Effects of Land Use/Cover Change on Terrestrial Carbon Stocks in the Yellow River Basin of China from 2000 to 2030
Abstract
1. Introduction
2. Materials and Methods
2.1. Study Area
2.2. Data Sources and Preprocessing
2.3. Method
2.3.1. Carbon Storage
2.3.2. FLUS Model
2.3.3. Scenario Setting
3. Results
3.1. Impact of Historical Land Use Change on Carbon Storage
3.1.1. Characteristics of Land Use Change 2000–2020
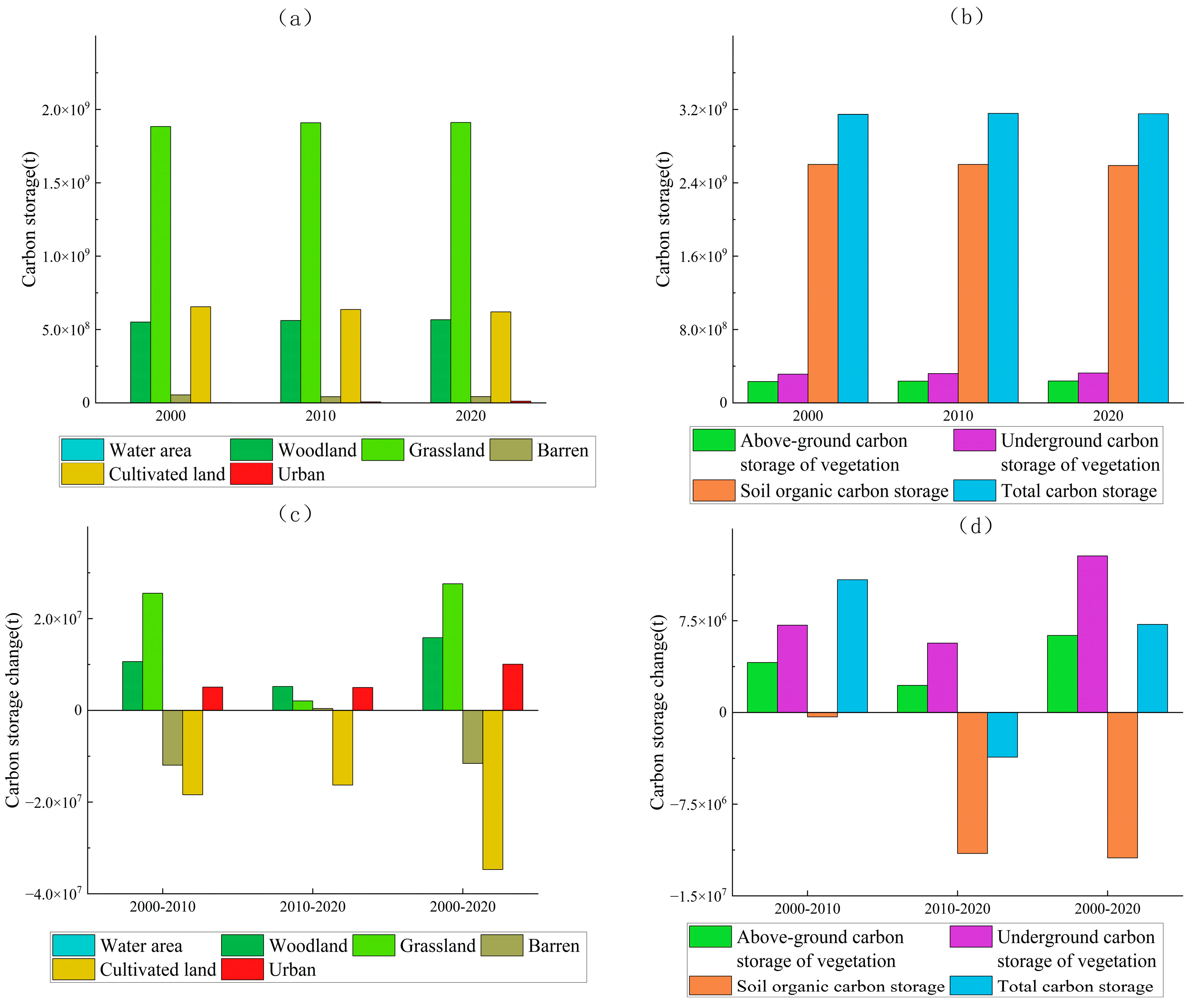
3.1.2. Temporal Changes in Carbon Storage
3.1.3. Spatial Variation in Carbon Storage
3.2. Simulation and Analysis of Different Land Use Scenarios
3.3. Assessment of Carbon Storage under Different Scenarios
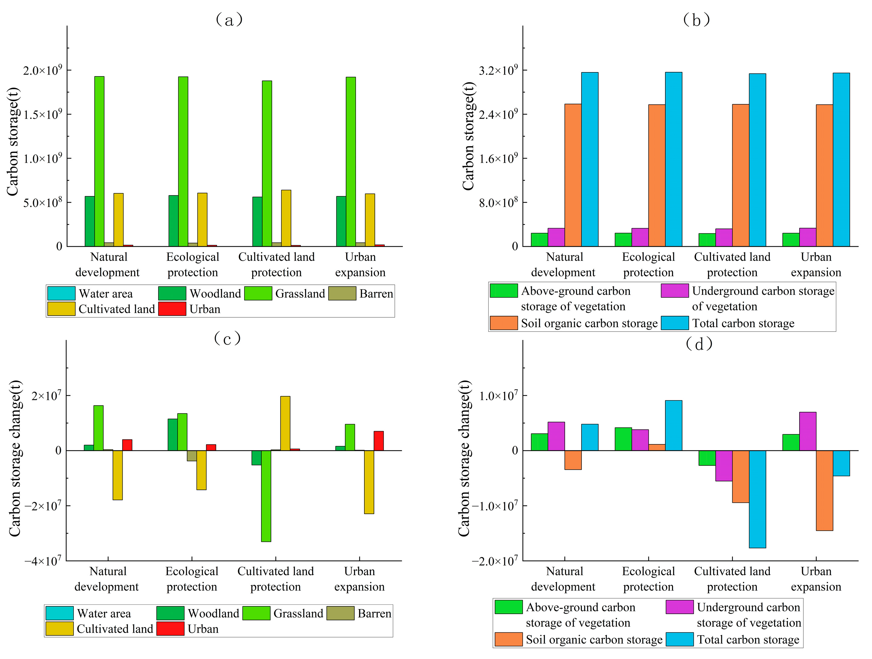
3.3.1. Temporal Changes in Carbon Storage under Different Scenarios
3.3.2. Spatial Variation in Carbon Storage under Different Scenarios
4. Discussion
5. Conclusions and Policy Implications
Supplementary Materials
Author Contributions
Funding
Data Availability Statement
Conflicts of Interest
References
- Qin, D.H.; Thomas, S. Highlights of the IPCC Working Group I Fifth Assessment Report. Clim. Chang. Res. 2014, 10, 1–6. [Google Scholar]
- Rogelj, J.; Den Elzen, M.; Hohne, N.; Fransen, T.; Fekete, H.; Winkler, H.; Schaeffer, R.; Sha, F.; Riahi, K.; Meinshausen, M. Paris Agreement climate proposals need a boost to keep warming well below 2 °C. Nature 2016, 534, 631–639. [Google Scholar] [CrossRef] [PubMed]
- Falkner, R. The Paris Agreement and the new logic of international climate politics. Int. Aff. 2016, 92, 1107–1125. [Google Scholar] [CrossRef]
- Yu, B.Y.; Zhao, Z.H.; Wei, Y.M.; Liu, L.C.; Zhao, Q.Y.; Xu, S.; Kang, J.N.; Liao, H. Approaching National Climate Targets in China Considering the Challenge of Regional Inequality. Nat. Commun. 2023, 14, 8342. [Google Scholar] [CrossRef] [PubMed]
- Geng, Y.B.; Dong, Y.S.; Meng, W.Q. Progresses of Terrestrial Carbon Cycle Studies. Prog. Geogr. 2000, 19, 297–306. [Google Scholar]
- Fu, B.J.; Zhang, L.W. Land-use change and ecosystem services: Concepts, methods and progress. Prog. Geogr. 2014, 33, 441–446. [Google Scholar]
