Random Stepped Frequency ISAR 2D Joint Imaging and Autofocusing by Using 2D-AFCIFSBL
Abstract
1. Introduction
2. Imaging Model for RSF ISAR
3. Proposed 2D-AFCIFSBL Method
3.1. ISAR Imaging Based on Variational Bayesian Inference
3.2. Autofocusing Based on MLE
| Algorithm 1 2D-AFCIFSBL method |
| Input: Output: |
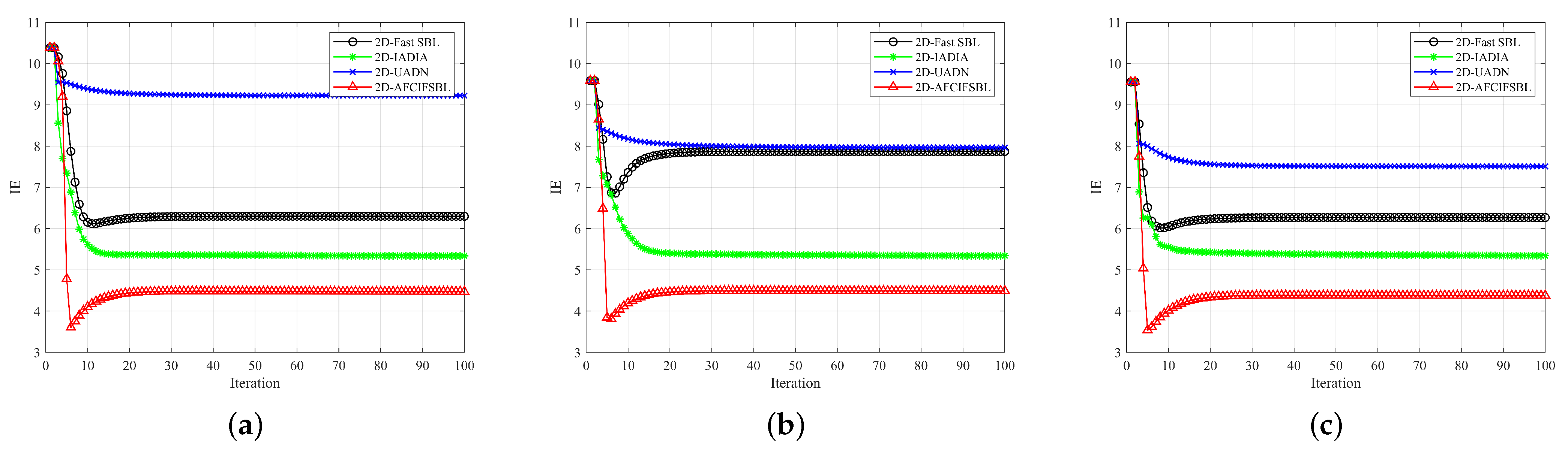
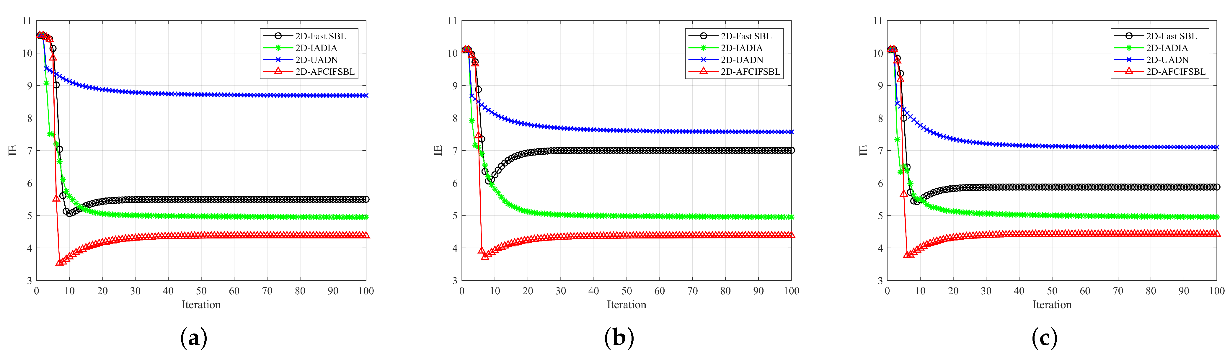
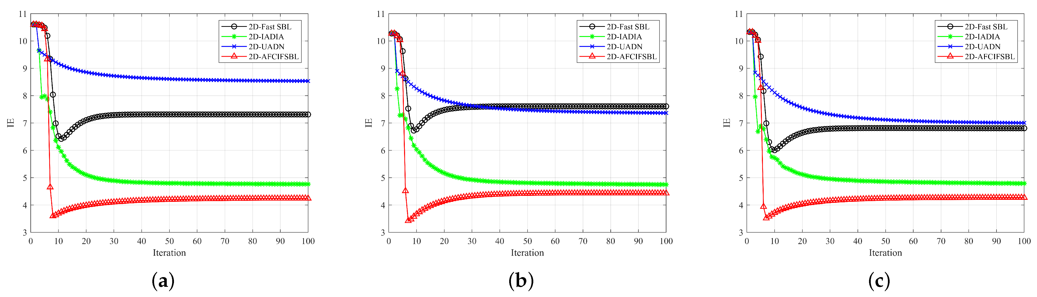
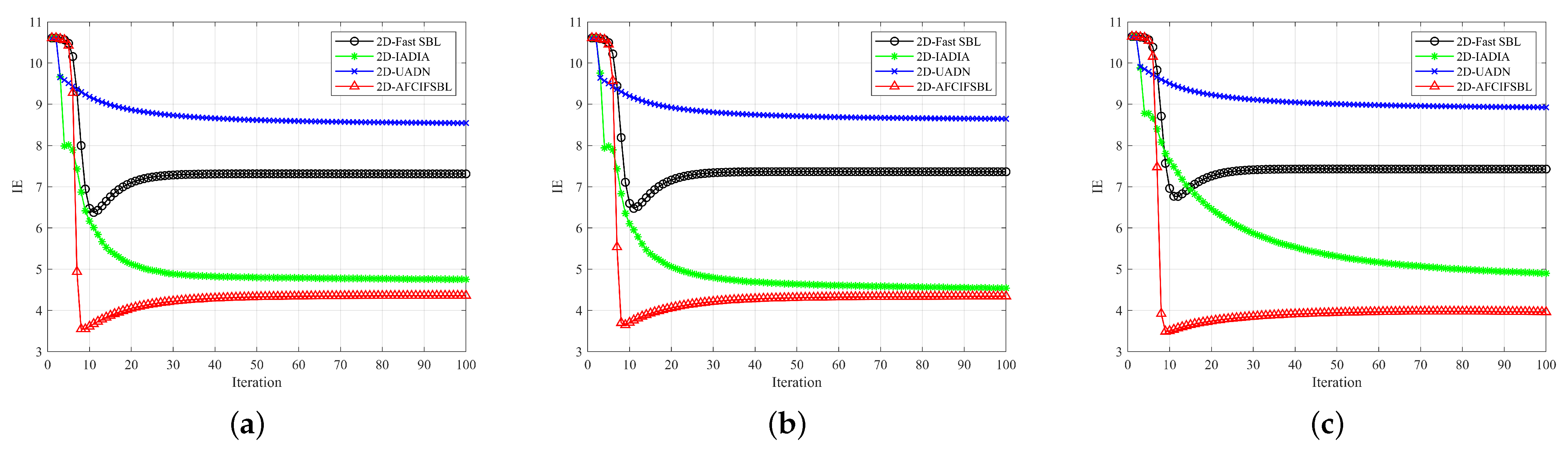
4. Experiments and Analysis
4.1. Experimental Results on Simulated Dataset
4.2. Experimental Results on Measured Dataset
5. Conclusions
Author Contributions
Funding
Data Availability Statement
Conflicts of Interest
References
- Chen, C.-C.; Andrews, H.C. Target-motion-induced radar imaging. IEEE Trans. Aerosp. Electron. Syst. 1980, AES-16, 2–14. [Google Scholar] [CrossRef]
- Fennell, M.; Wishner, R.P. Battlefield awareness via synergistic sar and mti exploitation. IEEE Aerosp. Electron. Syst. Mag. 1998, 13, 39–43. [Google Scholar] [CrossRef]
- Huang, T.; Liu, Y.; Li, G.; Wang, X. Randomized stepped frequency isar imaging. In Proceedings of the 2012 IEEE Radar Conference, Atlanta, GA, USA, 7–11 May 2012; pp. 0553–0557. [Google Scholar]
- Axelsson, S.R. Analysis of random step frequency radar and comparison with experiments. IEEE Trans. Geosci. Remote Sens. 2007, 45, 890–904. [Google Scholar] [CrossRef]
- Li, Y.; Lv, G.; Chen, H. The study of multi-false targets deception against stepped-frequency waveform inverse synthetic aperture radar. In Proceedings of the 2008 9th International Conference on Signal Processing, Beijing, China, 26–29 October 2008; pp. 2481–2484. [Google Scholar]
- Zhang, L.; Qiao, Z.J.; Xing, M.; Li, Y.; Bao, Z. High-resolution isar imaging with sparse stepped-frequency waveforms. IEEE Trans. Geosci. Remote Sens. 2011, 49, 4630–4651. [Google Scholar] [CrossRef]
- Donoho, D.L. Compressed sensing. IEEE Trans. Inf. Theory 2006, 52, 1289–1306. [Google Scholar] [CrossRef]
- Tomei, S.; Bacci, A.; Giusti, E.; Martorella, M.; Berizzi, F. Compressive sensing-based inverse synthetic radar imaging imaging from incomplete data. IET Radar Sonar Navig. 2016, 10, 386–397. [Google Scholar] [CrossRef]
