Integrating Multi-Source Remote Sensing and Spatial Metrics to Quantify Urban Park Design Effects on Surface Cool Islands in Mexicali, Mexico
Abstract
Highlights
- Urban parks in Mexicali produced measurable daytime cooling in both intensity and extent (avg. ΔTmax = 0.81 °C; Lmax = 120.15 m), whereas nighttime effects were weaker and more variable (avg. ΔTmax = 0.43 °C; Lmax = 47.85 m).
- A 10% increase in vegetation raised SCI intensity by up to +0.11 °C and extended cooling reach by +3–6 m, whereas greater fragmentation (FD + 0.1) reduced Lmax by up to −34 m; null SCI occurred in 35% of parks, mainly those with <30% vegetation.
- The limited and variable nighttime SCI highlights the importance of vegetation type, irrigation, and surface thermal inertia in arid cooling strategies.
- Identifying structural thresholds for SCI failure enables planners to remotely detect underperforming parks and prioritize vegetation-based interventions.
Abstract
1. Introduction
2. Materials and Methods
2.1. Study Area

2.2. Remote Sensed Data Retrieval
2.2.1. NDVI Calculation
2.2.2. LST Retrieval
2.3. Physical Variables Calculation
2.3.1. Land Cover Classification Methods

2.3.2. Landscape Metrics
2.3.3. Location Variables
2.4. Analytical Methods
2.4.1. SCI Calculation
2.4.2. Statistics Analysis
3. Results
3.1. SCI Effect of Urban Parks in Mexicali
3.1.1. Seasonal Variation of LST and SCI
3.1.2. SCI Extent
3.1.3. SCI Intensity
3.2. Physical Characteristics of the Parks
3.2.1. Park Size and Shape Characteristics
3.2.2. Land Cover Composition and Diversity
3.2.3. Vegetation Cover Structure and Landscape Metrics
3.3. Influence of Physical Descriptors on the SCI
3.3.1. Bivariate Correlation Between SCI and Physical Descriptors
3.3.2. Linear Regression-Based Prediction of SCI
4. Discussion
4.1. Design and Environmental Determinants of SCI
4.1.1. Vegetation Structure and Coverage Effects in Arid Cities
4.1.2. Park Size and Shape Influence
4.1.3. Surrounding Land Cover Constraints
4.1.4. Geographic Location Effects
4.1.5. Climatic Considerations on SCI
4.1.6. Nighttime SCI Behavior and Interpretation
4.1.7. Null SCI Cases
4.2. Methodological Considerations for SCI Analysis
4.2.1. Limitations of the Radial Buffer and Isotropic Assumptions
4.2.2. NDVI Threshold vs. RF Classification Approaches
4.2.3. Resolution and Integration Challenges
5. Conclusions
Author Contributions
Funding
Data Availability Statement
Acknowledgments
Conflicts of Interest
Appendix A. Equations
Appendix B. Figures




Appendix C. Tables
| Class | Spring | Summer | Autumn | Winter |
|---|---|---|---|---|
| Agricultural | 20.9% | 15.6% | 44.8% | 63.2% |
| Vegetation | 54.4% | 66.9% | 85.5% | 69.3% |
| Grass | 89.6% | 89.1% | 77.4% | 85.4% |
| Rustic sandy soil | 91.1% | 85.2% | 90.9% | 82.9% |
| Rocky bare soil | 96.6% | 97.1% | 91.4% | 83.3% |
| Urban sandy area | 61.7% | 64.6% | 77.6% | 82.7% |
| Water | 92.1% | 95.5% | 89.6% | 85.1% |
| Concrete | 79.2% | 84.6% | 79.3% | 78.6% |
| Industrial | 56.7% | 64.1% | 60.7% | 65.1% |
| Asphalt | 78.5% | 70.1% | 73.0% | 82.3% |
| Buildings | 84.8% | 69.4% | 85.2% | 78.5% |
| Overall Recall | 74.0% | 71.0% | 79.2% | 78.2% |
| Cohen’s Kappa | 0.653 | 0.610 | 0.723 | 0.712 |
| (a) | ||||||||
| Spring | Summer | Autumn | Winter | |||||
| Day | Night | Day | Night | Day | Night | Day | Night | |
| <0.30 | 0 | 0 | 0 | 0 | 0 | 0 | 0 | 0 |
| 0.30–0.40 | 0 | 1 | 0 | 0 | 0 | 1 | 0 | 1 |
| 0.40–0.50 | 0 | 1 | 0 | 2 | 1 | 4 | 0 | 0 |
| 0.50–0.60 | 0 | 1 | 0 | 2 | 0 | 9 | 0 | 11 |
| 0.60–0.70 | 0 | 2 | 0 | 12 | 2 | 25 | 3 | 24 |
| 0.70–0.80 | 4 | 19 | 2 | 27 | 0 | 39 | 2 | 35 |
| 0.80–0.90 | 11 | 52 | 9 | 105 | 11 | 99 | 15 | 76 |
| 0.90–1.00 | 420 | 359 | 424 | 287 | 421 | 258 | 415 | 288 |
| (b) | ||||||||
| Spring | Summer | Autumn | Winter | |||||
| Day | Night | Day | Night | Day | Night | Day | Night | |
| <0.30 | 0.0% | 0.0% | 0.0% | 0.0% | 0.0% | 0.0% | 0.0% | 0.0% |
| 0.30–0.40 | 0.0% | 0.2% | 0.0% | 0.0% | 0.0% | 0.2% | 0.0% | 0.2% |
| 0.40–0.50 | 0.0% | 0.2% | 0.0% | 0.5% | 0.2% | 0.9% | 0.0% | 0.0% |
| 0.50–0.60 | 0.0% | 0.2% | 0.0% | 0.5% | 0.0% | 2.1% | 0.0% | 2.5% |
| 0.60–0.70 | 0.0% | 0.5% | 0.0% | 2.8% | 0.5% | 5.7% | 0.7% | 5.5% |
| 0.70–0.80 | 0.9% | 4.4% | 0.5% | 6.2% | 0.0% | 9.0% | 0.5% | 8.0% |
| 0.80–0.90 | 2.5% | 12.0% | 2.1% | 24.1% | 2.5% | 22.8% | 3.4% | 17.5% |
| 0.90–1.00 | 96.6% | 82.5% | 97.5% | 66.0% | 96.8% | 59.3% | 95.4% | 66.2% |
| Season | Time | Adjusted Lmax | % of Total (n = 435) |
|---|---|---|---|
| Spring | Day | 29 | 6.7% |
| Night | 5 | 1.1% | |
| Summer | Day | 9 | 2.1% |
| Night | 4 | 0.9% | |
| Autumn | Day | 19 | 4.4% |
| Night | 1 | 0.2% | |
| Winter | Day | 25 | 5.7% |
| Night | 1 | 0.2% |
| (a) | ||||||||
| Lmax (m) n = 435 | Spring | Summer | Autumn | Winter | ||||
| Day | Night | Day | Night | Day | Night | Day | Night | |
| 0 | 122 | 99 | 133 | 83 | 153 | 111 | 133 | 190 |
| 10–100 | 94 | 309 | 96 | 337 | 85 | 287 | 94 | 210 |
| 110–200 | 113 | 23 | 111 | 12 | 97 | 32 | 105 | 27 |
| 210–300 | 71 | 3 | 57 | 1 | 64 | 4 | 60 | 6 |
| 310–400 | 28 | 1 | 27 | 1 | 27 | 1 | 33 | 2 |
| 410–500 | 7 | 0 | 11 | 1 | 9 | 0 | 10 | 0 |
| (b) | ||||||||
| 0 | 28% | 23% | 31% | 19% | 35% | 26% | 31% | 44% |
| 10–100 | 22% | 71% | 22% | 77% | 20% | 66% | 22% | 48% |
| 110–200 | 26% | 5% | 26% | 3% | 22% | 7% | 24% | 6% |
| 210–300 | 16% | 1% | 13% | 0% | 15% | 1% | 14% | 1% |
| 310–400 | 6% | 0% | 6% | 0% | 6% | 0% | 8% | 0% |
| 410–500 | 2% | 0% | 3% | 0% | 2% | 0% | 2% | 0% |
| (a) | (b) | ||||||||
| ΔTmax (°C) | Day | ΔTmax (°C) | Night | ||||||
| n = 435 | Spring | Summer | Autumn | Winter | n = 435 | Spring | Summer | Autumn | Winter |
| 0 | 122 | 133 | 153 | 133 | 0 | 99 | 83 | 111 | 190 |
| <1.28 | 168 | 175 | 208 | 298 | <0.39 | 120 | 97 | 101 | 108 |
| <2.57 | 98 | 92 | 61 | 4 | <0.78 | 130 | 109 | 103 | 101 |
| <3.85 | 34 | 26 | 11 | 0 | <1.17 | 65 | 94 | 90 | 27 |
| <5.14 | 9 | 7 | 2 | 0 | <1.56 | 18 | 44 | 26 | 6 |
| <6.42 | 4 | 2 | 0 | 0 | <1.95 | 3 | 8 | 4 | 3 |
| (c) | (d) | ||||||||
| ΔTmax (°C) | Day | ΔTmax (°C) | Night | ||||||
| n = 435 | Spring | Summer | Autumn | Winter | n = 435 | Spring | Summer | Autumn | Winter |
| 0 | 28% | 31% | 35% | 31% | 0 | 23% | 19% | 26% | 44% |