- Qu, J.S.; Sun, C.Q.; Zhang, Z.Q.; Gao, F. Trends and advances of the global change studies on carbon cycle. Adv. Earth Sci. 2003, 18, 980–987. [Google Scholar]
- Ma, X.; Wang, Z. Progress in the study on the impact of land-use change on regional carbon sources and sinks. Acta Ecol. Sin. 2015, 35, 5898–5907. [Google Scholar]
- Fang, J.Y.; Yu, G.R.; Ren, X.B.; Liu, G.H.; Zhao, X.Q. Carbon Sequestration in China’s Terrestrial Ecosystems under Climate Change—Progress on Ecosystem Carbon Sequestration from the CAS Strategic Priority Research Program. Bull. Chin. Acad. Sci. 2015, 30, 848–857. [Google Scholar]
- Yang, Y.H.; Shi, Y.; Sun, W.J.; Chang, J.F.; Zhu, J.X.; Wang, X.; Guo, Y.P.; Zhang, H.T.; Yu, L.F.; Zhao, S. Terrestrial carbon sinks in China and around the world and their contribution to carbon neutrality. Sci. China-Life Sci. 2022, 52, 534–574. [Google Scholar]
- Jian, N. Carbon storage in Chinese terrestrial ecosystems: Approaching a more accurate estimate. Clim. Chang. 2013, 119, 905–917. [Google Scholar]
- Lai, L.; Huang, X.J.; Yang, H.; Chuai, X.W.; Zhang, M.; Zhong, T.Y.; Chen, Z.G.; Chen, Y.; Wang, X.; Thompson, J.R. Carbon emissions from land-use change and management in China between 1990 and 2010. Sci. Adv. 2016, 2, e1601063. [Google Scholar] [CrossRef] [PubMed]
- McGuire, A.D.; Sitch, S.; Clein, J.S.; Dargaville, R.; Esser, G.; Foley, J.; Heimann, M.; Joos, F.; Kaplan, J.; Kicklighter, D.W.; et al. Carbon balance of the terrestrial biosphere in the Twentieth Century: Analyses of CO2, climate and land use effects with four process-based ecosystem models. Glob. Biogeochem. Cycles 2001, 15, 183–206. [Google Scholar] [CrossRef]
- Maanan, M.; Karim, M.; Ait Kacem, H.; Ajrhough, S.; Rueff, H.; Snoussi, M.; Rhinane, H. Modelling the potential impacts of land use/cover change on terrestrial carbon stocks in north-west Morocco. Int. J. Sustain. Dev. World Ecol. 2019, 26, 560–570. [Google Scholar] [CrossRef]
- Kong, J.; Yang, R.; Su, Y.; Fu, Z. Effect of land use and cover change on carbon stock dynamics in a typical desert oasis. Acta Ecol. Sin. 2018, 38, 801–7812. [Google Scholar]
