CSEF-Net: Cross-Scale SAR Ship Detection Network Based on Efficient Receptive Field and Enhanced Hierarchical Fusion
Abstract
1. Introduction
- The CSEF-Net network is proposed to enhance the accuracy of detecting ships across different scales in SAR images under complex scene conditions.
- To improve the feature extraction ability of the backbone network without adding too many parameters, an efficient receptive field feature extraction backbone network (ERFBNet) is designed to enlarge the receptive field and retain more effective information. Meanwhile, an effective attention mechanism and a lighter convolutional aggregation module are introduced.
- To promote the flow of features on different scales and merge contextual information, an enhanced hierarchical feature fusion network (EHFNet) is designed. This network aims to provide more accurate location and semantic information, which includes weighted fusion and a skip layer connection. Moreover, a new down sampling module is designed.
- Based on the characteristics of cross-scale ship targets, a more effective loss function of boundary box regression is designed, which is conducive to the detection of target position and improves the overall detection accuracy of the network.
2. Methods
2.1. Overall Network Structure of the CSEF-Net
2.2. Efficient Receptive Field Feature Extraction Backbone Network (ERFBNet)
2.2.1. Efficient Receptive Field Module (ERFM)
2.2.2. Multi-Channel Coordinate Attention Module (MCCA)
2.3. Enhanced Hierarchical Feature Fusion Network (EHFNet)
2.3.1. Weighted Feature Fusion Nodes and Feature Multiplexing Connection
2.3.2. Efficient down Sampling Module (EDS)
2.4. Bounding Box Loss Function
3. Experiment and Results
3.1. Experimental Platform
3.2. Datasets
- (1)
- SSDD:
- (2)
- HRSID:
- (3)
- LS-SSDD:
3.3. Model Evaluation
3.4. Experimental Results
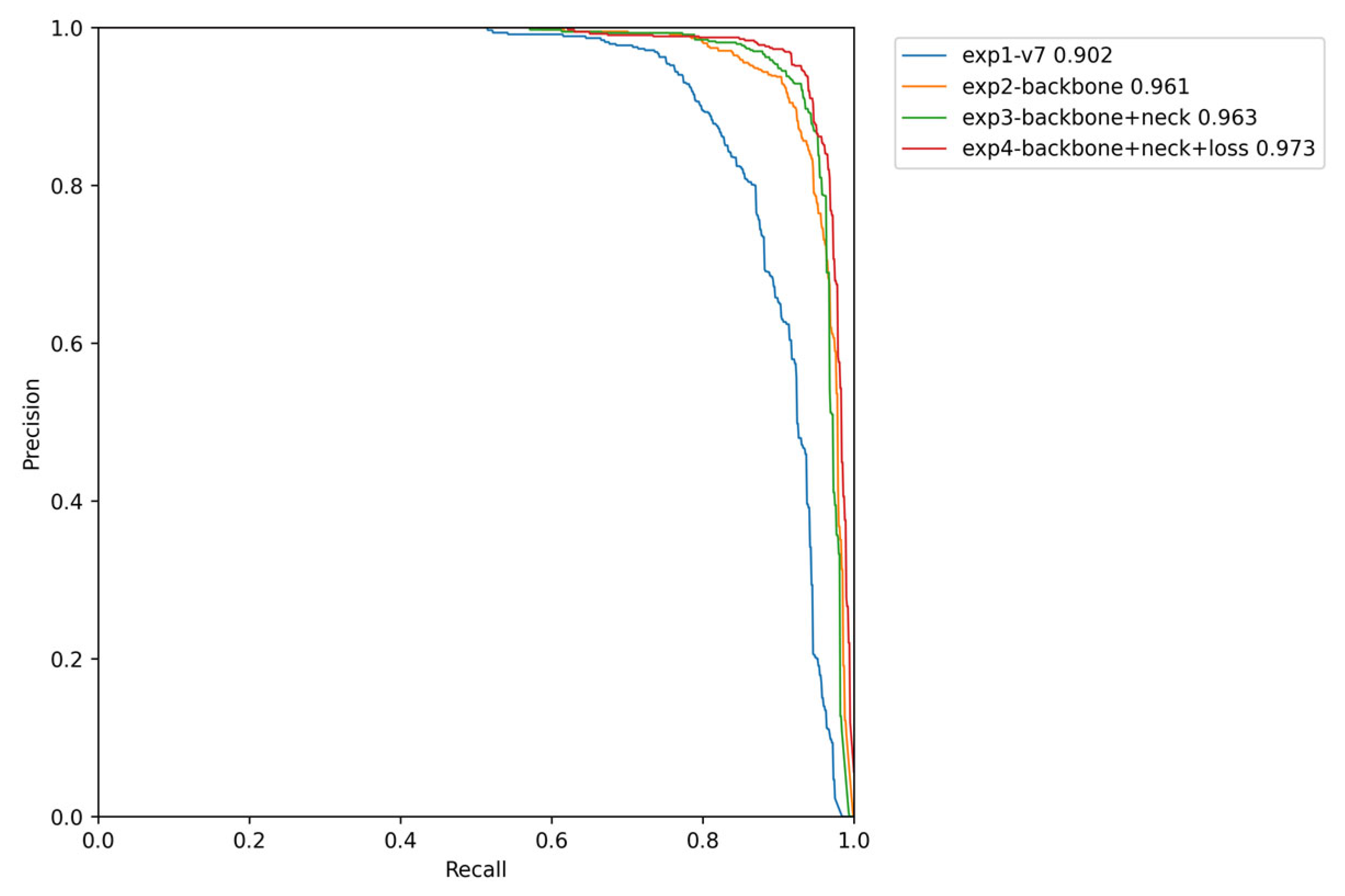
3.4.1. Ablation Experiment
3.4.2. Comparison with Other Target Detection Algorithms
3.4.3. Experimental Results in Different Scenarios
3.4.4. CSEF-Net’s Performance in Other SAR Images
3.5. Discussion of Error Detection and Leakage Detection
4. Conclusions
Author Contributions
Funding
Data Availability Statement
Conflicts of Interest
References
- Sun, G.C.; Liu, Y.B.; Xiang, J.X.; Liu, W.K.; Xing, M.D.; Chen, J.L. Spaceborne Synthetic Aperture Radar Imaging Algorithms: An overview. IEEE Geosci. Remote Sens. Mag. 2022, 10, 161–184. [Google Scholar] [CrossRef]
