InSAR-Driven Dynamic Landslide Hazard Mapping in Highly Vegetated Area
Abstract
1. Introduction
2. Methods
2.1. Landslide Hazard Mapping
2.1.1. Landslide Spatial Probability Based on LSM
2.1.2. Landslide Time Probability and Preliminary LHM
2.2. Multi-InSAR Displacement Detection
2.3. Dynamic LHM Based on Slope Deformation
3. Database
3.1. Geological Background of Zigui
3.2. Dataset
3.3. Landslide Inventory
4. Results
4.1. LSM in Zigui
4.2. Scenarios and Preliminary LHM
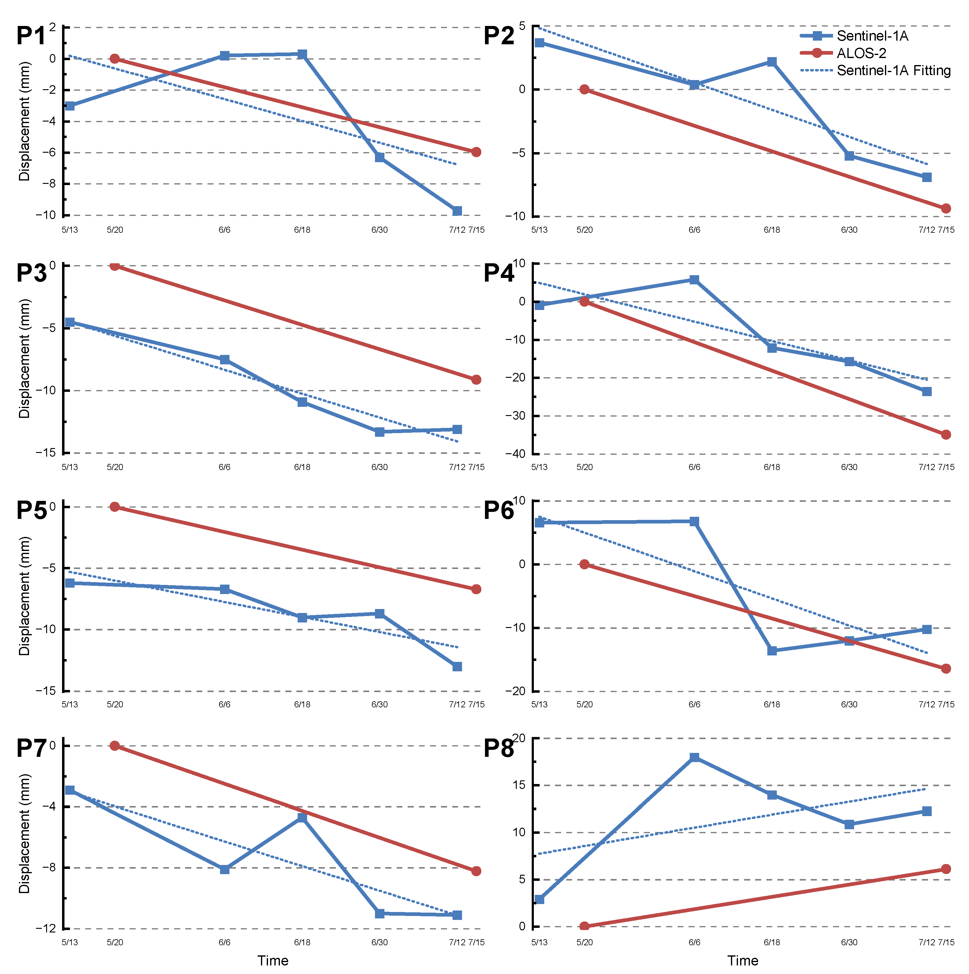
4.3. Slope Deformation in High-Vegetation-Coverage Area
4.4. Dynamic LHM of Zigui
5. Discussion
5.1. Accuracy Correction of Hazard Assessment Considering Deformation
5.2. Different InSAR in High-Vegetation-Coverage Area
5.2.1. Different InSAR Interpretation Methods in High-Vegetation-Coverage Area
5.2.2. Different InSAR Datasets in High-Vegetation-Coverage Area
6. Conclusions
Author Contributions
Funding
Data Availability Statement
Acknowledgments
Conflicts of Interest
References
- Gómez, D.; García, E.F.; Aristizábal, E. Spatial and Temporal Landslide Distributions Using Global and Open Landslide Databases. Nat. Hazards 2023, 117, 25–55. [Google Scholar] [CrossRef]
- Sassa, K. “2006 Tokyo Action Plan”—Strengthening Research and Learning on Landslides and Related Earth System Disasters for Global Risk Preparedness. Landslides 2006, 3, 361–369. [Google Scholar] [CrossRef]
- Lateltin, O.; Haemmig, C.; Raetzo, H.; Bonnard, C. Landslide Risk Management in Switzerland. Landslides 2005, 2, 313–320. [Google Scholar] [CrossRef]
- Varnes, D.J. Landslide Hazard Zonation: A Review of Principles and Practice; UNESCO: Paris, France, 1984; Available online: https://unesdoc.unesco.org/ark:/48223/pf0000063038?posInSet=1&queryId=3d365353-6a5e-44a1-89c9-1daec09ab4b9 (accessed on 28 August 2024)ISBN 978-92-3-101895-4.
- Dhakal, A.; Amada, T.; Aniya, M. Landslide Hazard Mapping and Its Evaluation Using GIS: An Investigation of Sampling Schemes for a Grid-Cell Based Quantitative Method. Photogramm. Eng. Remote Sens. 2000, 66, 981–989. [Google Scholar]
- Chowdhury, R.; Flentje, P. Effective Urban Landslide Hazard Assessment. Fac. Eng. Inf. Sci.—Pap. Part A 1998, 1–7. Available online: https://ro.uow.edu.au/eispapers/1781 (accessed on 28 August 2024).
- Glade, T.; Anderson, M.; Crozier, M.J. Landslide Hazard and Risk; John Wiley & Sons Ltd.: Chichester, UK, 2005; Available online: https://onlinelibrary.wiley.com/doi/book/10.1002/9780470012659 (accessed on 28 August 2024)ISBN 0-471-48663-9.
