Impact of Plateau Grassland Degradation on Ecological Suitability: Revealing Degradation Mechanisms and Dividing Potential Suitable Areas with Multi Criteria Models
Abstract
1. Introduction
2. Materials and Methods
2.1. Overview Geographical Characteristics of the QTP
2.2. Data Collection and Preprocessing
2.3. Research Framework
2.3.1. Establishment of Grassland Depletion Evaluation Index System
- Calculation of grassland vegetation cover
- Calculation of the grassland degradation index
2.3.2. Theil-Sen Slope Estimation
2.3.3. Mann–Kendall Test
2.3.4. Geodetector
- Factor Detector—Quantifies the explanatory power of each factor, where the q value measures the degree of heterogeneity in Y caused by X.
- Ecological Detector—Compares the effects of two factors on the spatial distribution of grassland using statistical significance tests (e.g., F-test) to determine if their influences differ.
- Interaction Detector—Assesses whether two factors interact synergistically, independently, or in a weakening manner by analyzing the combined q values relative to their individual effects.
- Risk Detector—Identifies spatially vulnerable areas under potential degradation risks, offering insights into priority zones for conservation and intervention.
- L represents the number of strata (h = 1, 2, …, L).
- Nh and N denote the number of units within a stratum and the total number of units, respectively.
- σ2 is the total variance, while is the variance within each stratum.
2.3.5. The Evaluation of Grassland Ecological Suitability Spatial Distribution
- Grassland Suitability Evaluation Model
- Selection of Evaluation Factors and Quantification of Suitability Levels
- Weighted Overlay
3. Results and Analysis
3.1. Analysis of Grassland Depletion Characteristics
3.1.1. Analysis of Spatial Distribution Patterns of Grassland Depletion
3.1.2. Spatiotemporal Evolution of Grassland Depletion Characteristics
3.2. Study on the Driving Mechanism of Grassland Depletion on the QTP
3.2.1. Contribution of Single Factors to Grassland Depletion
3.2.2. Impact of Factor Interactions on Grassland Depletion
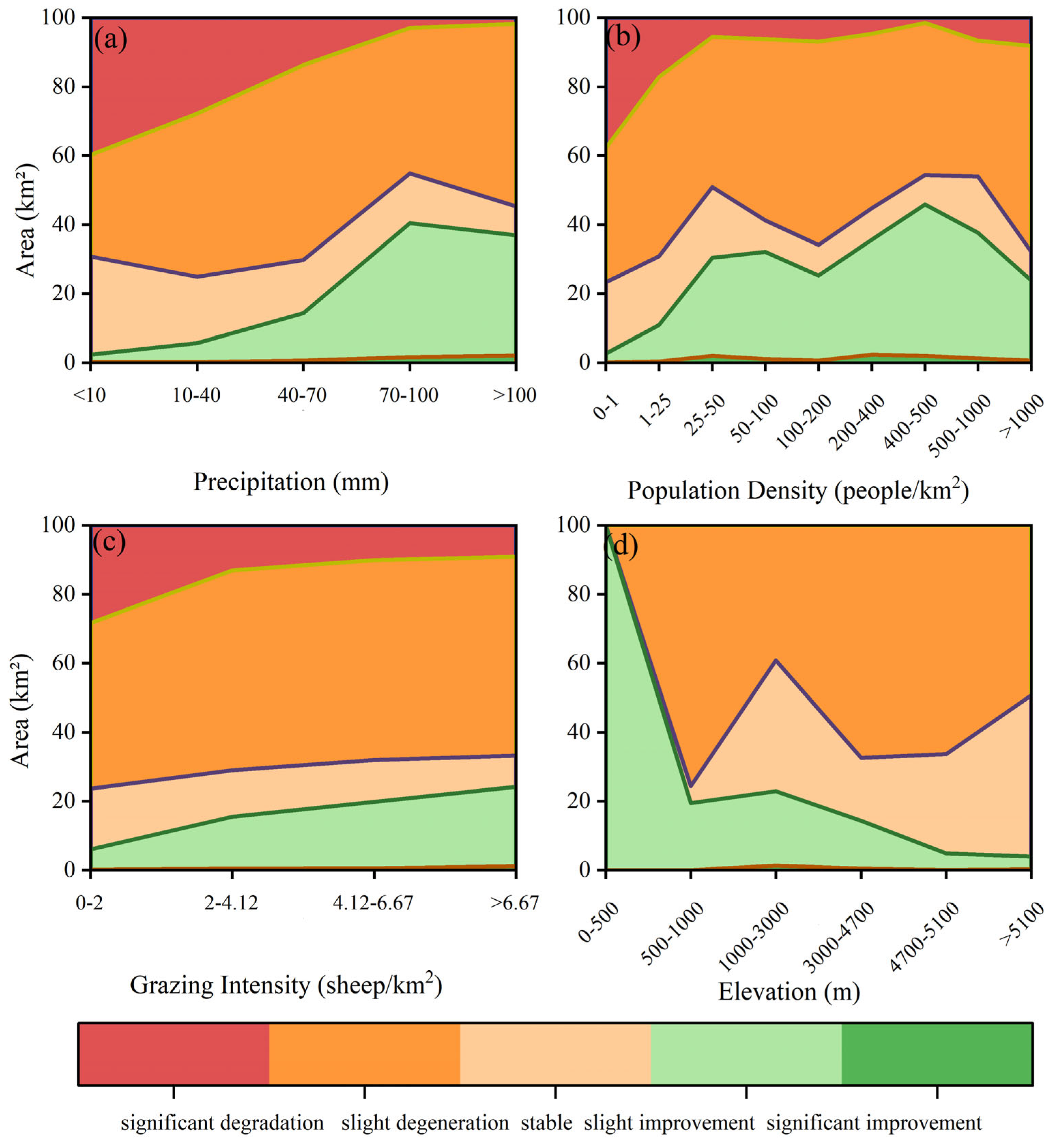
3.2.3. Effects of Individual Factors on Grassland Depletion and Restoration Across Different Ranges
3.2.4. Effects of Combined Precipitation and Other Factors on Grassland Depletion and Restoration Across Different Ranges
3.3. Analysis of Grassland Depletion Transitions Driven by Mechanisms
3.4. Evaluation and Future Prediction of Grassland Ecological Suitability Zones on the QTP
3.4.1. Indicator Selection
3.4.2. Comprehensive Evaluation of Grassland Suitability and Spatial Distribution Trends on the QTP
3.4.3. Future Trends of Grassland Ecological Suitability on the QTP
4. Discussion
4.1. Spatiotemporal Distribution Analysis of Grassland Depletion
4.2. Analysis of the Driving Mechanisms of Grassland Depletion
4.3. Evaluation, Future Prediction and Protection of Ecological Suitability Zones
4.4. Policy for Grassland Management
4.5. Limitations and Future Outlook