- Zhao, Q.; Pepe, A.; Zamparelli, V.; Mastro, P.; Falabella, F.; Abdikan, S.; Bayik, C.; Sanli, F.B.; Ustuner, M.; Avşar, N.B.; et al. Innovative remote sensing methodologies and applications in coastal and marine environments. Geo-Spat. Inf. Sci. 2023, 1–18. [Google Scholar] [CrossRef]
- Yasir, M.; Wan, J.H.; Xu, M.M.; Hui, S.; Zhe, Z.; Liu, S.W.; Tugsan, A.; Colak, I.; Hossain, M.S. Ship detection based on deep learning using SAR imagery: A systematic literature review. Soft Comput. 2023, 27, 63–84. [Google Scholar] [CrossRef]
- Qin, X.X.; Zhou, S.L.; Zou, H.X.; Gao, G. A CFAR Detection Algorithm for Generalized Gamma Distributed Background in High-Resolution SAR Images. IEEE Geosci. Remote Sens. Lett. 2013, 10, 806–810. [Google Scholar]
- Xing, X.W.; Ji, K.F.; Zou, H.X.; Sun, J.X.; Zhou, S.L. High resolution SAR imagery ship detection based on EXS-C-CFAR in Alpha-stable clutters. In Proceedings of the 2011 IEEE International Geoscience and Remote Sensing Symposium, Vancouver, BC, Canada, 24–29 July 2011; pp. 316–319. [Google Scholar]
- Wang, C.K.; Wang, J.F.; Liu, X.Z. A Novel Algorithm for Ship Detection in SAR Images. In Proceedings of the 2019 IEEE International Conference on Signal Processing, Communications and Computing (ICSPCC), Dalian, China, 20–22 September 2019; pp. 1–5. [Google Scholar]
- Madjidi, H.; Laroussi, T.; Farah, F. A robust and fast CFAR ship detector based on median absolute deviation thresholding for SAR imagery in heterogeneous log-normal sea clutter. Signal Image Video Process. 2023, 17, 2925–2931. [Google Scholar] [CrossRef]
- Ma, W.; Achim, A.; Karakuş, O. Exploiting the Dual-Tree Complex Wavelet Transform for Ship Wake Detection in SAR Imagery. In Proceedings of the 2021 IEEE International Conference on Acoustics, Speech and Signal Processing, Toronto, ON, Canada, 6–11 June 2021; pp. 1530–1534. [Google Scholar]
- Zhu, J.W.; Qiu, X.L.; Pan, Z.X.; Zhang, Y.T.; Lei, B. Projection Shape Template-Based Ship Target Recognition in TerraSAR-X Images. IEEE Geosci. Remote Sens. Lett. 2017, 14, 222–226. [Google Scholar] [CrossRef]
- Arivazhagan, S.; Jebarani, W.S.L.; Shebiah, R.N.; Ligi, S.V.; Kumar, P.V.H.; Anilkumar, K. Significance based Ship Detection from SAR Imagery. In Proceedings of the 2019 1st International Conference on Innovations in Information and Communication Technology, Chennai, India, 25–26 April 2019; pp. 1–5. [Google Scholar]
- Wang, H.P.; Xu, F.; Chen, S.S. Saliency Detector for SAR Images Based on Pattern Recurrence. IEEE J. Sel. Top. Appl. Earth Obs. Remote Sens. 2016, 9, 2891–2900. [Google Scholar] [CrossRef]