- Fell, R.; Corominas, J.; Bonnard, C.; Cascini, L.; Leroi, E.; Savage, W.Z. Guidelines for Landslide Susceptibility, Hazard and Risk Zoning for Land-Use Planning. Eng. Geol. 2008, 102, 99–111. [Google Scholar] [CrossRef]
- Goyes-Peñafiel, P.; Hernandez-Rojas, A. Landslide Susceptibility Index Based on the Integration of Logistic Regression and Weights of Evidence: A Case Study in Popayan, Colombia. Eng. Geol. 2021, 280, 105958. [Google Scholar] [CrossRef]
- Guo, Z.; Tian, B.; He, J.; Xu, C.; Zeng, T.; Zhu, Y. Hazard Assessment for Regional Typhoon-Triggered Landslides by Using Physically-Based Model—A Case Study from Southeastern China. Georisk Assess. Manag. Risk Eng. Syst. Geohazards 2023, 17, 740–754. [Google Scholar] [CrossRef]
- Reichenbach, P.; Rossi, M.; Malamud, B.D.; Mihir, M.; Guzzetti, F. A Review of Statistically-Based Landslide Susceptibility Models. Earth-Sci. Rev. 2018, 180, 60–91. [Google Scholar] [CrossRef]
- Jaiswal, P.; van Westen, C.J. Estimating Temporal Probability for Landslide Initiation along Transportation Routes Based on Rainfall Thresholds. Geomorphology 2009, 112, 96–105. [Google Scholar] [CrossRef]
- Huabin, W.; Gangjun, L.; Weiya, X.; Gonghui, W. GIS-Based Landslide Hazard Assessment: An Overview. Prog. Phys. Geogr. Earth Environ. 2005, 29, 548–567. [Google Scholar] [CrossRef]
- Pardeshi, S.D.; Autade, S.E.; Pardeshi, S.S. Landslide Hazard Assessment: Recent Trends and Techniques. SpringerPlus 2013, 2, 523. [Google Scholar] [CrossRef]
- Del Soldato, M.; Riquelme, A.; Bianchini, S.; Tomàs, R.; Di Martire, D.; De Vita, P.; Moretti, S.; Calcaterra, D. Multisource Data Integration to Investigate One Century of Evolution for the Agnone Landslide (Molise, Southern Italy). Landslides 2018, 15, 2113–2128. [Google Scholar] [CrossRef]
- Hufschmidt, G.; Crozier, M.J. Evolution of Natural Risk: Analysing Changing Landslide Hazard in Wellington, Aotearoa/New Zealand. Nat. Hazards 2008, 45, 255–276. [Google Scholar] [CrossRef]
- Rodríguez, C.E.; Bommer, J.J.; Chandler, R.J. Earthquake-Induced Landslides: 1980–1997. Soil. Dyn. Earthq. Eng. 1999, 18, 325–346. [Google Scholar] [CrossRef]
- Zhou, C.; Cao, Y.; Yin, K.; Intrieri, E.; Catani, F.; Wu, L. Characteristic Comparison of Seepage-Driven and Buoyancy-Driven Landslides in Three Gorges Reservoir Area, China. Eng. Geol. 2022, 301, 106590. [Google Scholar] [CrossRef]
