/Day |
|---|---|---|---|---|---|---|
| GOES | ABI | 4 km | LSTF | 100 MB | 60 files | 95 MB |
| AQUA | MODIS | 1 km | MYD11 | 1 GB | 300 files | 4 GB |
| LSTF-M6 | DQF | 0 | 2 | 4 | 8 | 16 |
| Good retrieval valid input data, type, and LST clear conditions | Wrong or missing input data | Cloudy conditions | Degraded pixels | Invalid-water surface type | ||
| MYD11_L2 | QC | 0 | 1 | 2 | 3 | - |
| Pixel produced, good quality, cloud-free pixel | Pixel produced, unreliable quality, missing pixel | Pixel not produced due to cloud effects, fairly calibrated | Cloudy pixel not produced, poor calibration, processing skipped |
| ID | Date | Location | Epicenter | Mw | SR (km) | Land Cover | ||
|---|---|---|---|---|---|---|---|---|
| Lat (Deg) | Lon (Deg) | Depth (km) | ||||||
| ID977 | 2020-01-24 | Ankara, Turkey | 38.43 | 39.06 | 10 | 6.7 | 760 | Grassland |
| ID5086 | 2020-05-15 | San Jose, CA, USA | 38.17 | −117.85 | 2.7 | 6.5 | 623 | Shrub |
| ID9629 | 2020-09-06 | Coquimbo, Chile | −30.34 | −71.49 | 30 | 6.3 | 511 | Shrub |
| Condition Positive (CP) | TP | FN | True Positive Rate (TPR) = TP/P | False Negative Rate (FNR) = FN/P |
| Condition Negative (CN) | FP | TN | False Positive Rate (FPR) = FP/N | True Negative Rate (TNR) = TN/N |
| Prevalence (P) = CP/CP + CN | Accuracy (ACC) = TP + TN/CP + CN | Positive Likelihood Ratio (LR+) = TPR/FPR | Negative Likelihood Ratio (LR−) = FNR/TNR | |
| G-mean | Kappa Coefficient | Diagnostic Odds Ratio (DOR) = (LR+)/(LR−) | ||
| C/Mw | TP (Mw = 7–7.9) | TP (Mw = 6–6.9) | TP (Mw = 5–5.9) | TP (Mw = 4–4.9) | ||||
|---|---|---|---|---|---|---|---|---|
| Sensor | M | A | M | A | M | A | M | A |
| STD method: Mean LST anomalies (°C) | ||||||||
| 0.7 | - | 0.56 | 1.41 | 3.1 | 2.69 | 1.46 | 2.9 | 1.83 |
| 0.75 | - | 0.51 | 1.31 | 3 | 2.54 | 1.38 | 2.71 | 1.75 |
| 0.8 | - | 0.45 | 1.21 | 2.89 | 2.39 | 1.31 | 2.53 | 1.68 |
| 0.85 | - | 0.4 | 1.1 | 2.79 | 2.24 | 1.24 | 2.36 | 1.61 |
| 0.9 | - | 0.35 | 1 | 2.69 | 2.1 | 1.17 | 2.19 | 1.54 |
| 0.95 | - | 0.29 | 0.89 | 2.59 | 1.96 | 1.1 | 2.03 | 1.48 |
| 1 | - | 0.24 | 0.79 | 2.5 | 1.82 | 1.04 | 1.87 | 1.41 |
| 1.5 | - | - | 0.24 | 1.7 | 0.79 | 0.58 | 0.74 | 0.9 |
| 2 | - | - | 0.03 | 1.12 | 0.27 | 0.29 | 0.26 | 0.58 |
| IQT method: Mean LST anomalies (°C) | ||||||||
| 0.7 | - | 0.42 | 0.83 | 3.02 | 2.16 | 1.44 | 2.02 | 1.81 |
| 0.75 | - | 0.36 | 0.7 | 2.92 | 1.98 | 1.37 | 1.82 | 1.74 |
| 0.8 | - | 0.29 | 0.59 | 2.82 | 1.81 | 1.3 | 1.64 | 1.67 |
| 0.85 | - | 0.23 | 0.52 | 2.72 | 1.65 | 1.23 | 1.47 | 1.59 |
| 0.9 | - | 0.16 | 0.46 | 2.62 | 1.5 | 1.16 | 1.32 | 1.52 |
| 0.95 | - | 0.1 | 0.4 | 2.52 | 1.35 | 1.1 | 1.18 | 1.46 |
| 1.1 | - | - | 0.23 | 2.26 | 1 | 0.93 | 0.84 | 1.27 |
| 1.3 | - | - | 0.07 | 1.98 | 0.65 | 0.75 | 0.54 | 1.06 |
| 1.5 | - | - | 0.01 | 1.71 | 0.42 | 0.59 | 0.36 | 0.89 |
| Other metrics | ||||||||
| Days before | - | −6 | −1.86 | −2.2 | −3.01 | −2.4 | −2.81 | −2.7 |
| Count | 1 | 1 | 22 | 11 | 238 | 93 | 2972 | 1255 |
