A Unified Brightness Temperature Features Analysis Framework for Mapping Mare Basalt Units Using Chang’e-2 Lunar Microwave Sounder (CELMS) Data
Abstract
1. Introduction
- A unified framework for assessing CELMS brightness temperature features is proposed to quantitatively analyze the influence of each feature on mare basalt classification. To the best of our knowledge, this is the first systematic framework for assessing CELMS brightness temperature features for lunar basalt unit classification.
- The effectiveness of dimension reduction for brightness temperature features is demonstrated by analyzing the vector projection and data distribution in the feature space.
- A new geological map of Mare Fecunditatis is generated based on the random forest algorithm using CELMS data.
2. Dataset and Study Area
2.1. Dataset
2.2. Study Area
3. Methodology
3.1. Overall Framework
- Preprocessing and brightness temperature feature exaction
- 2.
- Feature analysis
- 3.
- Dimension reduction and classification
3.2. TB and dTB Feature Extraction
3.3. Pearson Coefficient
3.4. Distance Metrics
3.4.1. Normalized Distance
3.4.2. J-S Divergence
3.5. Contribution to Classification
3.5.1. ReliefF
3.5.2. OOB Importance
3.6. Principal Component Analysis
3.7. Random Forest
4. Experimental Results
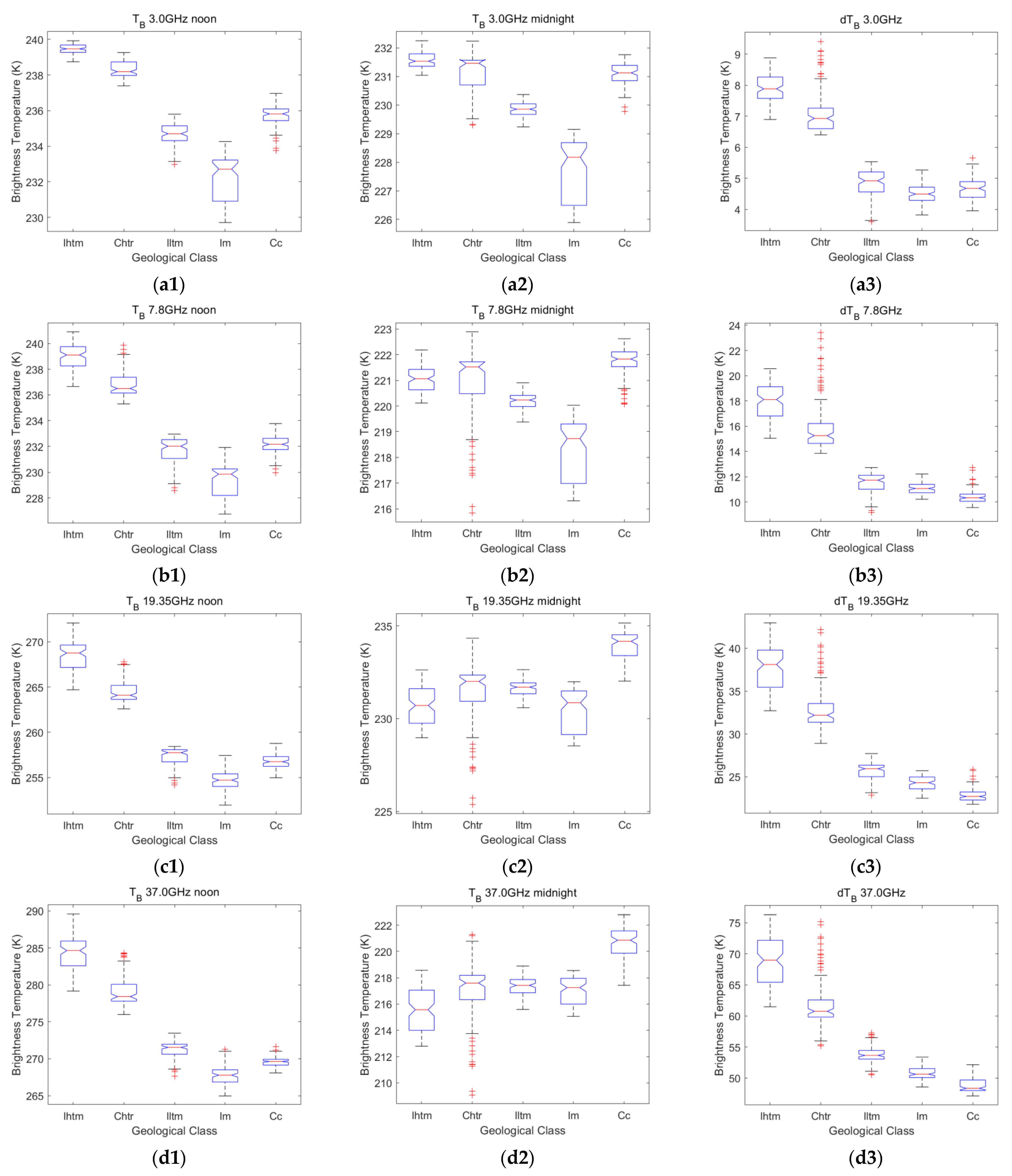
4.1. Statistic Analysis
4.2. Pearson Coefficient
4.3. Distance Metrics
4.4. Contribution to Classification
4.5. Dimension Reduction and Classification
5. Discussions
- 1.