- Guzzetti, F.; Ardizzone, F.; Cardinali, M.; Rossi, M.; Valigi, D. Landslide Volumes and Landslide Mobilization Rates in Umbria, Central Italy. Earth Planet. Sci. Lett. 2009, 279, 222–229. [Google Scholar] [CrossRef]
- Lee, S.; Won, J.-S.; Jeon, S.W.; Park, I.; Lee, M.J. Spatial Landslide Hazard Prediction Using Rainfall Probability and a Logistic Regression Model. Math. Geosci. 2015, 47, 565–589. [Google Scholar] [CrossRef]
- Kirschbaum, D.; Stanley, T. Satellite-Based Assessment of Rainfall-Triggered Landslide Hazard for Situational Awareness. Earth’s Future 2018, 6, 505–523. [Google Scholar] [CrossRef]
- Gariano, S.L.; Rianna, G.; Petrucci, O.; Guzzetti, F. Assessing Future Changes in the Occurrence of Rainfall-Induced Landslides at a Regional Scale. Sci. Total Environ. 2017, 596–597, 417–426. [Google Scholar] [CrossRef]
- van Natijne, A.L.; Bogaard, T.A.; van Leijen, F.J.; Hanssen, R.F.; Lindenbergh, R.C. World-Wide InSAR Sensitivity Index for Landslide Deformation Tracking. Int. J. Appl. Earth Obs. Geoinf. 2022, 111, 102829. [Google Scholar] [CrossRef]
- Zhou, C.; Cao, Y.; Gan, L.; Wang, Y.; Motagh, M.; Roessner, S.; Hu, X.; Yin, K. A Novel Framework for Landslide Displacement Prediction Using MT-InSAR and Machine Learning Techniques. Eng. Geol. 2024, 334, 107497. [Google Scholar] [CrossRef]
- Zhou, C.; Cao, Y.; Hu, X.; Yin, K.; Wang, Y.; Catani, F. Enhanced Dynamic Landslide Hazard Mapping Using MT-InSAR Method in the Three Gorges Reservoir Area. Landslides 2022, 19, 1585–1597. [Google Scholar] [CrossRef]
- Wright, T.J.; Parsons, B.E.; Lu, Z. Toward Mapping Surface Deformation in Three Dimensions Using InSAR. Geophys. Res. Lett. 2004, 31, 1–5. [Google Scholar] [CrossRef]
- Casu, F.; Buckley, S.M.; Manzo, M.; Pepe, A.; Lanari, R. Large Scale InSAR Deformation Time Series: Phoenix and Houston Case Studies. In Proceedings of the 2005 IEEE International Geoscience and Remote Sensing Symposium, IGARSS ’05, Seoul, Republic of Korea, 29 July 2005; Volume 7, pp. 5240–5243. [Google Scholar] [CrossRef]
- Ferretti, A.; Prati, C.; Rocca, F. Analysis of Permanent Scatterers in SAR Interferometry. In Proceedings of the IGARSS 2000. IEEE 2000 International Geoscience and Remote Sensing Symposium. Taking the Pulse of the Planet: The Role of Remote Sensing in Managing the Environment. Proceedings (Cat. No.00CH37120), Honolulu, HI, USA, 24–28 July 2000; Volume 2, pp. 761–763. [Google Scholar] [CrossRef]
- Berardino, P.; Fornaro, G.; Lanari, R.; Sansosti, E. A New Algorithm for Surface Deformation Monitoring Based on Small Baseline Differential SAR Interferograms. IEEE Trans. Geosci. Remote Sens. 2002, 40, 2375–2383. [Google Scholar] [CrossRef]