- Liu, M.Y.; Bao, A.M.; Chen, X.; Liu, H.L.; Zhang, H.L.; Chen, X.N. Impact of Land Use/Cover Change on the Vegetation Carbon Storage in the Manas River Basin between 1976 and 2007. J. Nat. Resour. 2010, 25, 926–938. [Google Scholar]
- Wen, Y.Y.; Sun, Q.; Yan, Y.C.; Xiao, M.Z.; Song, W.W.; Yang, J. Impacts of the terrestrial ecosystem changes on the carbon fixation and oxygen release services in the Guangdong-Hong Kong-Macao Greater Bay Area. Acta Ecol. Sin. 2020, 40, 8482–8493. [Google Scholar]
- Raich, J.W.; Nadelhoffer, K.J. Belowground carbon allocation in forest ecosystems: Global trends. Ecology 1989, 70, 1346–1354. [Google Scholar] [CrossRef]
- Fang, J.Y.; Huang, Y.; Zhu, J.L.; Sun, W.J.; Hu, H.F. Carbon Budget of Forest Ecosystems and Its Driving Forces. China Basic Sci. 2015, 17, 20–25. [Google Scholar]
- Zhou, J.F.; Guan, D.S. Change in the use of forest land and its impact on the carbon cycling. Ecol. Environ. 2004, 13, 674–676. [Google Scholar]
- Li, L.H. Effects of Land Use Change on Soil Carbon Storage in Grassland Ecosystems. Acta Phytoecol. Sin. 1998, 22, 13–15. [Google Scholar]
- Wang, G.X.; Cheng, G.D.; Shen, Y.P. Soil Organic Carbon Pool of Grasslands on the Tibetan Plateau and Its Global Implication. J. Glaciol. Geocryol. 2002, 24, 693–700. [Google Scholar]
- Xie, G.D.; Qi, W.H.; Zhang, Y.S.; Leng, Y.F. A Study on Utilization Efficiency of Main Agricultural Resources. Resour. Sci. 1998, 20, 10–14. [Google Scholar]
- Tang, L.P.; Ke, X.L.; Zhou, T.; Zheng, W.W.; Wang, L.Y. Impacts of cropland expansion on carbon storage: A case study in Hubei, China. J. Environ. Manag. 2020, 265, 110515. [Google Scholar] [CrossRef]
- Rimal, B. Urbanization and the decline of agricultural land in Pokhara Sub-metropolitan City, Nepal. J. Agric. Sci. 2012, 5, 54–65. [Google Scholar] [CrossRef]
- Zhang, F.; Xu, N.; Wang, C.; Wu, F.; Chu, X. Effects of land use and land cover change on carbon sequestration and adaptive management in Shanghai, China. Phys. Chem. Earth Parts A/B/C 2020, 120, 102948. [Google Scholar] [CrossRef]
