Abstract
Omega-3 long chain polyunsaturated fatty acids (n-3 LCPUFA) supplementation in the cardiovascular field is effective if a certain Omega-3 index (O3I) is achieved or the daily n-3 LCPUFA dose is high enough. Whether this applies to studies on cognition in children and adolescents is unclear. The aims of the current review were to investigate whether: (1) a certain O3I level and (2) a minimum daily n-3 LCPUFA dose are required to improve cognition in 4–25 year olds. Web of Science and PubMed were searched. Inclusion criteria: placebo controlled randomized controlled trial; participants 4–25 years; supplementation with docosahexaenoic acid (DHA) and/or eicosapentaenoic acid (EPA); assessing cognition; in English and ≥10 participants per treatment arm. Thirty-three studies were included, 21 in typically developing participants, 12 in those with a disorder. A positive effect on cognitive measures was more likely in studies with an increase in O3I to >6%. Half of the studies in typically developing children with daily supplementation dose ≥450 mg DHA + EPA showed improved cognition. For children with a disorder no cut-off value was found. In conclusion, daily supplementation of ≥450 mg DHA + EPA per day and an increase in the O3I to >6% makes it more likely to show efficacy on cognition in children and adolescents.
1. Introduction
Numerous studies have investigated the influence of omega-3 long-chain polyunsaturated fatty acids (n-3 LCPUFA) on an array of outcomes such as cardiovascular health, depression, attention deficit (hyperactivity) disorder, autism spectrum disorder, pregnancy outcomes, cognition and cognitive development [1,2,3,4,5,6]. The LCPUFA such as docosahexaenoic acid (DHA, 22:6n-3) and arachidonic acid (AA, 20:4n-6) are important constituents of the brain. Moreover, DHA, AA and eicosapentaenoic acid (EPA, 20:5n-3) are involved in bodily and brain processes such as neurite growth, membrane fluidity, blood–brain barrier integrity and inflammation [7,8,9]. The suggested roles of LCPUFA in brain development and functioning have led to a large number of observational studies and supplementation trials in which the relationship between LCPUFA and cognition in children and adolescents was investigated; the results of which were mixed. Some studies show positive effects of supplementation, while others show neutral effects. Most of these studies have been summarized in a multitude of reviews, for example [5,10,11,12,13,14,15,16,17,18,19], yet the conclusions of these reviews are not consistent. Some conclude that there is evidence for an effect of n-3 LCPUFA on cognition [5,10,12,14], others conclude that there is only proof for specific subgroups of participants (i.e., infants, elderly, or those with a low n-3 LCPUFA status) [16,17,18], and some conclude that there is no effect or results are too mixed to draw conclusions [11,13,15,19]. However, the studies included in these reviews are heterogeneous in their design, various doses of LCPUFA supplements were used, and the composition of the supplements varied greatly. Therefore, it remains uncertain whether n-3 LCPUFA supplementation can positively influence cognition and whether the effectiveness could be related to the dose used or the circulating level of n-3 LCPUFA in the body, represented by the Omega-3 Index (O3I).
In the area of cardiovascular disease, it has been suggested that recent neutral results in LCPUFA supplementation trials could be due to too low n-3 LCPUFA supplementation doses and/or not achieving the cardio-protective O3I range of 8–11% [20]. The O3I is defined as EPA plus DHA in erythrocytes and is based on a standardized analytical method [21]. A target range for the O3I of 8–11% has been suggested as this range is associated with the lowest mortality risk in coronary heart disease [21]. Some have suggested that such a target range could also exist for mental health diseases [22].
In a review of studies investigating the effect of n-3 LCPUFA on death from cardiovascular disease, only trials in which the daily dose of DHA was at least 500 mg showed a reduction in cardiovascular mortality [20]. In line with this finding, in the meta-analysis of Emery et al., an effect of n-3 LCPUFA supplementation on cognition (i.e., on the domains recall and recognition long-term memory) was only evident when studies with a dose of less than 400 mg DHA + EPA were excluded from the analyses [23]. This indicates that a n-3 LCPUFA supplementation dose above 400 mg DHA + EPA might be effective in improving cognition. Nonetheless, Emery et al. were not able to show dose trends for DHA nor EPA for the outcome measures short term memory, attention and inhibition (i.e., a higher dose of EPA or DHA was not related to higher score on short term memory, attention and inhibition tests). However, do note that Emery et al. combined the results of multiple different cognitive tests into one outcome measure. For example, for the outcome measure inhibition results from the KiTap, Stroop test, Matching Familiar Figures tasks, Connors performance test, Test of Variables of Attention, Arrow Flanker Test and Amsterdam Neuropsychological Tasks were combined. Combining such diverse tests can be problematic as even though the tests seem similar, the underlying constructs can be somewhat different and operational differences can also be present [24].
Taking into account the findings with regard to O3I range in cardiovascular health and the limitations of n-3 LCPUFA dose in research on cognition, the question was raised whether the mixed results in n-3 LCPUFA supplementation studies for cognition could be attributed to the O3I (not reported in the Emery review) or the n-3 LCPUFA supplementation dose. Therefore, a systematic literature review was undertaken with the aim (1) to investigate what O3I is needed to improve cognition, and (2) to investigate whether the daily dose of DHA/EPA plays a role in the effect of n-3 LCPUFA supplementation on cognition.
The focus of the current review is on n-3 LCPUFA supplementation trials in children and adolescents, as the brain develops up to age 25 years and it is to be expected that effects of n-3 LCPUFA supplementation on cognition are therefore more pronounced in children and adolescents than in adults [25].
2. Materials and Methods
A systematic literature review was conducted. The review protocol was not registered beforehand. Web of Science and PubMed were searched up to the 3th of July 2019 with the following search terms: ‘LCPUFA’, ‘EPA’, ‘DHA’, ‘Omega-3′, in combination with ‘cogniti*, and ‘child*, ‘adolescen*’, ‘toddler’ (for exact search strategy see Appendix A). No date restrictions were applied. Earlier reviews and reviews located in the literature search on LCPUFA and cognition were checked for additional manuscripts to include. The reference lists of included manuscripts were checked for additional manuscripts. Moreover the ‘cited by’ function in Web of Science, or PubMed if the manuscript was not available in Web of Science, was utilized to check whether any of the manuscripts citing the included manuscripts were suitable for inclusion themselves.
Studies were eligible for inclusion if (1) the average age of participants was between 4 and 25 years old; (2) participants (i.e., the child or adolescent) received supplementation with DHA and/or EPA; (3) the study included a measure of cognition; (4) the study was a randomized placebo controlled trial (RCT); (5) cross-over studies had a wash-out period of at least four months as this is the duration which is needed for erythrocyte concentrations to return to pre-supplementation levels [24]; (6) the study included a minimum of 10 participants per treatment arm; (7) the study was published in English.
All manuscripts were scanned by the first author and the following information was extracted: information on study population, supplementation (placebo and active), supplementation duration, adherence percentage, test used to assess cognition, LCPUFA measurement method if included and outcomes.
To compare studies that included blood values, the measured fatty concentrations, if reported, were converted to the O3I with the formulae as suggested by Stark and colleagues [25], called the O3I equivalence from here onwards.