| <1.28 | 39% | 40% | 48% | 69% | <0.39 | 28% | 22% | 23% | 25% |
| <2.57 | 23% | 21% | 14% | 1% | <0.78 | 30% | 25% | 24% | 23% |
| <3.85 | 8% | 6% | 3% | 0% | <1.17 | 15% | 22% | 21% | 6% |
| <5.14 | 2% | 2% | 0% | 0% | <1.56 | 4% | 10% | 6% | 1% |
| <6.42 | 1% | 0% | 0% | 0% | <1.95 | 1% | 2% | 1% | 1% |
| Total Area (ha) | No. of Parks | Season | NDVI Ranges Cover Percentage (%) | |||||||||
|---|---|---|---|---|---|---|---|---|---|---|---|---|
| <0.10 | 0.10 – 0.20 | 0.20 – 0.30 | 0.30 – 0.40 | 0.40 – 0.50 | 0.50 – 0.60 | >0.60 | Non-Vegetated (NDVI < 0.30) | Vegetation (NDVI ≥ 0.30) | ||||
| (a) Parks | ||||||||||||
| 441.55 | 435 | SP | 12.8 | 24.2 | 16.2 | 14.4 | 11.7 | 10.2 | 10.6 | 53.1 | 46.9 | |
| 435 | SU | 24.8 | 19.4 | 15.3 | 13.4 | 11.2 | 10.2 | 5.8 | 59.5 | 40.5 | ||
| 435 | AU | 15.9 | 18.6 | 13.3 | 12.2 | 10.3 | 9.4 | 20.4 | 47.7 | 52.3 | ||
| 435 | W | 39.8 | 32.7 | 19.5 | 7.09 | 0.81 | 0.02 | 0.00 | 92.07 | 7.93 | ||
| (b) Lmax footprint area | ||||||||||||
| 4706.97 | 313 | SP | D | 54.1 | 35.6 | 6.8 | 2.2 | 0.8 | 0.4 | 0.2 | 96.5 | 3.5 |
| 1258.38 | 336 | N | 50.2 | 36.7 | 8.5 | 3.0 | 1.1 | 0.4 | 0.2 | 95.4 | 4.6 | |
| 4641.68 | 302 | SU | D | 78.2 | 15.4 | 4.2 | 1.4 | 0.5 | 0.2 | 0.1 | 97.8 | 2.2 |
| 1391.30 | 352 | N | 73.7 | 18.1 | 5.3 | 1.9 | 0.6 | 0.3 | 0.1 | 97.1 | 2.9 | |
| 4510.06 | 282 | AU | D | 61.8 | 26.0 | 7.1 | 2.8 | 1.2 | 0.5 | 0.4 | 95.0 | 5.0 |
| 1420.69 | 324 | N | 58.3 | 27.0 | 8.6 | 3.4 | 1.6 | 0.6 | 0.4 | 93.9 | 6.1 | |
| 4442.52 | 302 | W | D | 80.0 | 17.2 | 2.2 | 0.4 | 0.1 | 0.1 | 0.0 | 99.4 | 0.6 |
| 1048.14 | 245 | N | 79.0 | 18.1 | 2.5 | 0.4 | 0.0 | 0.0 | 0.0 | 99.6 | 0.4 | |
| (c) Outside Lmax area (up to 500 m) | ||||||||||||
| 12,945.77 | 313 | SP | D | 52.9 | 34.9 | 7.0 | 2.5 | 1.0 | 0.6 | 1.1 | 94.8 | 5.2 |
| 14,688.04 | 336 | N | 53.1 | 35.1 | 6.9 | 2.4 | 1.0 | 0.5 | 1.0 | 95.1 | 4.9 | |
| 12,521.93 | 302 | SU | D | 76.9 | 15.6 | 4.5 | 1.6 | 0.7 | 0.3 | 0.4 | 96.9 | 3.1 |
| 15,631.78 | 352 | N | 77.2 | 15.6 | 4.3 | 1.5 | 0.7 | 0.3 | 0.4 | 97.1 | 2.9 | |
| 12,024.99 | 282 | AU | D | 60.0 | 26.2 | 7.3 | 3.2 | 1.5 | 0.8 | 0.9 | 93.5 | 6.5 |
| 14,559.06 | 324 | N | 60.7 | 26.1 | 7.2 | 3.0 | 1.4 | 0.8 | 0.8 | 94.0 | 6.0 | |
| 12,516.01 | 302 | W | D | 78.4 | 17.6 | 2.6 | 0.6 | 0.3 | 0.2 | 0.3 | 98.7 | 1.3 |
| 11,983.32 | 245 | N | 79.4 | 17.2 | 2.4 | 0.5 | 0.2 | 0.1 | 0.1 | 99.0 | 1.0 | |
| Total Area (ha) | No. of Parks | Season | Land Cover Classes by RF (%) | |||||||||||||
|---|---|---|---|---|---|---|---|---|---|---|---|---|---|---|---|---|
| Agriculture | Trees and Shrubs | Grass | Sandy Rustic Soil | Rocky Rustic Soil | Sandy Urban Soil | Water | Concrete | Industrial | Asphalt | Buildings | Non-Vegetated LC | Vegetation LC | ||||
| (a) Parks | ||||||||||||||||
| 441.55 | 435 | SP | 0.1 | 28.7 | 31.6 | 5.2 | 0.8 | 9.6 | 4.1 | 7.2 | 0.8 | 2.1 | 9.8 | 60.4 | 39.6 | |
| 435 | SU | 0.4 | 27.3 | 28.8 | 3.9 | 0.3 | 11.5 | 4.6 | 3.0 | 0.4 | 5.2 | 14.6 | 56.5 | 43.5 | ||
| 435 | AU | 1.3 | 38.6 | 21.1 | 3.9 | 1.6 | 8.6 | 2.6 | 5.3 | 0.2 | 3.3 | 13.6 | 61.0 | 39.0 | ||
| 435 | W | 1.3 | 28.9 | 29.6 | 1.3 | 1.3 | 15.0 | 4.9 | 6.8 | 0.4 | 2.9 | 7.6 | 59.8 | 40.2 | ||
| (b) Lmax footprint area | ||||||||||||||||
| 4706.97 | 313 | SP | D | 0.0 | 7.7 | 2.7 | 4.4 | 3.2 | 14.9 | 0.3 | 14.3 | 1.7 | 9.1 | 41.8 | 89.6 | 10.4 |
| 1258.38 | 336 | N | 0.0 | 8.0 | 3.5 | 0.8 | 1.4 | 11.1 | 1.8 | 17.1 | 0.9 | 15.7 | 39.6 | 88.5 | 11.5 | |
| 4641.68 | 302 | SU | D | 0.0 | 3.4 | 3.4 | 3.0 | 1.2 | 22.0 | 0.2 | 12.4 | 1.7 | 11.4 | 41.3 | 93.2 | 6.8 |
| 1391.30 | 352 | N | 0.0 | 5.8 | 4.4 | 2.2 | 1.0 | 16.2 | 0.4 | 12.5 | 0.8 | 13.1 | 43.6 | 89.8 | 10.2 | |
| 4510.06 | 282 | AU | D | 0.4 | 5.7 | 2.5 | 3.4 | 2.5 | 13.8 | 0.7 | 14.9 | 0.7 | 9.4 | 46.0 | 91.4 | 8.6 |
| 1420.69 | 324 | N | 0.6 | 8.8 | 2.0 | 1.8 | 1.4 | 7.0 | 1.1 | 17.6 | 0.4 | 9.9 | 49.4 | 88.7 | 11.3 | |
| 4442.52 | 302 | W | D | 0.2 | 5.3 | 3.6 | 1.2 | 2.1 | 19.6 | 1.2 | 13.8 | 1.0 | 13.1 | 38.9 | 90.9 | 9.1 |
| 1048.14 | 245 | N | 0.0 | 7.8 | 2.9 | 0.3 | 1.0 | 8.6 | 1.7 | 15.9 | 0.5 | 16.9 | 44.4 | 89.3 | 10.7 | |
| (c) Outside Lmax area (up to 500 m) | ||||||||||||||||
| 12,945.77 | 313 | SP | D | 0.4 | 7.6 | 3.7 | 5.9 | 3.3 | 14.3 | 0.2 | 14.6 | 2.6 | 9.4 | 38.0 | 88.2 | 11.8 |
| 14,688.04 | 336 | N | 0.3 | 8.0 | 3.7 | 0.0 | 3.0 | 13.3 | 0.2 | 15.1 | 2.5 | 10.5 | 43.8 | 88.3 | 12.0 | |
| 12,521.93 | 302 | SU | D | 0.1 | 3.9 | 4.1 | 0.0 | 1.5 | 24.5 | 0.3 | 13.5 | 2.1 | 11.6 | 38.4 | 91.9 | 8.1 |
| 15,631.78 | 352 | N | 0.1 | 3.8 | 4.1 | 0.0 | 1.4 | 24.4 | 0.3 | 13.3 | 2.1 | 11.4 | 39.7 | 92.6 | 8.1 | |
| 12,024.99 | 282 | AU | D | 0.6 | 6.7 | 2.8 | 0.0 | 3.0 | 14.2 | 0.6 | 15.8 | 1.2 | 10.5 | 45.0 | 90.3 | 10.1 |
| 14,559.06 | 324 | N | 0.6 | 6.3 | 2.7 | 0.0 | 2.6 | 13.0 | 0.6 | 16.1 | 1.0 | 10.8 | 46.9 | 91.0 | 9.7 | |
| 12,516.01 | 302 | W | D | 0.4 | 5.3 | 4.3 | 0.0 | 2.2 | 18.5 | 1.1 | 14.8 | 1.6 | 15.5 | 36.4 | 90.0 | 10.0 |
| 11,983.32 | 245 | N | 0.2 | 5.3 | 3.4 | 0.0 | 1.8 | 15.8 | 1.1 | 14.4 | 1.5 | 16.4 | 40.5 | 91.5 | 8.9 | |
| SCI Lmax (m) n = 148 | Spring | Summer | Autumn | Winter | |||||
|---|---|---|---|---|---|---|---|---|---|
| Day | Night | Day | Night | Day | Night | Day | Night | ||
| SCI indicators | SCI Lmax (m) | 1.000 | 1.000 | 1.000 | 1.000 | 1.000 | 1.000 | 1.000 | 1.000 |
| SCI ΔTmax (°C) | 0.876 ** | 0.659 ** | 0.827 ** | 0.548 ** | 0.868 ** | 0.497 ** | 0.874 ** | 0.644 ** | |
| (a) Park | |||||||||
| Shape | Area (m2) | 0.018 | 0.045 | −0.042 | 0.014 | −0.170 * | −0.093 | −0.163 * | −0.013 |
| LSI | 0.023 | 0.113 | 0.006 | 0.114 | 0.027 | 0.112 | 0.023 | 0.105 | |
| FD | 0.051 | 0.139 | 0.048 | 0.146 | 0.122 | 0.212 ** | 0.135 | 0.117 | |
| Location | Longitude (m) | −0.080 | 0.114 | −0.049 | 0.083 | 0.025 | 0.138 | −0.020 | −0.007 |
| Latitude (m) | 0.325 ** | 0.151 | 0.146 | 0.129 | 0.192 * | 0.137 | 0.241 ** | 0.211 ** | |
| Elevation (masl) | −0.110 | −0.037 | −0.106 | −0.032 | −0.084 | 0.023 | −0.071 | −0.092 | |
| Vegetation (NDVI > 0.30) | Proportion (%) | 0.555 ** | 0.511 ** | 0.595 ** | 0.411 ** | 0.629 ** | 0.444 ** | 0.467 ** | 0.340 ** |
| Area (m2) | 0.313 ** | 0.262 ** | 0.294 ** | 0.242 ** | 0.128 | 0.132 | 0.179 * | 0.254 ** | |