- Ren, S.Q.; He, K.M.; Girshick, R.; Sun, J. Faster R-CNN: Towards real-time object detection with region proposal networks. IEEE Trans. Pattern Anal. Mach. Intell. 2017, 39, 1137–1149. [Google Scholar] [CrossRef]
- Wang, R.F.; Xu, F.Y.; Pei, J.F.; Wang, C.W.; Haung, Y.L.; Yang, J.Y.; Wu, J.J. An Improved Faster R-CNN Based on MSER Decision Criterion for SAR Image Ship Detection in Harbor. In Proceedings of the IGARSS 2019—2019 IEEE International Geoscience and Remote Sensing Symposium, Yokohama, Japan, 28 July–2 August 2019; pp. 1322–1325. [Google Scholar]
- Lin, Z.; Ji, K.F.; Leng, X.G.; Kuang, G.Y. Squeeze and Excitation Rank Faster R-CNN for Ship Detection in SAR Images. IEEE Geosci. Remote Sens. Lett. 2019, 16, 751–755. [Google Scholar] [CrossRef]
- Ke, X.; Zhang, X.L.; Zhang, T.W.; Shi, J.; Wei, S.J. SAR Ship Detection Based on an Improved Faster R-CNN Using Deformable Convolution. In Proceedings of the 2021 IEEE International Geoscience and Remote Sensing Symposium (IGARSS), Brussels, Belgium, 11–16 July 2021; pp. 3565–3568. [Google Scholar]
- Jiao, J.; Zhang, Y.; Sun, H.; Yang, X.; Gao, X.; Hong, W.; Fu, K.; Sun, X. A Densely Connected End-to-End Neural Network for Multiscale and Multiscene SAR Ship Detection. IEEE Access 2018, 6, 20881–20892. [Google Scholar] [CrossRef]
- Xu, X.W.; Zhang, X.L.; Zeng, T.J.; Shi, J.; Shao, Z.K.; Zhang, T.W. Group-Wise Feature Fusion R-CNN for Dual-Polarization SAR Ship Detection. In Proceedings of the 2023 IEEE Radar Conference (RadarConf23), San Antonio, TX, USA, 1–5 May 2023; pp. 1–5. [Google Scholar]
- Redmon, J.; Divvala, S.; Girshick, R.; Farhadi, A. You Only Look Once: Unified, Real-Time Object Detection. In Proceedings of the 2016 IEEE Conference on Computer Vision and Pattern Recognition (CVPR), Las Vegas, NV, USA, 27–30 June 2016; pp. 779–788. [Google Scholar]
- Liu, W.; Anguelov, D.; Erhan, D.; Szegedy, C.; Reed, S.; Fu, C.Y.; Berg, A.C. SSD: Single Shot MultiBox Detector. In Proceedings of the 2016 European Conference on Computer Vision (ECCV), Amsterdam, The Netherlands, 10–16 October 2016; pp. 21–37. [Google Scholar]
- Liu, Y.; Wang, X.Q. SAR Ship Detection Based on Improved YOLOv7-Tiny. In Proceedings of the 2022 IEEE 8th International Conference on Computer and Communications (ICCC), Chengdu, China, 9–12 December 2022; pp. 2166–2170. [Google Scholar]