- TBnoon and TBmidnight features demonstrate different capabilities in distinguishing various basalt units. TBnoon features are good at distinguishing most class pairs, except those involving Cc, Im and Iltm, compared with TBmidnight features, while TBmidnight features showed their superiority in distinguishing Cc-Im and Cc-Iltm from TBnoon features. The possible explanation is that the different Ti and Fe content lead to varying cooling rates during the lunar night.
- 2.
- The frequency range of the observation influences the capabilities in distinguishing different basalt units. High-frequency features with a shallow penetration depth, especially 19.35 GHz, can better map Mare Fecunditatis with fewer classification errors in Cc, Im and Iltm units. The possible explanation is that Im and Iltm are early-age(?) mare basalt, and together with the crater ejecta Cc, contain less Ti and are highly dielectric. Yet, 37.0 GHz features may be influenced by the lunar dust from the regolith, leading to a slightly poorer result. Low-frequency features (especially 3.0 GHz) may classify certain parts of mare basalt as Cc units. We suppose that the possible reason is that the deep layer of Mare Fecunditatis is the impact basin (interpreted as Cc unit) and was not filled by magma when the Mare Fecunditatis was formed (may be in the Imbrian period 3.2~3.85 Ga before) [27].
- 3.
- The advantage of utilizing the dTB features proposed in our previous researches [18,19,20,21,22,23] in distinguishing most classes in CELMS data is confirmed in this study. dTB features are verified for their strong ability to eliminate the latitude difference and strengthen the difference of cooling effects of various basalt units. We also discovered that dTB features have a stronger ability to distinguish mare basalt, especially between early(?)- and late(?)-aged basalt, in certain aspects.
- 4.
- Redundancy exists universally in CELMS features. This study points out the need to conduct dimension reduction on CELMS features. We discovered that only 3 PCs in the PCA feature space can represent almost all 12 original features for the first time. After dimension reduction, the difficult-to-identify Im unit hidden in the south part of Mare Fecunditatis is better classified. The scatterplots in PCA support this phenomenon.
- 5.
- A new geological map of Mare Fecunditatis is generated in this study based on CELMS data by using the supervised machine learning method, which largely agreed with the previous mapping results by other researchers based on Clementine UV/VIS data [30,48,49,50], proving that CELMS data are effective in mapping mare basalt units.
6. Conclusions
Author Contributions
Funding
Data Availability Statement
Acknowledgments
Conflicts of Interest
References
- Tang, T.; Meng, Z.; Lian, Y.; Xiao, Z.; Ping, J.; Cai, Z.; Zhang, X.; Dong, X.; Zhang, Y. New Insights into Surface Deposits in the Balmer-Kapteyn Cryptomare Region Provided by Chang’E-2 Microwave Radiometer Data. Remote Sens. 2022, 14, 4556. [Google Scholar] [CrossRef]
- Meng, Z.; Tang, T.; Dong, X.; Chang, W.; Zou, M.; Zhang, H.; Wang, M.; Cai, Z.; Ping, J.; Zheng, Y.; et al. Analyzing the Microwave Thermal Emission Features of Lunar Regolith in Chang’E Landing Sites and Its Geologic Significance. Sci. Sin. Phys. Mech. Astron. 2022, 53, 239609. [Google Scholar] [CrossRef]
- Li, C.; Guo, Z.; Li, Y.; Tai, K.; Wei, K.; Li, X.; Liu, J.; Ma, W. Impact-driven disproportionation origin of nanophase iron particles in Chang’e-5 lunar soil sample. Nat. Astron. 2022, 6, 1156–1162. [Google Scholar] [CrossRef]
- Karthi, A.; Arivazhagan, S. Chronological and compositional mapping of the Mare Orientale basin using Chandrayaan-1–M3 and LRO datasets. Icarus 2022, 375, 114844. [Google Scholar] [CrossRef]