| TPR | FPR | FNR | TNR | DOR | ||||||
|---|---|---|---|---|---|---|---|---|---|---|
| Sensor | A | M | A | M | A | M | A | M | A | M |
| Mw = 7 (GOES CP = 1 and AQUA CP = 1) | ||||||||||
| 0.7-STD | 1.00 | 1.00 | 0.18 | 0.24 | 0.00 | 0.00 | 0.82 | 0.76 | - | - |
| 0.7-IQT | 1.00 | 1.00 | 0.18 | 0.17 | 0.00 | 0.00 | 0.82 | 0.83 | - | - |
| Mw = 6 (GOES CP = 42 and AQUA CP = 79) | ||||||||||
| 0.7-STD | 0.88 | 0.94 | 0.18 | 0.24 | 0.12 | 0.06 | 0.82 | 0.76 | 34.7 | 48.0 |
| 0.7-IQT | 0.86 | 0.85 | 0.18 | 0.17 | 0.14 | 0.15 | 0.82 | 0.83 | 26.4 | 26.5 |
| Mw = 5 (GOES CP = 185 and AQUA CP = 461) | ||||||||||
| 0.7-STD | 0.8 | 0.80 | 0.18 | 0.24 | 0.2 | 0.20 | 0.82 | 0.76 | 18.7 | 13.3 |
| 0.7-IQT | 0.8 | 0.75 | 0.18 | 0.17 | 0.2 | 0.25 | 0.82 | 0.83 | 17.6 | 14.1 |
| Mw = 4 (GOES CP = 2465 and AQUA CP = 5338) | ||||||||||
| 0.7-STD | 0.73 | 0.80 | 0.18 | 0.24 | 0.27 | 0.20 | 0.82 | 0.76 | 12.7 | 13.4 |
| 0.7-IQT | 0.74 | 0.70 | 0.18 | 0.17 | 0.26 | 0.30 | 0.82 | 0.83 | 12.3 | 11.2 |
| C/ID | ID6704 | ID3436 | ID5086 | ID334 | ID9629 | ID977 | ||||
|---|---|---|---|---|---|---|---|---|---|---|
| Satellite | A | G | A | G | A | G | A | A | G | A |
| 0.7-STD | - | 0.56 | 2.4 | 0.73 | - | 1.04 | 0.85 | - | 0.27 | 1.05 |
| 0.7-IQT | - | 0.42 | 2.11 | 0.64 | - | 0.94 | 0.35 | - | - | 0.67 |
| Days before | - | 6 | 1 | 1 | - | 3 | 5 | - | 2 | 4 |
Disclaimer/Publisher’s Note: The statements, opinions and data contained in all publications are solely those of the individual author(s) and contributor(s) and not of MDPI and/or the editor(s). MDPI and/or the editor(s) disclaim responsibility for any injury to people or property resulting from any ideas, methods, instructions or products referred to in the content. |
© 2023 by the authors. Licensee MDPI, Basel, Switzerland. This article is an open access article distributed under the terms and conditions of the Creative Commons Attribution (CC BY) license (https://creativecommons.org/licenses/by/4.0/).
Share and Cite
Boudriki Semlali, B.-E.; Molina, C.; Park, H.; Camps, A. First Results on the Systematic Search of Land Surface Temperature Anomalies as Earthquakes Precursors. Remote Sens. 2023, 15, 1110. https://doi.org/10.3390/rs15041110
Boudriki Semlali B-E, Molina C, Park H, Camps A. First Results on the Systematic Search of Land Surface Temperature Anomalies as Earthquakes Precursors. Remote Sensing. 2023; 15(4):1110. https://doi.org/10.3390/rs15041110
Chicago/Turabian StyleBoudriki Semlali, Badr-Eddine, Carlos Molina, Hyuk Park, and Adriano Camps. 2023. "First Results on the Systematic Search of Land Surface Temperature Anomalies as Earthquakes Precursors" Remote Sensing 15, no. 4: 1110. https://doi.org/10.3390/rs15041110
APA StyleBoudriki Semlali, B.-E., Molina, C., Park, H., & Camps, A. (2023). First Results on the Systematic Search of Land Surface Temperature Anomalies as Earthquakes Precursors. Remote Sensing, 15(4), 1110. https://doi.org/10.3390/rs15041110