5. Conclusions
- (1)
- The results indicate that Grassland Depletion on the QTP from 1982 to 2020 can be divided into three distinct phases. In 1990, degradation peaked with a Grassland Depletion Index (GDI) of 2.53, marking a moderate degradation level. Between 1996 and 2005, grasslands gradually recovered, and the GDI fell below 2.0, shifting to a mild degradation phase. However, from 2006 onwards, degradation intensified again, stabilizing at a GDI of approximately 2.2, representing a return to moderate degradation—a trend persisting to the present. This timeline aligns with prior studies but suggests an earlier onset of intensified degradation (2006 rather than 2010).
- (2)
- Grassland Depletion on the QTP is influenced by both natural and anthropogenic factors, with precipitation, population density, grazing intensity, and elevation identified as key drivers. These factors exert both individual and interactive effects, with precipitation interacting most significantly with population density, grazing intensity, and elevation (q-values of 0.796, 0.767, and 0.752, respectively). The influence of driving factors shows notable spatial variation, with degradation and restoration exhibiting a dynamic balance. Optimal ranges for recovery were identified as 10–70 mm precipitation, 0–25 people/km2 population density, 0–4.2 sheep/km2 grazing intensity, and 3000–5100 m elevation.
- (3)
- The grassland ecological suitability analysis reveals that most grasslands on the QTP fall into “Moderately Suitable” and “Low Suitable” categories, with “Highly Suitable” areas steadily shrinking from 41,332 km2 in 1990 to 24,485 km2 in 2020. Projections suggest a further decrease to 17,501 km2 by 2030 and just 2844 km2 by 2060. This contraction of suitable zones indicates escalating ecological degradation pressures, highlighting the urgent need to establish ecological suitability protection areas to prevent further losses.
- (4)
- The identified “Grassland Ecological Suitability Twin-Star Regions” (Baingoin and Zanda grasslands) serve as key resilient zones on the QTP, crucial for future conservation efforts. Recommended protection strategies include increased investment in ecological restoration, stricter grazing and population density management, and the cultivation of cold- and drought-resistant plant species to enhance ecosystem resilience and carbon sequestration potential. These measures are essential for stabilizing the Plateau’s grassland ecosystems, supporting China’s carbon neutrality objectives, and maintaining global climate stability.
- (5)
- This study offers a novel perspective on the dynamic evaluation of Grassland Depletion on the QTP. By combining the Geographical Detector and AHP models, it provides a comprehensive quantitative analysis of grassland ecological suitability, contributing valuable insights for future protection and restoration efforts. This research has significant theoretical and practical implications for sustainable grassland management on the QTP.