- Kramer, G.Y.; Jolliff, B.L.; Neal, C.R. Distinguishing high-alumina mare basalts using Clementine UVVIS and Lunar Prospector GRS data: Mare Moscoviense and Mare Nectaris. J. Geophys. Res. Planets 2008, 113, E01002. [Google Scholar] [CrossRef]
- Thiessen, F.; Besse, S.; Staid, M.I.; Hiesinger, H. Mapping lunar mare basalt units in mare Imbrium as observed with the Moon Mineralogy Mapper (M3). Planet. Space Sci. 2014, 104, 244–252. [Google Scholar] [CrossRef]
- Hiesinger, H.; Head, J.W., III; Wolf, U.; Jaumann, R.; Neukum, G. Ages and stratigraphy of lunar mare basalts in Mare Frigoris and other nearside maria based on crater size-frequency distribution measurements. J. Geophys. Res. Planets 2010, 115, E03003. [Google Scholar] [CrossRef]
- Liu, J.; Liu, J.; Wang, J.; Zhu, K.; Zhang, L. Basalt Chronology of the Orientale Basin Based on CE-2 CCD Imaging and Implications for Lunar Basin Volcanism. Remote Sens. 2022, 14, 1426. [Google Scholar] [CrossRef]
- Bugiolacchi, R.; Mall, U.; Bhatt, M.; McKenna-Lawlor, S.; Ullaland, K. From the Imbrium Basin to crater Tycho: The first regional spectral distribution map derived from SIR-2 near-infrared data. Icarus 2013, 223, 804–818. [Google Scholar] [CrossRef]
- Bugiolacchi, R.; Mall, U.; Bhatt, M.; McKenna-Lawlor, S.; Banaszkiewicz, M.; Brønstad, K.; Nathues, A.; Søraas, F.; Ullaland, K.; Pedersen, R.B. An in-depth look at the lunar crater Copernicus: Exposed mineralogy by high-resolution near-infrared spectroscopy. Icarus 2011, 213, 43–63. [Google Scholar] [CrossRef]
- Bugiolacchi, R.; Guest, J.E. Compositional and temporal investigation of exposed lunar basalts in the Mare Imbrium region. Icarus 2008, 197, 1–18. [Google Scholar] [CrossRef]
- Cao, H.; Xu, Y.; Xu, L.; Zhang, L.; Bugiolacchi, R.; Zhang, F. From Schrödinger to Von Kármán: An Intriguing New Geological Structure Revealed by the Chang’e-4 Lunar Penetrating Radar. Geophys. Res. Lett. 2023, 50, e2022GL101413. [Google Scholar] [CrossRef]
- Wang, P.; Bugiolacchi, R.; Su, Y. A new compositional, mineralogical and chronological study of the Leibnitz crater within the SPA basin. Planet. Space Sci. 2023, 227, 105640. [Google Scholar] [CrossRef]
- Chen, R.; Xu, Y.; Xie, M.; Zhang, L.; Niu, S.; Bugiolacchi, R. Sub-surface stratification and dielectric permittivity distribution at the Chang’E-4 landing site revealed by the lunar penetrating radar. Astron. Astrophys. 2022, 664, A35. [Google Scholar] [CrossRef]
- Zhang, L.; Xu, Y.; Bugiolacchi, R.; Hu, B.; Liu, C.; Lai, J.; Zeng, Z.; Huo, Z. Rock abundance and evolution of the shallow stratum on Chang’e-4 landing site unveiled by lunar penetrating radar data. Earth Planet. Sci. Lett. 2021, 564, 116912. [Google Scholar] [CrossRef]
- Cai, Z.; Lan, T. Lunar brightness temperature model based on the microwave radiometer data of Chang’E-2. IEEE Trans. Geosci. Remote Sens. 2017, 55, 5944–5955. [Google Scholar] [CrossRef]
- Jin, Y.; Fa, W. Theoretical Methods and Applications of Planetary Microwave Remote Sensing; Science Press: Beijing, China, 2019. [Google Scholar]
- Meng, Z.G.; Wang, H.H.; Zheng, Y.C.; Wang, Y.Z.; Miyamoto, H.; Cai, Z.C.; Zhu, Y.Z. Several Geological Issues of Schrödinger Basin Exposed by CE-2 CELMS Data. Adv. Astron. 2019, 2019, 3926082. [Google Scholar] [CrossRef]
- Meng, Z.; Li, X.; Chen, S.; Zheng, Y.; Shi, J.; Wang, T.; Zhang, Y.; Ping, J.; Lu, Y. Thermophysical features of shallow lunar crust demonstrated by typical copernican craters using CE-2 CELMS data. IEEE J. Sel. Top. Appl. Earth Obs. Remote Sens. 2019, 12, 2565–2574. [Google Scholar] [CrossRef]
- Hu, S.; Meng, Z.; Zhu, Y.; Lian, Y.; Li, C.; Guesv, A. Microwave Emission Features of Von Kármán Crater Revealed by Chang’E-2 CELMS Data. J. Deep. Space Explor. 2018, 5, 20–26. [Google Scholar] [CrossRef]