| LSI | 0.022 | 0.081 | −0.024 | 0.134 | −0.266 ** | 0.040 | −0.018 | 0.196 | |
| FD | −0.439 ** | −0.365 ** | −0.433 ** | −0.159 | −0.570 ** | −0.266 ** | −0.166 | −0.098 | |
| H′ | 0.434 ** | 0.468 ** | 0.432 ** | 0.530 ** | 0.211 ** | 0.283 ** | 0.320 ** | 0.231 ** | |
| Vegetation (RF) | Proportion (%) | 0.540 ** | 0.555 ** | 0.570 ** | 0.470 ** | 0.618 ** | 0.476 ** | 0.431 ** | 0.393 ** |
| Area (m2) | 0.250 ** | 0.244 ** | 0.214 ** | 0.213 ** | 0.094 | 0.113 | 0.042 | 0.137 | |
| LSI | −0.194 * | −0.105 | −0.140 | 0.123 | −0.338 ** | −0.039 | −0.274 ** | −0.146 | |
| FD | −0.518 ** | −0.444 ** | −0.500 ** | −0.333 ** | −0.568 ** | −0.285 ** | −0.391 ** | −0.339 ** | |
| H′ | −0.309 ** | −0.178 * | −0.220 ** | 0.024 | −0.545 ** | −0.261 ** | −0.261 ** | −0.186 * | |
| (b) Lmax footprint area | |||||||||
| Vegetation (NDVI > 0.30) | Proportion (%) | −0.075 | −0.041 | −0.130 | 0.196 * | −0.205 * | −0.022 | −0.094 | −0.005 |
| Area (m2) | 0.514 ** | 0.220 * | 0.337 ** | 0.692 ** | 0.400 ** | 0.466 ** | 0.175 | 0.222 * | |
| LSI | 0.716 ** | 0.369 ** | 0.519 ** | 0.500 ** | 0.674 ** | 0.572 ** | 0.146 | 0.160 | |
| FD | 0.398 ** | 0.338 ** | 0.312 ** | 0.057 | 0.470 ** | 0.293 ** | 0.139 | 0.050 | |
| H′ | −0.097 | −0.132 | −0.209 * | 0.170 | −0.254 * | −0.040 | −0.220 * | −0.104 | |
| Vegetation (RF) | Proportion (%) | −0.221 * | −0.117 | −0.232 * | 0.127 | −0.264 ** | −0.079 | −0.289 ** | −0.190 |
| Area (m2) | 0.586 ** | 0.340 ** | 0.382 ** | 0.704 ** | 0.411 ** | 0.402 ** | 0.470 ** | 0.364 ** | |
| LSI | 0.855 ** | 0.547 ** | 0.708 ** | 0.528 ** | 0.704 ** | 0.554 ** | 0.792 ** | 0.534 ** | |
| FD | 0.372 ** | 0.277 ** | 0.409 ** | 0.080 | 0.369 ** | −0.790 | 0.450 ** | 0.198 | |
| H′ | 0.104 | −0.100 | 0.001 | 0.157 | 0.003 | 0.003 | −0.017 | −0.214 * | |
| (c) Outside Lmax area (up to 500 m) | |||||||||
| Vegetation (NDVI > 0.30) | Proportion (%) | 0.004 | −0.102 | 0.057 | −0.085 | −0.103 | 0.023 | −0.098 | −0.054 |
| Area (m2) | −0.183 | −0.062 | −0.114 | −0.059 | −0.268 ** | −0.088 | −0.017 | −0.041 | |
| LSI | −0.474 ** | −0.044 | −0.396 ** | 0.015 | −0.575 ** | −0.060 | −0.277 ** | 0.021 | |
| FD | −0.238 * | 0.063 | −0.202 * | 0.016 | −0.334 ** | 0.049 | −0.195 | 0.086 | |
| H′ | 0.061 | −0.059 | 0.023 | −0.014 | −0.165 | 0.059 | −0.231 * | −0.040 | |
| Vegetation (RF) | Proportion (%) | 0.027 | −0.072 | −0.003 | −0.005 | −0.095 | −0.048 | −0.289 ** | −0.190 |
| Area (m2) | −0.010 | −0.029 | −0.084 | 0.035 | −0.129 | −0.056 | −0.207 * | −0.123 | |
| LSI | −0.547 ** | 0.101 | −0.472 ** | 0.077 | −0.572 ** | −0.031 | −0.550 ** | −0.089 | |
| FD | −0.411 ** | 0.082 | −0.201 * | −0.051 | −0.381 ** | 0.053 | −0.161 | 0.068 | |
| H′ | 0.127 | 0.065 | 0.006 | 0.096 | 0.051 | 0.008 | −0.056 | −0.179 | |
| SCI ΔTmax (°C) n = 148 | Spring | Summer | Autumn | Winter | |||||
|---|---|---|---|---|---|---|---|---|---|
| Day | Night | Day | Night | Day | Night | Day | Night | ||
| SCI indicators | SCI Lmax (m) | 0.876 ** | 0.659 ** | 0.827 ** | 0.548 ** | 0.868 ** | 0.497 ** | 0.874 ** | 0.644 ** |
| SCI ΔTmax (°C) | 1.000 | 1.000 | 1.000 | 1.000 | 1.000 | 1.000 | 1.000 | 1.000 | |
| (a) Park | |||||||||
| Shape | Area (m2) | −0.021 | 0.111 | −0.019 | −0.036 | −0.124 | −0.059 | −0.134 | 0.031 |
| LSI | −0.035 | 0.012 | −0.029 | 0.036 | −0.047 | 0.01 | −0.056 | 0.012 | |
| FD | 0.000 | 0.035 | −0.009 | 0.122 | 0.027 | 0.081 | 0.03 | 0.032 | |
| Location | Longitude (m) | −0.071 | 0.064 | −0.075 | 0.088 | −0.034 | 0.082 | −0.056 | −0.008 |
| Latitude (m) | 0.292 ** | 0.305 ** | 0.212 ** | 0.329 ** | 0.151 | 0.422 ** | 0.210 * | 0.289 ** | |
| Elevation (masl) | −0.062 | −0.072 | −0.071 | −0.047 | −0.092 | −0.044 | −0.022 | −0.115 | |
| Vegetation (NDVI > 0.30) | Proportion (%) | 0.611 ** | 0.831 ** | 0.637 ** | 0.903 ** | 0.569 ** | 0.877 ** | 0.478 ** | 0.512 ** |
| Area (m2) | 0.322 ** | 0.504 ** | 0.388 ** | 0.448 ** | 0.161 | 0.362 ** | 0.335 ** | 0.336 ** | |
| LSI | −0.087 | 0.005 | 0.007 | 0.049 | −0.255 ** | −0.133 | 0.009 | 0.230 * | |
| FD | −0.528 ** | −0.738 ** | −0.467 ** | −0.634 ** | −0.544 ** | −0.737 ** | −0.345 ** | −0.227 * | |
| H′ | 0.374 ** | 0.518 ** | 0.452 ** | 0.696 ** | 0.128 | 0.316 ** | 0.261 ** | 0.274 ** | |
| Vegetation (RF) | Proportion (%) | 0.558 ** | 0.805 ** | 0.593 ** | 0.896 ** | 0.546 ** | 0.870 ** | 0.416 ** | 0.505 ** |
| Area (m2) | 0.234 ** | 0.423 ** | 0.274 ** | 0.341 ** | 0.124 | 0.307 ** | 0.075 | 0.207 * | |
| LSI | −0.266 ** | −0.265 ** | −0.175 * | −0.154 | −0.337 ** | −0.321 ** | −0.275 ** | −0.217 ** | |
| FD | −0.565 ** | −0.739 ** | −0.567 ** | −0.760 ** | −0.558 ** | −0.756 ** | −0.415 ** | −0.453 ** | |
| H′ | −0.409 ** | −0.501 ** | −0.274 ** | −0.302 ** | −0.475 ** | −0.562 ** | −0.321 ** | −0.335 ** | |
| (b) Lmax footprint area | |||||||||
| Vegetation (NDVI > 0.30) | Proportion (%) | 0.070 | 0.277 ** | 0.011 | 0.240 ** | −0.081 | 0.184 * | 0.057 | −0.008 |
| Area (m2) | 0.436 ** | 0.343 ** | 0.313 ** | 0.168 | 0.377 ** | 0.222 * | 0.229 * | 0.057 | |
| LSI | 0.584 ** | 0.445 ** | 0.490 ** | 0.240 * | 0.524 ** | 0.309 ** | 0.222 | 0.079 | |
| FD | 0.258 ** | 0.152 | 0.286 ** | 0.041 | 0.274 ** | 0.150 | 0.042 | 0.017 | |
| H′ | 0.010 | 0.300 ** | −0.042 | 0.250 ** | −0.111 | 0.206 * | −0.086 | −0.054 | |
| Vegetation (RF) | Proportion (%) | −0.096 | 0.218 * | −0.059 | 0.266 ** | −0.134 | 0.257 ** | −0.132 | −0.029 |
| Area (m2) | 0.502 ** | 0.317 ** | 0.355 ** | 0.157 | 0.379 ** | 0.258 ** | 0.422 ** | 0.165 | |
| LSI | 0.619 ** | 0.416 ** | 0.514 ** | 0.318 ** | 0.533 ** | 0.307 ** | 0.604 ** | 0.208 * | |
| FD | 0.156 | −0.007 | 0.199 * | 0.016 | 0.177 | 0.257 ** | 0.266 ** | 0.011 | |
| H′ | 0.064 | 0.047 | −0.060 | −0.097 | 0.067 | −0.029 | −0.015 | −0.163 | |
| (c) Outside Lmax area (up to 500 m) | |||||||||
| Vegetation (NDVI > 0.30) | Proportion (%) | 0.028 | −0.056 | 0.038 | 0.074 | −0.100 | 0.025 | −0.035 | −0.027 |
| Area (m2) | −0.016 | −0.022 | −0.106 | 0.05 | −0.233 * | 0.097 | 0.057 | −0.004 | |
| LSI | −0.339 ** | 0.267 ** | −0.176 | −0.215 ** | −0.470 ** | 0.170 | −0.197 | 0.154 | |
| FD | −0.214 * | 0.192 * | −0.067 | 0.183 * | −0.238 * | −0.107 | −0.215 * | 0.125 | |