3. Results
3.1. Included Studies
The database search yielded 890 manuscripts, and checking of relevant reviews yielded 19 additional manuscripts, after removal of duplicates 665 manuscripts remained (for flow chart see Figure 1). After screening based on title and/or abstract 549 manuscripts were excluded due to not meeting the inclusion criteria. Of 116 manuscripts the whole text was screened, 83 manuscripts were excluded based on the whole text (for reasons see Figure 1). In the end 33 placebo controlled randomized controlled trials (RCTs) investigating the influence of LCPUFA supplementation on cognition were included in the current review. In 21 of these studies, typically developing children and adolescents were included, in 12 the focus was on children and adolescents with a disorder or disease. Of the 12 studies in which the focus was on a disorder or a disease, the vast majority, namely 11 studies, focused on children or adolescents with attention deficit hyperactivity disorder (ADHD). In one study the focus was on children with phenylketonuria (PKU). The majority of studies was either in children (<12 years, n = 24) or late adolescents (20–25 years of age, n = 8), very few studies focused on early or middle adolescence (12–20 years of age, n = 1). The duration of the studies varied from four weeks up to 52 weeks. An overview of the included studies including typically developing participants can be found in Table 1. For an overview of studies including participants with a disorder/disease see Table 2.
Figure 1.
Flow-chart of the search strategy, adapted from [26]. EPA = eicosapentaenoic acid, DHA = docosahexaenoic acid.
Table 1.
Overview of studies supplementing children and adolescents with long chain polyunsaturated fatty acids (LCPUFA) and including a cognitive measure as outcome measure.
Table 2.
Overview of studies supplementing children and adolescents with a disease or disorder with LCPUFA and including a cognitive measure as outcome measure.
3.2. Omega-3 Index Equivalence
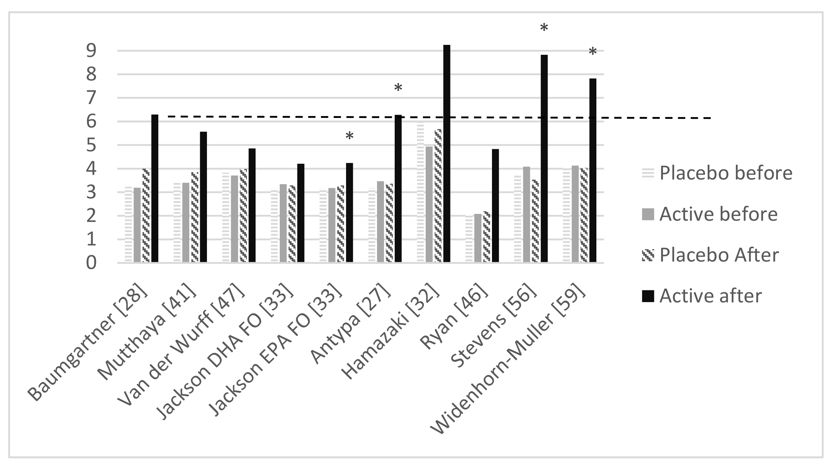
Of the 33 studies included in this review, 13 studies had no reported blood fatty acid concentrations [29,31,33,35,36,38,43,44,45,49,52,53,55]. In 20 studies, fatty acid concentrations were reported, and the fatty acid concentrations were analyzed in a variety of bodily tissues and blood fractions (note that in some studies multiple fractions were utilized): plasma fatty acids [27,32,33,56], phospholipids in erythrocyte membranes [28,41], plasma phosphatidylcholine [30], erythrocyte phosphatidylcholine [30], erythrocyte phosphatidylethanolamine [30], cheek cells [37,48], capillary whole blood [40,46,47,50], serum phospholipids [42,57,58], total fatty acids in erythrocyte membrane [39,56,59], glycerol-phospholipids in plasma [51] and erythrocytes [54]. Unfortunately, recalculation formulae to the O3I equivalence are only available for a limited number of blood fractions [60]. The recalculation to the O3I equivalence was thus not possible for seven studies because they used a blood fraction for which no recalculation formula is available: erythrocyte and plasma phosphatidylcholine [30], erythrocyte phosphatidylethanolamine [30], cheek cells [37], serum phospholipids [42], cheek cells [48], glycerol-phospholipids in plasma [51] or serum phospholipids [57,58]. Moreover, in three studies only DHA levels were reported and recalculation to the O3I equivalence was thus not possible [39,40,54]. Lastly, one study only reported the baseline fatty acid blood levels [50]. Therefore recalculation to the O3I equivalence was possible for nine out of the 20 studies in which fatty acid values were reported (see Table 3 and Figure 2; Note that Jackson et al. is reported twice in the figure as their study included an EPA-arm and a DHA-arm).
Table 3.
Recalculation of measured blood fractions in included studies to Omega-3 Index equivalence.
Figure 2.
Omega-3 index equivalence at start and end of study for active and placebo group for studies in which blood was collected and recalculation to the Omega-3 index equivalence was possible. Studies in which a positive effect of supplementation was shown are indicated with an *. Note that Jackson et al. are in the figure twice as their study included an eicosapentaenoic acid (EPA) arm and a docosahexaenoic acid (DHA) arm. FO = fish oil.
When looking at the nine studies that allowed for recalculation to the O3I equivalence, the increase in the O3I equivalence in the active group varied between 0.87% and 4.75% (see Table 3). Four of the nine studies showed a positive significant effect of supplementation on at least one cognitive measure in the main analyses in the overall sample.
Figure 2 shows that in three [27,56,59] of those four studies [27,33,56,59] in which a positive effect on cognition was shown, an increase in O3I equivalence was achieved and the O3I equivalence after the intervention was higher than >6% in the active group. There were two studies with an O3I equivalence >6% after supplementation in the active group, however, there were no significant effects of supplementation on cognitive measures [28,32]. The notion that an increase in O3I equivalence is related to improved cognition, is supported by the fact that six [30,37,39,46,57,59] out of the 10 studies [30,37,39,46,47,51,56,57,58,59] that related blood values to cognitive outcomes showed significant positive associations or correlations between (change in) DHA and/or EPA blood values and cognitive tests used.
3.3. Supplementation Dose
The supplementation dosage of DHA and EPA varied immensely in the 33 included studies, varying from 16.5 mg to 3600 mg DHA per day, and from 0 mg to 1740 mg EPA per day. Supplementation could either contain only DHA or DHA in combination with EPA. Of the 15 studies [27,31,32,33,34,35,36,37,38,39,40,43,44,45,47] in which participants received supplementation of ≥450 mg DHA + EPA per day, 8 (i.e., 53%) showed a positive effect [27,31,33,34,38,43,44,45] (see Figure 3; note that Jackson a and b, Kennedy, and McNamara are represented twice as they included two supplementation groups). In contrast, in only two of the eight studies with a lower supplementation dosage (i.e., <450 mg DHA + EPA per day) a significant effect was shown [29,30]. Moreover, note that in one of those two studies the effect was in favor of the placebo group [29]. While in in six of the eight studies with a daily dosage of <450 mg DHA + EPA per day no significant effects on cognition were shown [28,36,39,41,42,46].
Figure 3.
n-3 long-chain polyunsaturated fatty acids (LCPUFA) supplementation studies that studied cognition in typically developing children. Studies indicated with a * are those studies in which positive effects of supplementation on cognition are reported. Dotted line indicates supplementation of 450 mg docosahexaenoic acid (DHA) + eicosapentaenoic acid (EPA)per day. Note that in the study of Hamazaki et al. dose differed based on bodyweight. The dose noted here is the lowest dose. Note that Jackson, Kennedy and McNamara included two n-3 LCPUFA dose groups, these are reported separately here.