- Meng, Z.; Zhao, R.; Cai, Z.; Ping, J.; Tang, Z.; Chen, S. Microwave thermal emission at Tycho area and its geological significance. IEEE J. Sel. Top. Appl. Earth Obs. Remote Sens. 2022, 10, 2984–2990. [Google Scholar] [CrossRef]
- Lei, J.; Meng, Z.; Wang, Y.; Huang, S.; Ping, J.; Cai, Z.; Zhang, Y. Potential Applications of CE-2 Microwave Radiometer Data in Understanding Basaltic Volcanism in Heavily Ejecta-Contaminated Mare Frigoris. Remote Sens. 2022, 14, 2725. [Google Scholar] [CrossRef]
- Meng, Z.; Chen, S.; Wang, Y.; Wang, T.; Cai, Z.; Zhang, Y.; Zheng, Y.; Hu, S. Reevaluating Mare Moscoviense and its vicinity using Chang’E-2 microwave sounder data. Remote Sens. 2020, 12, 535. [Google Scholar] [CrossRef]
- Li, Y.; Zhang, Y.; Yuan, Z.; Guo, H.; Pan, H.; Guo, J. Marine oil spill detection based on the comprehensive use of polarimetric SAR data. Sustainability 2018, 10, 4408. [Google Scholar] [CrossRef]
- Mazhar, S.; Sun, G.; Bilal, A.; Hassan, B.; Li, Y.; Zhang, J.; Lin, Y.; Khan, A.; Ahmed, R.; Hassan, T. AUnet: A Deep Learning Framework for Surface Water Channel Mapping Using Large-Coverage Remote Sensing Images and Sparse Scribble Annotations from OSM Data. Remote Sens. 2022, 14, 3283. [Google Scholar] [CrossRef]
- Li, Y.; Yang, J.; Yuan, Z.; Zhang, Y. Marine Oil Spills Detection and Classification from PolSAR Images Based on Complex-Valued Convolutional Neural Network. In Proceedings of the 2022 IEEE International Geoscience and Remote Sensing Symposium, Kuala Lumpur, Malaysia, 17–22 July 2022. [Google Scholar] [CrossRef]
- Zhao, S.; Qian, Y.; Xiao, L.; Zhao, J.; He, Q.; Huang, J.; Wang, J.; Chen, H.; Xu, W. Lunar Mare Fecunditatis: A Science-Rich Region and a Concept Mission for Long-Distance Exploration. Remote Sens. 2022, 14, 1062. [Google Scholar] [CrossRef]
- Ouyang, Z. Introduction to Lunar Science; China Astronautic Publishing House: Beijing, China, 2005. [Google Scholar]
- Fortezzo, C.M.; Spudis, P.D.; Harrel, S.L. Release of the digital unified global geologic map of the Moon at 1: 5,000,000-Scale. In Proceedings of the Lunar and Planetary Science Conference, Woodlands, TX, USA, 6–20 March 2020; Available online: https://www.hou.usra.edu/meetings/lpsc2020/pdf/2760.pdf (accessed on 29 March 2023).
- Kramer, G.Y.; Jolliff, B.L.; Neal, C.R. Searching for high alumina mare basalts using Clementine UVVIS and Lunar Prospector GRS data: Mare Fecunditatis and Mare Imbrium. Icarus 2008, 198, 7–18. [Google Scholar] [CrossRef]
- Li, Y.; Liang, H.; Sun, G.; Yuan, Z.; Zhang, Y.; Zhang, H. A Land Cover Background-Adaptive Framework for Large-Scale Road Extraction. Remote Sens. 2022, 14, 5114. [Google Scholar] [CrossRef]
- Li, Y.; Lin, H.; Zhang, Y.; Chen, J. Comparisons of circular transmit and linear receive compact polarimetric SAR features for oil slicks discrimination. J. Sens. 2015, 2015, 631561. [Google Scholar] [CrossRef]
- Bai, Y.; Sun, G.; Li, Y.; Ma, P.; Li, G.; Zhang, Y. Comprehensively analyzing optical and polarimetric SAR features for land-use/land-cover classification and urban vegetation extraction in highly-dense urban area. Int. J. Appl. Earth Obs. Geoinf. 2021, 103, 102496. [Google Scholar] [CrossRef]
- Farnia, F.; Tse, D. A convex duality framework for GANs. In Proceedings of the 32nd Conference on Neural Information Processing Systems, Montreal, QC, Canada, 2–8 December 2018; Available online: https://proceedings.neurips.cc/paper/2018/file/831caa1b600f852b7844499430ecac17-Paper.pdf (accessed on 27 October 2022).
- Zhou, Z. Machine Learning; Tsinghua University Press: Beijing, China, 2018. [Google Scholar]
- Genuer, R.; Poggi, J.M.; Tuleau-Malot, C. Variable selection using random forests. Pattern Recognit. Lett. 2010, 31, 2225–2236. [Google Scholar] [CrossRef]
- Breiman, L. Out-of-Bag Estimation. 1996. Available online: https://www.stat.berkeley.edu/~breiman/OOBestimation.pdf (accessed on 27 October 2022).