| H′ | 0.093 | 0.027 | 0.090 | 0.009 | −0.151 | 0.068 | −0.119 | −0.036 | |
| Vegetation (RF) | Proportion (%) | −0.009 | −0.014 | 0.028 | 0.04 | −0.032 | 0.153 | −0.132 | 0.043 |
| Area (m2) | 0.077 | −0.020 | 0.000 | 0.086 | −0.036 | 0.168 | −0.015 | 0.064 | |
| LSI | −0.415 ** | 0.164 | −0.244 * | 0.242 ** | −0.447 ** | 0.153 | −0.376 ** | −0.046 | |
| FD | −0.388 ** | −0.100 | −0.165 | 0.133 | −0.270 ** | 0.076 | −0.17 | −0.041 | |
| H′ | 0.162 | 0.201 ** | 0.600 * | −0.059 | 0.093 | −0.078 | 0.016 | −0.211 * | |
References
- Oke, T.R. The energetic basis of the urban heat island. Q. J. R. Meteorol. Soc. 1982, 108, 1–24. [Google Scholar] [CrossRef]
- Stewart, I.D.; Oke, T.R. Local Climate Zones for Urban Temperature Studies. Bull. Am. Meteorol. Soc. 2012, 93, 1879–1900. [Google Scholar] [CrossRef]
- Deng, X.; Yu, W.; Liu, X.; Zhou, W. Surface Urban Heat Island Effect Intensifies Heat Stress in Residents. In Proceedings of the IGARSS 2024—IEEE International Geoscience and Remote Sensing Symposium, Athens, Greece, 7–12 July 2024; pp. 5382–5385. [Google Scholar] [CrossRef]
- Algretawee, H.; Rayburg, S.; Neave, M. Estimating the effect of park proximity to the central of Melbourne city on urban heat island (UHI) relative to land surface temperature (LST). Ecol. Eng. 2019, 136, 374–390. [Google Scholar] [CrossRef]
- Fan, C.; Myint, S.; Kaplan, S.; Middel, A.; Zheng, B.; Rahman, A.; Huang, H.-P.; Brazel, A.; Blumberg, D. Understanding the impact of urbanization on surface urban heat islands—A longitudinal analysis of the oasis effect in subtropical desert cities. Remote Sens. 2017, 9, 672. [Google Scholar] [CrossRef]
- Ren, P.; Meng, Q.; Zhang, Y.; Zhao, L.; Yuan, X.; Feng, X. An unmanned airship thermal infrared remote sensing system for low-altitude and high spatial resolution monitoring of urban thermal environments. Remote Sens. 2015, 7, 14259–14275. [Google Scholar] [CrossRef]
- Garcia-Haro, A.; Arellano, B.; Roca, J. Quantifying the influence of design and location on the cool island effect of the urban parks of Barcelona. J. Appl. Remote Sens. 2023, 17, 034512. [Google Scholar] [CrossRef]
- Gunawardena, K.R.; Wells, M.J.; Kershaw, T. Utilising green and bluespace to mitigate urban heat island intensity. Sci. Total Environ. 2017, 584–585, 1040–1055. [Google Scholar] [CrossRef]
- Yang, J.; Wang, Z.; Kaloush, K.E.; Dylla, H. Effect of pavement materials on mitigating urban heat islands: A multi-scale modeling case study in Phoenix. Build. Environ. 2016, 108, 110–121. [Google Scholar] [CrossRef]
- Chakraborty, T.; Lee, X. A simplified urban-extent algorithm to characterize surface urban heat islands on a global scale and examine vegetation control on their spatiotemporal variability. Int. J. Appl. Earth Obs. Geoinf. 2019, 74, 269–280. [Google Scholar] [CrossRef]
- Zhou, D.; Zhang, L.; Li, D.; Huang, D.; Zhu, C. Climate–vegetation control on the diurnal and seasonal variations of surface urban heat islands in China. Environ. Res. Lett. 2016, 11, 074009. [Google Scholar] [CrossRef]
- He, M.; Yang, C. Analyzing cooling island effect of urban parks in Zhengzhou City: A study on spatial maximum and spatial accumulation perspectives. Sustainability 2024, 16, 5421. [Google Scholar] [CrossRef]
- Middel, A.; Chhetri, N.; Quay, R. Urban forestry and cool roofs: Assessment of heat mitigation strategies in Phoenix residential neighborhoods. Urban For. Urban Green. 2015, 14, 178–186. [Google Scholar] [CrossRef]
- Du, H.; Cai, W.; Xu, Y.; Wang, Z.; Wang, Y.; Cai, Y. Quantifying the cool island effects of urban green spaces using remote sensing data. Urban For. Urban Green. 2017, 27, 24–31. [Google Scholar] [CrossRef]
- Spronken-Smith, R.A.; Oke, T.R. The thermal regime of urban parks in two cities with different summer climates. Int. J. Remote Sens. 1998, 19, 2085–2104. [Google Scholar] [CrossRef]
- Feyisa, G.L.; Dons, K.; Meilby, H. Efficiency of parks in mitigating urban heat island effect: An example from Addis Ababa. Landsc. Urban Plan. 2014, 123, 87–95. [Google Scholar] [CrossRef]
- Gao, Y.; Pan, H.; Tian, L. Analysis of the spillover characteristics of cooling effect in an urban park: A case study in Zhengzhou city. Front. Earth Sci. 2023, 11, 1133901. [Google Scholar] [CrossRef]
- Zhou, L.; Hu, F.; Wang, B.; Wei, C.; Sun, D.; Wang, S. Relationships between urban landscape structure and land surface temperature: Spatial hierarchy and interaction effects. Sustain. Cities Soc. 2022, 80, 103795. [Google Scholar] [CrossRef]
- Ghiggi, G.; Goret, F.; Soufflet, T. NDVI threshold-based urban green space mapping from Sentinel-2A at the local governmental area (LGA) level of Victoria, Australia. Land 2022, 11, 351. [Google Scholar] [CrossRef]
- Xue, W.; Feng, L.; Yang, J.; Xu, Y.; Ho, H.C.; Luo, R.; Menenti, M.; Wong, M.S. Retrieval of vegetation indices and vegetation fraction in highly compact urban areas: A 3D Radiative Transfer Approach. Remote Sens. 2025, 17, 143. [Google Scholar] [CrossRef]
- Wang, H.; Muller, J.D.; Tatarinov, F.; Yakir, D.; Rotenberg, E. Disentangling soil, shade, and tree canopy contributions to mixed satellite vegetation indices in a sparse dry forest. Remote Sens. 2022, 14, 3681. [Google Scholar] [CrossRef]
- Tan, Y.-C.; Duarte, L.; Teodoro, A.C. Comparative study of random forest and support vector machine for land cover classification and post-wildfire change detection. Land 2024, 13, 1878. [Google Scholar] [CrossRef]
- Georganos, S.; Grippa, T.; Vanhuysse, S.; Lennert, M.; Shimoni, M.; Wolff, E. Optimizing classification performance in an object-based very-high-resolution land use-land cover urban application. In Remote Sensing Technologies and Applications in Urban Environments II; SPIE: Warsaw, Poland, 2017; p. 10431. [Google Scholar] [CrossRef]
- Dialesandro, J.; Wheeler, S.; Abunnasr, Y. Urban heat island behaviors in dryland regions. Environ. Res. Commun. 2019, 1, 081005. [Google Scholar] [CrossRef]
- Sistema Meteorológico Nacional (SMN). Registro de Variables de Estación Meteorológica Mexicali. Ciudad de México: Comisión Nacional del Agua. 2022. Available online: https://smn.conagua.gob.mx/es/observando-el-tiempo/estaciones-meteorologicas-automaticas-ema-s (accessed on 31 August 2025).