3.4. Children and Adolescents with a Disease or Disorder
Of the 12 studies in which the effect of n-3 LCPUFA supplementation on cognition in children and adolescents with a disease or disorder was investigated (see Table 2, note that the study of Vaisman et al. included two n-3 LCPUFA dose groups (fish oil (FO) and n-3 LCPUFA containing phospholipids (PLs)), these are reported separately in the table), six showed a positive effect on cognition in favor of the n-3 LCPUFA supplementation group [50,53,55,56,57,59]. However, in contrast, one study favored the placebo group [52]. In contrast to the studies in which typically developing children and adolescents were investigated, there appeared to be no clear cut-off point above which a positive effect of DHA/EPA supplementation on cognition was shown (see Figure 4).
Figure 4.
n-3 long-chain polyunsaturated fatty acids (LCPUFA) supplementation studies that studied cognition in children and adolescents with a disease or disorder. Studies indicated with a * are those studies in which positive effects of supplementation are reported. Note that in the study of Demmelmair et al. and Cornu et al., dose differed based on bodyweight—the dose noted here is the lowest dose. Note that the study of Vaisman et al. included two n-3 LCPUFA dose groups (fish oil (FO) and n-3 LCPUFA containing phospholipids (PLs)), these are reported separately here.
4. Discussion
The goal of the current review was to investigate what O3I is needed to improve cognition and whether the dose of DHA/EPA plays a role in the effect of n-3 LCPUFA supplementation on cognition. There seems to be some evidence that significant cognitive effects of n-3 LCPUFA supplementation can only be shown when the post-intervention O3I is increased and reaches at least 6%. However, due to the limited number of studies for which recalculation of the O3I equivalence was possible, this result should be considered with caution. Additionally, there seems to be some evidence that a dosage ≥450 mg DHA + EPA per day does lead to improved cognition in typically developing children and adolescents. For children and adolescents with a disease or disorder, no clear dosage cut-off could be determined.
4.1. Omega-3 Index Equivalence
We showed that significant cognitive effects of n-3 LCPUFA supplementation can only be shown when the post-intervention O3I is increased and reaches at least 6%. There was only one study in which only a minor increase in O3I equivalence was shown (i.e., the increase in O3I equivalence was 0.87%) and a relatively low O3I equivalence at the end of the intervention for the active group was achieved, but still a positive significant effect on cognition was shown [33]. In this study, both a positive effect of DHA rich supplementation on cognition and a negative effect for both the DHA and EPA rich supplementation was shown. However, in this study, 15 different cognitive tests with a total of 29 outcome measures were reported, without correction for multiple testing. The significant effects could thus reasonably be ascribed to a type I error and should be interpreted with caution. Two studies did have an O3I equivalence >6% after n-3 LCPUFA supplementation, but did not show a positive effect on cognitive measures [28,32]. The children in the study of Baumgartner et al. were iron deficient and often undernourished [28], both factors which can negatively influence cognitive performance [61,62,63], and thus mask a potential beneficial effect of the n-3 LCPUFA supplementation. The students in the study of Hamazaki et al. had already a rather high O3I equivalence (i.e., O3I equivalence of 5.68% in active group and 5.96% in placebo group) at the start of the study, which makes it less likely to be able to show any effect of supplementation due to a ceiling effect [32].
It has also been suggested that an overlap in O3I between placebo and treatment group could cause non-significant treatment effects [64], especially as most authors analyze their results not according to blood values, but according to intention to treat. In this light it is interesting that in the study of Montgomery et al., a significant difference between active and placebo group was shown post intervention for both digit span forward and backward, but change scores in both digit span tests did not differ significantly [40]. It might not be surprising that the change scores did not differ when we consider that there was a clear overlap in DHA blood values between the placebo group and the active group. A similar problem arose in the study of van der Wurff et al., a similar Omega-3 index post-intervention was measured in the placebo and the active group due to non-adherence to the study protocol, which could explain the result of similar cognitive test results in both groups [47].
The fact that an O3I >6% is possibly related to improved cognitive measures is in line with the results found for cardiovascular health and mental health. As mentioned previously, for cardiovascular health, an O3I of >8% was related to the highest cardio-protection, while an O3I < 4% was related to the lowest cardio-protection [21]. Additionally, there are some studies that have shown a positive relationship between increase in n-3 LCPUFA blood levels and less depressive symptoms [65,66]. Therefore, it seems likely that to show positive effects of n-3 LCPUFA supplementation, a sufficient n-3 LCPUFA level in the body should be achieved, which appears to be an O3I of more than 6% for cognition. It is important to note that many of the studies investigating the effect of n-3 LCPUFA supplementation on cognition included in this review did not include measurements of n-3 LCPUFA levels in the body. Additionally, recalculation formulae to the O3I equivalence are not available for all blood fractions. If future n-3 LCPUFA supplementation studies include blood levels, as suggested by the International Society for the Study of Fatty Acids [67], possibly a more precise target range for cognitive functioning can be determined, similar to the one available for cardiovascular health. Additionally, considering the large interpersonal difference in response to LCPUFA supplementation [64,68], it seems prudent that future studies utilize a personalized LCPUFA supplementation dose approach.
4.2. Supplementation Dose in Typically Developing Children and Adolescents
The results of the current review point to some evidence that a dose above 450 mg DHA + EPA per day does lead to improved cognition in typically developing children and adolescents. Fifty-three percent of the studies in which children and adolescents received ≥450 mg DHA + EPA showed a positive effect on cognition. However, do note that one of those positive studies was the study of Jackson et al., in which both positive and negative effects of supplementation were shown, also note that these results could be due to a type I error as already mentioned previously [33].
There were six studies with a daily dose ≥450 mg DHA + EPA in which no significant positive effects were shown [32,35,36,37,39,40,47]. One of these studies did show significant effects/associations in secondary analyses, Kirby and colleagues showed significant effects of supplementation on visual attention and impulsivity in those that were compliant with the protocol, while the primary intent to threat analyses did not show significant results [37]. For the other five studies, it is unclear as to why these studies did not show an effect, there was, for example, no clear relationship with supplementation duration or sample size.
Of the studies with a daily supplementation dose of ≥450 mg DHA + EPA that did show a significant effect, two had a duration of four weeks, one of eight weeks, four of 12 weeks, one of 16 weeks and one of 28.6 weeks. Of the studies with a daily supplementation dose of ≥450 mg DHA + EPA that did not show a significant effect, one had a duration of four weeks, one of eight weeks, one of 12 weeks, two of 16 weeks and one of 52 weeks. Moreover, looking at sample size, no clear relationship could be seen; the sample sizes of the studies ≥450 mg of DHA + EPA that did show a significant effect varied from 34 to 408 participants, while the sample sizes of studies that did not show a significant effect varied from 41 to 376.
One of the two studies that did show a significant effect even though they supplemented with <450 mg DHA + EPA was the study of Dalton et al., in which fish flour was used as supplementation source [30]. Fish flour also includes other nutrients (e.g., protein) which could, especially for the undernourished children included in the study of Dalton et al., provide additional cognitive benefits, which could also explain the significant cognitive findings. The second study with a dose below 450 mg that showed a significant effect was the study of Benton et al. [29]. In this study, it was shown that those taking a DHA supplement for 50 days forgot more words at the end of the study on a word recall test than those that took the placebo. However, this significant effect was not shown in the other memory test which they utilized, the capital recall test. Additionally, from the graphs in the manuscript of Benton et al., it can be deducted that the DHA group already made more mistakes at baseline (it is unclear whether this difference is significant) and that the difference between the DHA and placebo group was rather small (i.e., less than one word). It thus seems unlikely that this indicates an actual negative effect of DHA supplementation on memory performance.
