Greenland-Ice-Sheet Surface Temperature and Melt Extent from 2000 to 2020 and Implications for Mass Balance
Abstract
1. Introduction
2. Materials and Methods
2.1. Data
2.1.1. MODIS LST
2.1.2. PROMICE Data
2.1.3. Mass Balance Data
2.1.4. Other Relevant Data
2.2. Method
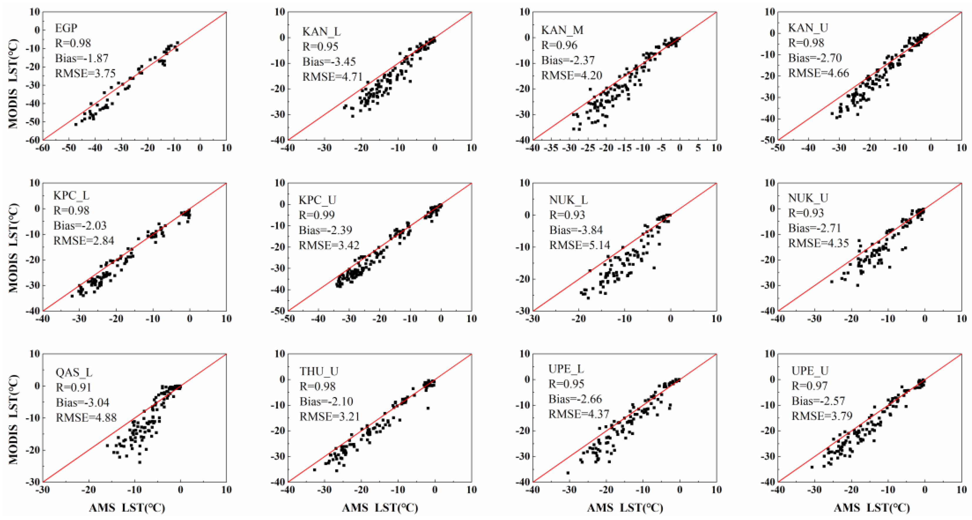
2.3. Accuracy Verification of MODIS LST
3. Results
3.1. Spatial Distribution and Trend of LST of the GrIS
3.2. Changes in Summer LST and Its Indicative Melt Extent
3.2.1. Summer LST Anomaly
3.2.2. Summer Surface Ablation in Extreme Years
3.3. Correlation between Changes in Summer LST and MB in the GrIS
4. Discussion
4.1. Uncertainty in Analysis
4.2. Relation between the GrIS LST and Atmospheric Circulation
5. Conclusions
Author Contributions
Funding
Data Availability Statement
Acknowledgments
Conflicts of Interest
References
- Qin, D.; Ding, Y. Cryospheric changes and their impacts: Present, trends and key issues. Adv. Clim. Res. 2009, 5, 187–195. [Google Scholar] [CrossRef]
- Forsberg, R.; Sørensen, L.; Simonsen, S. Greenland and Antarctica Ice Sheet Mass Changes and Effects on Global Sea Level. In Integrative Study of the Mean Sea Level and Its Components; Springer: Cham, Switzerland, 2017; pp. 91–106. [Google Scholar] [CrossRef]
- Chylek, P.; Box, J.E.; Lesins, G. Global warming and the Greenland ice sheet. Clim. Chang. 2004, 63, 201–221. [Google Scholar] [CrossRef]
- Moros, M.; Emeis, K.; Risebrobakken, B.; Snowball, I.; Kuijpers, A.; McManus, J.; Jansen, E. Sea surface temperatures and ice rafting in the Holocene North Atlantic: Climate influences on northern Europe and Greenland. Quat. Sci. Rev. 2004, 23, 2113–2126. [Google Scholar] [CrossRef]
- Zwally, H.J.; Giovinetto, M.B.; Li, J.; Cornejo, H.G.; Beckley, M.A.; Brenner, A.C.; Saba, J.L.; Yi, D. Mass changes of the Greenland and Antarctic ice sheets and shelves and contributions to sea-level rise: 1992–2002. J. Glaciol. 2005, 51, 509–527. [Google Scholar] [CrossRef]
- Bamber, J.L.; Aspinall, W.P. An expert judgement assessment of future sea level rise from the ice sheets. Nat. Clim. Chang. 2013, 3, 424–427. [Google Scholar] [CrossRef]
- Lythe, M.B.; Vaughan, D.G. BEDMAP: A NewIce Thickness and Subglacial Topographic Model of Antarctica. J. Geophys. Res. Solid Earth 2001, 106, 11335–11351. [Google Scholar] [CrossRef]
- Rowley, R.J.; Kostelnick, J.C.; Braaten, D.; Li, X.; Meisel, J. Risk of rising sea level to population and land area. Eos 2007, 88, 105–107. [Google Scholar] [CrossRef]
- Stroeve, J.C.; Serreze, M.C.; Holland, M.M.; Kay, J.E.; Malanik, J.; Barrett, A.P. The Arctic’s rapidly shrinking sea ice cover: A research synthesis. Clim. Chang. 2011, 110, 1005–1027. [Google Scholar] [CrossRef]