- Breiman, L. Random forests. Mach. Learn. 2001, 45, 5–32. [Google Scholar] [CrossRef]
- Gao, S.; Li, S.; Liu, H. Oil Spill Detection by CP SAR Based on the Power Entropy Decomposition. Remote Sens. 2022, 14, 5030. [Google Scholar] [CrossRef]
- Fu, H.; Sun, G.; Ren, J.; Zhang, A.; Jia, X. Fusion of PCA and segmented-PCA domain multiscale 2-D-SSA for effective spectral-spatial feature extraction and data classification in hyperspectral imagery. IEEE Trans. Geosci. Remote Sens. 2020, 60, 1–14. [Google Scholar] [CrossRef]
- Zhang, T.; Marino, A.; Xiong, H.; Yu, W. A ship detector applying principal component analysis to the polarimetric notch filter. Remote Sens. 2018, 10, 948. [Google Scholar] [CrossRef]
- Zhang, Y.; Li, Y.; Liang, X.S.; Tsou, J. Comparison of oil spill classifications using fully and compact polarimetric SAR images. Appl. Sci. 2017, 7, 193. [Google Scholar] [CrossRef]
- Chen, G.; Li, Y.; Sun, G.; Zhang, Y. Application of deep networks to oil spill detection using polarimetric synthetic aperture radar images. Appl. Sci. 2017, 7, 968. [Google Scholar] [CrossRef]
- Zhang, C.; Ma, Y. Ensemble Machine Learning: Methods and Applications; Springer Science & Business Media: New York, NY, USA, 2012. [Google Scholar] [CrossRef]
- Belgiu, M.; Drăguţ, L. Random forest in remote sensing: A review of applications and future directions. ISPRS J. Photogramm. Remote Sens. 2016, 114, 24–31. [Google Scholar] [CrossRef]
- Zhang, H.; Li, J.; Wang, T.; Lin, H.; Zheng, Z.; Li, Y.; Lu, Y. A manifold learning approach to urban land cover classification with optical and radar data. Landsc. Urban Plan. 2018, 172, 11–24. [Google Scholar] [CrossRef]
- Zhang, H.; Lin, H.; Wang, Y. A new scheme for urban impervious surface classification from SAR images. ISPRS J. Photogramm. Remote Sens. 2018, 139, 103–118. [Google Scholar] [CrossRef]
- Rajmon, D.; Spudis, P. Distribution and stratigraphy of basaltic units in Maria Tranquillitatis and Fecunditatis: A Clementine perspective. Meteorit. Planet. Sci. 2004, 39, 1699–1720. [Google Scholar] [CrossRef]
- Kodama, S.; Yamaguchi, Y. Lunar mare volcanism in the eastern nearside region derived from Clementine UV/VIS data. Meteorit. Planet. Sci. 2003, 38, 1461–1484. [Google Scholar] [CrossRef]
- Pieters, C.M. Mare basalt types on the front side of the moon: A summary of spectral reflectance data. In Proceedings of the 9th Lunar and Planetary Science Conference, Houston, TX, USA, 13–17 March 1978; Available online: https://adsabs.harvard.edu/pdf/1978LPSC....9.2825P (accessed on 27 October 2022).
- Liu, D.; Wang, X.; Liu, J.; Liu, B.; Ren, X.; Chen, Y.; Chen, Z.; Zhang, H.; Zhang, G.; Zhou, Q.; et al. Spectral interpretation of late-stage mare basalt mineralogy unveiled by Chang’E-5 samples. Nat. Commun. 2022, 13, 5965. [Google Scholar] [CrossRef] [PubMed]
- Yang, F.; Xu, W.; Cui, Z.; Liu, X.; Xu, X.; Jia, L.; Chen, Y.; Shu, R.; Li, L. Convolutional Neural Network Chemometrics for Rock Identification Based on Laser-Induced Breakdown Spectroscopy Data in Tianwen-1 Pre-Flight Experiments. Remote Sens. 2022, 14, 5343. [Google Scholar] [CrossRef]
- Zuo, W.; Zeng, X.; Gao, X.; Zhang, Z.; Liu, D.; Li, C. Machine Learning Fusion Multi-Source Data Features for Classification Prediction of Lunar Surface Geological Units. Remote Sens. 2022, 14, 5075. [Google Scholar] [CrossRef]
