Ozone Detector Based on Ultraviolet Observations on the Martian Surface
Abstract
1. Introduction
2. Ozone Detector
2.1. Measurement Technique

2.2. The Ozone Detector and the Viewing Geometry
2.3. Sensor Calibration at INTA
3. In-Flight Calibration and Degradation on the Martian Surface
3.1. Detector Degradation at Landing
3.2. In-Flight Angular Calibration (ARF) Using In Situ Data
4. Ozone and Aerosol Retrieval Algorithm
4.1. The Radiative Transfer Model (RTM) and the Multidimensional Look-Up Table (LUT)
4.2. Aerosol Retrieval and Photodiode Degradation
4.3. Ozone Retrieval
5. Ozone Detector Performance and Uncertainties
5.1. Sources of Uncertainty in the Observed Ratio
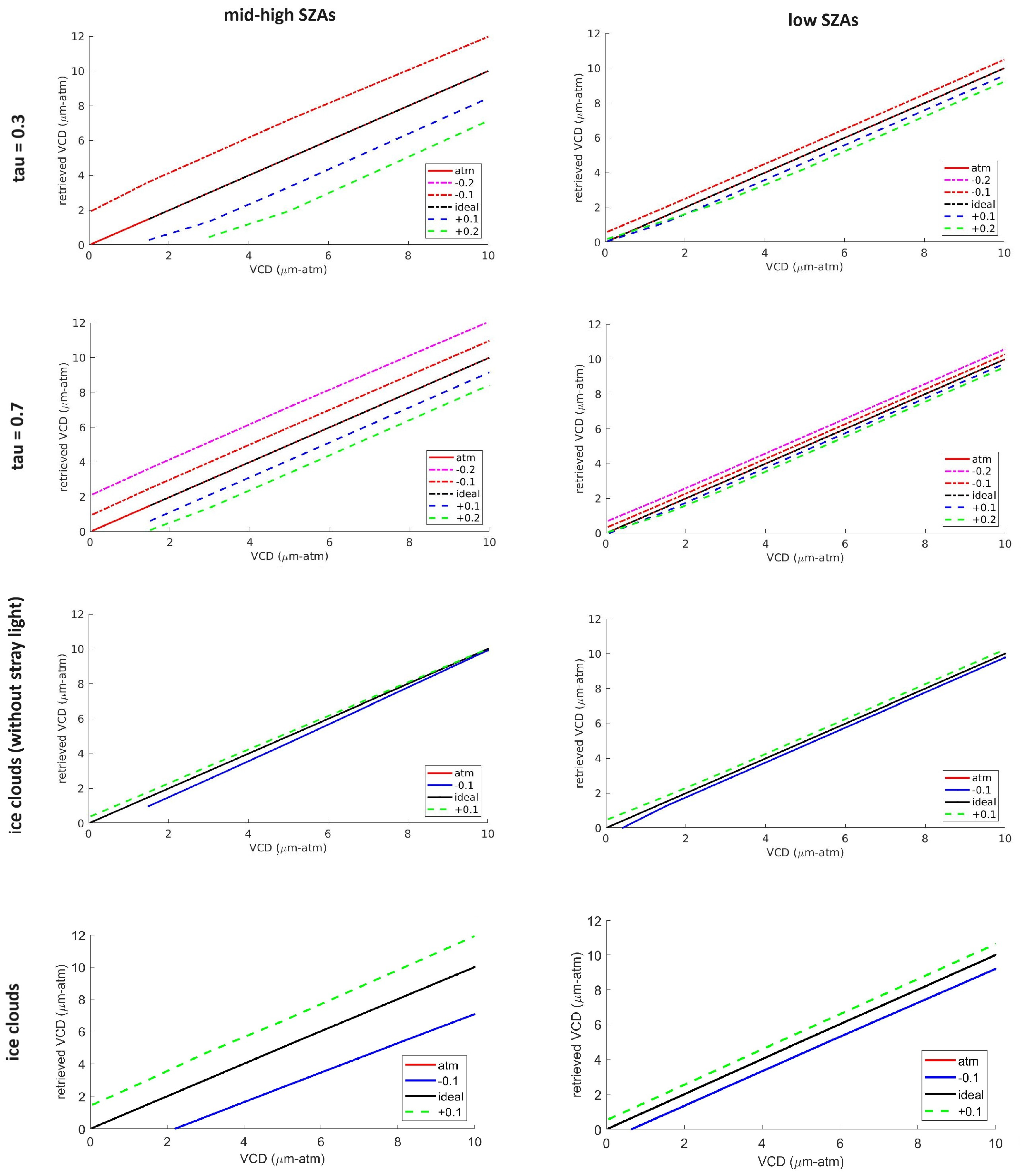
5.2. Effect of Uncertainties on the Ozone Retrieval
5.3. Retrieval Uncertainties and Surface Operations on Mars
6. Other Potential Ozone Detectors on Mars
7. Conclusions
Author Contributions
Funding
Data Availability Statement
Acknowledgments
Conflicts of Interest
References
- Barth, C.A.; Hord, C.W.; Stewart, A.I.; Lane, A.L. Mariner 9 ultraviolet spectrometer experiment: Initial Results. Science 1972, 175, 309–312. [Google Scholar] [CrossRef] [PubMed]
- Barth, C.A.; Hord, C.W.; Stewart, A.I.; Lane, A.L.; Dick, M.L.; Anderson, G.P. Mariner 9 ultraviolet spectrometer experiment: Seasonal variation of ozone on Mars. Science 1973, 179, 795–796. [Google Scholar] [CrossRef] [PubMed]
- Lane, A.L.; Barth, C.A.; Hord, C.W.; Stewart, A.I. Mariner 9 ultraviolet spectrometer experiment: Observations of ozone on Mars. Icarus 1973, 18, 102–108. [Google Scholar] [CrossRef]
- Wehrbein, W.M.; Hord, C.W.; Barth, C.A. Mariner 9 ultraviolet spectrometer experiment: Vertical distribution of ozone on Mars. Icarus 1979, 38, 188–199. [Google Scholar] [CrossRef]
- Krasnopolsky, V.A.; Krysko, A.A.; Rogachev, V.N. Measurement of ozone in a planetary atmosphere by space probe Mars-5. Cosm. Res. 1975, 13, 37–41. [Google Scholar]
- Krasnopolsky, V.A.; Parshev, V.A. Ozone and photochemistry of the Martian lower atmosphere. Planet. Space Sci. 1979, 27, 113–120. [Google Scholar] [CrossRef]
- Clancy, R.T.; Wolff, M.J.; Lefevre, F.; Cantor, B.A.; Malin, M.C.; Smith, M.D. Daily global mapping of Mars ozone column abundances with MARCI UV band imaging. Icarus 2016, 266, 112–133. [Google Scholar] [CrossRef]
- Lebonnois, S.; Quemerais EMontmessin, F.; Lefevre, F.; Perrier, S.; Bertaux, J.L.; Forget, F. Vertical distribution of ozone on Mars as measured by SPICAM/Mars express using stellar occultations. J. Geophys. Res. Planets 2006, 111, E09S05. [Google Scholar] [CrossRef]
- Perrier, S.; Bertaux, J.L.; Lefèvre, F.; Lebonnois, S.; Korablev, O.; Fedorova, A.; Montmessin, F. Global distribution of total ozone on Mars from SPICAM/ MEX UV measurements. J. Geophys. Res. Planets 2006, 111, E09S06. [Google Scholar] [CrossRef]