- García-Davalillo, J.C.; Herrera, G.; Notti, D.; Strozzi, T.; Álvarez-Fernández, I. DInSAR Analysis of ALOS PALSAR Images for the Assessment of Very Slow Landslides: The Tena Valley Case Study. Landslides 2014, 11, 225–246. [Google Scholar] [CrossRef]
- Herrera, G.; Gutiérrez, F.; García-Davalillo, J.C.; Guerrero, J.; Notti, D.; Galve, J.P.; Fernández-Merodo, J.A.; Cooksley, G. Multi-Sensor Advanced DInSAR Monitoring of Very Slow Landslides: The Tena Valley Case Study (Central Spanish Pyrenees). Remote Sens. Environ. 2013, 128, 31–43. [Google Scholar] [CrossRef]
- Yazici, B.V.; Tunc Gormus, E. Investigating Persistent Scatterer InSAR (PSInSAR) Technique Efficiency for Landslides Mapping: A Case Study in Artvin Dam Area, in Turkey. Geocarto Int. 2022, 37, 2293–2311. [Google Scholar] [CrossRef]
- Oliveira, S.C.; Zêzere, J.L.; Catalão, J.; Nico, G. The Contribution of PSInSAR Interferometry to Landslide Hazard in Weak Rock-Dominated Areas. Landslides 2015, 12, 703–719. [Google Scholar] [CrossRef]
- Li, Y.; Feng, X.; Li, Y.; Jiang, W.; Yu, W. Detection and Analysis of Potential Landslides Based on SBAS-InSAR Technology in Alpine Canyon Region. Env. Sci. Pollut. Res. 2024, 31, 6492–6510. [Google Scholar] [CrossRef]
- Dwivedi, R.S.; Rao, B.R.M.; Kushwaha, S.P.S. The Utility of Day-and-Night Observation and Cloud-Penetration Capability of ERS-1 SAR Data for Detection of Wetlands. Geocarto Int. 2000, 15, 7–12. [Google Scholar] [CrossRef]
- Liang, J.; Dong, J.; Zhang, S.; Zhao, C.; Liu, B.; Yang, L.; Yan, S.; Ma, X. Discussion on InSAR Identification Effectivity of Potential Landslides and Factors That Influence the Effectivity. Remote Sens. 2022, 14, 1952. [Google Scholar] [CrossRef]
- Zhang, B.; Wu, S.; Ding, X.; Wang, C.; Zhu, J.; Li, Q. Use of Multiplatform SAR Imagery in Mining Deformation Monitoring with Dense Vegetation Coverage: A Case Study in the Fengfeng Mining Area, China. Remote Sens. 2021, 13, 3091. [Google Scholar] [CrossRef]
- Walker, W.S.; Kellndorfer, J.M.; LaPoint, E.; Hoppus, M.; Westfall, J. An Empirical InSAR-Optical Fusion Approach to Mapping Vegetation Canopy Height. Remote Sens. Environ. 2007, 109, 482–499. [Google Scholar] [CrossRef]
- Oveisgharan, S.; Saatchi, S.S.; Hensley, S. Sensitivity of Pol-InSAR Measurements to Vegetation Parameters. IEEE Trans. Geosci. Remote Sens. 2015, 53, 6561–6572. [Google Scholar] [CrossRef]
