TTMGNet: Tree Topology Mamba-Guided Network Collaborative Hierarchical Incremental Aggregation for Change Detection
Abstract
1. Introduction
- (1)
- We construct a Tree Topology Mamba Feature Extractor (TTMFE), which generates the minimum spanning tree through the similarity between pixels by a Tree Topology State Space Model (TTSSM), allowing information to be transmitted and aggregated on a tree structure to fully capture multi-scale spatial–temporal features.
- (2)
- We devise a HIAM to establish a bridge for information communication between adjacent scales, which facilitates effective multi-scale feature aggregation by enhancing the interactions between neighboring features from deeper to shallower layers.
- (3)
- We conduct an evaluation of our method across three publicly accessible change detection datasets. The experimental results demonstrate this method is very competitive and has even more state-of-the-art performance than other mainstream methods.
2. Related Works
2.1. CNN-Based CD
2.2. Transformer-Based CD
2.3. Mamba-Based CD
3. Methods
3.1. Overview
3.2. Tree Topology Mamba Feature Extractor
3.3. Hierarchical Incremental Aggregation Module
3.4. Loss Function
4. Experiments and Result Discussion
4.1. Dataset
- (1)
- The LEVIR-CD [46] dataset has 637 pairs of ultra-high-resolution RS images, each measuring 1024 × 1024 pixels with a spatial resolution of 0.5 m per pixel. This dataset was proposed by Bei-hang University from Google Earth, capturing land use changes over a duration ranging from 5 to 14 years, primarily focusing on land use change, which includes residential villas, high-rise apartments, garages, and warehouses. To facilitate model training, the original images were divided into segments of 256 × 256 pixels. After the removal of duplicate portions, the dataset contains 4449 pairs of 256 × 256 dual-temporal images, with the number of images designated for training, validation, and testing being 3096, 432, and 921, respectively.
- (2)
- The WHU-CD [47] dataset consists of a pair of high-resolution images measuring 0.75 m, with dimensions of 15,354 × 32,507 pixels, covering an area of 450 square kilometers in Christchurch, New Zealand. The dataset was obtained through aerial photography in 2012 and documents land use changes in Christchurch following the 2011 earthquake. The full image was divided into 7432 image pairs, each with a resolution of 256 × 256 pixels, with a training, validation, and testing set ratio of 7:1:2, resulting in 5201, 744, and 1487 images, respectively.
- (3)
- The CL-CD [48] dataset consists of 600 pairs of bi-temporal images with a resolution of 512 × 512 pixels and a spatial resolution ranging from 0.5 to 2 m. The images were collected in 2017 and 2019 by satellite over cropland areas in Guangdong Province for cropland CD. We divided this dataset into 360, 120, and 120 pairs of images for training, validation, and testing.