- Yang, H.; Xu, X.; Ma, Y.; Xu, Y.; Liu, S. CraterDANet: A Convolutional Neural Network for Small-Scale Crater Detection via Synthetic-to-Real Domain Adaptation. IEEE Trans. Geosci. Remote Sens. 2022, 60, 1–12. [Google Scholar] [CrossRef]
- Yu, N.; Yang, R.; Huang, M. Deep Common Spatial Pattern based Motor Imagery Classification with Improved Objective Function. Int. J. Netw. Dyn. Intell. 2022, 1, 73–84. [Google Scholar] [CrossRef]
- Shakiba, F.M.; Shojaee, M.; Azizi, S.M.; Zhou, M. Real-Time Sensing and Fault Diagnosis for Transmission Lines. Int. J. Netw. Dyn. Intell. 2022, 1, 36–47. [Google Scholar] [CrossRef]
- Szankin, M.; Kwasniewska, A. Can AI See Bias in X-ray Images? Int. J. Netw. Dyn. Intell. 2022, 1, 48–64. [Google Scholar] [CrossRef]
- Bai, Y.; Sun, G.; Ge, Y.; Zhang, Y.; Li, Y. Mapping urban impervious surfaces by fusing optical and SAR data at decision level. In Proceedings of the 2019 IEEE International Geoscience and Remote Sensing Symposium, Yokohama, Japan, 28 July–2 August 2019. [Google Scholar] [CrossRef]
- Li, Y.; Yuan, Z.; Zheng, K.; Jia, L.; Guo, H.; Pan, H.; Guo, J.; Huang, L. A novel detail weighted histogram equalization method for brightness preserving image enhancement based on partial statistic and global mapping model. IET Image Process. 2022, 16, 3325–3341. [Google Scholar] [CrossRef]
- Lin, Y.; Wan, L.; Zhang, H.; Wei, S.; Ma, P.; Li, Y.; Zhao, Z. Leveraging optical and SAR data with a UU-Net for large-scale road extraction. Int. J. Appl. Earth Obs. Geoinf. 2021, 103, 102498. [Google Scholar] [CrossRef]
- Lin, Y.; Zhang, H.; Li, G.; Wan, L.; Wang, F.; Ma, P.; Lin, H. Improving urban impervious surface extraction by synergizing hyperspectral and polarimetric radar data using sparse representation. Egypt. J. Remote Sens. Space Sci. 2022, 25, 1045–1056. [Google Scholar] [CrossRef]



















| Ihtm-Chtr | Ihtm-Iltm | Ihtm-Cc | Ihtm-Im | Chtr-Cc | |
| TBnoon 3.0 GHz | 1.7681 | 5.2957 | 3.8921 | 4.6364 | 2.2106 |
| TBmidnight 3.0 GHz | 0.4359 | 2.9701 | 0.7508 | 2.6762 | 0.2153 |
| TBnoon 7.8 GHz | 1.3369 | 3.5749 | 3.7136 | 4.1268 | 2.8956 |
| TBmidnight 7.8 GHz | 0.036 | 0.9322 | 0.505 | 1.6014 | 0.3954 |
| TBnoon 19.35 GHz | 1.3695 | 3.9769 | 4.3095 | 4.6374 | 3.4245 |
| TBmidnight 19.35 GHz | 0.3077 | 0.7197 | 1.7936 | 0.149 | 1.2652 |
| TBnoon 37.0 GHz | 1.1526 | 3.58 | 4.5245 | 4.2696 | 3.4361 |
| TBmidnight 37.0 GHz | 0.379 | 0.8739 | 1.785 | 0.5133 | 1.311 |
| dTB 3.0 GHz | 0.9973 | 3.3257 | 3.956 | 4.3936 | 2.9824 |
| dTB 7.8 GHz | 0.8105 | 2.9752 | 3.8382 | 3.7549 | 2.7194 |
| dTB 19.35 GHz | 0.9793 | 3.2783 | 4.348 | 3.8826 | 3.4246 |
| dTB 37.0 GHz | 0.8763 | 2.8073 | 3.9062 | 3.5237 | 2.9714 |
| Chtr-Iltm | Chtr-Im | Cc-Im | Cc-Iltm | Im-Iltm | |
| TBnoon 3.0 GHz | 3.2082 | 3.4352 | 1.6866 | 0.6263 | 1.3345 |
| TBmidnight 3.0 GHz | 1.6539 | 2.1064 | 2.0517 | 1.4952 | 1.5721 |
| TBnoon 7.8 GHz | 2.795 | 3.5374 | 1.1723 | 0.098 | 1.0304 |
| TBmidnight 7.8 GHz | 0.5765 | 1.2583 | 1.7858 | 1.3758 | 1.2378 |
| TBnoon 19.35 GHz | 3.0387 | 3.8945 | 0.8558 | 0.3573 | 1.1619 |
| TBmidnight 19.35 GHz | 0.2149 | 0.4174 | 1.7645 | 1.8195 | 0.827 |
| TBnoon 37.0 GHz | 2.471 | 3.3264 | 0.7214 | 0.9547 | 1.3622 |
| TBmidnight 37.0 GHz | 0.324 | 0.0563 | 1.5546 | 1.5847 | 0.3357 |
| dTB 3.0 GHz | 2.4309 | 3.3622 | 0.1706 | 0.2735 | 0.4443 |
| dTB 7.8 GHz | 1.9428 | 2.5358 | 0.7682 | 0.883 | 0.351 |
| dTB 19.35 GHz | 2.2734 | 2.8893 | 1.0139 | 1.5864 | 0.7089 |