- Houghton, R.A. Revised estimates of the annual net flux of carbon to the atmosphere from changes in land use and land management 1850–2000. Tellus. Ser. B Chem. Phys. Meteorol. 2003, 55, 378–390. [Google Scholar]
- Chen, Y.L.; Luo, G.P.; Ye, H.; Wang, Y.G.; Huang, X.T.; Zhang, Q.; Cai, P. Sources and Sinks of Carbon Caused by Forest Land Use Change from 1975 to 2005 in Central Asia. J. Nat. Resour. 2015, 30, 397–408. [Google Scholar]
- Priess, J.A.; De Koning, G.H.J.; Veldkamp, A. Assessment of interactions between land use change and carbon and nutrient fluxes in Ecuador. Agric. Ecosyst. Environ. 2001, 85, 269–279. [Google Scholar] [CrossRef]
- Zhang, Y.Q.; Tang, Y.H.; Jiang, J.; Yang, Y.H. Characterizing the dynamics of soil organic carbon in grasslands on the Qinghai-Tibetan Plateau. Sci. China Ser. D-Earth Sci. 2007, 50, 113–120. [Google Scholar] [CrossRef]
- Ji, J.J.; Huang, M.; Li, K.R. Predictive study of carbon exchange between terrestrial ecosystems and the atmosphere in China in the 21st century. Sci. China Ser. D-Earth Sci. 2008, 38, 211–223. [Google Scholar]
- Pei, F.S.; Li, X.; Liu, X.P.; Xia, G.R. Dynamic Simulation of Urban Expansion and Their Effects on Net Primary Productivity: A Scenario Analysis of Guangdong Province in China. J. Geo-Inf. Sci. 2015, 17, 469–477. [Google Scholar]
- Potter, C.S.; Randerson, J.T.; Field, C.B.; Matson, P.A.; Vitousek, P.M.; Mooney, H.A.; Klooster, S.A. Terrestrial ecosystem production: A process model based on global satellite and surface data. Glob. Biogeochem. Cycles 1993, 7, 811–841. [Google Scholar] [CrossRef]
- Prince, S.D.; Goward, S.N. Global Primary Production: A Remote Sensing Approach. J. Biogeogr. 1995, 22, 815. [Google Scholar] [CrossRef]
- Zhuang, Q.W.; Shao, Z.F.; Li, D.R.; Huang, X.; Altan, O.; Wu, S.; Li, Y. Isolating the Direct and Indirect Impacts of Urbanization on Vegetation Carbon Sequestration Capacity in a Large Oasis City: Evidence from Urumqi, China. Geo-Spat. Inf. Sci. 2023, 26, 379–391. [Google Scholar] [CrossRef]
- Zhao, Z.H.; Liu, G.H.; Xu, Z.R. The ecosystem carbon storage dataset in Tibet (2001–2010). J. Glob. Chang. Data Discov. 2018, 2, 67–71. [Google Scholar]