- Zha, C.; Min, W.D.; Han, Q.; Li, W.; Xiong, X.; Wang, Q.; Zhu, M. SAR ship localization method with denoising and feature refinement. Eng. Appl. Artif. Intell. 2023, 123, 106444. [Google Scholar] [CrossRef]
- Zhang, T.W.; Zhang, X.L.; Shi, J.; Wei, S.J. HyperLi-Net: A hyper-light deep learning network for high-accurate and high-speed ship detection from synthetic aperture radar imagery. ISPRS J. Photogramm. Remote Sens. 2020, 167, 123–153. [Google Scholar] [CrossRef]
- Miao, T.; Zeng, H.C.; Yang, W.; Chu, B.; Zou, F.; Ren, W.J.; Chen, J. An Improved Lightweight RetinaNet for Ship Detection in SAR Images. IEEE J. Sel. Top. Appl. Earth Obs. Remote Sens. 2022, 15, 4667–4679. [Google Scholar] [CrossRef]
- Zhang, T.W.; Zhang, X.L. ShipDeNet-20: An Only 20 Convolution Layers and <1-MB Lightweight SAR Ship Detector. IEEE Geosci. Remote Sens. Lett. 2021, 18, 1234–1238. [Google Scholar]
- Kong, W.M.; Liu, S.W.; Xu, M.M.; Yasir, M.; Wang, D.W.; Liu, W.T. Lightweight algorithm for multi-scale ship detection based on high-resolution SAR images. Int. J. Remote Sens. 2023, 44, 1390–1415. [Google Scholar] [CrossRef]
- Suo, Z.; Zhao, Y.; Hu, Y. An Effective Multi-Layer Attention Network for SAR Ship Detection. J. Mar. Sci. Eng. 2023, 11, 906. [Google Scholar] [CrossRef]
- Li, Y.G.; Zhu, W.G.; Li, C.X.; Zeng, C.Z. SAR image near-shore ship target detection method in complex background. Int. J. Remote Sens. 2023, 44, 924–952. [Google Scholar] [CrossRef]
- Zhu, H.; Xie, Y.; Huang, H.; Jing, C.; Rong, Y.; Wang, C. DB-YOLO: A Duplicate Bilateral YOLO Network for Multi-Scale Ship Detection in SAR Images. Sensors 2021, 21, 8146. [Google Scholar] [CrossRef]
- Zhang, T.; Zhang, X.; Ke, X. Quad-FPN: A Novel Quad Feature Pyramid Network for SAR Ship Detection. Remote Sens. 2021, 13, 2771. [Google Scholar] [CrossRef]
- Zhang, T.W.; Zhang, X.L.; Liu, C.; Shi, J.; Wei, S.J.; Ahmad, I. Balance learning for ship detection from synthetic aperture radar remote sensing imagery. ISPRS J. Photogramm. Remote Sens. 2021, 182, 190–207. [Google Scholar] [CrossRef]
- Wang, C.Y.; Bochkovskiy, A.; Liao, H.Y.M. YOLOv7: Trainable Bag-of-Freebies Sets New State-of-the-Art for Real-Time Object Detectors. In Proceedings of the 2023 IEEE/CVF Conference on Computer Vision and Pattern Recognition (CVPR), Vancouver, BC, Canada, 17–24 June 2023; pp. 7464–7475. [Google Scholar]
- Chen, J.R.; Kao, S.H.; He, H.; Zhuo, W.P.; Wen, S.; Lee, C.H.; Chan, S.H.G. Run, Don’t Walk: Chasing Higher FLOPS for Faster Neural Networks. In Proceedings of the 2023 IEEE/CVF Conference on Computer Vision and Pattern Recognition (CVPR), Vancouver, BC, Canada, 17–24 June 2023; pp. 12021–12031. [Google Scholar]