| dTB 37.0 GHz | 1.7945 | 2.5356 | 0.9093 | 1.9156 | 1.1222 |
| Ihtm-Chtr | Ihtm-Iltm | Ihtm-Cc | Ihtm-Im | Chtr-Cc | |
| TBnoon 3.0 GHz | 0.6280 | 0.6931 | 0.6931 | 0.6931 | 0.6931 |
| TBmidnight 3.0 GHz | 0.2166 | 0.6931 | 0.3860 | 0.6931 | 0.2027 |
| TBnoon 7.8 GHz | 0.5734 | 0.6931 | 0.6931 | 0.6931 | 0.6931 |
| TBmidnight 7.8 GHz | 0.2560 | 0.4774 | 0.3550 | 0.6931 | 0.2791 |
| TBnoon 19.35 GHz | 0.6124 | 0.6931 | 0.6931 | 0.6931 | 0.6931 |
| TBmidnight 19.35 GHz | 0.3463 | 0.5061 | 0.6675 | 0.4610 | 0.6143 |
| TBnoon 37.0 GHz | 0.6125 | 0.6931 | 0.6931 | 0.6931 | 0.6931 |
| TBmidnight 37.0 GHz | 0.4194 | 0.5490 | 0.6814 | 0.5226 | 0.6344 |
| dTB 3.0 GHz | 0.5051 | 0.6931 | 0.6931 | 0.6931 | 0.6931 |
| dTB 7.8 GHz | 0.5550 | 0.6931 | 0.6931 | 0.6931 | 0.6931 |
| dTB 19.35 GHz | 0.6059 | 0.6931 | 0.6931 | 0.6931 | 0.6931 |
| dTB 37.0 GHz | 0.6114 | 0.6931 | 0.6931 | 0.6931 | 0.6931 |
| Chtr-Iltm | Chtr-Im | Cc-Im | Cc-Iltm | Im-Iltm | |
| TBnoon 3.0 GHz | 0.6931 | 0.6931 | 0.6872 | 0.4556 | 0.6291 |
| TBmidnight 3.0 GHz | 0.6180 | 0.6931 | 0.6931 | 0.6280 | 0.6931 |
| TBnoon 7.8 GHz | 0.6931 | 0.6931 | 0.6108 | 0.3519 | 0.6086 |
| TBmidnight 7.8 GHz | 0.4154 | 0.6527 | 0.6872 | 0.6178 | 0.5968 |
| TBnoon 19.35 GHz | 0.6931 | 0.6931 | 0.5052 | 0.4863 | 0.6233 |
| TBmidnight 19.35 GHz | 0.3324 | 0.4716 | 0.6931 | 0.6781 | 0.4348 |
| TBnoon 37.0 GHz | 0.6931 | 0.6931 | 0.5477 | 0.6146 | 0.6321 |
| TBmidnight 37.0 GHz | 0.3858 | 0.3521 | 0.6598 | 0.6367 | 0.4399 |
| dTB 3.0 GHz | 0.6931 | 0.6931 | 0.2056 | 0.3098 | 0.3632 |
| dTB 7.8 GHz | 0.6931 | 0.6931 | 0.4425 | 0.5139 | 0.4346 |
| dTB 19.35 GHz | 0.6931 | 0.6931 | 0.5481 | 0.6529 | 0.5507 |
| dTB 37.0 GHz | 0.6898 | 0.6931 | 0.5790 | 0.6806 | 0.6542 |
| Ihtm-Chtr | Ihtm-Iltm | Ihtm-Cc | Ihtm-Im | Chtr-Cc | |
| TBnoon 3.0 GHz | 0.2617 | 0.6005 | 0.5269 | 0.5810 | 0.3344 |
| TBmidnight 3.0 GHz | 0.1834 | 0.5539 | 0.2790 | 0.5017 | 0.1079 |
| TBnoon 7.8 GHz | 0.1007 | 0.4689 | 0.4941 | 0.5164 | 0.3406 |
| TBmidnight 7.8 GHz | 0.0743 | 0.2492 | 0.1504 | 0.3322 | 0.0847 |
| TBnoon 19.35 GHz | 0.1242 | 0.5080 | 0.5359 | 0.5422 | 0.4316 |
| TBmidnight 19.35 GHz | 0.0560 | 0.1488 | 0.3260 | 0.2437 | 0.2063 |
| TBnoon 37.0 GHz | 0.0860 | 0.4647 | 0.5448 | 0.5204 | 0.4402 |
| TBmidnight 37.0 GHz | 0.0541 | 0.1724 | 0.3348 | 0.2304 | 0.2431 |
| dTB 3.0 GHz | 0.0769 | 0.4535 | 0.5005 | 0.5255 | 0.3051 |
| dTB 7.8 GHz | 0.0443 | 0.4281 | 0.4872 | 0.5049 | 0.2644 |
| dTB 19.35 GHz | 0.0754 | 0.4711 | 0.5491 | 0.5198 | 0.3946 |
| dTB 37.0 GHz | 0.0618 | 0.4338 | 0.5373 | 0.4891 | 0.4055 |
| Chtr-Iltm | Chtr-Im | Cc-Im | Cc-Iltm | Im-Iltm | |
| TBnoon 3.0 GHz | 0.4202 | 0.4467 | 0.2770 | 0.1603 | 0.1775 |
| TBmidnight 3.0 GHz | 0.3173 | 0.3540 | 0.3516 | 0.2850 | 0.2773 |
| TBnoon 7.8 GHz | 0.3272 | 0.3867 | 0.1665 | 0.0922 | 0.1008 |
| TBmidnight 7.8 GHz | 0.0684 | 0.2131 | 0.2622 | 0.2381 | 0.1800 |
| TBnoon 19.35 GHz | 0.4049 | 0.4487 | 0.1130 | 0.1122 | 0.0981 |
| TBmidnight 19.35 GHz | 0.0631 | 0.0815 | 0.2647 | 0.2717 | 0.1413 |
| TBnoon 37.0 GHz | 0.3525 | 0.4106 | 0.1209 | 0.1528 | 0.1280 |
| TBmidnight 37.0 GHz | 0.0816 | 0.0806 | 0.1953 | 0.2282 | 0.1100 |
| dTB 3.0 GHz | 0.2696 | 0.3432 | 0.0919 | 0.0892 | 0.1030 |
| dTB 7.8 GHz | 0.2243 | 0.2713 | 0.1304 | 0.1545 | 0.1164 |
| dTB 19.35 GHz | 0.3214 | 0.3704 | 0.2319 | 0.2705 | 0.0756 |
| dTB 37.0 GHz | 0.2971 | 0.3435 | 0.1631 | 0.2616 | 0.1021 |