- Li, J.Y.; Gong, J.; Guldmann, J.M.; Li, S.C.; Zhu, J. Carbon dynamics in the northeastern Qinghai–Tibetan Plateau from 1990 to 2030 using landsat land use/cover change data. Remote Sens. 2020, 12, 528. [Google Scholar] [CrossRef]
- Wang, C.W.; Luo, J.J.; Qing, F.; Tang, Y.; Wang, Y.F. Analysis of the Driving Force of Spatial and Temporal Differentiation of Carbon Storage in Taihang Mountains Based on InVEST Model. Appl. Sci. 2022, 12, 10662. [Google Scholar] [CrossRef]
- Li, Y.G.; Han, N.; Li, X.J.; Du, H.Q.; Mao, F.J.; Cui, L.; Liu, T.Y.; Xing, L.Q. Spatiotemporal Estimation of Bamboo Forest Aboveground Carbon Storage Based on Landsat Data in Zhejiang, China. Remote Sens. 2018, 10, 898. [Google Scholar] [CrossRef]
- Wu, X.W.; Shen, C.T.; Shi, L.N.; Wan, Y.Y.; Ding, J.M.; Wen, Q. Spatio-Temporal Evolution Characteristics and Simulation Prediction of Carbon Storage: A Case Study in Sanjiangyuan Area, China. Ecol. Inform. 2024, 80, 102485. [Google Scholar] [CrossRef]
- Fang, L.L.; Xu, D.H.; Wang, L.C.; Niu, Z.G.; Zhang, M. The study of ecosystem services and the comparison of trade-off and synergy in Yangtze River Basin and Yellow River Basin. Geogr. Res. 2021, 40, 821–838. [Google Scholar]
- Xu, L.; He, N.P.; Yu, G.R. A dataset of carbon density in Chinese terrestrial ecosystems (2010s). Sci. Data Bank 2019, 4, 90–96. [Google Scholar]
- Zhang, Y.N. Data of 30 Meter Resolution Digital Elevation Model (DEM) in the Yellow River Basin. Dataset Is Provid. National Cryosphere Desert Data Center, 2022. Available online: http://www.ncdc.ac.cn/portal/metadata/11a743d6-8340-4d14-a0ac-b5e6ab6224d5 (accessed on 11 February 2023).
- Xu, X.L. China GDP Spatial Distribution Kilometer Grid Dataset. Center for Resource and Environmental Science and Data of the Chinese Academy of Sciences 2017. Available online: http://www.resdc.cn (accessed on 13 February 2023).
- FAO SOILS PORTAL. Based on the World Soil Database (HWSD) Soil Data Set (v1.2). National Cryosphere Desert Data Center, 2021. Available online: http://www.ncdc.ac.cn/portal/metadata/1fdf7dc7-7ecb-4e1f-a5df-30f7196756a8 (accessed on 14 February 2023).