4.2. Implementation Details
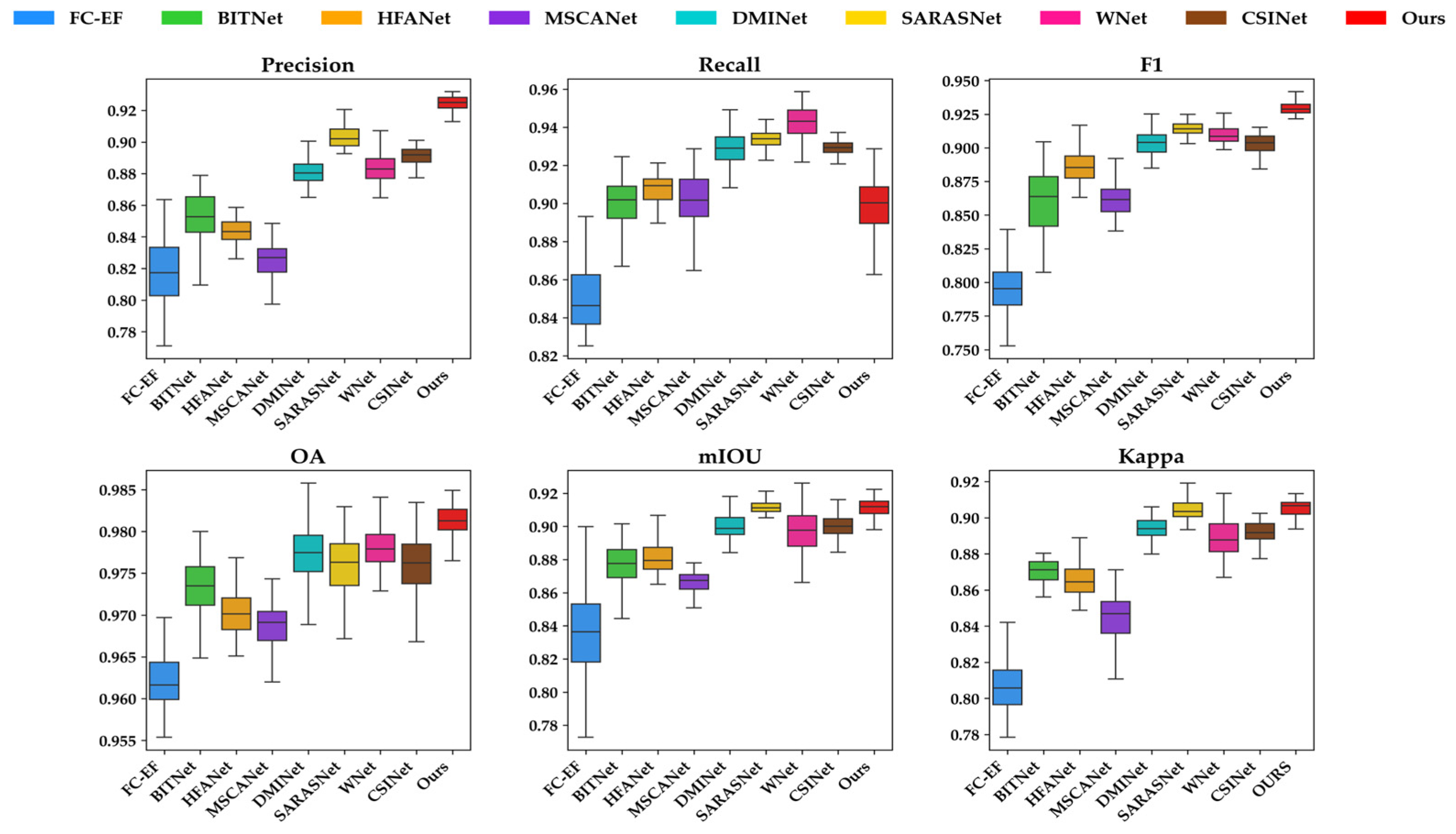
4.3. Results and Visualization on LEVIR-CD
4.4. Results and Visualization on WHU-CD
4.5. Results and Visualization on CL-CD
4.6. Stability and Ablation Analysis
5. Conclusions
Author Contributions
Funding
Data Availability Statement
Conflicts of Interest
References
- Lv, Z.; Zhang, M.; Sun, W.; Benediktsson, J.A.; Lei, T.; Falco, N. Spatial-contextual information utilization framework for land cover change detection with hyperspectral remote sensed images. IEEE Trans. Geosci. Remote Sens. 2023, 61, 1–11. [Google Scholar] [CrossRef]
- Stilla, U.; Xu, Y. Change detection of urban objects using 3D point clouds: A review. ISPRS J. Photogramm. Remote Sens. 2023, 197, 228–255. [Google Scholar] [CrossRef]
- Zhu, Q.; Guo, X.; Li, Z.; Li, D. A review of multi-class change detection for satellite remote sensing imagery. Geo-Spat. Inf. Sci. 2024, 27, 1–15. [Google Scholar] [CrossRef]
- Pelletier, F.; Cardille, J.A.; Wulder, M.A.; White, J.C.; Hermosilla, T. Inter-and intra-year forest change detection and monitoring of aboveground biomass dynamics using Sentinel-2 and Landsat. Remote Sens. Environ. 2024, 301, 113931. [Google Scholar] [CrossRef]
- Zhu, L.; Zhang, J.; Sun, Y. Remote sensing image change detection using superpixel cosegmentation. Information 2021, 12, 94. [Google Scholar] [CrossRef]
- Kondmann, L.; Toker, A.; Saha, S.; Schölkopf, B.; Leal-Taixé, L.; Zhu, X.X. Spatial context awareness for unsupervised change detection in optical satellite images. IEEE Trans. Geosci. Remote Sens. 2021, 60, 1–15. [Google Scholar] [CrossRef]
- He, X.; Zhang, S.; Xue, B.; Zhao, T.; Wu, T. Cross-modal change detection flood extraction based on convolutional neural network. Int. J. Appl. Earth Obs. Geoinf. 2023, 117, 103197. [Google Scholar] [CrossRef]
- Xu, C.; Ye, Z.; Mei, L.; Yu, H.; Liu, J.; Yalikun, Y.; Jin, S.; Liu, S.; Yang, W.; Lei, C. Hybrid attention-aware transformer network collaborative multiscale feature alignment for building change detection. IEEE Trans. Instrum. Meas. 2024, 73, 1–14. [Google Scholar] [CrossRef]
- Zhang, M.; Shi, W. A feature difference convolutional neural network-based change detection method. IEEE Trans. Geosci. Remote Sens. 2020, 58, 7232–7246. [Google Scholar] [CrossRef]
- Papadomanolaki, M.; Vakalopoulou, M.; Karantzalos, K. A deep multitask learning framework coupling semantic segmentation and fully convolutional LSTM networks for urban change detection. IEEE Trans. Geosci. Remote Sens. 2021, 59, 7651–7668. [Google Scholar] [CrossRef]