- Rignot, E.; Box, J.E.; Burgess, E.; Hanna, E. Mass balance of the Greenland ice sheet from 1958 to 2007. Geophys. Res. Lett. 2008, 35. [Google Scholar] [CrossRef]
- Mouginot, J.; Rignot, E.; Bjørk, A.A.; Broeke, M.V.D.; Millan, R.; Morlighem, M.; Noël, B.; Scheuchl, B.; Wood, M. Forty-six years of Greenland Ice Sheet mass balance from 1972 to 2018. Proc. Natl. Acad. Sci. USA 2019, 116, 9239–9244. [Google Scholar] [CrossRef]
- Abdalati, W.; Steffen, K. Greenland ice sheet melt extent: 1979–1999. J. Geophys. Res. Atmos. 2001, 106, 33983–33988. [Google Scholar] [CrossRef]
- Steffen, K.; Nghiem, S.V.; Huff, R.; Neumann, G. The melt anomaly of 2002 on the Greenland Ice Sheet from active and passive microwave satellite observations. Geophys. Res. Lett. 2004, 31. [Google Scholar] [CrossRef]
- Zwally, H.J.; Li, J.; Brenner, A.C.; Beckley, M.; Cornejo, H.G.; DiMarzio, J.; Giovinetto, M.B.; Neumann, T.A.; Robbins, J.; Saba, J.L.; et al. Greenland ice sheet mass balance: Distribution of increased mass loss with climate warming; 2003–07 versus 1992–2002. J. Glaciol. 2011, 57, 88–102. [Google Scholar] [CrossRef]
- Mote, T.L. Greenland surface melt trends 1973–2007: Evidence of a large increase in 2007. Geophys. Res. Lett. 2007, 34. [Google Scholar] [CrossRef]
- Fettweis, X.; Mabille, G.; Erpicum, M.; Nicolay, S.; Broeke, M.V.D. The 1958–2009 Greenland ice sheet surface melt and the mid-tropospheric atmospheric circulation. Clim. Dyn. 2010, 36, 139–159. [Google Scholar] [CrossRef]
- Hanna, E.; Huybrechts, P.; Steffen, K.; Cappelen, J.; Huff, R.; Shuman, C.; Irvine-Fynn, T.; Wise, S.; Griffiths, M. Increased Runoff from Melt from the Greenland Ice Sheet: A Response to Global Warming. J. Clim. 2008, 21, 331–341. [Google Scholar] [CrossRef]
- Nghiem, S.V.; Hall, D.K.; Mote, T.L.; Tedesco, M.; Albert, M.R.; Keegan, K.; Shuman, C.A.; DiGirolamo, N.E.; Neumann, G. The extreme melt across the Greenland ice sheet in 2012. Geophys. Res. Lett. 2012, 39, L20502. [Google Scholar] [CrossRef]
- Keegan, K.M.; Albert, M.R.; McConnell, J.R.; Baker, I. Climate change and forest fires synergistically drive widespread melt events of the Greenland Ice Sheet. Proc. Natl. Acad. Sci. USA 2014, 111, 7964–7967. [Google Scholar] [CrossRef]
- Hanna, E.; Cappelen, J.; Fettweis, X.; Mernild, S.H.; Mote, T.L.; Mottram, R.; Steffen, K.; Ballinger, T.J.; Hall, R.J. Greenland surface air temperature changes from 1981 to 2019 and implications for ice-sheet melt and mass-balance change. Int. J. Clim. 2020, 41, E1336–E1352. [Google Scholar] [CrossRef]
- Tedesco, M.; Fettweis, X. Unprecedented atmospheric conditions (1948–2019) drive the 2019 exceptional melting season over the Greenland ice sheet. Cryosphere 2020, 14, 1209–1223. [Google Scholar] [CrossRef]