Note that in the study of Kennedy et al., a significant effect of supplementation was shown for the low dose group of 400 mg DHA + 4 mg EPA per day, but not for the high dose group 1000 mg DHA + 20 mg EPA [36]. After eight weeks of supplementation the children in the low dose group had a significantly higher speed on the Word Recognition test in comparison to the children in the placebo group, while the children in the high dose group had a significantly slower reaction time than the placebo group. For the low dose group this was the case in both the pre- and the post-breakfast session and in the high dose group only in the post-breakfast session. However, as the authors themselves note, the results are inconsistent, it was the only significant effect among 25 cognitive measures (i.e., likely a type I error), the effects were not found on other memory tests, nor on the same task from a different test battery (i.e., the researchers utilized two test batteries). Considering the inconsistent findings and the limitations mentioned above, we classified this study as not-significant. Overall, there is evidence that a dosage above 450 mg DHA + EPA per day does lead to improved cognition in typically developing children and adolescents.
The finding regarding the positive effects of ≥450 mg DHA + EPA per day for cognition is in line with the earlier review of Emery et al. [23], showing that when studies with a dose of less than 400 mg DHA + EPA were excluded, a small effect size on the domains of recall and recognition long-term memory (i.e., the ability to recognize items after an extended time period) was shown, while this was not the case when studies with a dose <400 mg were included. It is, however, important to note that Emery et al. did not include all studies which were included in this review (i.e., 33 studies were included in the current review of which 16 were also included in Emery et al.). Additionally Emery et al. included studies of children aged 0–4 years, cross-over designs and studies that used foods as form of n-3 LPCUFA supplementation (i.e., fish) which were not included in this current review. However, despite the differences in studies included in the review of Emery et al. and this review the conclusion of at least 400 mg and 450 mg of n-3 LCPUFA per day are comparable. Furthermore, the current review has additionally shown that an increase in O3 I equivalence and an O3I equivalence >6% makes it more likely to show positive effects of supplementation on cognition in children and adolescents. This finding again points to the importance of including blood values in LCPUFA supplementation trials [67].
The finding from the current study is also in line with the findings for cardiovascular health. Meyer et al. showed that supplementation dosages of >500mg DHA per day lead to cardio-protective effects, but not doses <500 mg per day [20]. The brain can only incorporate about 4 mg DHA per day [69] and only 0.5% of circulating DHA is delivered to the central nervous system [69]. Therefore, to achieve a level of incorporation of 4 mg per day, a relatively high intake of DHA is needed and positive effects of DHA supplementation will only be present with higher doses of supplementation.
4.3. Supplementation Dose in Children and Adolescents with a Disease or Disorder
In contrast to the results for typically developing children and adolescents, we were not able to show a clear cut-off for a daily dose of DHA + EPA above which a positive effect on cognition could be shown in children and adolescents with a disease or disorder, although in half of studies (i.e., 6/12 studies) a positive effect was shown. The fact that we could not show a cut-off dose for children with a disease or disorder is surprising, as it has been suggested that n-3 LCPUFA supplementation might be more beneficial for those who are underperforming on cognitive and academic measures [45], such as children with ADHD. Note that the vast majority of studies (i.e., 11/12 studies) in children and adolescents with a disease or disorder included in the current review focused on children and adolescents with ADHD. Therefore, this discussion focuses on ADHD. Children with ADHD are known to have impaired executive functions such as inhibition and attention, cognitive functions which are primarily located in the frontal cortex, a brain region especially rich in DHA [70]. However, as ADHD is a multifactorial disorder with a complex etiology, it might be the case that not for all subgroups of children with ADHD a beneficial effect of n-3 LCPUFA supplementation could be expected. Lastly, it has been suggested that children with ADHD have lower n-3 LCPUFA levels in their body [71] and higher levels of inflammation [72]. It might be that the dose of DHA/EPA utilized in the studies included in this current review were too low. It is important to note that recalculation to the O3I equivalence was only possible for two studies, both of which did show positive effects, and both also had a rather high O3I equivalence in the active group at the end of the intervention (>6%). More research with blood assessments, making recalculation to the O3I equivalence possible, is warranted in children/adolescents with a disease or disorder.
4.4. Strengths and Limitations
The strength of this review is the fact that it is the first review in which the relationship between O3I equivalence and cognitive outcomes in children and adolescents is investigated.
However, this review had a number of limitations. Like many previous reviews, we have to conclude that there is large variability in the studies included in this review. The studies differed on various factors: the study population (i.e., age, nutritional status); composition of supplements (i.e., EPA/DHA ratio, but also inclusion of other fatty acids or nutrients); and duration of supplementation. For the assessment of cognition, a wide variety of cognitive tests were used, often with multiple subtests, assessing all different aspects of cognition. Additionally, the number of cognitive measures used varied from one to 25. In the studies with multiple tests, chance findings might be a problem. Moreover, in many studies, blood levels were not assessed or not reported in such a way that recalculation to the O3I equivalence was possible; either a blood fraction for which no recalculation formulae is available was used or the DHA and EPA values were not both reported before and after the intervention. Therefore, only nine out of 33 studies could be compared on the O3I equivalence, which limits the ability to draw conclusions. However, in some studies for which we could not calculate an O3I equivalence, but where blood values were available, the authors executed analyses examining the relationship between blood values and cognitive test outcomes. These analyses relating blood values to cognitive test outcome support our finding: six out of the 10 studies in which those analyses were executed showed significant positive associations or correlations between (change in) DHA and/or EPA blood values and cognitive tests used. Additionally, recently, some controversy regarding the link between the O3I and brain omega-3 level has arisen. In some animal studies, a positive relationships between increases in omega-3 fatty acids in erythrocytes and brain DHA level has been shown [73,74], while in other studies, the correlation between erythrocyte O3I and brain O3I was negative [75]. Whether erythrocyte O3I is related to brain O3I in humans thus remains unsettled. We did not take the source of omega-3 fatty acid supplementation in consideration (i.e., phospholipids, ethyl esters, krill oil, etc.), while some authors have suggested that phospholipids are more efficient in increasing brain levels than other sources of DHA. This could considered to be a limitation, however the notion that different sources of omega-3 fatty acids have different levels of effectiveness in increasing DHA (brain) levels has never been proven conclusively [68]. Due to the large variability in the cognitive tests used, we did not take into consideration what cognitive test was used, which might be considered a limitation of this review. However, combining different cognitive tests into one measure is also not without problems as, even if the tests have a similar underlying construct, the actual construct might be minimally different and operational differences occur, which leads to problems with the comparison of test results [24].
5. Conclusions
An increase in the O3I > 6% and daily supplementation of ≥450 mg DHA + EPA makes it more likely to show positive effects of supplementation on cognition in children and adolescents. However, more research is needed where the O3I is measured, to be able to determine a more precise O3I target range for the positive effects on cognitive functioning.
Author Contributions
Conceptualization, I.S.M.v.d.W., B.J.M., and R.H.M.d.G.; methodology, I.S.M.v.d.W.; formal analysis, I.S.M.v.d.W.; investigation; I.S.M.v.d.W.; writing—original draft preparation I.S.M.v.d.W.; writing—review and editing, I.S.M.v.d.W., B.J.M., and R.H.M.d.G.; visualization: I.S.M.v.d.W.; supervision: B.J.M., and R.H.M.d.G.; project administration: I.S.M.v.d.W. All authors have read and agreed to the published version of the manuscript.
Funding
This research received no external funding.
Conflicts of Interest
The authors declare no conflict of interest.
Appendix A
Table A1.
Search Strategies.
Table A1.