- Li, W.; Xue, L.; Wang, X.; Li, G. ConvTransNet: A CNN–transformer network for change detection with multiscale global–local representations. IEEE Trans. Geosci. Remote Sens. 2023, 61, 1–15. [Google Scholar] [CrossRef]
- Vaswani, A.; Shazeer, N.; Parmar, N.; Uszkoreit, J.; Jones, L.; Gomez, A.N.; Kaiser, Ł.; Polosukhin, I.A. Attention is all you need. In Proceedings of the Advances in Neural Information Processing Systems 30 (NeurIPS 2017), Long Beach, CA, USA, 4–9 December 2017. [Google Scholar]
- Han, K.; Wang, Y.; Chen, H.; Chen, X.; Guo, J.; Liu, Z.; Tang, Y.; Xiao, A.; Xu, C.; Xu, Y. A survey on vision transformer. IEEE Trans. Pattern Anal. Mach. Intell. 2022, 45, 87–110. [Google Scholar] [CrossRef] [PubMed]
- Zhang, M.; Liu, Z.; Feng, J.; Liu, L.; Jiao, L. Remote sensing image change detection based on deep multi-scale multi-attention Siamese transformer network. Remote Sens. 2023, 15, 842. [Google Scholar] [CrossRef]
- Xu, X.; Li, J.; Chen, Z. TCIANet: Transformer-based context information aggregation network for remote sensing image change detection. IEEE J. Sel. Top. Appl. Earth Obs. Remote Sens. 2023, 16, 1951–1971. [Google Scholar] [CrossRef]
- Noman, M.; Fiaz, M.; Cholakkal, H.; Narayan, S.; Anwer, R.M.; Khan, S.; Khan, F.S. Remote sensing change detection with transformers trained from scratch. IEEE Trans. Geosci. Remote Sens. 2024, 62, 1–14. [Google Scholar] [CrossRef]
- Zhu, P.; Xu, H.; Luo, X. MDAFormer: Multi-level difference aggregation transformer for change detection of VHR optical imagery. Int. J. Appl. Earth Obs. Geoinf. 2023, 118, 103256. [Google Scholar] [CrossRef]
- Li, Y.; Miao, N.; Ma, L.; Shuang, F.; Huang, X. Transformer for object detection: Review and benchmark. Eng. Appl. Artif. Intell. 2023, 126, 107021. [Google Scholar] [CrossRef]
- Shafique, A.; Seydi, S.T.; Alipour-Fard, T.; Cao, G.; Yang, D. SSViT-HCD: A spatial–spectral convolutional vision transformer for hyperspectral change detection. IEEE J. Sel. Top. Appl. Earth Obs. Remote Sens. 2023, 16, 6487–6504. [Google Scholar] [CrossRef]
- Gu, A.; Dao, T. Mamba: Linear-time sequence modeling with selective state spaces. arXiv 2023, arXiv:2312.00752. [Google Scholar]
- Ma, X.; Zhang, X.; Pun, M.-O. RS3Mamba: Visual State Space Model for Remote Sensing Image Semantic Segmentation. IEEE Geosci. Remote Sens. Lett. 2024, 21, 1–5. [Google Scholar] [CrossRef]
- Chen, K.; Chen, B.; Liu, C.; Li, W.; Zou, Z.; Shi, Z. Rsmamba: Remote sensing image classification with state space model. IEEE Geosci. Remote Sens. Lett. 2024, 21, 1–5. [Google Scholar] [CrossRef]
- Li, Y.; Luo, Y.; Zhang, L.; Wang, Z.; Du, B. Mambahsi: Spatial-spectral mamba for hyperspectral image classification. IEEE Trans. Geosci. Remote Sens. 2024, 62, 1–16. [Google Scholar] [CrossRef]