- Joshi, M.; Merry, C.J.; Jezek, K.C.; Bolzan, J.F. An edge detection technique to estimate melt duration, season and melt extent on the Greenland Ice Sheet using Passive Microwave Data. Geophys. Res. Lett. 2001, 28, 3497–3500. [Google Scholar] [CrossRef]
- Hall, D.K.; Williams, R.S.; Casey, K.A.; DiGirolamo, N.E.; Wan, Z. Satellite-derived, melt-season surface temperature of the Greenland Ice Sheet (2000–2005) and its relationship to mass balance. Geophys. Res. Lett. 2006, 33. [Google Scholar] [CrossRef]
- Tedesco, M.; Serreze, M.; Fettweis, X. Diagnosing the extreme surface melt event over southwestern Greenland in 2007. Cryosphere 2008, 2, 159–166. [Google Scholar] [CrossRef]
- Hanna, E.; Fettweis, X.; Mernild, S.H.; Cappelen, J.; Ribergaard, M.H.; Shuman, C.A.; Steffen, K.; Wood, L.; Mote, T.L. Atmospheric and oceanic climate forcing of the exceptional Greenland ice sheet surface melt in summer. Int. J. Clim. 2013, 34, 1022–1037. [Google Scholar] [CrossRef]
- Wouters, B.; Bamber, J.L.; Broeke, M.R.V.D.; Lenaerts, J.T.M.; Sasgen, I. Limits in detecting acceleration of ice sheet mass loss due to climate variability. Nat. Geosci. 2013, 6, 613–616. [Google Scholar] [CrossRef]
- Hall, D.K.; Comiso, J.C.; DiGirolamo, N.E.; Shuman, C.A.; Box, J.E.; Koenig, L.S. Variability in the surface temperature and melt extent of the Greenland ice sheet from MODIS. Geophys. Res. Lett. 2013, 40, 2114–2120. [Google Scholar] [CrossRef]
- Hall, D.K.; Williams, R.S., Jr.; Luthcke, S.B.; Nicolo, E.D. Greenland ice sheet surface temperature, melt and mass loss: 2000–06. J. Glaciol. 2008, 54, 81–93. [Google Scholar] [CrossRef]
- van den Broeke, M.; Bamber, J.; Ettema, J.; Rignot, E.; Schrama, E.; van de Berg, W.J.; Wouters, B. Partitioning recent Greenland mass loss. Science 2009, 326, 984–986. [Google Scholar] [CrossRef]
- Velicogna, I. Increasing rates of ice mass loss from the Greenland and Antarctic ice sheets revealed by GRACE. Geophys. Res. Lett. 2009, 36. [Google Scholar] [CrossRef]
- Hall, D.K.; Cullather, R.I.; DiGirolamo, N.E.; Comiso, J.C.; Medley, B.C.; Nowicki, S.M. A Multilayer Surface Temperature, Surface Albedo, and Water Vapor Product of Greenland from MODIS. Remote. Sens. 2018, 10, 555. [Google Scholar] [CrossRef]
- Miller, N.B.; Shupe, M.D.; Cox, C.J.; Noone, D.; Persson, P.O.G.; Steffen, K. Surface energy budget responses to radiative forcing at Summit, Greenland. Cryosphere 2017, 11, 497–516. [Google Scholar] [CrossRef]
- Oerlemans, J. The mass balance of the Greenland ice sheet: Sensitivity to climate change as revealed by energy-balance modelling. Holocene 1991, 1, 40–48. [Google Scholar] [CrossRef]