- Austria, P.; Bandala, E. Maximum temperatures and heat waves in Mexicali, Mexico: Trends and threshold analysis. Air Soil Water Res. 2016, 9, 21–28. [Google Scholar] [CrossRef]
- Olgun, R.; Cheng, C.; Coseo, P. Desert urban ecology: Urban forest, climate, and ecosystem services. Environ. Dev. Sustain. 2024. [Google Scholar] [CrossRef]
- Jenerette, G.D.; Harlan, S.L.; Stefanov, W.L.; Martin, C.A. Ecosystem services and urban heat riskscape moderation: Water, green spaces, and social inequality in Phoenix, USA. Ecol. Appl. 2011, 21, 2637–2651. [Google Scholar] [CrossRef]
- Cheng, X.; Wei, B.; Chen, G.; Li, J.; Song, C. Influence of park size and its surrounding urban landscape patterns on the park cooling effect. J. Urban Plan. Dev. 2015, 141, A4015002. [Google Scholar] [CrossRef]
- Instituto Nacional de Estadística, Geografía e Información (INEGI). Marco Geoestadístico Nacional. 2020. Available online: https://www.inegi.org.mx/app/mapas/ (accessed on 31 August 2025).
- Instituto Nacional de Estadística, Geografía e Información (INEGI). Censo de Población y Vivienda 2020; INEGI: Aguascalientes, Mexico, 2020.
- Cueto, O.; Martínez, A.; Morales, G. Urbanization effects upon the air temperature in Mexicali, B.C., México. Atmósfera 2009, 22, 349–365. Available online: http://www.scielo.org.mx/scielo.php?script=sci_arttext&pid=S0187-62362009000400002 (accessed on 31 August 2025).
- Instituto Municipal de Investigación y Planeación de Mexicali (IMIP). Parques, Jardines y Juegos Infantiles; Ayuntamiento de Mexicali: Mexicali, Mexico, 10 August 2019. [Google Scholar]
- Esri; Maxar; Earthstar Geographics; GIS User Community. World Imagery. Esri Basemap, ArcGIS Online. 2009. Available online: https://services.arcgisonline.com/ArcGIS/rest/services/World_Imagery/MapServer (accessed on 16 September 2025).
- Instituto Municipal de Investigación y Planeación de Mexicali (IMIP). Usos de Suelo Existentes; Ayuntamiento de Mexicali: Mexicali, Mexico, 13 March 2020. [Google Scholar]
- Xiao, Y.; Piao, Y.; Pan, C.; Lee, D.; Zhao, B. Using buffer analysis to determine urban park cooling intensity: Five estimation methods for Nanjing, China. Sci. Total Environ. 2023, 868, 161463. [Google Scholar] [CrossRef]
- Instituto Municipal de Investigación y Planeación Urbana de Mexicali (IMIP). Programa de Desarrollo Urbano de Centro de Población de Mexicali 2025; Ayuntamiento de Mexicali: Mexicali, Mexico, 2007. [Google Scholar]
- U.S. Geological Survey (USGS). Landsat 8 OLI/TIRS Collection 2 Level-2 Science Product, Mexicali, Baja California, Mexico, Acquired Apr 2021–Feb 2022. 2022. Available online: https://earthexplorer.usgs.gov/ (accessed on 31 August 2025).
- European Space Agency (ESA). Copernicus Sentinel-2 imagery (Level-2A), Mexicali, Baja California, Mexico (32°39′N, 115°28′W), Acquired Apr 2021–Feb 2022. 2022. Available online: https://browser.dataspace.copernicus.eu/?zoom=12&lat=32.61003&lng=-115.43301 (accessed on 16 September 2025).
- Earth Resources Observation and Science (EROS) Center. Landsat 8–9 Operational Land Imager/Thermal Infrared Sensor Level-1, Collection 2 [dataset]. 2020. Available online: https://data.usgs.gov/datacatalog/data/USGS:EROS5e81f14f59432a27 (accessed on 16 September 2025).
- Earth Resources Observation and Science (EROS) Center. Landsat 8–9 Operational Land Imager/Thermal Infrared Sensor Level-2, Collection 2 [dataset]. 2020. Available online: https://data.usgs.gov/datacatalog/data/USGS:EROS5e83d14f2fc39685 (accessed on 16 September 2025).
- Artis, D.; Carnahan, W. Survey of emissivity variability in thermography of urban areas. Remote Sens. Environ. 1982, 12, 313–319. [Google Scholar] [CrossRef]
- Jiménez-Muñoz, J.C.; Sobrino, J.A.; Skoković, D.; Mattar, C.; Cristóbal, J. Land Surface Temperature Retrieval Methods from Landsat-8 Thermal Infrared Sensor Data. IEEE Geosci. Remote Sens. Lett. 2014, 11, 1840–1843. [Google Scholar] [CrossRef]
- Sobrino, J.; Jiménez-Muñoz, J.; Paolini, L. Land surface temperature retrieval from Landsat TM5. Remote Sens. Environ. 2004, 90, 434–440. [Google Scholar] [CrossRef]
- Stathopoulou, M.; Cartalis, C.; Petrakis, M. Integrating CORINE Land Cover data and Landsat TM for surface emissivity definition: Application to the urban area of Athens, Greece. Int. J. Remote Sens. 2007, 28, 3291–3304. [Google Scholar] [CrossRef]
- Sobrino, J.A.; Jiménez-Muñoz, J.C.; Soria, G.; Romaguera, M.; Guanter, L. Land Surface Emissivity Retrieval from Different VNIR and TIR Sensors. IEEE Trans. Geosci. Remote Sens. 2008, 46, 316–327. [Google Scholar] [CrossRef]
- Sekertekin, A.; Bonafoni, S. Sensitivity analysis and validation of daytime and nighttime land surface temperature retrievals from Landsat 8 using different algorithms and emissivity models. Remote Sens. 2020, 12, 2776. [Google Scholar] [CrossRef]
- Jia, K.; Liang, S.; Wei, X.; Yao, Y.; Su, Y.; Jiang, B.; Wang, X. Land cover classification of Landsat data with phenological features extracted from time series MODIS NDVI data. Remote Sens. 2014, 6, 11518–11532. [Google Scholar] [CrossRef]
- Sivabalan, K.; Ramaraj, E. Phenology based classification index method for land cover mapping from hyperspectral imagery. Multimed. Tools Appl. 2021, 80, 14321–14342. [Google Scholar] [CrossRef]
- McGarigal, K.; Marks, B.J. FRAGSTATS: Spatial Pattern Analysis Program for Quantifying Landscape Structure; U.S. Department of Agriculture, Forest Service, Pacific Northwest Research Station: Portland, OR, USA, 1995. [CrossRef]
- Shannon, C.E.; Weaver, W. The Mathematical Theory of Communication; University of Illinois Press: Urbana, IL, USA, 1949. [Google Scholar]
- Instituto Nacional de Estadística y Geografía (INEGI). Modelos Digitales de Elevación de Alta Resolución LiDAR, 5 m: Mexicali. 2012. Available online: https://www.inegi.org.mx/app/biblioteca/ficha.html?upc=702825796341 (accessed on 31 August 2025).
- Zhu, W.; Sun, J.; Yang, C.; Liu, M.; Xu, X.; Ji, C. How to measure the urban park cooling island? A perspective of absolute and relative indicators using remote sensing and buffer analysis. Remote Sens. 2021, 13, 3154. [Google Scholar] [CrossRef]
- World Health Organization (WHO). Urban Green Spaces: A Brief for Action. 2017. Available online: https://iris.who.int/server/api/core/bitstreams/ac6c76f4-7840-404f-8b8b-1ce3de666bc1/content (accessed on 31 August 2025).