- Montmessin, F.; Lefèvre, F. Transport-driven formation of a polar ozone layer on Mars. Nat. Geosci. 2013, 6, 930–933. [Google Scholar] [CrossRef]
- Willame, Y.; Vandaele, A.C.; Depiesse, C.; Lefevre, F.; Letocart, V.; Gillotay, D.; Montmessin, F. Retrieving cloud, dust and ozone abundances in the Martian atmosphere using SPICAM/UV nadir spectra. Planet. Space Sci. 2017, 142, 9–25. [Google Scholar] [CrossRef]
- Patel, M.R.; Sellers, G.; Mason, J.P.; Holmes, J.A.; Brown, M.A.J.; Lewis, S.R.; Rajendran, K.; Streeter, P.M.; Marriner, C.; Hathi, B.G.; et al. ExoMars TGO/NOMAD-UVIS vertical profiles of ozone: 1. Seasonal variation and comparison to water. J. Geophys. Res. Planets 2021, 126, e2021JE006837. [Google Scholar] [CrossRef]
- Khayat, A.S.; Smith, M.D.; Wolff, M.; Daerden, F.; Neary, L.; Patel, M.R.; Piccialli, A.; Vandaele, A.C.; Thomas, I.; Ristic, B.; et al. ExoMars TGO/NOMADUVIS vertical profiles of ozone: 2. The high-altitude layers of atmospheric ozone. J. Geophys. Res. Planets 2021, 126, e2021JE006834. [Google Scholar] [CrossRef]
- Olsen, K.S.; Lefèvre, F.; Montmessin, F.; Trokhimovskiy, A.; Baggio, L.; Fedorova, A.; Alday, J.; Lomakin, A.; Belyaev, D.A.; Patrakeev, A.; et al. First detection of ozone in the mid-infrarred at Mars: Implications for methane detection. Astron. Astrophys. 2020, 639, A141. [Google Scholar] [CrossRef]
- Espenak, F.; Mumma, M.J.; Kostiuk, T.; Zipoy, D. Ground-based infrared measurements of the global distribution of ozone in the atmosphere of Mars. Icarus 1991, 92, 252–262. [Google Scholar] [CrossRef]
- Fast, K.; Kostiuk, T.; Espenak, F.; Annen, J.; Buhl, D.; Hewagama, T.; A’Hearn, M.F.; Zipoy, D.; Livengood, T.A.; Sonnabend, G.; et al. Ozone abundance on Mars from infrared heterodyne spectra I. Acquisition, retrieval, and anticorrelation with water vapor. Icarus 2006, 181, 419–431. [Google Scholar] [CrossRef]
- Clancy, R.T.; Wolff MJ James, P.B.; Smith, E.; Billawala, Y.N.; Lee, S.W.; Callan, M. Mars ozone measurements near the 1995 aphelion: Hubble space telescope ultraviolet spectroscopy with the faint object spectrograph. J. Geophys. Res. Planets 1996, 101, 12777–12783. [Google Scholar] [CrossRef]
- Clancy, R.T.; Wolff, M.J.; James, P.B. Minimal aerosol loading and global increases in atmospheric ozone during the 1996–1997 Martian northern spring season. Icarus 1999, 138, 49–63. [Google Scholar] [CrossRef]
- Viúdez-Moreiras, D.; Saiz-Lopez, A.; Blaszczak-Boxe, C.; Rodriguez-Manfredi, J.A.; Yung, Y. Diurnal Variation in Mars Equatorial Odd Oxygen Species: Chemical Production and Loss Mechanisms. Icarus 2020, 336, 113458. [Google Scholar] [CrossRef]
- Nair, H.; Allen, M.; Anbar, A.D.; Yung, Y.L.; Clancy, T. A photochemical model of the Martian atmosphere. Icarus 1994, 111, 124–150. [Google Scholar] [CrossRef]