- Hanna, E.; Huybrechts, P.; Janssens, I.; Cappelen, J.; Steffen, K.; Stephens, A. Runoff and mass balance of the Greenland ice sheet: 1958–2003. J. Geophys. Res. Atmos. 2005, 110. [Google Scholar] [CrossRef]
- Janssens, I.; Huybrechts, P. The treatment of meltwater retardation in mass-balance parameterizations of the Greenland ice sheet. Ann. Glaciol. 2000, 31, 133–140. [Google Scholar] [CrossRef]
- Zhang, Q.; Huai, B.; Broeke, M.R.V.D.; Cappelen, J.; Ding, M.; Wang, Y.; Sun, W. Temporal and Spatial Variability in Contemporary Greenland Warming (1958–2020). J. Clim. 2022, 35, 2755–2767. [Google Scholar] [CrossRef]
- Hall, D.K.; Box, J.E.; Casey, K.A.; Hook, S.J.; Shuman, C.A.; Steffen, K. Comparison of satellite-derived and in-situ observations of ice and snow surface temperatures over Greenland. Remote Sens. Environ. 2008, 112, 3739–3749. [Google Scholar] [CrossRef]
- Wan, Z. New refinements and validation of the collection-6 MODIS land-surface temperature/emissivity product. Remote Sens. Environ. 2014, 140, 36–45. [Google Scholar] [CrossRef]
- Qie, Y.; Wang, N.; Wu, Y.; Chen, A. Variations in Winter Surface Temperature of the Purog Kangri Ice Field, Qinghai–Tibetan Plateau, 2001–2018, Using MODIS Data. Remote. Sens. 2020, 12, 1133. [Google Scholar] [CrossRef]
- Ahlstrom, A.P.; Gravesen, P.; Andersen, S.B.; van As, D.; Citterio, M.; Fausto, R.S.; Nielsen, S.; Jepsen, H.F.; Kristensen, S.S.; Christensen, E.L. A new programme for monitoring the mass loss of the Greenland ice sheet. Geol. Surv. Den. Greenl. Bull. 2008, 15, 61–64. [Google Scholar] [CrossRef]
- Fausto, R.S.; van As, D.; Mankoff, K.D.; Vandecrux, B.; Citterio, M.; Ahlstrøm, A.P.; Andersen, S.B.; Colgan, W.; Karlsson, N.B.; Kjeldsen, K.K.; et al. Programme for Monitoring of the Greenland Ice Sheet (PROMICE) automatic weather station data. Earth Syst. Sci. Data 2021, 13, 3819–3845. [Google Scholar] [CrossRef]
- Mankoff, K.D.; Fettweis, X.; Langen, P.L.; Stendel, M.; Kjeldsen, K.K.; Karlsson, N.B.; Noël, B.; Broeke, M.R.V.D.; Solgaard, A.; Colgan, W.; et al. Greenland ice sheet mass balance from 1840 through next week. Earth Syst. Sci. Data 2021, 13, 5001–5025. [Google Scholar] [CrossRef]
- Previdi, M.; Veron, D.E. North Atlantic Oscillation–related climate variability in a regional atmospheric model. J. Geophys. Res. Atmos. 2005, 110. [Google Scholar] [CrossRef]
- Hanna, E.; Jones, J.M.; Cappelen, J.; Mernild, S.H.; Wood, L.; Steffen, K.; Huybrechts, P. The influence of North Atlantic atmospheric and oceanic forcing effects on 1900-2010 Greenland summer climate and ice melt/runoff. Int. J. Clim. 2012, 33, 862–880. [Google Scholar] [CrossRef]