- Liu, Z.; Wei, X.; Li, X. Decoupled isar imaging using rsfw based on twice compressed sensing. IEEE Trans. Aerosp. Electron. Syst. 2014, 50, 3195–3211. [Google Scholar] [CrossRef]
- Zhu, F.; Zhang, Q.; Lei, Q.; Luo, Y. Reconstruction of moving target’s hrrp using sparse frequency-stepped chirp signal. IEEE Sens. J. 2011, 11, 2327–2334. [Google Scholar]
- Hashempour, H.R.; Masnadi-Shirazi, M.A.; Arand, B.A. Compressive sensing isar imaging with lfm signal. In Proceedings of the 2017 Iranian Conference on Electrical Engineering (ICEE), Tehran, Iran, 2–4 May 2017; pp. 1869–1873. [Google Scholar]
- Hashempour, H.R. Sparsity-driven isar imaging based on two-dimensional admm. IEEE Sens. J. 2020, 20, 13349–13356. [Google Scholar] [CrossRef]
- Tipping, M.E. Sparse bayesian learning and the relevance vector machine. J. Mach. Learn. Res. 2001, 1, 211–244. [Google Scholar]
- Liu, H.; Jiu, B.; Liu, H.; Bao, Z. Superresolution isar imaging based on sparse bayesian learning. IEEE Trans. Geosci. Remote Sens. 2013, 52, 5005–5013. [Google Scholar]
- Duan, H.; Zhang, L.; Fang, J.; Huang, L.; Li, H. Pattern-coupled sparse bayesian learning for inverse synthetic aperture radar imaging. IEEE Signal Process. Lett. 2015, 22, 1995–1999. [Google Scholar] [CrossRef]
- Bai, X.; Zhang, Y.; Zhou, F. High-resolution radar imaging in complex environments based on bayesian learning with mixture models. IEEE Trans. Geosci. Remote Sens. 2018, 57, 972–984. [Google Scholar] [CrossRef]
- Bai, X.; Zhang, Y.; Liu, S. High-resolution radar imaging of off-grid maneuvering targets based on parametric sparse bayesian learning. IEEE Trans. Geosci. Remote Sens. 2022, 60, 1–11. [Google Scholar] [CrossRef]
- Zhang, S.; Liu, Y.; Li, X. Fast sparse aperture isar autofocusing and imaging via admm based sparse bayesian learning. IEEE Trans. Image Process. 2019, 29, 3213–3226. [Google Scholar] [CrossRef]
- Yang, J.; Thompson, J.; Huang, X.; Jin, T.; Zhou, Z. Random-frequency sar imaging based on compressed sensing. IEEE Trans. Geosci. Remote Sens. 2012, 51, 983–994. [Google Scholar] [CrossRef]