Search Strategies.
| PUBMED Search Strategy | (((“fatty acid”[Title/Abstract]) OR “fatty acids”[Title/Abstract]) OR “omega-3”[Title/Abstract]) OR “omega-6”[Title/Abstract]) OR pufa[Title/Abstract]) OR lcpufa[Title/Abstract]) OR mufa[Title/Abstract]) OR fish oil*[Title/Abstract]))) AND ((child [Title/Abstract] OR children [Title/Abstract] OR childhood [Title/Abstract] OR kid [Title/Abstract] or kids [Title/Abstract] OR girl* [Title/Abstract] OR boy* [Title/Abstract] OR teenage* [Title/Abstract] OR youth* [Title/Abstract] OR youngster* [Title/Abstract] OR preschool* [Title/Abstract] OR pre-school* [Title/Abstract] OR kindergarten* [Title/Abstract] OR “elementary school” [Title/Abstract] OR elementary-school [Title/Abstract] OR juvenile* [Title/Abstract] OR minors [Title/Abstract] OR minor [Title/Abstract] OR pediatric* [Title/Abstract] OR paediatric* [Title/Abstract] OR schoolchild*[Title/Abstract] OR toddler*[Title/Abstract] OR teen [Title/Abstract] OR teens [Title/Abstract] OR child, preschool [MeSH terms] OR child [MeSH terms])) AND (cognit*)Searched 03–07-2019–421 hits | |
| Web of Science Search Strategy | #1 | (TS = (“fatty acid” OR “fatty acids” OR “omega-3” OR “omega-6” or pufa OR lcpufa OR mufa OR “fish oil*”)) Indexes = SCI-EXPANDED, SSCI, A&HCI, ESCI Timespan = All years |
| #2 | (TS = (child OR children OR childhood OR kid OR kids OR girl* OR boy* OR teenage* OR youth* OR youngster* OR preschool* OR pre-school* OR kindergarten* OR “elementary school” OR elementary-school OR juvenile* OR minors OR minor OR childhood OR pediatric* OR paediatric* OR schoolchild OR toddler* OR teen OR teens)) Indexes = SCI-EXPANDED, SSCI, A&HCI, ESCI Timespan = All years | |
| #3 | (TS = (cognit*)) Indexes = SCI-EXPANDED, SSCI, A&HCI, ESCI Timespan = All years #3 AND #2 AND #1 Indexes = SCI-EXPANDED, SSCI, A&HCI, ESCI Timespan = All years Searched 03-07-2019-469 hits | |
References
- Hu, Y.; Hu, F.B.; Manson, J.E. Marine Omega-3 Supplementation and Cardiovascular Disease: An Updated Meta-Analysis of 13 Randomized Controlled Trials Involving 127 477 Participants. J. Am. Heart Assoc. 2019, 8, e013543. [Google Scholar] [CrossRef] [PubMed]
- Appleton, K.M.; Rogers, P.J.; Ness, A.R. Updated Systematic Review and Meta-Analysis of the Effects of N-3 Long-Chain Polyunsaturated Fatty Acids on Depressed Mood. Am. J.Clin. Nutr. 2010, 91, 757–770. [Google Scholar] [CrossRef] [PubMed]
- Middleton, P.; Gomersall, J.C.; Gould, J.F.; Shepherd, E.; Olsen, S.F.; Makrides, M. Omega-3 Fatty Acid Addition During Pregnancy. Cochrane Database Syst. Rev. 2018, 11. [Google Scholar] [CrossRef] [PubMed]
- Sydenham, E.; Dangour Alan, D.; Lim, W.-S. Omega 3 Fatty Acid for the Prevention of Cognitive Decline and Dementia. Cochrane Database Syst. Rev. 2012, 6. [Google Scholar] [CrossRef]
- Stonehouse, W. Does Consumption of LC Omega-3 Pufa Enhance Cognitive Performance in Healthy School-Aged Children and Throughout Adulthood? Evidence From Clinical Trials. Nutrients 2014, 6, 2730–2758. [Google Scholar] [CrossRef]
- Agostoni, C.; Nobile, M.; Ciappolino, V.; Delvecchio, G.; Tesei, A.; Turolo, S.; Crippa, A.; Mazzocchi, A.; Altamura, C.A.; Brambilla, P. The Role of Omega-3 Fatty Acids in Developmental Psychopathology: A Systematic Review on Early Psychosis, Autism, and ADHD. Int. J. Mol. Sci. 2017, 18, 2608. [Google Scholar] [CrossRef]
- Parletta, N.; Milte, C.M.; Meyer, B.J. Nutritional Modulation of Cognitive Function and Mental Health. J. Nutr. Biochem. 2013, 24, 725–743. [Google Scholar] [CrossRef]
- Bazinet, R.P.; Layé, S. Polyunsaturated Fatty Acids and Their Metabolites in Brain Function and Disease. Nat. Rev. Neurosci. 2014, 15, 771–785. [Google Scholar] [CrossRef]
- Dyall, S.C. Long-Chain Omega-3 Fatty Acids and the Brain: A Review of the Independent and Shared Effects of EPA, DPA and DHA. Front. Aging Neurosci. 2015, 7, 15. [Google Scholar] [CrossRef]
- Kuratko, C.N.; Barrett, E.C.; Nelson, E.B.; Salem, N. The Relationship of Docosahexaenoic Acid (DHA) with Learning and Behavior in Healthy Children: A review. Nutrients 2013, 5, 2777–2810. [Google Scholar] [CrossRef]
- Taylor, R.; Connock, M. Effects of Oily Fish/Omega-3 Fatty Acids on Behavioural, Cogitative and Educational Outcomes of Normal School Children: A Systematic Review. Dep. Public Health Epidemiol. Rep. 2007, 58. [Google Scholar]
- Frensham, L.J.; Bryan, J.; Parletta, N. Influences of Micronutrient and Omega-3 Fatty Acid Supplementation on Cognition, Learning, and Behavior: Methodological Considerations and Implications for Children and Adolescents in Developed Societies. Nutr. Rev. 2012, 70, 594–610. [Google Scholar] [CrossRef] [PubMed]
- Ryan, A.S.; Astwood, J.D.; Gautier, S.; Kuratko, C.N.; Nelson, E.B.; Salem, N., Jr. Effects of Long-Chain Polyunsaturated Fatty Acid Supplementation on Neurodevelopment in Childhood: A Review of Human Studies. Prostaglandins Leukot. Essent. Fat. Acids 2010, 82, 305–314. [Google Scholar] [CrossRef] [PubMed]
- McCann, J.; Ames, B.N. Is Docosahexaenoic Acid, an N-3 Long-Chain Polyunsaturated Fatty Acid, Required for Development of Normal Brain Function? an Overview of Evidence From Cognitive and Behavioral Tests in Humans and Animals. Am. J. Clin. Nutr. 2005, 82, 281–295. [Google Scholar] [CrossRef] [PubMed]
- Eilander, A.; Hundscheid, D.C.; Osendarp, S.J.; Transler, C.; Zock, P.L. Effects of N-3 Long Chain Polyunsaturated Fatty Acid Supplementation on Visual and Cognitive Development Throughout Childhood: A Review of Human Studies. Prostaglandins Leukot. Essent. Fat. Acids 2007, 76, 189–203. [Google Scholar] [CrossRef] [PubMed]
- Karr, J.E.; Alexander, J.E.; Winningham, R.G. Omega-3 Polyunsaturated Fatty Acids and Cognition Throughout the Lifespan: A Review. Nutr. Neurosci. 2011, 14, 216–225. [Google Scholar] [CrossRef]