- Fang, Z.F. Statistical relationship between the northern hemisphere sea ice and atmospheric circulation during wintertime. In Observation, Theory and Modeling of Atmospheric Variability: Selected Papers of Nanjing Institute of Meteorology Alumni in Commemoration of Professor Jijia Zhang; World Scientific: Singapore, 2004; pp. 131–141. [Google Scholar]
- Rogers, J.C. The association between the North Atlantic Oscillation and the Southern Oscillation in the northern hemisphere. Mon. Weather Rev. 1984, 112, 1999–2015. [Google Scholar] [CrossRef]
- Jones, P.D.; Jónsson, T.; Wheeler, D. Extension to the North Atlantic Oscillation using early instrumental pressure observations from Gibraltar and south-west Iceland. Int. J. Climatol. A J. R. Meteorol. Soc. 1997, 17, 1433–1450. [Google Scholar] [CrossRef]
- Peng, Z.; Wang, L.; Chen, C. The Short-term Mass Change of Greenland Ice Sheet and the Atmospheric Forcing. IOP Conf. Ser. Earth Environ. Sci. 2021, 660, 012091. [Google Scholar] [CrossRef]
- Hanna, E.; Cropper, T.E.; Hall, R.J.; Cappelen, J. Greenland Blocking Index 1851–2015: A regional climate change signal. Int. J. Clim. 2016, 36, 4847–4861. [Google Scholar] [CrossRef]
- Rignot, E.; Velicogna, I.; Broeke, M.R.V.D.; Monaghan, A.; Lenaerts, J.T.M. Acceleration of the contribution of the Greenland and Antarctic ice sheets to sea level rise. Geophys. Res. Lett. 2011, 38. [Google Scholar] [CrossRef]
- Välisuo, I.; Vihma, T.; Pirazzini, R.; Schäfer, M. Interannual Variability of Atmospheric Conditions and Surface Melt in Greenland in 2000–2004. J. Geophys. Res. Atmos. 2018, 123, 10443–10463. [Google Scholar] [CrossRef]
- Wan, Z.; Zhang, Y.; Zhang, Q.; Li, Z.L. Validation of the land-surface temperature products retrieved from Terra Moderate Resolution Imaging Spectroradiometer data. Remote Sens. Environ. 2002, 83, 163–180. [Google Scholar] [CrossRef]
- Koenig, L.S.; Hall, D.K. Comparison of satellite, thermochron and station temperatures at Summit, Greenland, during the winter of 2008/09. J. Glaciol. 2010, 56, 735–741. [Google Scholar] [CrossRef]
- Box, J.E.; Fettweis, X.; Stroeve, J.C.; Tedesco, M.; Hall, D.K.; Steffen, K. Greenland ice sheet albedo feedback: Thermodynamics and atmospheric drivers. Cryosphere 2012, 6, 593–634. [Google Scholar] [CrossRef]
- Bennartz, R.; Shupe, M.D.; Turner, D.D.; Walden, V.P.; Steffen, K.; Cox, C.J.; Kulie, M.S.; Miller, N.B.; Pettersen, C. July 2012 Greenland melt extent enhanced by low-level liquid clouds. Nature 2013, 496, 83–86. [Google Scholar] [CrossRef] [PubMed]
- Zikan, K.H.; Adolph, A.C.; Brown, W.P.; Fausto, R.S. Comparison of MODIS surface temperatures to in situ measurements on the Greenland Ice Sheet from 2014 to 2017. J. Glaciol. 2022, 1–12. [Google Scholar] [CrossRef]