- Chollet, F. Xception: Deep Learning with Depthwise Separable Convolutions. In Proceedings of the 2017 IEEE Conference on Computer Vision and Pattern Recognition (CVPR), Honolulu, HI, USA, 21–26 July 2017; pp. 1800–1807. [Google Scholar]
- Hou, Q.B.; Zhou, D.Q.; Feng, J.S. Coordinate Attention for Efficient Mobile Network Design. In Proceedings of the 2021 IEEE/CVF Conference on Computer Vision and Pattern Recognition (CVPR), Nashville, TN, USA, 20–25 June 2021; pp. 13708–13717. [Google Scholar]
- Tong, Z.J.; Chen, Y.H.; Xu, Z.W.; Yu, R. Wise-IoU: Bounding Box Regression Loss with Dynamic Focusing Mechanism. arXiv 2023, arXiv:2301.10051. [Google Scholar]
- Wang, J.W.; Xu, C.; Yang, W.; Yu, L. A Normalized Gaussian Wasserstein Distance for Tiny Object Detection. arXiv 2021, arXiv:2110.13389. [Google Scholar]
- Zhang, T.; Zhang, X.; Li, J.; Xu, X.; Wang, B.; Zhan, X.; Xu, Y.; Ke, X.; Zeng, T.; Su, H.; et al. SAR Ship Detection Dataset (SSDD): Official Release and Comprehensive Data Analysis. Remote Sens. 2021, 13, 3690. [Google Scholar] [CrossRef]
- Wei, S.J.; Zeng, X.F.; Qu, Q.Z.; Wang, M.; Su, H.; Shi, J. HRSID: A High-Resolution SAR Images Dataset for Ship Detection and Instance Segmentation. IEEE Access 2020, 8, 120234–120254. [Google Scholar] [CrossRef]
- Zhang, T.; Zhang, X.; Ke, X.; Zhan, X.; Shi, J.; Wei, S.; Pan, D.; Li, J.; Su, H.; Zhou, Y.; et al. LS-SSDD-v1.0: A Deep Learning Dataset Dedicated to Small Ship Detection from Large-Scale Sentinel-1 SAR Images. Remote Sens. 2020, 12, 2997. [Google Scholar] [CrossRef]
- Tan, M.X.; Pang, R.M.; Le, Q.V. EfficientDet: Scalable and Efficient Object Detection. In Proceedings of the 2020 IEEE/CVF Conference on Computer Vision and Pattern Recognition (CVPR), Seattle, WA, USA, 13–19 June 2020; pp. 10778–10787. [Google Scholar]
- Lin, T.Y.; Goyal, P.; Girshick, R.; He, K.; Dollár, P. Focal loss for dense object detection. In Proceedings of the IEEE International Conference on Computer Vision, Venice, Italy, 22–29 October 2017; pp. 2980–2988. [Google Scholar]
- Duan, K.; Bai, S.; Xie, L.; Qi, H.; Huang, Q.; Tian, Q. Centernet: Keypoint triplets for object detection. In Proceedings of the IEEE/CVF International Conference on Computer Vision, Seoul, Republic of Korea, 27 October–2 November 2019; pp. 6569–6578. [Google Scholar]