- Xu, L.; Yu, G.R.; He, N.P. Increased soil organic carbon storage in Chinese terrestrial ecosystems from the 1980s to the 2010s. J. Geogr. Sci. 2019, 29, 49–66. [Google Scholar] [CrossRef]
- Yang, F.; Li, S.C.; Gao, Y.; Li, M.J.; Wu, P.F. Inconsistent Carbon Budget Estimation Using Dynamic/Static Carbon Density under Land Use and Land Cover Change: A Case Study in Henan Province, China. Land 2022, 11, 2232. [Google Scholar] [CrossRef]
- Yang, J.; Xie, B.P.; Zhang, D.G. Spatio-temporal evolution of carbon stocks in the Yellow River Basin based on InVEST and CA-Markov models. Chin. J. Eco-Agric. 2021, 29, 1018–1029. [Google Scholar]
- Luo, M. Simulation and analysis of 1km land use and land cover change in China under full SSP-RCP scenarios based on GCAM-FLUS models. East China Norm. Univ. 2021, 9, 110. [Google Scholar]
- Ren, Y.M.; Liu, X.P.; Xu, X.C.; Sun, S.S.; Zhao, L.F.; Liang, X.; Zeng, L. Multi-scenario simulation of land use change and its impact on ecosystem services in Beijing-Tianjin-Hebei region based on the FLUS-InVEST Model. Acta Ecol. Sin. 2023, 43, 4473–4487. [Google Scholar]
- Shao, Z.; Chen, R.; Zhao, J.; Xia, C.Y.; He, Y.T.; Tang, F.Y. Spatio-temporal evolution and prediction of carbon storage in Beijing’s ecosystem based on FLUS and InVEST models. Acta Ecol. Sin. 2022, 42, 9456–9469. [Google Scholar]
- Liu, X.J.; Li, X.; Liang, X.; Shi, H.; Ou, J.P. Simulating the Change of Terrestrial Carbon Storage in China Based on the FLUS-InVEST Model. Trop. Geogr. 2019, 39, 397–409. [Google Scholar]
- Yang, X.D.; Bai, Y.P.; Che, L.; Qiao, F.W.; Xie, L.X. Incorporating ecological constraints into urban growth boundaries: A case study of ecologically fragile areas in the Upper Yellow River. Ecol. Indic. 2021, 124, 107436. [Google Scholar] [CrossRef]
- Liu, X.P.; Liang, X.; Li, X.; Xu, X.C.; Ou, J.P.; Chen, Y.M.; Li, S.Y.; Wang, S.J.; Pei, F.S. A future land use simulation model (FLUS) for simulating multiple land use scenarios by coupling human and natural effects. Landsc. Urban Plan. 2017, 168, 94–116. [Google Scholar] [CrossRef]
- Hou, J.K.; Chen, J.J.; Zhang, K.Q.; Zhou, G.Q.; You, H.T.; Han, X.W. Temporal and Spatial Variation Characteristics of Carbon Storage in the Source Region of the Yellow River Based on InVEST and GeoSoS-FLUS Models and Its Response to Different Future Scenarios. Environ. Sci. 2022, 43, 5253–5262. [Google Scholar]
- Jia, S.W. Carbon Storage of Forest Vegetation and Its Dynamic Changes in Yellow River Basin Based on Continuous Forest Resources Inventory. Res. Soil Water Conserv. 2018, 25, 78–82, 88. [Google Scholar]
- Xu, Z.; Zhao, Z.; Lu, C. The contribution of land use and land cover on carbon storage in the north Tibet Plateau, China. J. Anim. Plant Sci.-Japs 2021, 31, 1598–1609. [Google Scholar]
- Xie, X.L.; Sun, B.; Zhou, H.Z.; Li, Z.P. Soil carbon stocks and their influencing factors under native vegetations in China. Acta Pedol. Sin. 2004, 41, 687–699. [Google Scholar]
- Qin, Y.P.; Xu, S.J.W.; Tian, Y. The spatial differentiation of vegetation and soil carbon density in Henan section of the Yellow River Basin. Ecol. Environ. Sci. 2022, 31, 1745–1753. [Google Scholar]