- Wang, H.; Liang, Y.; Xing, M.; Zhang, S. Isar imaging via sparse frequency-stepped chirp signal. Sci. China Inf. Sci. 2012, 55, 877–888. [Google Scholar] [CrossRef]
- Ghaffari, A.; Babaie-Zadeh, M.; Jutten, C. Sparse decomposition of two dimensional signals. In Proceedings of the 2009 IEEE International Conference on Acoustics, Speech and Signal Processing, Taipei, Taiwan, 19–24 April 2009; pp. 3157–3160. [Google Scholar]
- Li, S.; Zhao, G.; Li, H.; Ren, B.; Hu, W.; Liu, Y.; Yu, W.; Sun, H. Near-field radar imaging via compressive sensing. IEEE Trans. Antennas Propag. 2014, 63, 828–833. [Google Scholar] [CrossRef]
- Zhang, Y.; Bai, X.; Li, X. High-resolution isar imaging based on 2-d fast sparse bayesian learning. In Proceedings of the 2021 CIE International Conference on Radar (Radar), Haikou, China, 15–19 December 2021; pp. 43–47. [Google Scholar]
- Lazarov, A.; Minchev, C. Isar geometry, signal model, and image processing algorithms. IET Radar Sonar Navig. 2017, 11, 1425–1434. [Google Scholar] [CrossRef]
- Zhao, L.; Wang, L.; Bi, G.; Yang, L. An autofocus technique for high-resolution inverse synthetic aperture radar imagery. IEEE Trans. Geosci. Remote Sens. 2014, 52, 6392–6403. [Google Scholar] [CrossRef]
- Zhang, C.; Zhang, S.; Liu, Y.; Li, X. Joint structured sparsity and least entropy constrained sparse aperture radar imaging and autofocusing. IEEE Trans. Geosci. Remote Sens. 2020, 58, 6580–6593. [Google Scholar] [CrossRef]
- Li, X.; Bai, X.; Zhou, F. High-resolution isar imaging and autofocusing via 2d-admm-net. Remote Sens. 2021, 13, 2326. [Google Scholar] [CrossRef]
- Shao, S.; Zhang, L.; Liu, H. High-resolution isar imaging and motion compensation with 2-d joint sparse reconstruction. IEEE Trans. Geosci. Remote Sens. 2020, 58, 6791–6811. [Google Scholar] [CrossRef]
- Wang, L.; Huang, T.; Liu, Y. Phase compensation and image autofocusing for randomized stepped frequency isar. IEEE Sens. J. 2019, 19, 3784–3796. [Google Scholar] [CrossRef]