Supplementary Materials
Author Contributions
Funding
Data Availability Statement
Conflicts of Interest
References
- Sun, J.; Wang, Y.; Piao, S.; Liu, M.; Han, G.; Li, J.; Liang, E.; Lee, T.M.; Liu, G.; Wilkes, A.; et al. Toward a sustainable grassland ecosystem worldwide. Innovation 2022, 3, 100265. [Google Scholar] [CrossRef] [PubMed]
- Bengtsson, J.; Bullock, J.; Egoh, B.; Everson, C.; Everson, T.; O’connor, T.; O’Farrell, P.; Smith, H.; Lindborg, R. Grasslands—More important for ecosystem services than you might think. Ecosphere 2019, 10, e02582. [Google Scholar] [CrossRef]
- Dong, S.; Shang, Z.; Gao, J.; Boone, R.B. Enhancing sustainability of grassland ecosystems through ecological restoration and grazing management in an era of climate change on Qinghai-Tibetan Plateau. Agric. Ecosyst. Environ. 2020, 287, 106684. [Google Scholar] [CrossRef]
- Bai, Y.; Cotrufo, M.F. Grassland soil carbon sequestration: Current understanding, challenges, and solutions. Science 2022, 377, 603–608. [Google Scholar] [CrossRef] [PubMed]
- Wang, Y.; Lv, W.; Xue, K.; Wang, S.; Zhang, L.; Hu, R.; Zeng, H.; Xu, X.; Li, Y.; Jiang, L.; et al. Grassland changes and adaptive management on the Qinghai–Tibetan Plateau. Nat. Rev. Earth Environ. 2022, 3, 668–683. [Google Scholar] [CrossRef]
- Oesterheld, M.; Sala, O.E.; McNaughton, S.J. Effect of animal husbandry on herbivore-carrying capacity at a regional scale. Nature 1992, 356, 234–236. [Google Scholar] [CrossRef] [PubMed]
- Manzano, P.; Pardo, G.; Itani, M.A.; del Prado, A. Underrated past herbivore densities could lead to misoriented sustainability policies. npj Biodivers. 2023, 2, 2. [Google Scholar] [CrossRef] [PubMed]
- Liu, H.; Hou, L.; Kang, N. The economic value of grassland ecosystem services: A global meta-analysis. Grassl. Res. 2022, 1, 63–74. [Google Scholar] [CrossRef]
- Bernard-Verdier, M.; Seitz, B.; Buchholz, S.; Kowarik, I.; Lasuncion Mejia, S.; Jeschke, J.M. Grassland allergenicity increases with urbanisation and plant invasions. Ambio 2022, 51, 2261–2277. [Google Scholar] [CrossRef] [PubMed]
- Zhao, Y.; Liu, Z.; Wu, J. Grassland ecosystem services: A systematic review of research advances and future directions. Landsc. Ecol. 2020, 35, 793–814. [Google Scholar] [CrossRef]
- Lyons, K.G.; Török, P.; Hermann, J.M.; Kiehl, K.; Kirmer, A.; Kollmann, J.; Overbeck, G.E.; Tischew, S.; Allen, E.B.; Bakker, J.D.; et al. Challenges and opportunities for grassland restoration: A global perspective of best practices in the era of climate change. Glob. Ecol. Conserv. 2023, 46, e02612. [Google Scholar] [CrossRef]
- Liu, Y.; Zhang, Z.; Tong, L.; Khalifa, M.; Wang, Q.; Gang, C.; Wang, Z.; Li, J.; Sun, Z. Assessing the effects of climate variation and human activities on grassland degradation and restoration across the globe. Ecol. Indic. 2019, 106, 105504. [Google Scholar] [CrossRef]
- Breidenbach, A.; Schleuss, P.-M.; Liu, S.; Schneider, D.; Dippold, M.A.; de la Haye, T.; Miehe, G.; Heitkamp, F.; Seeber, E.; Mason-Jones, K. Microbial functional changes mark irreversible course of Tibetan grassland degradation. Nat. Commun. 2022, 13, 2681. [Google Scholar] [CrossRef] [PubMed]
- Shang, Z.; Yang, S.; Wang, Y.; Shi, J.; Ding, L.; Long, R. Soil seed bank and its relation with above-ground vegetation along the degraded gradients of alpine meadow. Ecol. Eng. 2016, 90, 268–277. [Google Scholar] [CrossRef]
- Liu, Z.; Li, Q.; Chen, D.; Zhai, W.; Zhao, L.; Xu, S.; Zhao, X. Patterns of plant species diversity along an altitudinal gradient and its effect on above-ground biomass in alpine meadows in Qinghai-Tibet Plateau. Biodivers. Sci. 2015, 23, 451. [Google Scholar] [CrossRef]