- Mei, L.; Ye, Z.; Xu, C.; Wang, H.; Wang, Y.; Lei, C.; Yang, W.; Li, Y. SCD-SAM: Adapting Segment Anything Model for Semantic Change Detection in Remote Sensing Imagery. IEEE Trans. Geosci. Remote Sens. 2024, 62, 1–13. [Google Scholar] [CrossRef]
- Chen, T.; Lu, Z.; Yang, Y.; Zhang, Y.; Du, B.; Plaza, A. A Siamese network based U-Net for change detection in high resolution remote sensing images. IEEE J. Sel. Top. Appl. Earth Obs. Remote Sens. 2022, 15, 2357–2369. [Google Scholar] [CrossRef]
- Liu, W.; Lin, Y.; Liu, W.; Yu, Y.; Li, J. An attention-based multiscale transformer network for remote sensing image change detection. ISPRS J. Photogramm. Remote Sens. 2023, 202, 599–609. [Google Scholar] [CrossRef]
- Hewarathna, A.I.; Hamlin, L.; Charles, J.; Vigneshwaran, P.; George, R.; Thuseethan, S.; Wimalasooriya, C.; Shanmugam, B. Change Detection for Forest Ecosystems Using Remote Sensing Images with Siamese Attention U-Net. Technologies 2024, 12, 160. [Google Scholar] [CrossRef]
- Zhang, M.; Zheng, H.; Gong, M.; Wu, Y.; Li, H.; Jiang, X. Self-structured pyramid network with parallel spatial-channel attention for change detection in VHR remote sensed imagery. Pattern Recognit. 2023, 138, 109354. [Google Scholar] [CrossRef]
- Jiang, B.; Wang, Z.; Wang, X.; Zhang, Z.; Chen, L.; Wang, X.; Luo, B. VcT: Visual change transformer for remote sensing image change detection. IEEE Trans. Geosci. Remote Sens. 2023, 61, 1–14. [Google Scholar] [CrossRef]
- Zhang, K.; Zhao, X.; Zhang, F.; Ding, L.; Sun, J.; Bruzzone, L. Relation changes matter: Cross-temporal difference transformer for change detection in remote sensing images. IEEE Trans. Geosci. Remote Sens. 2023, 61, 1–15. [Google Scholar] [CrossRef]
- Xu, C.; Ye, Z.; Mei, L.; Yang, W.; Hou, Y.; Shen, S.; Ouyang, W.; Ye, Z. Progressive context-aware aggregation network combining multi-scale and multi-level dense reconstruction for building change detection. Remote Sens. 2023, 15, 1958. [Google Scholar] [CrossRef]
- Wang, Y.; Qiu, Y.; Cheng, P.; Zhang, J. Hybrid CNN-transformer features for visual place recognition. IEEE Trans. Circuits Syst. Video Technol. 2022, 33, 1109–1122. [Google Scholar] [CrossRef]
- Han, C.; Wu, C.; Guo, H.; Hu, M.; Li, J.; Chen, H. Change guiding network: Incorporating change prior to guide change detection in remote sensing imagery. IEEE J. Sel. Top. Appl. Earth Obs. Remote Sens. 2023, 16, 8395–8407. [Google Scholar] [CrossRef]
- Jiang, M.; Chen, Y.; Dong, Z.; Liu, X.; Zhang, X.; Zhang, H. Multi-Scale Fusion CNN-Transformer Network for High-Resolution Remote Sensing Image Change Detection. IEEE J. Sel. Top. Appl. Earth Obs. Remote Sens. 2024, 17, 5280–5293. [Google Scholar] [CrossRef]
- Ding, L.; Zhang, J.; Guo, H.; Zhang, K.; Liu, B.; Bruzzone, L. Joint spatio-temporal modeling for semantic change detection in remote sensing images. IEEE Trans. Geosci. Remote Sens. 2024, 62, 1–14. [Google Scholar] [CrossRef]