- Lindner, B.L. In Situ Mars Ozone Detector. Acta Astronaut. 1995, 35, 137–144. [Google Scholar] [CrossRef]
- Rodriguez-Manfredi, J.A.; De la Torre Juárez, M.; Alonso, A.; Apéstigue, V.; Arruego, I.; Atienza, T.; Banfield, D.; Boland, J.; Carrera, M.A.; Castañer, L.; et al. The Mars Environmental Dynamics Analyzer, MEDA. A Suite of Environmental Sensors for the Mars 2020 Mission. Space Sci. Rev. 2021, 217, 48. [Google Scholar] [CrossRef] [PubMed]
- Apestigue, V.; Gonzalo, A.; Jiménez, J.J.; Boland, J.; Lemmon, M.; de Mingo, J.R.; García-Menendez, E.; Rivas, J.; Azcue, J.; Bastide, L.; et al. Radiation and Dust Sensor for Mars Environmental Dynamic Analyzer Onboard M2020 Rover. Sensors 2022, 22, 2907. [Google Scholar] [CrossRef] [PubMed]
- Dobson, G.M.B.; Harrison, D.N. Measurements of the Amount of Ozone in the Earth’s Atmosphere and its Relation to the Other Geophysical Conditions. Proc. R. Soc. Lond. A 1926, 110, 660–693. [Google Scholar] [CrossRef]
- Stamnes, K.; Slusser, J.; Bowen, M. Derivation of total ozone abundance and cloud effects from spectral irradiance measurements. Appl. Opt. 1991, 30, 4418–4426. [Google Scholar] [CrossRef] [PubMed]
- Høiskar, B.A.K.; Haugen, R.; Danielsen, T.; Kylling, A.; Edvardsen, K.; Dahlback, A.; Johnsen, B.; Blumthaler, M.; Schreder, J. Multichannel moderate-bandwidth filter instrument for measurement of the ozone-column amount, cloud transmittance, and ultraviolet dose rates. Appl. Opt. 2003, 42, 3472–3479. [Google Scholar] [CrossRef]
- Bernhard, G.; Rockwell, C.; Ehramjian, J. Real-time ultraviolet and column ozone from multichannel ultraviolet radiometers deployed in the National Science Foundation’s ultraviolet monitoring network. Opt. Eng. 2005, 44, 041011. [Google Scholar] [CrossRef]
- Raptis, P.I.; Kazadzis, S.; Eleftheratos, K.; Kosmopoulos, P.; Amiridis, V.; Helmis, C.; Zerefos, C. Total ozone column measurements using an ultraviolet multi-filter radiometer. Int. J. Remote Sens. 2015, 36, 4469–4482. [Google Scholar] [CrossRef]
- Lefèvre, F.; Lebonnois, S.; Montmessin, F.; Forget, F. Three-dimensional modeling of ozone on Mars. J. Geophys. Res. Planets 2004, 109, E07004. [Google Scholar] [CrossRef]
- Braude, A.S.; Montmessin, F.; Olsen, K.S.; Trokhimovskiy, A.; Korablev, O.I.; Lefèvre, F.; Fedorova, A.A.; Alday, J.; Baggio, L.; Irbah, A.; et al. No detection of SO2, H2S, or OCS in the atmosphere of Mars from the first two Martian years of observations from TGO/ACS. Astron. Astrophys. 2021, 658, A86. [Google Scholar] [CrossRef]
- Ryan, J.A.; Sharman, R.D. Two Major Dust Storms, One Mars Year Apart: Comparison from Viking Data. J. Geophys. Res. Planets 1981, 86, 3247–3254. [Google Scholar] [CrossRef]