- Kang, S.; Zhang, Q.; Qian, Y.; Ji, Z.; Li, C.; Cong, Z.; Zhang, Y.; Guo, J.; Du, W.; Huang, J. Linking atmospheric pollution to cryospheric change in the Third Pole region: Current progress and future prospects. Natl. Sci. Rev. 2019, 6, 796–809. [Google Scholar] [CrossRef] [PubMed]
- Fischer, E.M.; Knutti, R. Anthropogenic contribution to global occurrence of heavy-precipitation and high-temperature extremes. Nat. Clim. Chang. 2015, 5, 560–564. [Google Scholar] [CrossRef]
- Dong, S.; Zhang, Y.; Shen, H.; Li, S.; Xu, Y. Grassland Degradation and Restoration. In Grasslands on the Third Pole of the World: Structure, Function, Process, and Resilience of Social-Ecological Systems; Dong, S., Zhang, Y., Shen, H., Li, S., Xu, Y., Eds.; Springer International Publishing: Cham, Switzerland, 2023; pp. 269–310. [Google Scholar]
- Xu, M.; Zhang, J.; Li, Z.; Mo, Y. Attribution analysis and multi-scenario prediction of NDVI drivers in the Xilin Gol grassland, China. J. Arid. Land 2022, 14, 941–961. [Google Scholar] [CrossRef]
- Pu, Y.; Wei, X.; Liu, J.; Zhang, K.; Li, B.; Wei, Z.; Zhang, M.; He, T.; Wang, Y.; Shao, X. Relationship between environmental evolution and human activities in the northeastern Qinghai-Xizang Plateau throughout the past millennium and its implications for the onset of the Anthropocene. Sci. China Earth Sci. 2024, 67, 3536–3549. [Google Scholar] [CrossRef]
- Goldberg, P.; Macphail, R.I.; Carey, C.; Zhuang, Y. Practical and Theoretical Geoarchaeology; John Wiley & Sons: Hoboken, NJ, USA, 2022. [Google Scholar]
- Ji, W.; Luo, Y.; Liao, Y.; Wu, W.; Wei, X.; Yang, Y.; He, X.Z.; Shen, Y.; Ma, Q.; Yi, S. UAV Assisted Livestock Distribution Monitoring and Quantification: A Low-Cost and High-Precision Solution. Animals 2023, 13, 3069. [Google Scholar] [CrossRef] [PubMed]
- Otto, A.S.; Szymanski, D.M.; Varadarajan, R. Customer satisfaction and firm performance: Insights from over a quarter century of empirical research. J. Acad. Mark. Sci. 2020, 48, 543–564. [Google Scholar] [CrossRef]
- Cislaghi, A.; Giupponi, L.; Tamburini, A.; Giorgi, A.; Bischetti, G.B. The effects of mountain grazing abandonment on plant community, forage value and soil properties: Observations and field measurements in an alpine area. Catena 2019, 181, 104086. [Google Scholar] [CrossRef]
- Li, L.; Fassnacht, F.E.; Storch, I.; Bürgi, M. Land-use regime shift triggered the recent degradation of alpine pastures in Nyanpo Yutse of the eastern Qinghai-Tibetan Plateau. Landsc. Ecol. 2017, 32, 2187–2203. [Google Scholar] [CrossRef]
- Han, Z.; Song, W.; Deng, X.; Xu, X. Grassland ecosystem responses to climate change and human activities within the Three-River Headwaters region of China. Sci. Rep. 2018, 8, 9079. [Google Scholar] [CrossRef] [PubMed]
- Senf, C. Seeing the System from Above: The Use and Potential of Remote Sensing for Studying Ecosystem Dynamics. Ecosystems 2022, 25, 1719–1737. [Google Scholar] [CrossRef]
- Chen, X.; Yu, L.; Du, Z.; Liu, Z.; Qi, Y.; Liu, T.; Gong, P. Toward sustainable land use in China: A perspective on China’s national land surveys. Land Use Policy 2022, 123, 106428. [Google Scholar] [CrossRef]
- Ali, I.; Cawkwell, F.; Dwyer, E.; Barrett, B.; Green, S. Satellite remote sensing of grasslands: From observation to management. J. Plant Ecol. 2016, 9, 649–671. [Google Scholar] [CrossRef]
- Wang, Z.; Ma, Y.; Zhang, Y.; Shang, J. Review of remote sensing applications in grassland monitoring. Remote Sens. 2022, 14, 2903. [Google Scholar] [CrossRef]
- Shen, X.; Liu, B.; Henderson, M.; Wang, L.; Jiang, M.; Lu, X. Vegetation greening, extended growing seasons, and temperature feedbacks in warming temperate grasslands of China. J. Clim. 2022, 35, 5103–5117. [Google Scholar] [CrossRef]