- Cooper, R.E.; Tye, C.; Kuntsi, J.; Vassos, E.; Asherson, P. Omega-3 Polyunsaturated Fatty Acid Supplementation and Cognition: A Systematic Review and Meta-Analysis. J. Psychopharmacol. 2015, 29, 753–763. [Google Scholar] [CrossRef]
- Jiao, J.; Li, Q.; Chu, J.; Zeng, W.; Yang, M.; Zhu, S. Effect of N- 3 Pufa Supplementation on Cognitive Function Throughout the Life Span From Infancy to Old Age: A Systematic Review and Meta-Analysis of Randomized Controlled Trials. Am. J. Clin. Nutr. 2014, 100, 1422–1436. [Google Scholar] [CrossRef]
- Kirby, A.; Woodward, A.; Jackson, S. Benefits of Omega-3 Supplementation for Schoolchildren: Review of the Current Evidence. Br. Educ. Res. J. 2010, 36, 699–732. [Google Scholar] [CrossRef]
- Meyer, B.J.; De Groot, R.H. Effects of Omega-3 Long Chain Polyunsaturated Fatty Acid Supplementation on Cardiovascular Mortality: The Importance of the Dose of DHA. Nutrients 2017, 9, 1305. [Google Scholar] [CrossRef]
- Harris, W.S.; Von Schacky, C. The Omega-3 Index: A New Risk Factor for Death From Coronary Heart Disease? Prev. Med. 2004, 39, 212–220. [Google Scholar] [CrossRef] [PubMed]
- Milte, C.M.; Sinn, N.; Howe, P.R.C. Polyunsaturated Fatty Acid Status in Attention Deficit Hyperactivity Disorder, Depression, and Alzheimer’s Disease: Towards an Omega-3 Index for Mental Health? Nutr. Rev. 2009, 67, 573–590. [Google Scholar] [CrossRef] [PubMed]
- Emery, S.; Häberling, I.; Berger, G.; Walitza, S.; Schmeck, K.; Albert, T.; Baumgartner, N.; Strumberger, M.; Albermann, M.; Drechsler, R. Omega-3 And Its Domain-Specific Effects on Cognitive Test Performance in Youths: A Meta-Analysis. Neurosci. Biobehav. Rev. 2020. [Google Scholar] [CrossRef] [PubMed]
- Griffith, L.; van den Heuvel, E.; Fortier, I.; Hofer, S.; Raina, P.; Sohel, N.; Payette, H.; Wolfson, C.; Belleville, S. Harmonization of Cognitive Measures in Individual Participant Data and Aggregate Data Meta-Analysis; Agency for Healthcare Research and Quality: Washington, DC, USA, 2013. [Google Scholar]
- Gogtay, N.; Giedd, J.N.; Lusk, L.; Hayashi, K.M.; Greenstein, D.; Vaituzis, A.C.; Nugent, T.F.; Herman, D.H.; Clasen, L.S.; Toga, A.W.; et al. Dynamic Mapping of Human Cortical Development During Childhood Through Early Adulthood. Proc. Natl. Acad. Sci. USA 2004, 101, 8174–8179. [Google Scholar] [CrossRef]
- Moher, D.; Liberati, A.; Tetzlaff, J.; Altman, D.G. Preferred Reporting Items for Systematic Reviews and Meta Analyses: The Prisma Statement. PLoS Med. 2009, 6, 1–15. [Google Scholar] [CrossRef]
- Antypa, N.; Van der Does, A.; Smelt, A.; Rogers, R. Omega-3 Fatty Acids (Fish-Oil) and Depression-Related Cognition in Healthy Volunteers. J. Psychopharmacol. 2009, 23, 831–840. [Google Scholar] [CrossRef]
- Baumgartner, J.; Smuts, C.M.; Malan, L.; Kvalsvig, J.; van Stuijvenberg, M.E.; Hurrell, R.F.; Zimmermann, M.B. Effects of Iron and N-3 Fatty Acid Supplementation, Alone and in Combination, on Cognition in School Children: A Randomized, Double-Blind, Placebo-Controlled Intervention in South Africa. Am. J. Clin. Nutr. 2012, 96, 1327–1338. [Google Scholar] [CrossRef]
- Benton, D.; Donohoe, R.; Clayton, D.; Long, S. Supplementation with DHA and the Psychological Functioning of Young Adults. Br. J. Nutr. 2013, 109, 155–161. [Google Scholar] [CrossRef]
- Dalton, A.; Wolmarans, P.; Witthuhn, R.C.; van Stuijvenberg, M.E.; Swanevelder, S.A.; Smuts, C.M. A Randomised Control Trial in Schoolchildren Showed Improvement in Cognitive Function After Consuming a Bread Spread, Containing Fish Flour From a Marine Source. Prostaglandins Leukot. Essent. Fatty Acids 2009, 80, 143–149. [Google Scholar] [CrossRef]
- Guzmán, J.F.; Esteve, H.; Pablos, C.; Pablos, A.; Blasco, C.; Villegas, J.A. Dha-Rich Fish Oil Improves Complex Reaction Time in Female Elite Soccer Players. J. Sports Sci. Med. 2011, 10, 301. [Google Scholar]
- Hamazaki, T.; Sawazaki, S.; Itomura, M.; Asaoka, E.; Nagao, Y.; Nishimura, N.; Yazawa, K.; Kuwamori, T.; Kobayashi, M. The Effect of Docosahexaenoic Acid on Aggression in Young Adults. a Placebo-Controlled Double-Blind Study. J. Clin. Investig. 1996, 97, 1129–1133. [Google Scholar] [CrossRef] [PubMed]
- Jackson, P.A.; Deary, M.E.; Reay, J.L.; Scholey, A.B.; Kennedy, D.O. No Effect of 12 Weeks’ Supplementation with 1 G DHA-Rich or EPA-Rich Fish Oil on Cognitive Function or Mood in Healthy Young Adults Aged 18–35 Years. Br. J. Nutr. 2012, 107, 1232–1243. [Google Scholar] [CrossRef] [PubMed]
- Jackson, P.A.; Reay, J.L.; Scholey, A.B.; Kennedy, D.O. Docosahexaenoic Acid-Rich Fish Oil Modulates the Cerebral Hemodynamic Response to Cognitive Tasks in Healthy Young Adults. Biol. Psychol. 2012, 89, 183–190. [Google Scholar] [CrossRef] [PubMed]
- Karr, J.E.; Grindstaff, T.R.; Alexander, J.E. Omega-3 Polyunsaturated Fatty Acids and Cognition in a College-Aged Population. Exp. Clin. Psychopharmacol. 2012, 20, 236–242. [Google Scholar] [CrossRef]
- Kennedy, D.O.; Jackson, P.A.; Elliott, J.M.; Scholey, A.B.; Robertson, B.C.; Greer, J.; Tiplady, B.; Buchanan, T.; Haskell, C.F. Cognitive and Mood Effects of 8 Weeks’ Supplementation with 400 mg or 1000 mg of the Omega-3 Essential Fatty Acid Docosahexaenoic Acid (DHA) in Healthy Children Aged 10-12 Years. Nutr. Neurosci. 2009, 12, 48–56. [Google Scholar] [CrossRef] [PubMed]
- Kirby, A.; Woodward, A.; Jackson, S.; Wang, Y.; Crawford, M.A. A Double-Blind, Placebo-Controlled Study Investigating the Effects of Omega-3 Supplementation in Children Aged 8-10 Years From a Mainstream School Population. Res. Dev. Disabil. 2010, 31, 718–730. [Google Scholar] [CrossRef]
- Long, S.J.; Benton, D. A Double-Blind Trial of the Effect of Docosahexaenoic Acid and Vitamin and Mineral Supplementation on Aggression, Impulsivity, and Stress. Hum. Psychopharmacol. Clin. Exp. 2013, 28, 238–247. [Google Scholar] [CrossRef]