- Maghsoudi, Y.; van der Meer, F.; Hecker, C.; Perissin, D.; Saepuloh, A. Using PS-InSAR to Detect Surface Deformation in Geothermal Areas of West Java in Indonesia. Int. J. Appl. Earth Obs. Geoinf. 2018, 64, 386–396. [Google Scholar] [CrossRef]
- Chen, L.; Van Westen, C.J.; Hussin, H.; Ciurean, R.L.; Turkington, T.; Chavarro-Rincon, D.; Shrestha, D.P. Integrating Expert Opinion with Modelling for Quantitative Multi-Hazard Risk Assessment in the Eastern Italian Alps. Geomorphology 2016, 273, 150–167. [Google Scholar] [CrossRef]
- Shano, L.; Raghuvanshi, T.K.; Meten, M. Landslide Susceptibility Evaluation and Hazard Zonation Techniques—A Review. Geoenviron. Disasters 2020, 7, 18. [Google Scholar] [CrossRef]
- Medina, V.; Hürlimann, M.; Guo, Z.; Lloret, A.; Vaunat, J. Fast Physically-Based Model for Rainfall-Induced Landslide Susceptibility Assessment at Regional Scale. CATENA 2021, 201, 105213. [Google Scholar] [CrossRef]
- Breiman, L. Random Forests. Mach. Learn. 2001, 45, 5–32. [Google Scholar] [CrossRef]
- Shuo, Y.; Deying, L.; Liangxuan, Y.; Yuan, H.; Mingzhe, W. Landslide Susceptibility Assessment in High and Steep Bank Slopes along Wujiang River Based on Random Forest Model. Saf. Environ. Eng. 2021, 28, 131–138. [Google Scholar] [CrossRef]
- Kullback, S.; Leibler, R.A. On Information and Sufficiency. Ann. Math. Stat. 1951, 22, 79–86. [Google Scholar] [CrossRef]
- Ceriani, L.; Verme, P. The Origins of the Gini Index: Extracts from Variabilità e Mutabilità (1912) by Corrado Gini. J. Econ. Inequal. 2012, 10, 421–443. [Google Scholar] [CrossRef]
- Gumbel, E.J. Statistics of Extremes; Columbia University Press: New York, NY, USA, 2019; Available online: https://www.degruyter.com/document/doi/10.7312/gumb92958/html (accessed on 28 August 2024)ISBN 978-0-231-89131-8.
- Althuwaynee, O.F.; Pradhan, B.; Ahmad, N. Estimation of Rainfall Threshold and Its Use in Landslide Hazard Mapping of Kuala Lumpur Metropolitan and Surrounding Areas. Landslides 2015, 12, 861–875. [Google Scholar] [CrossRef]
- Gabriel, A.K.; Goldstein, R.M.; Zebker, H.A. Mapping Small Elevation Changes over Large Areas: Differential Radar Interferometry. J. Geophys. Res. Solid. Earth 1989, 94, 9183–9191. [Google Scholar] [CrossRef]
- Chao, Z. Landslide Identification and Prediction with the Application of Time Series InSAR. Ph.D. Thesis, China University of Geosciences, Wuhan, China, 2018. Available online: https://kns.cnki.net/KCMS/detail/detail.aspx?dbcode=CDFD&dbname=CDFDLAST2019&filename=1019826173.nh&v= (accessed on 28 August 2024).