- Barnett, K.L.; Facey, S.L. Grasslands, invertebrates, and precipitation: A review of the effects of climate change. Front. Plant Sci. 2016, 7, 1196. [Google Scholar] [CrossRef] [PubMed]
- Andrade, B.O.; Koch, C.; Boldrini, I.I.; Vélez-Martin, E.; Hasenack, H.; Hermann, J.-M.; Kollmann, J.; Pillar, V.D.; Overbeck, G.E. Grassland degradation and restoration: A conceptual framework of stages and thresholds illustrated by southern Brazilian grasslands. Nat. Conserv. 2015, 13, 95–104. [Google Scholar] [CrossRef]
- Wang, Y.; Zhang, Y.; Yu, X.; Jia, G.; Liu, Z.; Sun, L.; Zheng, P.; Zhu, X. Grassland soil moisture fluctuation and its relationship with evapotranspiration. Ecol. Indic. 2021, 131, 108196. [Google Scholar] [CrossRef]
- Feldman, A.F.; Konings, A.G.; Gentine, P.; Cattry, M.; Wang, L.; Smith, W.K.; Biederman, J.A.; Chatterjee, A.; Joiner, J.; Poulter, B. Large global-scale vegetation sensitivity to daily rainfall variability. Nature 2024, 636, 380–384. [Google Scholar] [CrossRef] [PubMed]
- McCabe, A.J.; Arnold, W.A. Multiple linear regression models to predict the formation efficiency of triplet excited states of dissolved organic matter in temperate wetlands. Limnol. Oceanogr. 2018, 63, 1992–2014. [Google Scholar] [CrossRef]
- Tao, J.; Zhang, Y.; Dong, J.; Fu, Y.; Zhu, J.; Zhang, G.; Jiang, Y.; Tian, L.; Zhang, X.; Zhang, T. Elevation-dependent relationships between climate change and grassland vegetation variation across the Qinghai-Xizang Plateau. Int. J. Climatol. 2015, 35, 1638–1647. [Google Scholar] [CrossRef]
- Wang, Z.; Zhang, Y.; Yang, Y.; Zhou, W.; Gang, C.; Zhang, Y.; Li, J.; An, R.; Wang, K.; Odeh, I. Quantitative assess the driving forces on the grassland degradation in the Qinghai–Tibet Plateau, in China. Ecol. Inform. 2016, 33, 32–44. [Google Scholar] [CrossRef]
- Qian, Q.; Wang, J.; Zhang, X.; Wang, S.; Li, Y.; Wang, Q.; Watson, A.E.; Zhao, X. Improving herders’ income through alpine grassland husbandry on Qinghai-Tibetan Plateau. Land Use Policy 2022, 113, 105896. [Google Scholar] [CrossRef]
- Song, S.; Xiong, K.; Chi, Y.; Shen, X.; Guo, T.; Lu, N. Research progress and prospect of grassland establishment and ecological animal husbandry in the karst rocky desertification area. Fresenius Environ. Bull 2018, 27, 7017–7030. [Google Scholar]
- Cochard, A.; Pithon, J.; Jagaille, M.; Beaujouan, V.; Pain, G.; Daniel, H. Grassland plant species occurring in extensively managed road verges are filtered by urban environments. Plant Ecol. Divers. 2017, 10, 217–229. [Google Scholar] [CrossRef]
- Van der Walt, L.; Cilliers, S.; Kellner, K.; Du Toit, M.; Tongway, D. To what extent does urbanisation affect fragmented grassland functioning? J. Environ. Manag. 2015, 151, 517–530. [Google Scholar] [CrossRef] [PubMed]
- Yao, T.; Fahu, C.; Peng, C.; Ma, Y.; Xu, B.; Zhu, L.; Fan, Z.; Wang, W.; Likun, A.; Yang, X. From Tibetan Plateau to Third Pole and Pan-Third. Bull. Chin. Acad. Sci. 2017, 32, 924–931. [Google Scholar]
- Tian, F.; Nan, Y.; Ni, G.; Yang, L.; Tang, Q.; Grey, D. Is the Tibetan Plateau really a water tower? Hydrol. Process. 2024, 38, e15103. [Google Scholar] [CrossRef]
- NGIC. Administrative Boundaries Data at 1:1000 000 Scale Over the Tibetan Plateau (2017); National Tibetan Plateau/Third Pole Environment Data Center: Beijing, China, 2019. [Google Scholar] [CrossRef]
- Fahu, C.; Yajun, W.; Lin, D.; Tandong, Y.A.O. The expedition and scientific investigation activities on the Tibetan Plateau before 1949. Acta Geogr. Sin. 2022, 77, 1565–1585. [Google Scholar] [CrossRef]
- Liu, Y.; Lu, C. Quantifying Grass Coverage Trends to Identify the Hot Plots of Grassland Degradation in the Tibetan Plateau during 2000–2019. Int. J. Environ. Res. Public Health 2021, 18, 416. [Google Scholar] [CrossRef] [PubMed]