- McNamara, R.K.; Able, J.; Jandacek, R.; Rider, T.; Tso, P.; Eliassen, J.C.; Alfieri, D.; Weber, W.; Jarvis, K.; DelBello, M.P.; et al. Docosahexaenoic Acid Supplementation Increases Prefrontal Cortex Activation During Sustained Attention in Healthy Boys: A Placebo-Controlled, Dose-Ranging, Functional Magnetic Resonance Imaging Study. Am. J. Clin. Nutr. 2010, 91, 1060–1067. [Google Scholar] [CrossRef]
- Montgomery, P.; Spreckelsen, T.F.; Burton, A.; Burton, J.R.; Richardson, A.J. Docosahexaenoic Acid for Reading, Working Memory and Behavior in UK Children Aged 7-9: A Randomized Controlled Trial for Replication (the Dolab II Study). PLoS ONE 2018, 13, e0192909. [Google Scholar] [CrossRef]
- Muthayya, S.; Eilander, A.; Transler, C.; Thomas, T.; van der Knaap, H.C.; Srinivasan, K.; van Klinken, B.J.; Osendarp, S.J.; Kurpad, A.V. Effect of Fortification With Multiple Micronutrients and N-3 Fatty Acids on Growth and Cognitive Performance in Indian Schoolchildren: The Champion (Children’s Health and Mental Performance Influenced by Optimal Nutrition) Study. Am. J. Clin. Nutr. 2009, 89, 1766–1775. [Google Scholar] [CrossRef]
- Osendarp, S.J.; Baghurst, K.I.; Bryan, J.; Calvaresi, E.; Hughes, D.; Hussaini, M.; Karyadi, S.J.; van Klinken, B.J.; van der Knaap, H.C.; Lukito, W.; et al. Effect of a 12-MO Micronutrient Intervention on Learning and Memory in Well-Nourished and Marginally Nourished School-Aged Children: 2 Parallel, Randomized, Placebo-Controlled Studies in Australia and Indonesia. Am. J. Clin. Nutr. 2007, 86, 1082–1093. [Google Scholar] [PubMed]
- Parletta, N.; Cooper, P.; Gent, D.N.; Petkov, J.; O’Dea, K. Effects of Fish Oil Supplementation on Learning and Behaviour of Children From Australian Indigenous Remote Community Schools: A Randomised Controlled Trial. Prostaglandins Leukot. Essent. Fatty Acids 2013, 89, 71–79. [Google Scholar] [CrossRef] [PubMed]
- Portillo-Reyes, V.; Perez-Garcia, M.; Loya-Mendez, Y.; Puente, A.E. Clinical Significance of Neuropsychological Improvement After Supplementation With Omega-3 in 8-12 Years Old Malnourished Mexican Children: A Randomized, Double-Blind, Placebo and Treatment Clinical Trial. Res. Dev. Disabil. 2014, 35, 861–870. [Google Scholar] [CrossRef] [PubMed]
- Richardson, A.J.; Burton, J.R.; Sewell, R.P.; Spreckelsen, T.F.; Montgomery, P. Docosahexaenoic Acid for Reading, Cognition and Behavior in Children Aged 7-9 Years: A Randomized, Controlled Trial (the Dolab Study). PLoS ONE 2012, 7, e43909. [Google Scholar] [CrossRef]
- Ryan, A.S.; Nelson, E.B. Assessing the Effect of Docosahexaenoic Acid on Cognitive Functions in Healthy, Preschool Children: A Randomized, Placebo-Controlled, Double-Blind Study. Clin. Pediatrics 2008, 47, 355–362. [Google Scholar] [CrossRef]
- van der Wurff, I.S.; von Schacky, C.; Bergeland, T.; Leontjevas, R.; Zeegers, M.P.; Jolles, J.; Kirschner, P.A.; de Groot, R.H. Effect of 1 Year Krill Oil Supplementation on Cognitive Achievement of Dutch Adolescents: A Double-Blind Randomized Controlled Trial. Nutrients 2019, 11, 1230. [Google Scholar] [CrossRef]
- Bos, D.J.; Oranje, B.; Veerhoek, E.S.; Van Diepen, R.M.; Weusten, J.M.; Demmelmair, H.; Koletzko, B.; de Sain-van der Velden, M.G.; Eilander, A.; Hoeksma, M.; et al. Reduced Symptoms of Inattention After Dietary Omega-3 Fatty Acid Supplementation in Boys with and without Attention Deficit/Hyperactivity Disorder. Neuropsychopharmacology 2015, 40, 2298–2306. [Google Scholar] [CrossRef]
- Cornu, C.; Mercier, C.; Ginhoux, T.; Masson, S.; Mouchet, J.; Nony, P.; Kassai, B.; Laudy, V.; Berquin, P.; Franc, N. A Double-Blind Placebo-Controlled Randomised Trial of Omega-3 Supplementation in Children with Moderate ADHD Symptoms. Eur. Child Adolesc. Psychiatry 2018, 27, 377–384. [Google Scholar] [CrossRef]
- Crippa, A.; Tesei, A.; Sangiorgio, F.; Salandi, A.; Trabattoni, S.; Grazioli, S.; Agostoni, C.; Molteni, M.; Nobile, M. Behavioral and Cognitive Effects of Docosahexaenoic Acid in Drug-Naive Children with Attention-Deficit/Hyperactivity Disorder: A Randomized, Placebo-Controlled Clinical Trial. Eur. Child Adolesc. Psychiatry 2019, 28, 571–583. [Google Scholar] [CrossRef]
- Demmelmair, H.; MacDonald, A.; Kotzaeridou, U.; Burgard, P.; Gonzalez-Lamuno, D.; Verduci, E.; Ersoy, M.; Gokcay, G.; Alyanak, B.; Reischl, E.; et al. Determinants of Plasma Docosahexaenoic Acid Levels and Their Relationship to Neurological and Cognitive Functions in Pku Patients: A Double Blind Randomized Supplementation Study. Nutrients 2018, 10, 1944. [Google Scholar] [CrossRef]
- Hirayama, S.; Hamazaki, T.; Terasawa, K. Effect of Docosahexaenoic Acid-Containing Food Administration on Symptoms of Attention-Deficit/Hyperactivity Disorder—A Placebo-Controlled Double-Blind Study. Eur. J. Clin. Nutr. 2004, 58, 467. [Google Scholar] [CrossRef] [PubMed]
- Kean, J.D.; Sarris, J.; Scholey, A.; Silberstein, R.; Downey, L.A.; Stough, C. Reduced Inattention and Hyperactivity and Improved Cognition After Marine Oil Extract (Pcso-524a (R)) Supplementation in Children and Adolescents With Clinical and Subclinical Symptoms of Attention-Deficit Hyperactivity Disorder (ADHD): A Randomised, Double-Blind, Placebo-Controlled Trial. Psychopharmacology 2017, 234, 403–420. [Google Scholar] [PubMed]
- Rodriguez, C.; Garcia, T.; Areces, D.; Fernandez, E.; Garcia-Noriega, M.; Domingo, J.C. Supplementation with High-Content Docosahexaenoic Acid Triglyceride in Attention-Deficit Hyperactivity Disorder: A Randomized Double-Blind Placebo-Controlled Trial. Neuropsychiatr. Dis. Treat. 2019, 15, 1193–1209. [Google Scholar] [CrossRef] [PubMed]