- Hungr, O.; Leroueil, S.; Picarelli, L. The Varnes Classification of Landslide Types, an Update. Landslides 2014, 11, 167–194. [Google Scholar] [CrossRef]
- She, X.; Li, D.; Yang, S.; Xie, X.; Sun, Y.; Zhao, W. Landslide Hazard Assessment for Wanzhou Considering the Correlation of Rainfall and Surface Deformation. Remote Sens. 2024, 16, 1587. [Google Scholar] [CrossRef]
- Hanley, J.A.; McNeil, B.J. A Method of Comparing the Areas under Receiver Operating Characteristic Curves Derived from the Same Cases. Radiology 1983, 148, 839–843. [Google Scholar] [CrossRef]
- Manconi, A. How Phase Aliasing Limits Systematic Space-Borne DInSAR Monitoring and Failure Forecast of Alpine Landslides. Eng. Geol. 2021, 287, 106094. [Google Scholar] [CrossRef]















| V4 | V3 | V2 | V1 | |
| H4 | VHH | VHH | HH | MH |
| H3 | VHH | HH | MH | MH |
| H2 | VHH | HH | MH | LH |
| H1 | HH | MH | LH | LH |
| Type | Name | Resolution/m | Phase | Coverage |
|---|---|---|---|---|
| SAR | ALOS-2 | 10 | 20 May 2019, 15 July 2019 | 2 scenes, covering 485.5 km2 |
| Sentinel-1A | 5 × 20 | 1 January 2019~ 28 December 2021 | 81 scenes, covering 485.5 km2 | |
| DEM | COP GLO-30 | 30 | 2011~2015 | Covering 485.5 km2 |
| Elimination Factors | RF Model Accuracy |
|---|---|
| None | 0.868 |
| SPI | 0.872 |
| SPI, Curvature | 0.875 |
| SPI, Curvature, TWI | 0.877 |
| SPI, Curvature, TWI, Plane Curvature | 0.873 |
| SPI, Curvature, TWI, Plane Curvature, Profile Curvature | 0.872 |
| Landslide Susceptibility Level | LS | MS | HS | VHS |
|---|---|---|---|---|
| Landslide grids | 1123 | 4256 | 4181 | 18,225 |
| Zone grids | 333,901 | 148,659 | 83,469 | 131,069 |
| Landslide percentage | 4.04% | 15.32% | 15.05% | 65.59% |
| Zone percentage | 47.90% | 21.33% | 11.97% | 18.80% |
| Frequency ratio | 0.084 | 0.718 | 1.257 | 3.489 |
| Scenarios | A | B | C | D |
|---|---|---|---|---|
| Return period | 5 years | 10 years | 20 years | 50 years |
| 3-day rainfall/mm | 147.16 | 171.15 | 197.14 | 223.96 |
| Probability | 0.2 | 0.1 | 0.05 | 0.02 |
| LSM | Calculated Item | Scenarios | |||
|---|---|---|---|---|---|
| A | B | C | D | ||
| VHS | Zone grids | 131,069 | |||
| Landslide grids | 142 | 1743 | 6871 | 18225 | |
| Spatial probability (%) | 0.11 | 1.33 | 5.24 | 13.90 | |
| Preliminary hazard (×10−3) | 0.20 | 1.30 | 2.60 | 2.80 | |
| HS | Zone grids | 83,469 | |||
| Landslide grids | 47 | 861 | 1932 | 4181 | |
| Spatial probability (%) | 0.06 | 1.03 | 2.31 | 5.01 | |
| Preliminary hazard (×10−3) | 0.10 | 1.00 | 1.20 | 1.00 | |
| MS | Zone grids | 148,659 | |||
| Landslide grids | 18 | 364 | 1944 | 4256 | |
| Spatial probability (%) | 0.01 | 0. 24 | 1.31 | 2.86 | |
| Preliminary hazard (×10−3) | 0.00 | 0.20 | 0.70 | 0.60 | |
| LS | Zone grids | 333,901 | |||
| Landslide grids | 0 | 547 | 547 | 1123 | |
| Spatial probability (%) | 0.00 | 0.16 | 0.16 | 0.34 | |
| Preliminary hazard (×10−3) | 0.00 | 0.20 | 0.10 | 0.10 | |
| Landslide Hazard Level | Preliminary LHM | Dynamic LHM | ||||||
|---|---|---|---|---|---|---|---|---|
| Scenario B | 2019 | 2020 | 2021 | |||||
| Grids | % | Grids | % | Grids | % | Grids | % | |