- Lv, M.; Chen, W.; Ma, J.; Yang, J.; Ma, X.; Cheng, Q. Joint random stepped frequency isar imaging and autofocusing based on 2d alternating direction method of multipliers. Signal Process. 2022, 201, 108684. [Google Scholar] [CrossRef]
- Lv, M.; Chen, W.; Yang, J.; Wang, D.; Wu, X.; Ma, X. Joint 2-d sparse isar imaging and autofocusing by using 2-d-IADIANet. IEEE Sens. J. 2023, 23, 16428–16439. [Google Scholar] [CrossRef]
- Zhang, S.; Liu, Y.; Li, X.; Bi, G. Joint sparse aperture isar autofocusing and scaling via modified newton method-based variational bayesian inference. IEEE Trans. Geosci. Remote Sens. 2019, 57, 4857–4869. [Google Scholar] [CrossRef]
- Duarte, M.F.; Baraniuk, R.G. Kronecker compressive sensing. IEEE Trans. Image Process. 2011, 21, 494–504. [Google Scholar] [CrossRef]
- Tzikas, D.G.; Likas, A.C.; Galatsanos, N.P. The variational approximation for bayesian inference. IEEE Signal Process. Mag. 2008, 25, 131–146. [Google Scholar] [CrossRef]
- Duan, H.; Yang, L.; Fang, J.; Li, H. Fast inverse-free sparse bayesian learning via relaxed evidence lower bound maximization. IEEE Signal Process. Lett. 2017, 24, 774–778. [Google Scholar] [CrossRef]
- Gao, X.; Liu, Z.; Chen, H.; Li, X. Fourier-sparsity integrated method for complex target isar imagery. Sensors 2015, 15, 2723–2736. [Google Scholar] [CrossRef] [PubMed]
- Zhang, L.; Qiao, Z.J.; Xing, M.D.; Sheng, J.L.; Guo, R.; Bao, Z. High-resolution isar imaging by exploiting sparse apertures. IEEE Trans. Antennas Propag. 2011, 60, 997–1008. [Google Scholar] [CrossRef]

















| Parameters | Value |
|---|---|
| Initial carrier frequency | 10 GHz |
| Synthetic bandwidth B | 640 MHz |
| Number of sub-pules N | 256 |
| Number of bursts | 256 |
| Stepped frequency | 2.5 MHz |
| Angular speed | 0.01 rad/s |
| SPR | Methods | IE | TRB | Time (s) |
|---|---|---|---|---|
| 2D-Fast SBL | 6.01 | 5.55 | 1.54 | |
| 2D-UADN | 9.14 | −2.96 | 0.93 | |
| 2D-IADIA | 5.05 | 22.29 | 0.94 | |
| 2D-AFCIFSBL | 4.86 | 28.27 | 1.17 | |
| 2D-Fast SBL | 5.22 | 7.85 | 1.48 | |
| 2D-UADN | 8.62 | −3.05 | 0.91 | |
| 2D-IADIA | 4.81 | 20.38 | 0.9 | |
| 2D-AFCIFSBL | 4.68 | 29.29 | 1.1 | |