- Yin, P.; Li, X.; Pellikka, P. Asymmetrical impact of daytime and nighttime warming on the interannual variation of urban spring vegetation phenology. Earth’s Future 2024, 12, e2023EF004127. [Google Scholar] [CrossRef]
- Clay, R.; Guan, H. The urban-parkland nocturnal temperature interface. Urban Clim. 2020, 31, 100585. [Google Scholar] [CrossRef]
- Wang, Z.; Zhao, X.; Yang, J.; Song, J. Cooling and energy saving potentials of shade trees and urban lawns in a desert city. Appl. Energy 2016, 161, 437–444. [Google Scholar] [CrossRef]
- Ibsen, P.; Borowy, D.; Dell, T.; Greydanus, H.; Gupta, N.; Hondula, D.; Middel, A.; Morin, T.H.; Pavao-Zuckerman, M.; Scott, R.L.; et al. Greater aridity increases the magnitude of urban nighttime vegetation-derived air cooling. Environ. Res. Lett. 2021, 16, 034011. [Google Scholar] [CrossRef]
- Chow, W.; Pope, R.; Martin, C.; Brazel, A. Observing and modeling the nocturnal park cool island of an arid city: Horizontal and vertical impacts. Theor. Appl. Climatol. 2011, 103, 197–211. [Google Scholar] [CrossRef]
- Zhang, Y.; Wang, Y.; Ding, N.; Yang, X. Spatial pattern impact of impervious surface density on urban heat island effect: A case study in Xuzhou, China. Land 2022, 11, 2135. [Google Scholar] [CrossRef]
- Rakoto, P.Y.; Deilami, K.; Hurley, J.; Amati, M.; Sun, Q. Revisiting the cooling effects of urban greening: Planning implications of vegetation types and spatial configuration. Urban For. Urban Green. 2021, 66, 127266. [Google Scholar] [CrossRef]
- Lin, J.; Zhang, H.; Chen, M.; Wang, Q. Socioeconomic disparities in cooling and warming efficiencies of urban vegetation and impervious surfaces. Sustain. Cities Soc. 2023, 92, 104464. [Google Scholar] [CrossRef]
- Cady, T.J.; Rahn, D.; Brunsell, N.; Lyles, W. Conversion of abandoned property to green space as a strategy to mitigate the urban heat island investigated with numerical simulations. J. Appl. Meteorol. Climatol. 2020, 59, 1827–1843. [Google Scholar] [CrossRef]
- Acero, J.; Kestel, P.; Dang, H.T.; Norford, L. Impact of rainfall on air temperature, humidity and thermal comfort in tropical urban parks. Urban Clim. 2024, 56, 102051. [Google Scholar] [CrossRef]
- Mohammad, P.; Goswami, A. Quantifying diurnal and seasonal variation of surface urban heat island intensity and its associated determinants across different climatic zones over Indian cities. GISci. Remote Sens. 2021, 58, 955–981. [Google Scholar] [CrossRef]
- Mohammad, P.; Goswami, A. Exploring different indicators for quantifying surface urban heat and cool island together: A case study over two metropolitan cities of India. Environ. Dev. Sustain. 2023, 25, 10857–10878. [Google Scholar] [CrossRef]
- Yan, C.; Guo, Q.; Li, H.; Li, L.; Qiu, G. Quantifying the cooling effect of urban vegetation by mobile traverse method: A local-scale urban heat island study in a subtropical megacity. Build. Environ. 2020, 169, 106541. [Google Scholar] [CrossRef]
- Spronken-Smith, R.; Oke, T. Scale modelling of nocturnal cooling in urban parks. Bound.-Layer Meteorol. 1999, 93, 287–312. [Google Scholar] [CrossRef]
- Wang, Z.; Li, Q. Thermodynamic characterisation of urban nocturnal cooling. Heliyon 2017, 3, e00290. [Google Scholar] [CrossRef] [PubMed]
- Arellano, B.; Roca, J. Urban landscapes and night time urban heat island. In Remote Sensing Technologies and Applications in Urban Environments V, Proceedings of the SPIE Remote Sensing 2020, Online Only, UK, 21–25 September 2020; SPIE: Bellingham, WA, USA, 2020; p. 1153504. [Google Scholar] [CrossRef]
- Ueyama, M.; Ando, T. Cooling effect of an urban park by enhanced heat transport efficiency. J. Agric. Meteorol. 2020, 76, 148–153. [Google Scholar] [CrossRef]
- Wang, D.; Hu, L.; Voogt, J.A.; Chen, Y.; Zhou, J.; Chang, G.; Gastellu-Etchegorry, J.-P.; Krayenhoff, E.S.; Zhan, W. Simulation of urban thermal anisotropy at remote sensing pixel scales: Evaluating three schemes using GUTA-T over Toulouse city. Remote Sens. Environ. 2024, 300, 113893. [Google Scholar] [CrossRef]
- He, X.; Wang, D.; Gao, S.; Li, X.; Chang, G.; Jia, X.; Chen, Q. The anisotropy of MODIS LST in urban areas: A perspective from different time scales using model simulations. ISPRS J. Photogramm. Remote Sens. 2024, 209, 448–460. [Google Scholar] [CrossRef]
- Sun, M.; Zhao, X.; Wang, Y.; Ren, Z.; Fu, X. Factors affecting the high-intensity cooling distance of urban green spaces: A case study of Xi’an, China. Sustainability 2023, 15, 6735. [Google Scholar] [CrossRef]
- Jiang, Y.; Huang, J.; Shi, T.; Wang, H. Interaction of urban rivers and green space morphology to mitigate the urban heat island effect: Case-based comparative analysis. Int. J. Environ. Res. Public Health 2021, 18, 11404. [Google Scholar] [CrossRef]
- Qin, Z.; Karnieli, A.; Berliner, P. A mono-window algorithm for retrieving land surface temperature from Landsat TM data and its application to the Israel–Egypt border region. Int. J. Remote Sens. 2001, 22, 3719–3746. [Google Scholar] [CrossRef]
- Weng, Q.; Fu, P. Modeling diurnal land temperature cycles over Los Angeles using downscaled GOES imagery. ISPRS J. Photogramm. Remote Sens. 2014, 97, 78–88. [Google Scholar] [CrossRef]
- Liu, H.; Zhang, F.; Zhang, L.; Lin, Y.; Wang, S.; Xie, Y. UNVI-based time series for vegetation discrimination using separability analysis and random forest classification. Remote Sens. 2020, 12, 529. [Google Scholar] [CrossRef]
- Krakauer, N.Y.; Lakhankar, T.; Anadón, J.D. Mapping and attributing normalized difference vegetation index trends for Nepal. Remote Sens. 2017, 9, 986. [Google Scholar] [CrossRef]
- Tian, J.; Zhu, X.; Wu, J.; Shen, M.; Chen, J. Coarse-resolution satellite images overestimate urbanization effects on vegetation spring phenology. Remote Sens. 2020, 12, 117. [Google Scholar] [CrossRef]
- Wang, C.; Zhang, X.; Yang, W.; Wang, G.; Zhao, Z.; Liu, X.; Lu, B. Landsat-8 to Sentinel-2 satellite imagery super-resolution-based multiscale dilated Transformer generative adversarial networks. Remote Sens. 2023, 15, 5272. [Google Scholar] [CrossRef]
- Collins, J.; Dronova, I. Urban landscape change analysis using Local Climate Zones and object-based classification in the Salt Lake Metro Region, Utah, USA. Remote Sens. 2019, 11, 1615. [Google Scholar] [CrossRef]
- El Kenawy, A.M.; Hereher, M.; Robaa, S.M.; McCabe, M.F.; López-Moreno, J.I.; Domínguez-Castro, F.; Gaber, I.M.; Al-Awadhi, T.; Al-Buloshi, A.; Al Nasiri, N.; et al. Nocturnal surface urban heat island over Greater Cairo: Spatial morphology, temporal trends and links to land-atmosphere influences. Remote Sens. 2020, 12, 3889. [Google Scholar] [CrossRef]