- Gao, Q.-Z.; Wan, Y.-F.; Xu, H.-M.; Li, Y.; Jiangcun, W.-Z.; Borjigidai, A. Alpine grassland degradation index and its response to recent climate variability in Northern Tibet, China. Quat. Int. 2010, 226, 143–150. [Google Scholar] [CrossRef]
- Wang, J.; Xu, C. Geodetector: Principle and prospective. Acta Geogr. Sin. 2017, 72, 116–134. [Google Scholar] [CrossRef]
- Zhang, Y.; Gao, Q.; Dong, S.; Liu, S.; Wang, X.; Su, X.; Li, Y.; Tang, L.; Wu, X.; Zhao, H. Effects of grazing and climate warming on plant diversity, productivity and living state in the alpine rangelands and cultivated grasslands of the Qinghai-Tibetan Plateau. Rangel. J. 2015, 37, 57–65. [Google Scholar] [CrossRef]
- Sun, J.; Wang, H. Soil nitrogen and carbon determine the trade-off of the above- and below-ground biomass across alpine grasslands, Tibetan Plateau. Ecol. Indic. 2016, 60, 1070–1076. [Google Scholar] [CrossRef]
- Zhou, H.; Zhao, X.; Tang, Y.; Gu, S.; Zhou, L. Alpine grassland degradation and its control in the source region of the Yangtze and Yellow Rivers, China. Grassl. Sci. 2005, 51, 191–203. [Google Scholar] [CrossRef]
- Zhou, S.; Williams, A.P.; Berg, A.M.; Cook, B.I.; Zhang, Y.; Hagemann, S.; Lorenz, R.; Seneviratne, S.I.; Gentine, P. Land–atmosphere feedbacks exacerbate concurrent soil drought and atmospheric aridity. Proc. Natl. Acad. Sci. USA 2019, 116, 18848–18853. [Google Scholar] [CrossRef] [PubMed]
- Feng, M.; Che, X. Monthly Surface Water Extent Dataset for Tibetan Plateau and Central Asia (2000–2015); National Tibetan Plateau Data Center: Beijing, China, 2019. [Google Scholar]
- Feng, M.; Sexton, J.O.; Channan, S.; Townshend, J.R. A global, high-resolution (30-m) inland water body dataset for 2000: First results of a topographic–spectral classification algorithm. Int. J. Digit. Earth 2016, 9, 113–133. [Google Scholar] [CrossRef]
- Ji, Z.X.; Pei, T.T.; Chen, Y.; Hou, Q.Q.; Xie, B.P.; Wu, H.W. Spatial-Temporal variation and driving factors of grassland NDVI in the Qinghai-Tibet Plateau from 2001 to 2020. Acta Agrestia Sin. 2022, 30, 1873. [Google Scholar]
- Shouzhang, P. 1-km Monthly Precipitation Dataset for China (1901–2021); A Big Earth Data Platform for Three Poles; National Tibetan Plateau Data Center: Beijing, China, 2020. [Google Scholar]
- Song, Y.; Ma, M. Variation of AVHRR NDVI and its relationship with climate in Chinese arid and cold regions. J. Remote Sens. 2008, 12, 499–505. [Google Scholar]
- Wang, S.; Jia, L.; Cai, L.; Wang, Y.; Zhan, T.; Huang, A.; Fan, D. Assessment of Grassland Degradation on the Tibetan Plateau Based on Multi-Source Data. Remote Sens. 2022, 14, 6011. [Google Scholar] [CrossRef]
- Zhou, J.; Niu, J.; Wu, N.; Lu, T. Annual high-resolution grazing intensity maps on the Qinghai-Tibet Plateau from 1990 to 2020. Earth Syst. Sci. Data Discuss. 2023, 2023, 1–21. [Google Scholar] [CrossRef]
- Zhou, W.; Wang, T.; Xiao, J.; Wang, K.; Yu, W.; Du, Z.; Huang, L.; Yue, T. Grassland productivity increase was dominated by climate in Qinghai-Tibet Plateau from 1982 to 2020. J. Clean. Prod. 2024, 434, 140144. [Google Scholar] [CrossRef]












| Data | Data Name | Data Abbreviation | Time/Time Series | Source | Process Mode |
|---|---|---|---|---|---|
| Remote sensing vegetation index | GIMMS NDVI/MOD13A3 NDVI | NDVI | 1982–2022 | GIMMS NDVI3g ndvi, https://doi.org/10.3334/ORNLDAAC/2187, MOD13A2 ndvi, https://urs.earthdata.nasa.gov (last access: 14 October 2024) | The GIMMS NDVI was reconstructed using ENVI 5.6 using time series harmonic analysis (HANTS), and then the NDVI data were extracted to the QTP for the 30-year vegetation growing season from 1990 to 2020 |