- Østby, T.I.; Schuler, T.V.; Westermann, S. Severe cloud contamination of MODIS Land Surface Temperatures over an Arctic ice cap, Svalbard. Remote Sens. Environ. 2014, 142, 95–102. [Google Scholar] [CrossRef]
- Wenny, B.N.; Xiong, X.; Madhavan, S. Evaluation of Terra and Aqua MODIS thermal emissive band calibration consistency. Sens. Syst. Next-Gener. Satell. XVI 2012, 8533, 853317. [Google Scholar] [CrossRef]
- Ackerman, S.A.; Holz, R.E.; Frey, R.; Eloranta, E.W.; Maddux, B.C.; McGill, M. Cloud detection with MODIS. Part II: Validation. J. Atmos. Ocean. Technol 2008, 25, 1073–1086. [Google Scholar] [CrossRef]
- Qie, Y. Spatial and Temporal Variations of Glacier Surface Temperature and Albedo in the Qinghai-Tibetan Plateau during the Past 20 Years Using MODIS Data; Northwest University: Kirkland, WA, USA, 2020. [Google Scholar]
- Ackerman, S.A.; Strabala, K.I.; Menzel, W.P.; Frey, R.A.; Moeller, C.C.; Gumley, L.E. Discriminating clear sky from clouds with MODIS. J. Geophys. Res. Atmos. 1998, 103, 32141–32157. [Google Scholar] [CrossRef]
- Zhang, H.; Zhang, F.; Ye, M.; Che, T.; Zhang, G. Estimating daily air temperatures over the Tibetan Plateau by dynamically integrating MODIS LST data. J. Geophys. Res. Atmos. 2016, 121. [Google Scholar] [CrossRef]












| NO | NE | SE | SW | CW | NW | Mean | |
|---|---|---|---|---|---|---|---|
| 2001 | −27.79 ± 3.57 | −28.17 ± 4.84 | −20.07 ± 5.69 | −18.74 ± 3.81 | −25.38 ± 5.27 | −25.98 ± 5.03 | −25.67 ± 5.77 |
| 2002 | −25.90 ± 3.12 | −26.55 ± 4.35 | −20.39 ± 5.41 | −18.87 ± 4.05 | −24.72 ± 5.11 | −24.66 ± 5.02 | −24.51 ± 5.16 |
| 2003 | −26.04 ± 3.01 | −26.61 ± 4.42 | −19.48 ± 4.91 | −17.66 ± 3.54 | −24.25 ± 5.30 | −24.53 ± 5.12 | −24.29 ± 5.33 |
| 2004 | −26.52 ± 3.42 | −27.06 ± 4.61 | −20.15 ± 5.22 | −19.46 ± 3.77 | −25.71 ± 5.05 | −25.83 ± 5.08 | −25.13 ± 5.33 |
| 2005 | −25.73 ± 3.25 | −26.38 ± 4.79 | −19.48 ± 5.67 | −18.61 ± 3.89 | −25.34 ± 5.10 | −25.14 ± 5.13 | −24.45 ± 5.44 |
| 2006 | −26.41 ± 3.51 | −27.10 ± 4.67 | −19.85 ± 5.52 | −19.12 ± 3.89 | −25.53 ± 5.16 | −25.68 ± 5.32 | −25.01 ± 5.50 |
| 2007 | −26.99 ± 3.30 | −27.74 ± 4.78 | −20.64 ± 5.37 | −19.45 ± 3.75 | −25.75 ± 5.27 | −25.58 ± 4.96 | −25.46 ± 5.42 |
| 2008 | −26.15 ± 3.31 | −27.48 ± 4.72 | −20.72 ± 5.52 | −19.75 ± 3.71 | −26.09 ± 5.17 | −25.64 ± 5.14 | −25.28 ± 5.34 |
| 2009 | −26.37 ± 3.47 | −27.73 ± 4.88 | −20.64 ± 5.20 | −18.91 ± 4.07 | −25.08 ± 5.50 | −25.46 ± 5.53 | −25.19 ± 5.60 |
| 2010 | −24.48 ± 3.31 | −25.20 ± 4.36 | −17.39 ± 4.92 | −14.56 ± 3.72 | −21.76 ± 5.35 | −22.92 ± 5.11 | −22.48 ± 5.61 |
| 2011 | −27.18 ± 3.29 | −28.01 ± 4.87 | −21.42 ± 5.44 | −20.91 ± 4.34 | −26.94 ± 4.94 | −27.07 ± 5.38 | −26.17 ± 5.41 |