- Lemmon, M.T.; Wolff, M.J.; Bell, J.F., III; Smith, M.D.; Cantor, B.A.; Smith, P.H. Dust aerosols, clouds, and the atmospheric optical depth record over 5 Mars years of the Mars Exploration Rover mission. Icarus 2015, 251, 96–111. [Google Scholar] [CrossRef]
- Smith, M.D.; Zorzano, M.P.; Lemmon, M.; Martín-Torres, J.; Mendaza de Cal, T. Aerosol optical depth as observed by the Mars Science Laboratory REMS UV photodiodes. Icarus 2016, 280, 234–248. [Google Scholar] [CrossRef]
- Viúdez-Moreiras, D. The Ultraviolet Radiation Environment and Shielding in Pit Craters and Cave Skylights on Mars. Icarus 2021, 370, 114658. [Google Scholar] [CrossRef]
- Serdyuchenko, A.; Gorshelev, V.; Weber, M.; Chehade, W.; Burrows, J.P. High spectral resolution ozone absorption cross-sections—Part 2: Temperature dependence. Atmos. Meas. Tech. 2014, 7, 625–636. [Google Scholar] [CrossRef]
- Arruego, I.; Apéstigue, V.; Jiménez-Martín, J.; Martínez-Oter, J.; Álvarez-Ríos, F.J.; González-Guerrero, M.; Rivas, J.; Azcue, J.; Martín, I.; Toledo, D.; et al. DREAM-SIS: The solar irradiance sensor on-board the ExoMars 2016 lander. Adv. Space Res. 2017, 60, 103–120. [Google Scholar] [CrossRef]
- Gómez-Elvira, J.; Armiens, C.; Castañer, L.; Domínguez, M.; Genzer, M.; Gómez, F.; Haberle, R.; Harri, A.M.; Jiménez, V.; Kahanpää, H.; et al. REMS: The environmental sensor suite for the Mars Science Laboratory rover. Space Sci. Rev. 2012, 170, 583–640. [Google Scholar] [CrossRef]
- Bell, J.F., III; Maki, J.N.; Alwmark, S.; Ehlmann, B.L.; Fagents, S.A.; Grotzinger, J.P.; Gupta, S.; Hayes, A.; Herkenhoff, K.E.; Horgan, B.H.; et al. Geological and Meteorological Imaging Results from the Mars 2020 Perseverance Rover in Jezero Crater. Sci. Adv. 2022, 8, eabo4856. [Google Scholar] [CrossRef]
- Jiménez, J.J.; Álvarez, F.J.; Gonzalez-Guerrero, M.; Apestigue, V.; Martín, I.; Fernandez, J.M.; Fernán, A.A.; Arruego, I. Calibration OGSEs for multichannel radiometers for Mars atmospheric studies. CEAS Space J. 2018, 10, 127–145. [Google Scholar] [CrossRef]
- Vicente-Retortillo, A.; Lemmon, M.T.; Martinez, G.M.; Toledo, D.; Apéstigue, V.; Arruego, I.; Bertrand, T.; Lorenz, R.; Sebastián, E.; Hueso, R.; et al. Dust accumulation and lifting at the landing site of the M2020 mission, jezero crater, as observed by MEDA. Geophys. Res. Lett. 2024, 51, e2023GL107975. [Google Scholar] [CrossRef]
- Viúdez-Moreiras, D.; Newman, C.E.; De la Torre, M.; Martínez, G.; Guzewich, S.; Lemmon, M.; Pla-García, J.; Smith, M.D.; Harri, A.M.; Genzer, M.; et al. Effects of the MY34/2018 Global Dust Storm as Measured by MSL REMS in Gale Crater. J. Geophys. Res. Planets 2019, 124, 1899–1912. [Google Scholar] [CrossRef] [PubMed]
- Lemmon, M.T.; Smith, M.D.; Viudez-Moreiras, D.; de la Torre-Juarez, M.; Vicente-Retortillo, A.; Munguira, A.; Sanchez-Lavega, A.; Hueso, R.; Martinez, G.; Chide, B.; et al. Dust, sand, and winds within an active Martian storm in Jezero crater. Geophys. Res. Lett. 2022, 49, e2022GL100126. [Google Scholar] [CrossRef] [PubMed]