| meteorological data | air temperature (°C) | TMP | 1990–2020 | National Tibetan Plateau Data CenterThird Pole Environment Data Center (TPDC), https://data.tpdc.ac.cn/ (last access: 14 October 2024) | The NC to TIF, format conversion, reprojection and down sampling mask extraction in ArcGIS 10.8 |
| precipitation (mm) | PRE | 1990–2020 | National Tibetan Plateau Data CenterThird Pole Environment Data Center (TPDC), https://data.tpdc.ac.cn/ (last access: 14 October 2024) | Consistent with precipitation data process | |
| Potential evapotranspiration (mm) | PET | 1990–2020 | National Tibetan Plateau Data CenterThird Pole Environment Data Center (TPDC), https://data.tpdc.ac.cn/ (last access: 14 October 2024) | Consistent with precipitation data process | |
| Terrain area data | elevation (m) | DEM | 2020 | SRTM DEM, https://earthexplorer.usgs.gov/ (last access:20241014) | Was extracted from the elevation surface analysis in ArcGIS 10.8 |
| aspect of a slope | ASPECT | 2020 | SRTM DEM, https://earthexplorer.usgs.gov/ (last access: 14 October 2024) | Was based on elevations extracted using slope analysis in ArcGIS 10.8. | |
| SLOPE | SLOPE | 2020 | SRTM DEM, https://earthexplorer.usgs.gov/ (last access: 14 October 2024) | Was based on elevations extracted using slope analysis in ArcGIS 10.8 | |
| Soil data | Soil type | SOIL | 2000 | National Earth System Science Data Center(NESSDC), http://www.geodata.cn, (last access: 14 October 2024) | The extraction of mask, conversion of coordinate systems and resampling in ArcGIS 10.8. |
| human activities | Population density (person/km2) | POP | 1990–2020 | China Statistical Yearbook and census data, https://www.stats.gov.cn/english/Statisticaldata/yearbook/ (last access: 14 October 2024) | The data were based on county statistical yearbooks and local statistics obtained using ordinary kriging interpolation in ArcGIS 10.8. |
| gross domestic product (CNY 10,000) | GDP | 1990–2020 | China Statistical Yearbook and census data, https://www.stats.gov.cn/english/Statisticaldata/yearbook/ (last access: 14 October 2024) | The data were based on the ArcGIS 10.8 field calculator interpolated with actual site data. | |
| grazing intensity | GDGI | 1990–2020 | Grazing spatialization dataset(GDGI), https://figshare.com/articles/journal_contribution/Annual_high-resolution_grazing_intensity_maps_on_the_Qinghai-Tibet_Plateau_from_1990_to_2020/24211676, (last access: 14 October 2024) | The extraction of mask, conversion of coordinate systems and resampling in ArcGIS 10.8. | |
| land-use type | LUCC | 1980–2020 | National Earth System Science Data Center(NESSDC), http://www.geodata.cn, (last access: 14 October 2024) | Coordinate system conversion, mask extraction, and reclassification in ArcGIS 10.8 | |
| distance from the road | RD | 2019 | National Earth System Science Data Center(NESSDC), http://www.geodata.cn, (last access: 14 October 2024) | Euclidean distance in ArcGIS 10.8, and coordinate system transformation and cropping |
| Score | Degree | Classification Standard | Score | Degree | Classification Standard |
|---|---|---|---|---|---|
| 1 | UN-degraded | FVC ≥ FVC1982—1985 | 4 | Severely degraded | 0.3FVC1982—1985 ≤ FVC ≤ 0.6FVC1982—1985 |
| 2 | Lightly degraded | 0.75FVC1982—1985 ≤ FVC ≤ 0.9FVC1982—1985 | 5 | Grievous severely degraded | FVC ≤ 0.3FVC1982—1985 |
| 3 | Moderately degraded | 0.6FVC1982—1985 ≤ FVC ≤ 0.75FVC1982—1985 |
| Classification Standard | Degradation Degrees | Classification Standard | Degradation Degrees |
|---|---|---|---|
| GDI < 1 | UN-degraded | 3 < GDI ≤ 4 | Severely degraded |
| 1 < GDI ≤ 2 | Lightly degraded | GDI > 4 | Grievous severely degraded |
| 2 < GDI ≤ 3 | Moderately degraded |
| Slope | Z Value | Trend of NDVI |
|---|---|---|
| Slope ≥ 0.0005 | Z value ≥ 1.96 | significant improvement |