- Holmes, T.R.H.; Poulter, B.; McCorkel, J.; Jennings, D.E.; Wu, D.L.; Efremova, B.; Shiklomanov, A.; Johnson, W.R.; Jhabvala, M.; Hook, S.J. On-orbit spatial performance characterization for thermal infrared imagers of Landsat 7, 8, and 9, ECOSTRESS and CTI. J. Geophys. Res. Biogeosci. 2024, 129, e2023JG007506. [Google Scholar] [CrossRef]








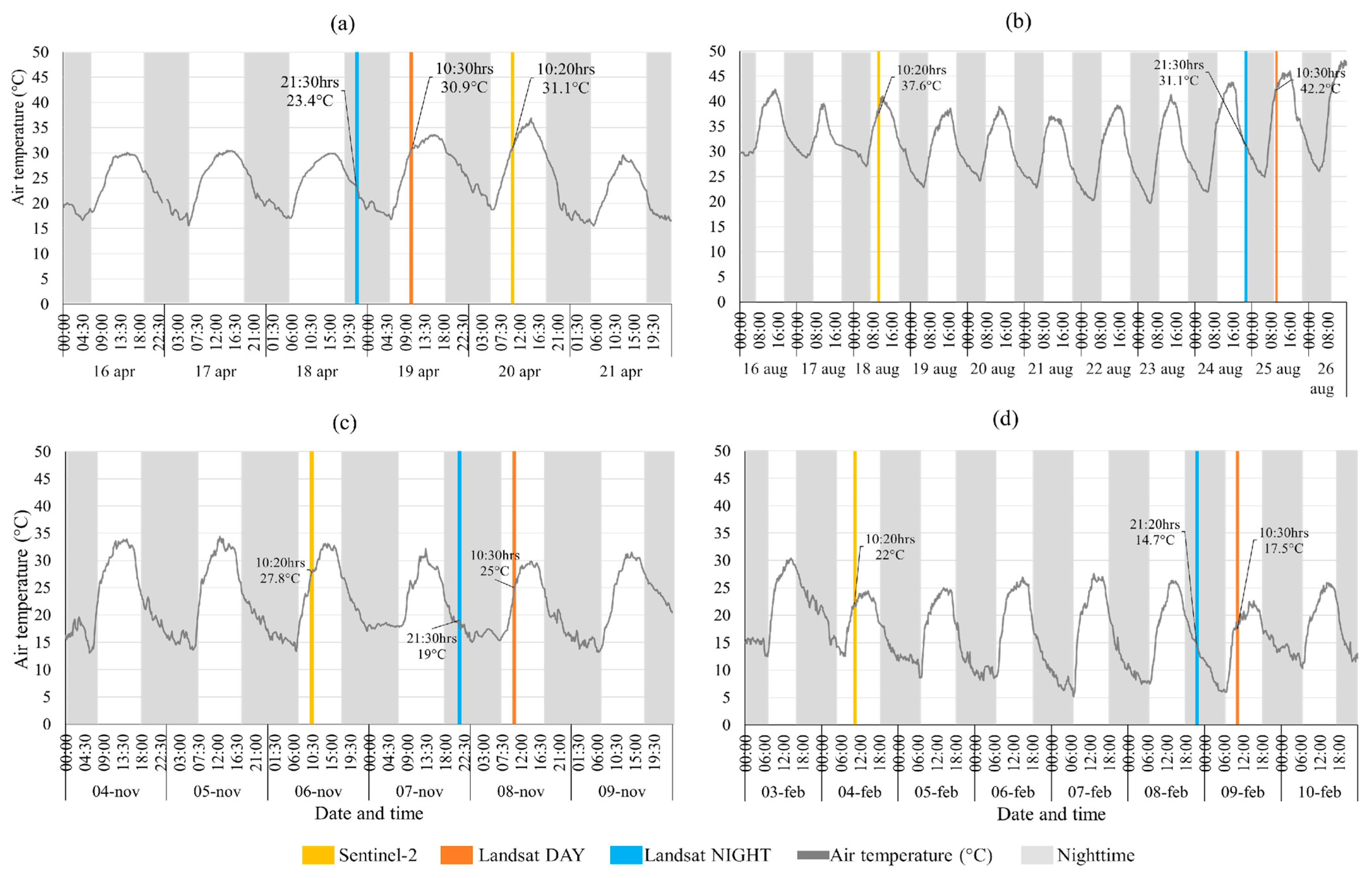
| Season | Satellite | Sensor | Preprocessing | Path/Row | Date (dd/mm/aaaa) | Time (UTM) | Period |
|---|---|---|---|---|---|---|---|
| Spring | Landsat-8 | OLI/TIRS | Collection 2 Level 2 | 039/037 | 19 April 2021 | 10:16:01 | Day |
| Landsat-8 | OLI/TIRS | Collection 2 Level 1 | 137/207 | 18 April 2021 | 21:29:16 | Night | |
| Sentinel 2 | MSI | Level 2A | 11SPS | 20 April 2021 | 10:19:21 | Day | |
| Summer | Landsat-8 | OLI/TIRS | Collection 2 Level 2 | 039/037 | 25 August 2021 | 10:16:33 | Day |
| Landsat-8 | OLI/TIRS | Collection 2 Level 1 | 137/207 | 24 August 2021 | 21:29:47 | Night | |
| Sentinel 2 | MSI | Level 2A | 11SPS | 18 August 2021 | 10:19:21 | Day | |
| Autumn | Landsat-9 | OLI/TIRS | Collection 2 Level 2 | 039/037 | 8 November 2021 | 10:17:38 | Day |
| Landsat-8 | OLI/TIRS | Collection 2 Level 1 | 138/207 | 7 November 2021 | 21:35:46 | Night | |
| Sentinel 2 | MSI | Level 2A | 11SPS | 6 November 2021 | 10:25:51 | Day | |
| Winter | Landsat-9 | OLI/TIRS | Collection 2 Level 2 | 039/037 | 9 February 2022 | 10:16:36 | Day |
| Landsat-8 | OLI/TIRS | Collection 2 Level 1 | 137/207 | 8 February 2022 | 21:30:10 | Night | |
| Sentinel 2 | MSI | Level 2A | 11SPS | 4 February 2022 | 10:25:41 | Day |
| Variable | Units | Data Source | Calculation |
|---|---|---|---|
| 1. Shape descriptors 1 | |||
| 1.1. Park area | m2 | Polygons of parks | Area of polygons |
| 1.2. Landscape Shape Index (LSI) | LSI ≥ 1 | Parks area (A) and perimeter (P) | LSI = P/(2 |
| 1.3. Fractal dimension | FD ≥ 1 | FD = (2 × log P)/(log A) | |
| 2. Remote sensing indices 2 | |||
| 2.1. Daytime LST | °C | Landsat 8/9 Level 2 | Mean LST within park polygon |
| 2.2. Nighttime LST | °C | Landsat 8 Level 1 | Mean LST within park polygon |
| 2.3. NDVI | −1 to +1 | Sentinel 2. Level 2A | Mean NDVI within park polygon |
| 3. Land cover composition 1 | |||
| 3.1. NDVI range classification | % | Sentinel 2. Level 2A | Proportion and area of each NDVI range |
| m2 | |||
| 3.2. Cover diversity—NDVI ranges | H′ > 0 | H′ = −∑(pi × log(pi)) | |
| 3.3. RF classification (RF) | % | Proportion and area of each land cover class | |
| m2 | |||
| 3.4. Cover diversity—RF classes | H′ > 0 | H′ = −∑(pi × log(pi)) | |
| 4. Green cover structure 3 | |||
| 4.1. NDVI > 0.30 cover | % | Sentinel 2. Level 2A | Proportion and area of NDVI > 0.30 pixels |
| m2 | |||
| 4.2. NDVI > 0.30 cover LSI | LSI ≥ 1 | NDVI > 0.30 clusters | LSI = P/(2 |
| 4.3. NDVI > 0.30 cover FD | FD ≥ 1 | FD = (2 × log P)/(log A) | |
| 4.4. RF-derived vegetation cover | % | Sentinel 2. Level 2A | Proportion and area of RF-classified vegetation and grass |
| m2 | |||
| 4.5. RF vegetation LSI | LSI ≥ 1 | RF vegetation polygons | LSI = P/(2 |
| 4.6. RF vegetation FD | FD ≥ 1 | FD = (2 × log P)/(log A) | |
| 5. Positioning variables 4 | |||
| 5.1. Latitude | m | Park centroid coordinates | Latitude of centroid |
| 5.2. Longitude | m | Longitude of centroid | |
| 5.3. Elevation | masl | Digital Elevation Model | Mean elevation within park polygon |
| Mean LST (°C) | Spring | Summer | Autumn | Winter | ||||
|---|---|---|---|---|---|---|---|---|
| Day | Night | Day | Night | Day | Night | Day | Night | |
| Parks | 46.46 | 22.56 | 55.52 | 31.99 | 32.12 | 20.27 | 28.81 | 4.43 |
| 500 m area | 48.19 | 22.29 | 57.41 | 32.21 | 33.23 | 20.21 | 30.13 | 3.84 |
| Urbanization | 48.45 | 22.25 | 57.52 | 32.18 | 33.38 | 20.17 | 30.26 | 3.79 |
| Plan 2025 limit | 47.85 | 21.25 | 57.48 | 31.61 | 33.70 | 19.39 | 30.57 | 2.72 |
| Water bodies | 34.98 | 23.54 | 43.81 | 31.81 | 27.26 | 22.72 | 21.63 | 7.27 |
| (a) | (b) | ||||||
|---|---|---|---|---|---|---|---|
| Lmax (m) | Min | Max | Avg. | Std. Dev. | Lmax Footprint Area | ||
| Area (ha) | % Urban Area | ||||||
| Spring | Day | 0.00 | 460 | 126.09 | 116.17 | 4778.44 | 21% |
| Night | 0.00 | 360 | 48.21 | 40.71 | 1293.50 | 6% | |
| Summer | Day | 0.00 | 490 | 119.03 | 119.32 | 4692.09 | 21% |
| Night | 0.00 | 430 | 52.71 | 40.05 | 1432.27 | 6% | |
| Autumn | Day | 0.00 | 500 | 114.32 | 121.54 | 4584.53 | 20% |
| Night | 0.00 | 370 | 52.48 | 46.31 | 1450.61 | 6% | |
| Winter | Day | 0.00 | 500 | 121.15 | 121.95 | 4500.22 | 20% |
| Night | 0.00 | 330 | 38.00 | 50.3 | 1067.92 | 5% | |
| Annual | Day | 0.00 | 500 | 120.15 | 119.74 | 7206.85 | 32% |
| Night | 0.00 | 430 | 47.85 | 44.90 | 2404.67 | 11% | |
| Total | 0.00 | 500 | 84.00 | 97.37 | 7639.89 | 34% | |
| ΔTmax (°C) n = 435 | Spring | Summer | Autumn | Winter | Annual | ||||||
|---|---|---|---|---|---|---|---|---|---|---|---|
| Day | Night | Day | Night | Day | Night | Day | Night | Day | Night | Total | |
| Min | 0 | 0 | 0 | 0 | 0 | 0 | 0 | 0 | 0 | 0 | 0 |
| Max | 5.82 | 1.62 | 6.41 | 1.94 | 4.49 | 1.83 | 4.42 | 1.94 | 6.41 | 1.94 | 6.41 |
| Avg | 1.01 | 0.43 | 0.9 | 0.56 | 0.56 | 0.47 | 0.72 | 0.27 | 0.81 | 0.43 | 0.62 |
| Std. Dev. | 1.15 | 0.4 | 1.07 | 0.47 | 0.47 | 0.43 | 0.89 | 0.35 | 1 | 0.43 | 0.79 |
| Lmax (m); N = 148 NDVI-Based Variables | Spring | Summer | Autumn | Winter | |||||
|---|---|---|---|---|---|---|---|---|---|
| Day | Night | Day | Night | Day | Night | Day | Night | ||
| Constant | 182.12 | 315.32 | 93.95 | 325.37 | 604.68 | 337.19 | −936.80 | 111.95 | |
| Park Shape | Area (m2) | e. | e. | e. | e. | e. | 0.001 | e. | e. |
| LSI | e. | −8.83 | e. | −36.99 | −80.55 | −20.70 | −143.23 | e. | |
| FD | e. | e. | e. | 216.28 | 679.91 | e. | 1120.02 | e. | |
| Park Location | Longitude (m) | e. | e. | e. | e. | e. | e. | e. | e. |
| Latitude (m) | e. | e. | e. | e. | e. | e. | e. | e. | |
| Elevation (masl) | e. | e. | e. | e. | e. | e. | e. | e. | |
| Park Vegetation NDVI > 0.30 | Proportion (%) | e. | e. | e. | −16.57 | −109.87 | e. | −129.86 | e. |
| LSI | −15.51 | −7.99 | −11.86 | −5.26 | e. | e. | e. | e. | |
| FD | e. | e. | e. | e. | −367.74 | e. | e. | e. | |
| H′ | e. | e. | e. | e. | e. | e. | −73.48 | e. | |
| Lmax Vegetation NDVI > 0.30 | Proportion (%) | e. | −137.52 | −774.42 | −831.08 | e. | −204.14 | −3570.29 | −2319.44 |
| LSI | 34.20 | 25.67 | 48.58 | 37.24 | 33.67 | 32.48 | 65.92 | 42.45 | |
| FD | e. | −136.13 | −303.96 | −330.30 | −346.57 | −326.92 | e. | e. | |
| H′ | −114.53 | −77.87 | −100.62 | e. | −128.72 | −72.76 | −194.01 | −120.53 | |
| Outside Lmax Vegetation NDVI > 0.30 | Proportion (%) | −477.64 | −120.69 | e. | e. | e. | e. | e. | e. |
| LSI | −13.45 | −1.93 | −24.73 | −1.77 | −8.64 | −3.07 | −15.54 | e. | |
| FD | e. | e. | 372.47 | e. | e. | 164.09 | e. | e. | |
| H′ | 117.54 | 34.36 | 104.54 | e. | e. | 36.83 | 146.58 | e. | |