| 2012 | −25.67 ± 3.35 | −26.50 ± 4.65 | −19.31 ± 5.01 | −19.36 ± 3.63 | −25.34 ± 4.41 | −25.40 ± 4.73 | −24.56 ± 5.15 |
| 2013 | −27.25 ± 3.53 | −28.10 ± 4.72 | −20.79 ± 5.61 | −19.02 ± 3.99 | −25.99 ± 5.42 | −26.12 ± 5.29 | −25.73 ± 5.64 |
| 2014 | −26.43 ± 3.49 | −27.16 ± 4.81 | −20.03 ± 5.10 | −19.87 ± 3.45 | −25.09 ± 5.11 | −25.43 ± 5.39 | −25.03 ± 5.38 |
| 2015 | −27.42 ± 3.31 | −28.53 ± 4.92 | −21.62 ± 5.72 | −22.24 ± 3.82 | −27.48 ± 4.70 | −26.60 ± 5.04 | −26.49 ± 5.30 |
| 2016 | −24.52 ± 3.15 | −25.56 ± 4.47 | −18.51 ± 4.94 | −18.05 ± 3.47 | −23.42 ± 4.95 | −23.64 ± 4.92 | −23.32 ± 5.11 |
| 2017 | −26.45 ± 3.36 | −26.77 ± 4.62 | −20.02 ± 5.29 | −18.57 ± 3.64 | −24.89 ± 5.16 | −25.17 ± 5.07 | −24.74 ± 5.36 |
| 2018 | −26.52 ± 3.49 | −27.43 ± 4.72 | −20.58 ± 5.46 | −19.79 ± 4.03 | −25.02 ± 5.24 | −25.68 ± 5.19 | −25.22 ± 5.41 |
| 2019 | −24.87 ± 3.16 | −26.11 ± 4.42 | −20.14 ± 5.00 | −17.88 ± 3.84 | −23.88 ± 5.46 | −23.56 ± 5.03 | −23.78 ± 5.15 |
| 2020 | −26.67 ± 3.52 | −28.12 ± 4.98 | −21.26 ± 5.81 | −19.11 ± 3.97 | −26.13 ± 5.82 | −26.20 ± 5.12 | −25.77 ± 5.60 |
| Mean | −26.24 ± 3.39 | −27.09 ± 4.72 | −20.03 ± 5.42 | −19.01 ± 3.81 | −25.18 ± 5.18 | −25.28 ± 5.17 | −24.86 ± 5.46 |
Disclaimer/Publisher’s Note: The statements, opinions and data contained in all publications are solely those of the individual author(s) and contributor(s) and not of MDPI and/or the editor(s). MDPI and/or the editor(s) disclaim responsibility for any injury to people or property resulting from any ideas, methods, instructions or products referred to in the content. |
© 2023 by the authors. Licensee MDPI, Basel, Switzerland. This article is an open access article distributed under the terms and conditions of the Creative Commons Attribution (CC BY) license (https://creativecommons.org/licenses/by/4.0/).
Share and Cite
Fang, Z.; Wang, N.; Wu, Y.; Zhang, Y. Greenland-Ice-Sheet Surface Temperature and Melt Extent from 2000 to 2020 and Implications for Mass Balance. Remote Sens. 2023, 15, 1149. https://doi.org/10.3390/rs15041149
Fang Z, Wang N, Wu Y, Zhang Y. Greenland-Ice-Sheet Surface Temperature and Melt Extent from 2000 to 2020 and Implications for Mass Balance. Remote Sensing. 2023; 15(4):1149. https://doi.org/10.3390/rs15041149
Chicago/Turabian StyleFang, Zhenxiang, Ninglian Wang, Yuwei Wu, and Yujie Zhang. 2023. "Greenland-Ice-Sheet Surface Temperature and Melt Extent from 2000 to 2020 and Implications for Mass Balance" Remote Sensing 15, no. 4: 1149. https://doi.org/10.3390/rs15041149
APA StyleFang, Z., Wang, N., Wu, Y., & Zhang, Y. (2023). Greenland-Ice-Sheet Surface Temperature and Melt Extent from 2000 to 2020 and Implications for Mass Balance. Remote Sensing, 15(4), 1149. https://doi.org/10.3390/rs15041149