| Slope ≥ 0.0005 | 0 < Z value < 1.96 | slight improvement |
| −0.0005 < Slope < 0.0005 | 0 ≤ Z value ≤ 1.96 | stable |
| Slope < −0.0005 | 0 ≤ Z value ≤ 1.96 | slight degeneration |
| Slope < −0.0005 | Z value ≥ 1.96 | significant degradation |
| Interaction Type | Interactive Relationship | Interaction Type | Interactive Relationship |
|---|---|---|---|
| q(X1∩X2) < min(q(X1), q(X2)) | Nonlinear weakening | q(X1∩X2) = q(X1) + q(X2) | Dependency |
| min(q(X1), q(X2) < q(X1∩X2) < max(q(X1), q(X2)) | Single-factor nonlinear attenuation | q(X1∩X2) > q(X1) + q(X2) | Nonlinear enhancement |
| q(X1∩X2) > max(q(X1), q(X2)) | Two-factor enhancement |
| Suitability Category | Suit Value (S) | Meaning |
|---|---|---|
| Reluctantly suitable | S < 2 | Grasslands with certain environmental limitations |
| Low suitable | 3 > S ≥ 2 | Grasslands with low limitations |
| Moderately suitable | 5.2 > S ≥ 3 | Grasslands with moderate limitations overall |
| Highly suitable | S ≥ 5.2 | Grasslands with no major or only minor limitations |
| Precipitation (mm) | Population (People/km2) | Grazing (Sheep/km2) | Elevation (m) | |||
|---|---|---|---|---|---|---|
| High (>500) | Low (<500) | High (>4.12) | Low (<4.12) | High (>4700) | Low (<4700) | |
| High (>40) | High precipitation, High population (HP, HPop) | High precipitation, low population (HP, LPop) | High precipitation, high grazing intensity (HP, HGraz) | High precipitation, low grazing intensity (HP, LGraz) | High precipitation, high elevation (HP, HElev) | High precipitation, low elevation (HP, LElev) |
| Low (<40) | Low precipitation, high population (LP, HPop) | Low precipitation, low population (LP, LPop) | Low precipitation, high grazing intensity (LP, HGraz) | Low precipitation, low grazing intensity (LP, LGraz) | Low precipitation, high elevation (LP, HElev) | Low precipitation, low elevation (LP, LElev) |
Disclaimer/Publisher’s Note: The statements, opinions and data contained in all publications are solely those of the individual author(s) and contributor(s) and not of MDPI and/or the editor(s). MDPI and/or the editor(s) disclaim responsibility for any injury to people or property resulting from any ideas, methods, instructions or products referred to in the content. |
© 2025 by the authors. Licensee MDPI, Basel, Switzerland. This article is an open access article distributed under the terms and conditions of the Creative Commons Attribution (CC BY) license (https://creativecommons.org/licenses/by/4.0/).
Share and Cite
Chai, Y.; Xu, L.; Xu, Y.; Yang, K.; Zhu, R.; Zhang, R.; Li, X. Impact of Plateau Grassland Degradation on Ecological Suitability: Revealing Degradation Mechanisms and Dividing Potential Suitable Areas with Multi Criteria Models. Remote Sens. 2025, 17, 2539. https://doi.org/10.3390/rs17152539
Chai Y, Xu L, Xu Y, Yang K, Zhu R, Zhang R, Li X. Impact of Plateau Grassland Degradation on Ecological Suitability: Revealing Degradation Mechanisms and Dividing Potential Suitable Areas with Multi Criteria Models. Remote Sensing. 2025; 17(15):2539. https://doi.org/10.3390/rs17152539
Chicago/Turabian StyleChai, Yi, Lin Xu, Yong Xu, Kun Yang, Rao Zhu, Rui Zhang, and Xiaxing Li. 2025. "Impact of Plateau Grassland Degradation on Ecological Suitability: Revealing Degradation Mechanisms and Dividing Potential Suitable Areas with Multi Criteria Models" Remote Sensing 17, no. 15: 2539. https://doi.org/10.3390/rs17152539
APA StyleChai, Y., Xu, L., Xu, Y., Yang, K., Zhu, R., Zhang, R., & Li, X. (2025). Impact of Plateau Grassland Degradation on Ecological Suitability: Revealing Degradation Mechanisms and Dividing Potential Suitable Areas with Multi Criteria Models. Remote Sensing, 17(15), 2539. https://doi.org/10.3390/rs17152539