- Tang, X.L.; Zhao, X.; Bai, Y.F.; Tang, Z.Y.; Wang, W.T.; Zhao, Y.C.; Wan, H.W.; Xie, Z.Q.; Shi, X.Z.; Wu, B.F.; et al. Carbon pools in China’s terrestrial ecosystems: New estimates based on an intensive field survey. Proc. Natl. Acad. Sci. USA 2018, 115, 4021–4026. [Google Scholar] [CrossRef] [PubMed]
- Ren, J.; Zhao, X.Y.; Xu, X.C.; Ma, P.Y.; Du, Y.X. Spatial-temporal evolution, tradeoffs and synergies of ecosystem services in the middle Yellow River. J. Earth Environ. 2022, 13, 477–490. [Google Scholar]
- Jin, F.; Yang, H.; Cai, Z.C.; Zhao, Q.G. Calculation of density and reserve of organic carbon in soils. Acta Pedol. Sin. 2001, 38, 522–528. [Google Scholar]
- Yu, D.S.; Shi, X.Z.; Sun, W.X.; Wang, H.J.; Liu, Q.H.; Zhao, Y.C. Estimation of China soil organic carbon storage and density based on 1:1000000 soil database. Chin. J. Appl. Ecol. 2005, 16, 2279–2283. [Google Scholar]
- Wang, J.F.; Li, L.F.; Li, Q.; Wang, S.; Liu, X.L.; Li, Y. The spatiotemporal evolution and prediction of carbon storage in the Yellow River Basin based on the major function-oriented zone planning. Sustainability 2022, 14, 7963. [Google Scholar] [CrossRef]
- Cao, Y.; Sun, Y.L.; Jiang, Y.Q.; Wang, J. Analysis on temporal-spatial variations and driving factors of net ecosystem productivity in the Yellow River Basin. Ecol. Environ. Sci. 2022, 31, 2101–2110. [Google Scholar]
- Wang, F.; Cao, Y.Q.; Zhou, S.H.; Fan, S.B.; Jiang, X.M. Estimation of vegetation carbon sink in the Yellow River Basin ecological function area and analysis of its main meteorological elements. Acta Ecol. Sin. 2023, 43, 1–14. [Google Scholar]
- Wang, L.; Zeng, H.; Zhang, Y.J.; Zhao, G.; Chen, N.; Li, J.X. A review of research on soil carbon storage and its influencing factors in the Tibetan Plateau. Chin. J. Ecol. 2019, 38, 3506–3515. [Google Scholar]
- Zhao, S.Q.; Zhu, C.; Zhou, D.C.; Huang, D.; Werner, J. Organic Carbon Storage in China’s Urban Areas. PLoS ONE 2013, 8, e71975. [Google Scholar] [CrossRef] [PubMed]
- Guo, J.; Zhang, Q.; Song, M.H.; Shi, Y.; Zhou, B.R.; Wang, W.Y.; Li, Y.K.; Zhao, X.Q.; Zhou, H.K. Status and Function Improvement Technology of the Grassland Ecosystem in the Upper Yellow River Basin. Acta Agrestia Sin. 2020, 28, 1173–1184. [Google Scholar]
- Lin, Y.X.; Li, Y.Z.; Yu, W.J.; Bu, T.H.; Huang, R. Quantitative assessment of the impact of the vegetation restoration project on water-energy balance in 12 typical basins of the middle Yellow River. Geogr. Res. 2020, 39, 2593–2606. [Google Scholar]
- Liu, Y.; Zhang, J.; Zhou, D.M.; Ma, J.; Dang, R.; Ma, J.J.; Zhu, X.Y. Temporal and spatial variation of carbon storage in the Shule River Basin based on InVEST model. Acta Ecol. Sin. 2021, 41, 4052–4065. [Google Scholar]
- Xu, Z.W.; Zhang, Z.J. Spatiotemporal variation of carbon storage in Yuli County during 2010–2016. Res. Environ. Sci. 2018, 31, 1909–1917. [Google Scholar]
- Kong, J.Q.; Du, Z.Y.; Yang, R.; Su, Y.Z. Prediction of Land Use Change and Its Influence on Carbon Stocks in the Middle Reaches of Heihe River. J. Desert Res. 2019, 39, 87–97. [Google Scholar]
- Zhu, E.Y.; Deng, J.S.; Zhou, M.M.; Gan, M.Y.; Jiang, R.W.; Wang, K.; AmirReza, S. Carbon emissions induced by land-use and land-cover change from 1970 to 2010 in Zhejiang, China. Sci. Total Environ. 2019, 646, 930–939. [Google Scholar] [CrossRef] [PubMed]