| LH | 530,585 | 76.11 | 546,267 | 78.36 | 481,268 | 69.04 | 503,123 | 72.17 |
| MH | 57,380 | 8.23 | 141,698 | 20.33 | 149,580 | 21.46 | 163,792 | 23.50 |
| HH | 68,143 | 9.78 | 8199 | 1.18 | 49,995 | 7.17 | 25,810 | 3.70 |
| VHH | 40,990 | 5.88 | 934 | 0.13 | 16,255 | 2.33 | 4373 | 0.63 |
| Years | Total Landslides | Forecast Number | Accuracy | |
|---|---|---|---|---|
| 2019 | LHM | 8 | 7 | 87.5% |
| Dynamic LHM | 8 | 7 | 87.5% | |
| 2020 | LHM | 78 | 68 | 87.2% |
| Dynamic LHM | 78 | 31 | 39.7% | |
| 2021 | LHM | 38 | 27 | 71.1% |
| Dynamic LHM | 38 | 14 | 36.8% | |
| Algorithm | D-InSAR | PS-InSAR | PS-InSAR | SBAS-InSAR | SBAS-InSAR |
|---|---|---|---|---|---|
| Datasets | ALOS-2 Ascending orbit (2 scenes) | Sentinel-1A Ascending orbit (34 scenes) | Sentinel-1A Ascending orbit (81 scenes) | Sentinel-1A Ascending orbit (32 scenes) | Sentinel-1A Ascending orbit (81 scenes) |
| Connected image pairs | 1 | 33 | 80 | 64 | 314 |
| Total time span | 56 days | 1068 days | 1092 days | 1068 days | 1092 days |
| Output coherence threshold | 0.3 | 0.6 | 0.6 | 0.1 | 0.1 |
| Average coherence | 0.34 | 0.71 | 0.72 | 0.25 | 0.3 |
| Deformation points | 1,352,586 | 107,565 | 92,556 | 74,495 | 173,093 |
| Deformation area/km2 | 277.61 | 46.14 | 28.61 | 28.73 | 68.63 |
| Area proportion | 57.18% | 9.50% | 5.89% | 5.92% | 14.14% |
| Average deformation | 0.07mm | −0.98 mm/year | −0.68 mm/year | 1.09 mm/year | 0.93 mm/year |
| Maximum | 61.97mm | 32.01 mm/year | 45.89 mm/year | 47.49 mm/year | 52.73 mm/year |
| Minimum | −66.03mm | −43.36 mm/year | −57.02 mm/year | −54.21 mm/year | −63.53 mm/year |
Disclaimer/Publisher’s Note: The statements, opinions and data contained in all publications are solely those of the individual author(s) and contributor(s) and not of MDPI and/or the editor(s). MDPI and/or the editor(s) disclaim responsibility for any injury to people or property resulting from any ideas, methods, instructions or products referred to in the content. |
© 2024 by the authors. Licensee MDPI, Basel, Switzerland. This article is an open access article distributed under the terms and conditions of the Creative Commons Attribution (CC BY) license (https://creativecommons.org/licenses/by/4.0/).
Share and Cite
Yan, L.; Xiong, Q.; Li, D.; Cheon, E.; She, X.; Yang, S. InSAR-Driven Dynamic Landslide Hazard Mapping in Highly Vegetated Area. Remote Sens. 2024, 16, 3229. https://doi.org/10.3390/rs16173229
Yan L, Xiong Q, Li D, Cheon E, She X, Yang S. InSAR-Driven Dynamic Landslide Hazard Mapping in Highly Vegetated Area. Remote Sensing. 2024; 16(17):3229. https://doi.org/10.3390/rs16173229
Chicago/Turabian StyleYan, Liangxuan, Qianjin Xiong, Deying Li, Enok Cheon, Xiangjie She, and Shuo Yang. 2024. "InSAR-Driven Dynamic Landslide Hazard Mapping in Highly Vegetated Area" Remote Sensing 16, no. 17: 3229. https://doi.org/10.3390/rs16173229
APA StyleYan, L., Xiong, Q., Li, D., Cheon, E., She, X., & Yang, S. (2024). InSAR-Driven Dynamic Landslide Hazard Mapping in Highly Vegetated Area. Remote Sensing, 16(17), 3229. https://doi.org/10.3390/rs16173229