- Smith, M.D.; Wolff, M.J.; Lemmon, M.T.; Spanovich, N.; Banfield, D.; Budney, C.J.; Clancy, R.T.; Ghosh, A.; Landis, G.A.; Smith, P.; et al. First atmospheric science results from the Mars Exploration Rovers Mini-TES. Science 2004, 306, 1750–1753. [Google Scholar] [CrossRef]
- Wolff, M.J.; Clancy, R.T.; Goguen, J.D.; Malin, M.C.; Cantor, B.A. Ultraviolet dust aerosol properties as observed by MARCI. Icarus 2010, 208, 143–155. [Google Scholar] [CrossRef]
- Stamnes, K.; Tsay, S.-C.; Wiscombe, W.; Jayaweera, K. Numerically stable algorithm for discrete-ordinate-method radiative transfer in multiple scattering and emitting layered media. Appl. Opt. 1988, 27, 2502–2509. [Google Scholar] [CrossRef]
- Goody, R.M.; Yung, Y.L. Atmospheric Radiation: Theoretical Basis; Oxford University Press: New York, NY, USA, 1989. [Google Scholar]
- Spurr, R.J. Simultaneous derivation of intensities and weighting functions in a general pseudo-spherical discrete ordinate radiative transfer treatment. J. Quant. Spectrosc. Radiat. Transf. 2002, 75, 129–175. [Google Scholar] [CrossRef]
- Forget, F.; Hourdin, F.; Fournier, R.; Hourdin, C.; Talagrand, O.; Collins, M.; Lewis, S.R.; Read, P.L.; Huot, J.P. Improved general circulation models of the Martian atmosphere from the surface to above 80 km. J. Geophys. Res. Planets 1999, 104, 24155–24175. [Google Scholar] [CrossRef]
- Mishchenko, M.I.; Travis, L.D.; Kahn, R.A.; West, R.A. Modeling phase functions for dust-like tropospheric aerosols using a shape mixture of randomly oriented polydisperse spheroids. J. Geophys. Res. Planets 1997, 102, 16831–16847. [Google Scholar] [CrossRef]
- Wolff, M.J.; Smith, M.D.; Clancy, R.T.; Arvidson, R.; Kahre, M.; Seelos, F.; Murchie, S.; Savijärvi, H. Wavelength dependence of dust aerosol single scattering albedo as observed by the Compact Reconnaissance Imaging Spectrometer. J. Geophys. Res. Planets 2009, 114, E00D04. [Google Scholar] [CrossRef]
- Smith, M.D.; Martínez, G.M.; Sebastián, E.; Lemmon, M.T.; Wolff, M.J.; Apéstigue, V.; Arruego, I.; Toledo, D.; Viúdez-Moreiras, D.; Rodriguez-Manfredi, J.A.; et al. Diurnal and seasonal variations of aerosol optical depth observed by MEDA/TIRS at Jezero crater, Mars. J. Geophys. Res. Planets 2023, 128, e2022JE007560. [Google Scholar] [CrossRef]
- Platt, U.; Stutz, J. Differential Optical Absorption Spectroscopy: Principles and Applications. Physics of Earth and Space Environments; Springer: Berlin/Heidelberg, Germany, 2008. [Google Scholar]










| Channel | Wavelength Range (nm) | FoV (deg) | Dynamic Range (W/m2) | Precision (W/m2) | Previous Accuracy (%, 2σ) | Revised Accuracy (%, 2σ) |
|---|---|---|---|---|---|---|
| ch255/ | 255 ± 5 nm | ±15 | 0.184 | 6.30·10−5 (1) | ±12 | ±9.5 (2) |