- Sinn, N.; Bryan, J.; Wilson, C. Cognitive Effects of Polyunsaturated Fatty Acids in Children With Attention Deficit Hyperactivity Disorder Symptoms: A Randomised Controlled Trial. Prostaglandins Leukot. Essent. Fatty Acids 2008, 78, 311–326. [Google Scholar] [CrossRef] [PubMed]
- Stevens, L.; Zhang, W.; Peck, L.; Kuczek, T.; Grevstad, N.; Mahon, A.; Zentall, S.S.; Eugene Arnold, L.; Burgess, J.R. EFA Supplementation in Children with Inattention, Hyperactivity, and Other Disruptive Behaviors. Lipids 2003, 38, 1007–1021. [Google Scholar] [CrossRef] [PubMed]
- Vaisman, N.; Kaysar, N.; Zaruk-Adasha, Y.; Pelled, D.; Brichon, G.; Zwingelstein, G.; Bodennec, J. Correlation Between Changes in Blood Fatty Acid Composition and Visual Sustained Attention Performance in Children with Inattention: Effect of Dietary N−3 Fatty Acids Containing Phospholipids. Am. J. Clin. Nutr. 2008, 87, 1170–1180. [Google Scholar] [CrossRef] [PubMed]
- Voigt, R.G.; Llorente, A.M.; Jensen, C.L.; Fraley, J.K.; Berretta, M.C.; Heird, W.C. A Randomized, Double-Blind, Placebo-Controlled Trial of Docosahexaenoic Acid Supplementation in Children with Attention-Deficit/Hyperactivity Disorder. J. Pediatrics 2001, 139, 189–196. [Google Scholar] [CrossRef]
- Widenhorn-Muller, K.; Schwanda, S.; Scholz, E.; Spitzer, M.; Bode, H. Effect of Supplementation With Long-Chain Omega-3 Polyunsaturated Fatty Acids on Behavior and Cognition in Children with Attention Deficit/Hyperactivity Disorder (ADHD): A Randomized Placebo-Controlled Intervention Trial. Prostaglandins Leukot. Essent. Fatty Acids 2014, 91, 49–60. [Google Scholar] [CrossRef]
- Stark, K.D.; Aristizabal Henao, J.J.; Metherel, A.H.; Pilote, L. Translating Plasma and Whole Blood Fatty Acid Compositional Data Into the Sum of Eicosapentaenoic and Docosahexaenoic Acid in Erythrocytes. Prostaglandins Leukot. Essent. Fatty Acids 2016, 104, 1–10. [Google Scholar] [CrossRef]
- Jáuregui-Lobera, I. Iron Deficiency and Cognitive Functions. Neuropsychiatr. Dis. Treat. 2014, 10, 2087. [Google Scholar] [CrossRef]
- Grantham-McGregor, S.; Ani, C. A Review of Studies on the Effect of Iron Deficiency on Cognitive Development in Children. J. Nutr. 2001, 131, 649S–668S. [Google Scholar] [CrossRef] [PubMed]
- Grantham-McGregor, S.; Baker-Henningham, H. Review of the Evidence Linking Protein and Energy to Mental Development. Public Health Nutr. 2005, 8, 1191–1201. [Google Scholar] [CrossRef] [PubMed]
- von Schacky, C. Omega-3 Fatty Acids in Cardiovascular Disease–An Uphill Battle. Prostaglandins Leukot. Essent. Fatty Acids 2015, 92, 41–47. [Google Scholar] [CrossRef] [PubMed]
- Van Der Burg, K.P.; Cribb, L.; Firth, J.; Karmacoska, D.; Sarris, J. Nutrient and Genetic Biomarkers of Nutraceutical Treatment Response in Mood and Psychotic Disorders: A Systematic Review. Nutr. Neurosci. 2019, 1–17. [Google Scholar] [CrossRef]
- Carney, R.M.; Steinmeyer, B.C.; Freedland, K.E.; Rubin, E.H.; Rich, M.W.; Harris, W.S. Baseline Blood Levels of Omega-3 and Depression Remission: A Secondary Analysis of Data From a Placebo-Controlled Trial of Omega-3 Supplements. J. Clin. Psychiatry 2016, 77, e138. [Google Scholar] [CrossRef]
- de Groot, R.H.; Meyer, B.J. Issfal Official Statement Number 6: The Importance of Measuring Blood Omega-3 Long Chain Polyunsaturated Fatty Acid Levels in Research. Prostaglandins Leukot. Essent. Fatty Acids 2019, 157, 102029. [Google Scholar] [CrossRef]
- de Groot, R.H.; Emmett, R.; Meyer, B.J. Non-Dietary Factors Associated with N-3 Long-Chain Pufa Levels in Humans–a Systematic Literature Review. Br. J. Nutr. 2019, 121, 793–808. [Google Scholar] [CrossRef]
- Umhau, J.C.; Zhou, W.; Carson, R.E.; Rapoport, S.I.; Polozova, A.; Demar, J.; Hussein, N.; Bhattacharjee, A.K.; Ma, K.; Esposito, G.; et al. Imaging Incorporation of Circulating Docosahexaenoic Acid Into the Human Brain Using Positron Emission Tomography. J. Lipid Res. 2009, 50, 1259–1268. [Google Scholar] [CrossRef]
- Willcutt, E.G.; Doyle, A.E.; Nigg, J.T.; Faraone, S.V.; Pennington, B.F. Validity of the Executive Function Theory of Attention-Deficit/Hyperactivity Disorder: A Meta-Analytic Review. Biol. Psychiatry 2005, 57, 1336–1346. [Google Scholar] [CrossRef]
- Stevens, L.J.; Zentall, S.S.; Deck, J.L.; Abate, M.L.; Watkins, B.A.; Lipp, S.R.; Burgess, J.R. Essential Fatty Acid Metabolism in Boys with Attention-Deficit Hyperactivity Disorder. Am. J. Clin. Nutr. 1995, 62, 761–768. [Google Scholar] [CrossRef]
- Anand, D.; Colpo, G.D.; Zeni, G.; Zeni, C.P.; Teixeira, A.L. Attention-Deficit/Hyperactivity Disorder and Inflammation: What Does Current Knowledge Tell Us? A Systematic Review. Front. Psychiatry 2017, 8, 7. [Google Scholar] [CrossRef] [PubMed]
- Létondor, A.; Buaud, B.; Vaysse, C.; Fonseca, L.; Herrouin, C.; Servat, B.; Layé, S.; Pallet, V.; Alfos, S. Erythrocyte DHA Level as a Biomarker of Dha Status in Specific Brain Regions of N-3 Long-Chain Pufa-Supplemented Aged Rats. Br. J. Nutr. 2014, 112, 1805–1818. [Google Scholar] [CrossRef] [PubMed][Green Version]
- Sarkadi-Nagy, E.; Wijendran, V.; Diau, G.Y.; Chao, A.C.; Hsieh, A.T.; Turpeinen, A.; Lawrence, P.; Nathanielsz, P.W.; Brenna, J.T. Formula Feeding Potentiates Docosahexaenoic and Arachidonic Acid Biosynthesis in Term and Preterm Baboon Neonates. J. Lipid Res. 2004, 45, 71–80. [Google Scholar] [CrossRef]
- Sugasini, D.; Yalagala, P.C.; Subbaiah, P.V. Plasma BDNF Is a More Reliable Biomarker Than Erythrocyte Omega-3 Index for the Omega-3 Fatty Acid Enrichment of Brain. Sci. Rep. 2020, 10, 1–10. [Google Scholar] [CrossRef] [PubMed]
© 2020 by the authors. Licensee MDPI, Basel, Switzerland. This article is an open access article distributed under the terms and conditions of the Creative Commons Attribution (CC BY) license (http://creativecommons.org/licenses/by/4.0/).