- Wang, X.F.; Yang, D.; Feng, X.M.; Chen, C.W.; Zhou, C.W.; Zhang, X.R.; Ao, Y. Impacts of Ecological Restoration on Water Resources in Middle Reaches of Yellow River. Bull. Soil Water Conserv. 2020, 40, 205–212. [Google Scholar]
- Ren, X.J.; Pei, T.T.; Chen, Y.; Xie, B.P.; Chen, D.L. Impact of land use change on carbon storage in Gansu Province based on carbon density correction. Ecol. Sci. 2021, 40, 66–74. [Google Scholar]
- Shi, M.J.; Wu, H.Q.; Jia, H.T.; Zhu, L.; Dong, T.; He, P.X.; Yang, Q.J. Temporal and spatial evolution and prediction of carbon stocks in Yili Valley based on MCE-CA-Markov and InVEST models. J. Agric. Resour. Environ. 2021, 38, 1010–1019. [Google Scholar]
- Liao, L.L.; Zhou, L.; Wang, S.Q.; Wang, X.Q. Carbon sequestration potential of biomass carbon pool for new afforestation in China during 2005–2013. Acta Geogr. Sin. 2016, 71, 1939–1947. [Google Scholar]
- Ma, C.X.; Liu, J.J.; Kang, B.W.; Sun, S.H.; Ren, J.H. Evaluation of forest ecosystem carbon fixation and oxygen release services in Shaanxi Province from 1999 to 2003. Acta Ecol. Sin. 2010, 30, 1412–1422. [Google Scholar]
- Hou, G.L.; Delang, C.O.; Lu, X.X.; Gao, L. A meta-analysis of changes in soil organic carbon stocks after afforestation with deciduous broadleaved, sempervirent broadleaved, and conifer tree species. Ann. For. Sci. 2020, 77, 1–13. [Google Scholar] [CrossRef]










Disclaimer/Publisher’s Note: The statements, opinions and data contained in all publications are solely those of the individual author(s) and contributor(s) and not of MDPI and/or the editor(s). MDPI and/or the editor(s) disclaim responsibility for any injury to people or property resulting from any ideas, methods, instructions or products referred to in the content. |
© 2024 by the authors. Licensee MDPI, Basel, Switzerland. This article is an open access article distributed under the terms and conditions of the Creative Commons Attribution (CC BY) license (https://creativecommons.org/licenses/by/4.0/).
Share and Cite
Zhang, J.; Yang, J.; Liu, P.; Liu, Y.; Zheng, Y.; Shen, X.; Li, B.; Song, H.; Liang, Z. Effects of Land Use/Cover Change on Terrestrial Carbon Stocks in the Yellow River Basin of China from 2000 to 2030. Remote Sens. 2024, 16, 1810. https://doi.org/10.3390/rs16101810
Zhang J, Yang J, Liu P, Liu Y, Zheng Y, Shen X, Li B, Song H, Liang Z. Effects of Land Use/Cover Change on Terrestrial Carbon Stocks in the Yellow River Basin of China from 2000 to 2030. Remote Sensing. 2024; 16(10):1810. https://doi.org/10.3390/rs16101810
Chicago/Turabian StyleZhang, Jiejun, Jie Yang, Pengfei Liu, Yi Liu, Yiwen Zheng, Xiaoyu Shen, Bingchen Li, Hongquan Song, and Zongzheng Liang. 2024. "Effects of Land Use/Cover Change on Terrestrial Carbon Stocks in the Yellow River Basin of China from 2000 to 2030" Remote Sensing 16, no. 10: 1810. https://doi.org/10.3390/rs16101810
APA StyleZhang, J., Yang, J., Liu, P., Liu, Y., Zheng, Y., Shen, X., Li, B., Song, H., & Liang, Z. (2024). Effects of Land Use/Cover Change on Terrestrial Carbon Stocks in the Yellow River Basin of China from 2000 to 2030. Remote Sensing, 16(10), 1810. https://doi.org/10.3390/rs16101810