- Yu, C.S.; Shin, Y. SAR ship detection based on improved YOLOv5 and BiFPN. ICT Express 2023, in press. [Google Scholar] [CrossRef]
- Xiao, M.; He, Z.; Li, X.Y.; Lou, A.J. Power Transformations and Feature Alignment Guided Network for SAR Ship Detection. IEEE Geosci. Remote Sens. Lett. 2022, 19, 1–5. [Google Scholar] [CrossRef]
- Wang, Y.; Wang, C.; Zhang, H.; Dong, Y.; Wei, S. A SAR Dataset of Ship Detection for Deep Learning under Complex Backgrounds. Remote Sens. 2019, 11, 765. [Google Scholar] [CrossRef]
















| Metric | Meaning |
|---|---|
| AP | AP for IoU = 0.50:0.05:0.95 |
| AP50 | AP for IoU = 0.50 |
| APS | AP for small targets (area < 322) |
| APM | AP for medium targets (322 < area < 962) |
| APL | AP for large targets (area > 962) |
| FPS | Frames per second |
| Experiment | ERFBNet | EHFNet | WN-Loss | F1 | mAP | APS | APM | APL |
|---|---|---|---|---|---|---|---|---|
| 1 | — | — | — | 0.848 | 0.902 | 0.561 | 0.54 | 0.047 |
| 2 | √ | — | — | 0.920 | 0.961 | 0.636 | 0.673 | 0.41 |
| 3 | √ | — | √ | 0.933 | 0.968 | 0.657 | 0.667 | 0.413 |
| 4 | √ | √ | — | 0.928 | 0.963 | 0.639 | 0.647 | 0.357 |
| 5 | — | √ | √ | 0.888 | 0.941 | 0.617 | 0.601 | 0.183 |
| 6 | √ | √ | √ | 0.941 | 0.973 | 0.653 | 0.702 | 0.41 |
| P | R | mAP | ||
|---|---|---|---|---|
| 0.9 | 0.1 | 0.913 | 0.883 | 0.944 |
| 0.7 | 0.3 | 0.921 | 0.895 | 0.952 |
| 0.5 | 0.5 | 0.921 | 0.879 | 0.947 |
| Lossbbr | F1 | mAP | APS | APM | APL | |
|---|---|---|---|---|---|---|
| Wise-IOU | V1 | 0.9283 | 0.963 | 0.651 | 0.692 | 0.404 |
| V2 | 0.9348 | 0.974 | 0.640 | 0.680 | 0.310 | |
| V3 | 0.9281 | 0.961 | 0.645 | 0.660 | 0.107 | |
| NWD | +CIOU | 0.9078 | 0.952 | 0.632 | 0.673 | 0.503 |
| +EIOU | 0.9081 | 0.951 | 0.632 | 0.616 | 0.177 | |
| +SIOU | 0.9145 | 0.961 | 0.642 | 0.665 | 0.369 | |
| +V2 | 0.941 | 0.973 | 0.653 | 0.702 | 0.41 | |
| Method | SSDD | HRSID | FPS | Params (M) | FLOPs (G) | ||||||
|---|---|---|---|---|---|---|---|---|---|---|---|
| P | R | F1 | mAP | P | R | F1 | mAP | ||||
| Faster-RCNN | 0.502 | 0.944 | 0.66 | 0.851 | 0.378 | 0.560 | 0.45 | 0.454 | 13 | 41.3 | 251.4 |
| SSD | 0.936 | 0.552 | 0.69 | 0.899 | 0.928 | 0.438 | 0.60 | 0.681 | 92 | 23.7 | 30.4 |
| EfficientDet | 0.959 | 0.533 | 0.69 | 0.713 | 0.969 | 0.331 | 0.49 | 0.484 | 29 | 3.8 | 2.3 |
| YOLOv5_n | 0.925 | 0.833 | 0.87 | 0.897 | 0.890 | 0.717 | 0.79 | 0.776 | 95 | 1.9 | 4.5 |
| YOLOv7 | 0.928 | 0.782 | 0.84 | 0.902 | 0.847 | 0.724 | 0.78 | 0.819 | 56 | 37.1 | 105.1 |