- Xu, C.; Yu, H.; Mei, L.; Wang, Y.; Huang, J.; Du, W.; Jin, S.; Li, X.; Yu, M.; Yang, W. Rethinking Building Change Detection: Dual-Frequency Learnable Visual Encoder with Multi-Scale Integration Network. IEEE J. Sel. Top. Appl. Earth Obs. Remote Sens. 2024, 17, 6174–6188. [Google Scholar] [CrossRef]
- Cheng, G.; Huang, Y.; Li, X.; Lyu, S.; Xu, Z.; Zhao, H.; Zhao, Q.; Xiang, S. Change detection methods for remote sensing in the last decade: A comprehensive review. Remote Sens. 2024, 16, 2355. [Google Scholar] [CrossRef]
- Liu, F.; Wen, Y.; Sun, J.; Zhu, P.; Mao, L.; Niu, G.; Li, J. Iterative Mamba Diffusion Change-Detection Model for Remote Sensing. Remote Sens. 2024, 16, 3651. [Google Scholar] [CrossRef]
- Zhao, S.; Chen, H.; Zhang, X.; Xiao, P.; Bai, L.; Ouyang, W. Rs-mamba for large remote sensing image dense prediction. arXiv 2024, arXiv:2404.02668. [Google Scholar] [CrossRef]
- Chen, H.; Song, J.; Han, C.; Xia, J.; Yokoya, N. Changemamba: Remote sensing change detection with spatio-temporal state space model. arXiv 2024, arXiv:2404.03425. [Google Scholar]
- Xu, R.; Yang, S.; Wang, Y.; Du, B.; Chen, H. A survey on vision mamba: Models, applications and challenges. arXiv 2024, arXiv:2404.18861. [Google Scholar]
- Yang, S.; Wang, Y.; Chen, H. Mambamil: Enhancing long sequence modeling with sequence reordering in computational pathology. arXiv 2024, arXiv:2403.06800. [Google Scholar]
- Zhou, W.; Kamata, S.-I.; Wang, H.; Wong, M.-S. Mamba-in-Mamba: Centralized Mamba-Cross-Scan in Tokenized Mamba Model for Hyperspectral Image Classification. arXiv 2024, arXiv:2405.12003. [Google Scholar] [CrossRef]
- Zhang, H.; Zhu, Y.; Wang, D.; Zhang, L.; Chen, T.; Wang, Z.; Ye, Z. A survey on visual mamba. Appl. Sci. 2024, 14, 5683. [Google Scholar] [CrossRef]
- Bahaduri, B.; Ming, Z.; Feng, F.; Mokraoui, A. Multimodal Transformer Using Cross-Channel Attention for Object Detection in Remote Sensing Images. In Proceedings of the 2024 IEEE International Conference on Image Processing (ICIP), Abu Dhabi, United Arab Emirates, 27–30 October 2024; pp. 2620–2626. [Google Scholar]
- Daudt, R.C.; Le Saux, B.; Boulch, A. Fully convolutional siamese networks for change detection. In Proceedings of the 2018 25th IEEE International Conference on Image Processing (ICIP), Athens, Greece, 7–10 October 2018; pp. 4063–4067. [Google Scholar]
- Ji, S.; Wei, S.; Lu, M. Fully convolutional networks for multisource building extraction from an open aerial and satellite imagery data set. IEEE Trans. Geosci. Remote Sens. 2018, 57, 574–586. [Google Scholar] [CrossRef]