| Ihtm-Chtr | Ihtm-Iltm | Ihtm-Cc | Ihtm-Im | Chtr-Cc | |
| TBnoon 3.0 GHz | 1.7061 | 0.4062 | 0.4338 | 0.2920 | 0.3154 |
| TBmidnight 3.0 GHz | 0.9363 | 0.3378 | 0.0000 | 0.3389 | 0.0000 |
| TBnoon 7.8 GHz | 0.5535 | 0.3098 | 0.3777 | 0.2936 | 0.4470 |
| TBmidnight 7.8 GHz | 0.5513 | 0.0000 | 0.0000 | 0.3371 | 0.0000 |
| TBnoon 19.35 GHz | 0.8381 | 0.2934 | 0.3818 | 0.2606 | 0.3538 |
| TBmidnight 19.35 GHz | 0.5077 | 0.0000 | 0.0000 | 0.0000 | 0.0000 |
| TBnoon 37.0 GHz | 0.4638 | 0.3233 | 0.3809 | 0.4326 | 0.4071 |
| TBmidnight 37.0 GHz | 0.5961 | 0.0000 | 0.0000 | 0.0000 | 0.0898 |
| dTB 3.0 GHz | 0.5101 | 0.3655 | 0.3949 | 0.4341 | 0.3391 |
| dTB 7.8 GHz | 0.2783 | 0.3802 | 0.2760 | 0.2235 | 0.4152 |
| dTB 19.35 GHz | 0.6427 | 0.3368 | 0.4450 | 0.3091 | 0.3486 |
| dTB 37.0 GHz | 0.4503 | 0.3947 | 0.2936 | 0.3527 | 0.3815 |
| Chtr-Iltm | Chtr-Im | Cc-Im | Cc-Iltm | Im-Iltm | |
| TBnoon 3.0 GHz | 0.3516 | 0.2935 | 0.4245 | 0.4342 | 0.6948 |
| TBmidnight 3.0 GHz | 0.0898 | 0.4073 | 0.6291 | 0.5936 | 1.5168 |
| TBnoon 7.8 GHz | 0.4440 | 0.2933 | 0.1457 | 0.2564 | 0.2530 |
| TBmidnight 7.8 GHz | 0.0000 | 0.0000 | 0.5193 | 0.2846 | 0.5149 |
| TBnoon 19.35 GHz | 0.3807 | 0.3401 | 0.0987 | 0.2485 | 0.2450 |
| TBmidnight 19.35 GHz | 0.0000 | 0.0000 | 0.8019 | 0.8644 | 0.2346 |
| TBnoon 37.0 GHz | 0.4075 | 0.3816 | 0.0000 | 0.3949 | 0.3381 |
| TBmidnight 37.0 GHz | 0.0994 | 0.0000 | 0.3027 | 0.5368 | 0.2598 |
| dTB 3.0 GHz | 0.3238 | 0.3089 | 0.0000 | 0.2807 | 0.3729 |
| dTB 7.8 GHz | 0.3652 | 0.3676 | 0.2381 | 0.2672 | 0.4341 |
| dTB 19.35 GHz | 0.5299 | 0.4346 | 0.1358 | 0.8144 | 0.1770 |
| dTB 37.0 GHz | 0.0898 | 0.3244 | 0.0989 | 0.9041 | 0.3668 |
Disclaimer/Publisher’s Note: The statements, opinions and data contained in all publications are solely those of the individual author(s) and contributor(s) and not of MDPI and/or the editor(s). MDPI and/or the editor(s) disclaim responsibility for any injury to people or property resulting from any ideas, methods, instructions or products referred to in the content. |
© 2023 by the authors. Licensee MDPI, Basel, Switzerland. This article is an open access article distributed under the terms and conditions of the Creative Commons Attribution (CC BY) license (https://creativecommons.org/licenses/by/4.0/).
Share and Cite
Li, Y.; Yuan, Z.; Meng, Z.; Ping, J.; Zhang, Y. A Unified Brightness Temperature Features Analysis Framework for Mapping Mare Basalt Units Using Chang’e-2 Lunar Microwave Sounder (CELMS) Data. Remote Sens. 2023, 15, 1910. https://doi.org/10.3390/rs15071910
Li Y, Yuan Z, Meng Z, Ping J, Zhang Y. A Unified Brightness Temperature Features Analysis Framework for Mapping Mare Basalt Units Using Chang’e-2 Lunar Microwave Sounder (CELMS) Data. Remote Sensing. 2023; 15(7):1910. https://doi.org/10.3390/rs15071910
Chicago/Turabian StyleLi, Yu, Zifeng Yuan, Zhiguo Meng, Jinsong Ping, and Yuanzhi Zhang. 2023. "A Unified Brightness Temperature Features Analysis Framework for Mapping Mare Basalt Units Using Chang’e-2 Lunar Microwave Sounder (CELMS) Data" Remote Sensing 15, no. 7: 1910. https://doi.org/10.3390/rs15071910
APA StyleLi, Y., Yuan, Z., Meng, Z., Ping, J., & Zhang, Y. (2023). A Unified Brightness Temperature Features Analysis Framework for Mapping Mare Basalt Units Using Chang’e-2 Lunar Microwave Sounder (CELMS) Data. Remote Sensing, 15(7), 1910. https://doi.org/10.3390/rs15071910