| RetinaNet | 0.976 | 0.623 | 0.76 | 0.698 | 0.980 | 0.395 | 0.56 | 0.534 | 34 | 36.3 | 10.1 |
| CenterNet | 0.948 | 0.604 | 0.74 | 0.785 | 0.948 | 0.696 | 0.80 | 0.788 | 48 | 32.6 | 6.7 |
| I-YOLOv5 | 0.883 | 0.934 | 0.90 | 0.950 | 0.843 | 0.845 | 0.84 | 0.851 | 13 | - | - |
| Pow-FAN | 0.946 | 0.965 | 0.95 | 0.963 | 0.885 | 0.837 | 0.86 | 0.897 | 31 | 136 | - |
| Quad-FPN | 0.895 | 0.957 | 0.92 | 0.952 | 0.879 | 0.872 | 0.87 | 0.861 | 11 | - | - |
| BL-Net | 0.912 | 0.961 | 0.93 | 0.952 | 0.915 | 0.897 | 0.90 | 0.886 | 5 | 47.8 | 417.8 |
| I-YOLOx-tiny | 0.960 | 0.930 | 0.94 | 0.961 | 0.936 | - | - | 0.867 | 49 | 1.4 | 5.7 |
| CSEF-Net | 0.967 | 0.918 | 0.94 | 0.973 | 0.927 | 0.801 | 0.85 | 0.906 | 43 | 37.3 | 104.1 |
| Scene | Method | F1 | mAP | APS | APM | APL |
|---|---|---|---|---|---|---|
| Offshore | YOLOv7 | 0.929 | 0.977 | 0.604 | 0.664 | 0.190 |
| CSEF-Net | 0.982 | 0.993 | 0.672 | 0.767 | 0.700 | |
| Inshore | YOLOv7 | 0.647 | 0.683 | 0.443 | 0.327 | 0.026 |
| CSEF-Net | 0.850 | 0.9 | 0.604 | 0.587 | 0.074 |
Disclaimer/Publisher’s Note: The statements, opinions and data contained in all publications are solely those of the individual author(s) and contributor(s) and not of MDPI and/or the editor(s). MDPI and/or the editor(s) disclaim responsibility for any injury to people or property resulting from any ideas, methods, instructions or products referred to in the content. |
© 2024 by the authors. Licensee MDPI, Basel, Switzerland. This article is an open access article distributed under the terms and conditions of the Creative Commons Attribution (CC BY) license (https://creativecommons.org/licenses/by/4.0/).
Share and Cite
Zhang, H.; Wu, Y. CSEF-Net: Cross-Scale SAR Ship Detection Network Based on Efficient Receptive Field and Enhanced Hierarchical Fusion. Remote Sens. 2024, 16, 622. https://doi.org/10.3390/rs16040622
Zhang H, Wu Y. CSEF-Net: Cross-Scale SAR Ship Detection Network Based on Efficient Receptive Field and Enhanced Hierarchical Fusion. Remote Sensing. 2024; 16(4):622. https://doi.org/10.3390/rs16040622
Chicago/Turabian StyleZhang, Handan, and Yiquan Wu. 2024. "CSEF-Net: Cross-Scale SAR Ship Detection Network Based on Efficient Receptive Field and Enhanced Hierarchical Fusion" Remote Sensing 16, no. 4: 622. https://doi.org/10.3390/rs16040622
APA StyleZhang, H., & Wu, Y. (2024). CSEF-Net: Cross-Scale SAR Ship Detection Network Based on Efficient Receptive Field and Enhanced Hierarchical Fusion. Remote Sensing, 16(4), 622. https://doi.org/10.3390/rs16040622