| R2 | 0.87 | 0.59 | 0.83 | 0.66 | 0.88 | 0.80 | 0.74 | 0.41 | |
| Std. Error | 37.87 | 15.22 | 43.99 | 19.09 | 34.26 | 17.71 | 54.54 | 41.31 | |
| ΔTmax (°C); N = 148 NDVI-Based Variables | Spring | Summer | Autumn | Winter | |||||
|---|---|---|---|---|---|---|---|---|---|
| Day | Night | Day | Night | Day | Night | Day | Night | ||
| Constant | 1.59 | 2.36 | 20.14 | −1.84 | 136.39 | −96.50 | 9.06 | 9.99 | |
| Park Shape | Area (m2) | e. | 0.001 | e. | e. | e. | e. | e. | e. |
| LSI | e. | −0.14 | e. | −0.50 | e. | −0.11 | −0.34 | e. | |
| FD | e. | e. | −2.59 | 3.65 | e. | e. | e. | e. | |
| Park Location | Longitude (m) | e. | e. | 0.00 | e. | 0.00 | e. | e. | e. |
| Latitude (m) | e. | e. | e. | e. | 0.00 | 0.00 | e. | e. | |
| Elevation (masl) | e. | e. | e. | e. | e. | e. | −0.06 | e. | |
| Park Vegetation NDVI > 0.30 | Proportion (%) | 0.89 | 0.82 | 1.11 | 1.09 | e. | 1.11 | e. | 0.80 |
| LSI | −0.24 | e. | e. | 0.13 | e. | e. | e. | −0.11 | |
| FD | e. | −1.24 | e. | −1.41 | −1.82 | e. | e. | 1.80 | |
| H′ | e. | −0.31 | e. | −0.25 | e. | −0.22 | −0.81 | e. | |
| Lmax Vegetation NDVI > 0.30 | Proportion (%) | e. | −2.23 | e. | −3.41 | e. | e. | e. | −24.11 |
| LSI | 0.24 | 0.13 | 0.26 | 0.08 | 0.14 | 0.03 | 0.33 | 0.32 | |
| FD | e. | e. | e. | e. | e. | 1.58 | e. | −4.38 | |
| H′ | e. | e. | −0.63 | e. | e. | e. | −1.16 | e. | |
| Outside Lmax Vegetation NDVI > 0.30 | Proportion (%) | e. | e. | −7.34 | e. | e. | −2.03 | e. | e. |
| LSI | −0.13 | e. | −0.16 | e. | −0.09 | −0.02 | e. | 0.13 | |
| FD | e. | e. | e. | e. | e. | e. | −3.62 | −3.58 | |
| H′ | e. | e. | 1.77 | e. | e. | 0.43 | e. | −0.74 | |
| R2 | 0.61 | 0.74 | 0.58 | 0.79 | 0.58 | 0.78 | 0.60 | 0.44 | |
| Std. Error | 0.66 | 0.19 | 0.66 | 0.20 | 0.45 | 0.19 | 0.39 | 0.26 | |
| Lmax (m); N = 148 RF-Based Variables | Spring | Summer | Autumn | Winter | |||||
|---|---|---|---|---|---|---|---|---|---|
| Day | Night | Day | Night | Day | Night | Day | Night | ||
| Constant | 823.18 | 163.94 | 823.18 | 4,248.07 | 16,467.37 | 5142.81 | 623.81 | 367.42 | |
| Park Shape | Area (m2) | e. | e. | e. | 0.001 | e. | 0.001 | e. | 0.001 |
| LSI | e. | −17.44 | e. | −8.79 | e. | −25.58 | e. | e. | |
| FD | e. | 121.82 | e. | e. | e. | e. | e. | e. | |
| Park Location | Longitude (m) | e. | e. | e. | e. | e. | e. | e. | e. |
| Latitude (m) | e. | e. | e. | 0.00 | 0.00 | 0.00 | e. | e. | |
| Elevation (masl) | e. | e. | e. | e. | e. | e. | e. | e. | |
| Park Vegetation RF | Proportion (%) | e. | −20.63 | e. | −21.28 | e. | e. | e. | e. |
| LSI | −23.03 | −10.87 | −23.03 | −12.86 | −29.90 | e. | −43.36 | e. | |
| FD | e. | e. | e. | e. | e. | e. | 159.32 | e. | |
| H′ | e. | e. | e. | e. | e. | e. | e. | e. | |
| Lmax Vegetation RF | Proportion (%) | −217.34 | −74.54 | 217.34 | −229.40 | −341.92 | −291.02 | e. | e. |
| LSI | 33.04 | 18.31 | 33.04 | 34.60 | 37.17 | 35.55 | 36.37 | 35.43 | |
| FD | −424.50 | −153.21 | 424.50 | −384.22 | −531.80 | −515.20 | 417.22 | 341.20 | |
| H′ | e. | −15.92 | e. | e. | e. | −12.87 | e. | −50.19 | |
| Outside Lmax Vegetation RF | Proportion (%) | e. | e. | e. | e. | e. | 77.41 | −221.63 | −144.79 |
| LSI | −7.99 | e. | −7.99 | −1.63 | −10.26 | −2.53 | −9.54 | −4.00 | |
| FD | e. | e. | e. | e. | e. | 124.70 | e. | 157.49 | |
| H′ | e. | e. | e. | e. | e. | e. | e. | e. | |
| R2 | 0.92 | 0.59 | 0.93 | 0.70 | 0.88 | 0.77 | 0.87 | 0.74 | |
| Std. Error (m) | 27.73 | 15.48 | 27.73 | 17.35 | 34.31 | 19.08 | 38.43 | 23.48 | |
| ΔTmax (°C); N = 148 RF-Based Variables | Spring | Summer | Autumn | Winter | |||||
|---|---|---|---|---|---|---|---|---|---|
| Day | Night | Day | Night | Day | Night | Day | Night | ||
| Constant | 28.37 | 3.47 | 20.37 | 2.36 | 202.12 | −50.37 | 19.18 | 0.42 | |
| Park Shape | Area (m2) | e. | 0.001 | e. | e. | e. | e. | e. | e. |
| LSI | e. | −0.27 | e. | −0.26 | e. | e. | e. | e. | |
| FD | e. | 2.30 | e. | 1.86 | e. | −1.41 | −2.02 | e. | |
| Park Location | Longitude (m) | 0.001 | e. | e. | e. | 0.001 | e. | 0.001 | e. |
| Latitude (m) | e. | e. | e. | e. | 0.001 | 0.001 | e. | e. | |
| Elevation (masl) | 0.02 | e. | e. | e. | e. | e. | 0.02 | e. | |
| Park Vegetation RF | Proportion (%) | e. | e. | e. | 0.91 | e. | 0.90 | e. | 0.29 |
| LSI | e. | e. | e. | e. | e. | e. | e. | e. | |
| FD | −2.39 | −2.46 | −4.25 | −0.96 | −2.42 | e. | e. | e. | |
| H′ | −0.71 | −0.17 | e. | e. | e. | −0.14 | −0.34 | −0.20 | |
| Lmax Vegetation RF | Proportion (%) | e. | −0.36 | e. | −1.35 | −1.74 | e. | e. | e. |
| LSI | 0.22 | 0.12 | 0.23 | 0.11 | 0.21 | 0.05 | 0.16 | 0.04 | |
| FD | −5.44 | −1.26 | e. | −1.97 | −5.18 | e. | e. | e. | |
| H′ | e. | e. | e. | e. | e. | −0.16 | e. | e. | |
| Outside Lmax Vegetation RF | Proportion (%) | −3.86 | e. | −4.27 | e. | −1.51 | −0.60 | e. | −0.58 |
| LSI | −0.10 | e. | e. | e. | −0.06 | e. | −0.07 | e. | |
| FD | e. | e. | −7.62 | e. | e. | e. | e. | e. | |
| H′ | 0.77 | −0.19 | −0.80 | e. | 0.53 | e. | e. | e. | |
| R2 | 0.64 | 0.73 | 0.50 | 0.75 | 0.62 | 0.74 | 0.55 | 0.31 | |
| Std. Error (°C) | 0.65 | 0.20 | 0.72 | 0.21 | 0.43 | 0.21 | 0.47 | 0.25 | |
Disclaimer/Publisher’s Note: The statements, opinions and data contained in all publications are solely those of the individual author(s) and contributor(s) and not of MDPI and/or the editor(s). MDPI and/or the editor(s) disclaim responsibility for any injury to people or property resulting from any ideas, methods, instructions or products referred to in the content. |
© 2025 by the authors. Licensee MDPI, Basel, Switzerland. This article is an open access article distributed under the terms and conditions of the Creative Commons Attribution (CC BY) license (https://creativecommons.org/licenses/by/4.0/).
Share and Cite
García-Haro, A.; Arellano, B.; Roca, J. Integrating Multi-Source Remote Sensing and Spatial Metrics to Quantify Urban Park Design Effects on Surface Cool Islands in Mexicali, Mexico. Remote Sens. 2025, 17, 3296. https://doi.org/10.3390/rs17193296
García-Haro A, Arellano B, Roca J. Integrating Multi-Source Remote Sensing and Spatial Metrics to Quantify Urban Park Design Effects on Surface Cool Islands in Mexicali, Mexico. Remote Sensing. 2025; 17(19):3296. https://doi.org/10.3390/rs17193296
Chicago/Turabian StyleGarcía-Haro, Alan, Blanca Arellano, and Josep Roca. 2025. "Integrating Multi-Source Remote Sensing and Spatial Metrics to Quantify Urban Park Design Effects on Surface Cool Islands in Mexicali, Mexico" Remote Sensing 17, no. 19: 3296. https://doi.org/10.3390/rs17193296
APA StyleGarcía-Haro, A., Arellano, B., & Roca, J. (2025). Integrating Multi-Source Remote Sensing and Spatial Metrics to Quantify Urban Park Design Effects on Surface Cool Islands in Mexicali, Mexico. Remote Sensing, 17(19), 3296. https://doi.org/10.3390/rs17193296