- Liu, M.; Chai, Z.; Deng, H.; Liu, R. A CNN-transformer network with multiscale context aggregation for fine-grained cropland change detection. IEEE J. Sel. Top. Appl. Earth Obs. Remote Sens. 2022, 15, 4297–4306. [Google Scholar] [CrossRef]
- Chen, H.; Qi, Z.; Shi, Z. Remote sensing image change detection with transformers. IEEE Trans. Geosci. Remote Sens. 2021, 60, 1–14. [Google Scholar] [CrossRef]
- Zheng, H.; Gong, M.; Liu, T.; Jiang, F.; Zhan, T.; Lu, D.; Zhang, M. HFA-Net: High frequency attention siamese network for building change detection in VHR remote sensing images. Pattern Recognit. 2022, 129, 108717. [Google Scholar] [CrossRef]
- Feng, Y.; Jiang, J.; Xu, H.; Zheng, J. Change detection on remote sensing images using dual-branch multilevel intertemporal network. IEEE Trans. Geosci. Remote Sens. 2023, 61, 1–15. [Google Scholar] [CrossRef]
- Chen, C.; Hsieh, J.; Chen, P.; Hsieh, Y.; Wang, B. SARAS-net: Scale and relation aware siamese network for change detection. In Proceedings of the AAAI Conference on Artificial Intelligence, Washington, DC, USA, 7–14 February 2023; pp. 14187–14195. [Google Scholar]
- Tang, X.; Zhang, T.; Ma, J.; Zhang, X.; Liu, F.; Jiao, L. Wnet: W-shaped hierarchical network for remote sensing image change detection. IEEE Trans. Geosci. Remote Sens. 2023, 61, 1–14. [Google Scholar] [CrossRef]
- Liu, Y.; Zhang, F.; Zhang, S.; Zhang, K.; Sun, J.; Bruzzone, L. Content-Guided Spatial-Spectral Integration Network for Change Detection in HR Remote Sensing Images. IEEE Trans. Geosci. Remote Sens. 2024, 62, 1–16. [Google Scholar] [CrossRef]







| Method | Precision | Recall | F1 | OA | mIOU | Kappa | 
|---|---|---|---|---|---|---|
| FC-EF [46] | 79.91 | 82.84 | 81.35 | 95.80 | 81.97 | 78.99 | 
| BITNet [49] | 87.32 | 91.41 | 89.32 | 97.59 | 89.00 | 87.96 | 
| HFANet [50] | 83.36 | 91.48 | 87.22 | 96.71 | 87.03 | 85.56 | 
| MSCANet [48] | 83.75 | 91.85 | 87.61 | 97.13 | 87.38 | 85.99 | 
| DMINet [51] | 84.19 | 86.69 | 86.85 | 97.00 | 86.72 | 85.16 | 
| SARASNet [52] | 89.48 | 92.64 | 91.03 | 97.98 | 90.64 | 89.90 | 
| WNet [53] | 89.73 | 89.91 | 89.77 | 97.74 | 89.46 | 88.50 | 
| CSINet [54] | 88.61 | 93.61 | 91.04 | 97.96 | 90.64 | 89.89 | 
| Ours | 93.16 | 91.46 | 92.31 | 98.32 | 91.92 | 91.14 | 
| Method | Precision | Recall | F1 | OA | mIOU | Kappa | 
|---|---|---|---|---|---|---|
| FC-EF [46] | 70.43 | 92.31 | 79.90 | 97.82 | 82.12 | 78.77 | 
| BITNet [49] | 81.75 | 88.69 | 85.08 | 98.54 | 86.25 | 84.31 | 
| HFANet [50] | 74.19 | 89.56 | 81.15 | 98.04 | 83.12 | 80.13 | 
| MSCANet [48] | 83.07 | 90.70 | 86.72 | 98.69 | 87.59 | 86.03 | 
| DMINet [51] | 70.56 | 92.50 | 80.05 | 97.73 | 82.24 | 78.93 | 
| SARASNet [52] | 82.88 | 94.02 | 88.10 | 98.81 | 88.74 | 87.47 | 
| WNet [53] | 71.51 | 94.98 | 81.59 | 97.98 | 83.40 | 80.55 | 
| CSINet [54] | 86.28 | 91.50 | 88.81 | 98.91 | 89.37 | 88.25 | 