| ch295/ | 295 ± 5 nm | ±15 | 1.195 | 2.25·10−4 (1) | ±5.5 | ±5.5 |
| ch250–400/ | 250–400 nm | ±15 | 90.1 | 5.66·10−3 | ±6.7 | ±5.4 |
| Channel | Wavelength Range (nm) | FoV (deg) | Dynamic Range (W/m2) | Precision (W/m2) | Previous Accuracy (%, 2σ) | Revised Accuracy (%, 2σ) |
|---|---|---|---|---|---|---|
| ch450 | 450 ± 40 nm | ±15 | 124 | 8.25·10−3 | ±4.4 | ±4.5 |
| ch650 | 650 ± 25 nm | ±15 | 59 | 4.58·10−3 | ±4.4 | ±4.5 |
| ch750 | 750 ± 10 nm | ±15 | 18 | 1.69·10−3 | ±4.5 | ±4.5 |
| ch950/ | 950 ± 50 nm | ±15 | 64 | 2.21·10−2 | ±6.5 | ±6.5 |
| ch190–1100/ | 190–1100 nm | ±90 | 358 | 6.13·10−3 | ±5.6 | ±5.3 |
| Channel | Wavelength Range (nm) | |
|---|---|---|
| ch255/ | 255 ± 5 nm | 0.95 |
| ch295/ | 295 ± 5 nm | 0.95 |
| ch250–400/ | 250–400 nm | 0.95 |
| ch450 | 450 ± 40 nm | 0.96 |
| ch650 | 650 ± 25 nm | 0.99 |
| ch750 | 750 ± 10 nm | 1.00 |
| ch950/ | 950 ± 50 nm | 0.99 |
Disclaimer/Publisher’s Note: The statements, opinions and data contained in all publications are solely those of the individual author(s) and contributor(s) and not of MDPI and/or the editor(s). MDPI and/or the editor(s) disclaim responsibility for any injury to people or property resulting from any ideas, methods, instructions or products referred to in the content. |
© 2024 by the authors. Licensee MDPI, Basel, Switzerland. This article is an open access article distributed under the terms and conditions of the Creative Commons Attribution (CC BY) license (https://creativecommons.org/licenses/by/4.0/).
Share and Cite
Viúdez-Moreiras, D.; Saiz-Lopez, A.; Smith, M.D.; Apestigue, V.; Arruego, I.; García, E.; Jiménez, J.J.; Rodriguez-Manfredi, J.A.; Toledo, D.; Wolff, M.; et al. Ozone Detector Based on Ultraviolet Observations on the Martian Surface. Remote Sens. 2024, 16, 3914. https://doi.org/10.3390/rs16203914
Viúdez-Moreiras D, Saiz-Lopez A, Smith MD, Apestigue V, Arruego I, García E, Jiménez JJ, Rodriguez-Manfredi JA, Toledo D, Wolff M, et al. Ozone Detector Based on Ultraviolet Observations on the Martian Surface. Remote Sensing. 2024; 16(20):3914. https://doi.org/10.3390/rs16203914
Chicago/Turabian StyleViúdez-Moreiras, Daniel, Alfonso Saiz-Lopez, Michael D. Smith, Víctor Apestigue, Ignacio Arruego, Elisa García, Juan J. Jiménez, José A. Rodriguez-Manfredi, Daniel Toledo, Mike Wolff, and et al. 2024. "Ozone Detector Based on Ultraviolet Observations on the Martian Surface" Remote Sensing 16, no. 20: 3914. https://doi.org/10.3390/rs16203914
APA StyleViúdez-Moreiras, D., Saiz-Lopez, A., Smith, M. D., Apestigue, V., Arruego, I., García, E., Jiménez, J. J., Rodriguez-Manfredi, J. A., Toledo, D., Wolff, M., & Zorzano, M.-P. (2024). Ozone Detector Based on Ultraviolet Observations on the Martian Surface. Remote Sensing, 16(20), 3914. https://doi.org/10.3390/rs16203914