| 2D-Fast SBL | 5.35 | 4.86 | 1.6 | |
| 2D-UADN | 7.93 | −2.23 | 0.94 | |
| 2D-IADIA | 4.55 | 17.42 | 0.92 | |
| 2D-AFCIFSBL | 4.51 | 19.18 | 1.07 |
| SNR | Method | IE | TRB | Time (s) |
|---|---|---|---|---|
| 20 dB | 2D-Fast SBL | 5.16 | 10.32 | 1.38 |
| 2D-UADN | 8.70 | −2.33 | 0.93 | |
| 2D-IADIA | 5.02 | 19.99 | 0.91 | |
| 2D-AFCIFSBL | 5.01 | 23.94 | 1.08 | |
| 10 dB | 2D-Fast SBL | 5.11 | 10.6 | 1.46 |
| 2D-UADN | 8.75 | −2.72 | 0.90 | |
| 2D-IADIA | 5.01 | 16.51 | 0.98 | |
| 2D-AFCIFSBL | 4.97 | 24.47 | 1.34 | |
| 0 dB | 2D-Fast SBL | 5.10 | 6.14 | 1.54 |
| 2D-UADN | 9.21 | −5.61 | 0.92 | |
| 2D-IADIA | 4.91 | 8.85 | 0.94 | |
| 2D-AFCIFSBL | 4.63 | 10.38 | 1.22 |
Disclaimer/Publisher’s Note: The statements, opinions and data contained in all publications are solely those of the individual author(s) and contributor(s) and not of MDPI and/or the editor(s). MDPI and/or the editor(s) disclaim responsibility for any injury to people or property resulting from any ideas, methods, instructions or products referred to in the content. |
© 2024 by the authors. Licensee MDPI, Basel, Switzerland. This article is an open access article distributed under the terms and conditions of the Creative Commons Attribution (CC BY) license (https://creativecommons.org/licenses/by/4.0/).
Share and Cite
Wang, Y.; Li, Y.; Song, J.; Zhao, G. Random Stepped Frequency ISAR 2D Joint Imaging and Autofocusing by Using 2D-AFCIFSBL. Remote Sens. 2024, 16, 2521. https://doi.org/10.3390/rs16142521
Wang Y, Li Y, Song J, Zhao G. Random Stepped Frequency ISAR 2D Joint Imaging and Autofocusing by Using 2D-AFCIFSBL. Remote Sensing. 2024; 16(14):2521. https://doi.org/10.3390/rs16142521
Chicago/Turabian StyleWang, Yiding, Yuanhao Li, Jiongda Song, and Guanghui Zhao. 2024. "Random Stepped Frequency ISAR 2D Joint Imaging and Autofocusing by Using 2D-AFCIFSBL" Remote Sensing 16, no. 14: 2521. https://doi.org/10.3390/rs16142521
APA StyleWang, Y., Li, Y., Song, J., & Zhao, G. (2024). Random Stepped Frequency ISAR 2D Joint Imaging and Autofocusing by Using 2D-AFCIFSBL. Remote Sensing, 16(14), 2521. https://doi.org/10.3390/rs16142521