| Ours | 92.18 | 89.74 | 90.94 | 99.15 | 91.25 | 90.50 | 
| Method | Precision | Recall | F1 | OA | mIOU | Kappa | 
|---|---|---|---|---|---|---|
| FC-EF [46] | 53.3 | 73.51 | 61.8 | 93.24 | 68.78 | 58.19 | 
| BITNet [49] | 57.46 | 77.44 | 65.97 | 94.05 | 71.45 | 62.79 | 
| HFANet [50] | 62.66 | 79.13 | 69.94 | 94.94 | 74.20 | 67.21 | 
| MSCANet [48] | 59.14 | 72.23 | 65.03 | 94.22 | 71.04 | 61.91 | 
| DMINet [51] | 53.33 | 67.39 | 59.54 | 93.19 | 67.61 | 55.88 | 
| SARASNet [52] | 71.25 | 75.63 | 73.37 | 95.92 | 76.81 | 71.16 | 
| WNet [53] | 67.29 | 78.56 | 72.49 | 95.56 | 76.07 | 70.10 | 
| CSINet [54] | 64.02 | 82.72 | 72.18 | 95.25 | 75.70 | 69.63 | 
| Ours | 81.35 | 73.55 | 77.25 | 96.77 | 79.76 | 75.55 | 
| Model | Precision | Recall | F1 | OA | mIOU | Kappa | 
|---|---|---|---|---|---|---|
| w/o TTM+HIAM | 91.81 | 89.81 | 90.80 | 97.99 | 90.46 | 89.67 | 
| w/o HIAM | 92.66 | 91.56 | 92.11 | 98.27 | 91.72 | 91.13 | 
| w/o TTM | 92.76 | 90.45 | 91.60 | 98.17 | 91.22 | 90.56 | 
| TTMGNet | 93.16 | 91.46 | 92.31 | 98.32 | 91.92 | 91.14 | 
| Disclaimer/Publisher’s Note: The statements, opinions and data contained in all publications are solely those of the individual author(s) and contributor(s) and not of MDPI and/or the editor(s). MDPI and/or the editor(s) disclaim responsibility for any injury to people or property resulting from any ideas, methods, instructions or products referred to in the content. | 
© 2024 by the authors. Licensee MDPI, Basel, Switzerland. This article is an open access article distributed under the terms and conditions of the Creative Commons Attribution (CC BY) license (https://creativecommons.org/licenses/by/4.0/).
Share and Cite
Wang, H.; Ye, Z.; Xu, C.; Mei, L.; Lei, C.; Wang, D. TTMGNet: Tree Topology Mamba-Guided Network Collaborative Hierarchical Incremental Aggregation for Change Detection. Remote Sens. 2024, 16, 4068. https://doi.org/10.3390/rs16214068
Wang H, Ye Z, Xu C, Mei L, Lei C, Wang D. TTMGNet: Tree Topology Mamba-Guided Network Collaborative Hierarchical Incremental Aggregation for Change Detection. Remote Sensing. 2024; 16(21):4068. https://doi.org/10.3390/rs16214068
Chicago/Turabian StyleWang, Hongzhu, Zhaoyi Ye, Chuan Xu, Liye Mei, Cheng Lei, and Du Wang. 2024. "TTMGNet: Tree Topology Mamba-Guided Network Collaborative Hierarchical Incremental Aggregation for Change Detection" Remote Sensing 16, no. 21: 4068. https://doi.org/10.3390/rs16214068
APA StyleWang, H., Ye, Z., Xu, C., Mei, L., Lei, C., & Wang, D. (2024). TTMGNet: Tree Topology Mamba-Guided Network Collaborative Hierarchical Incremental Aggregation for Change Detection. Remote Sensing, 16(21), 4068. https://doi.org/10.3390/rs16214068
 
         
                                                


 
       