Sensory Acceptance, Appetite Control and Gastrointestinal Tolerance of Yogurts Containing Coffee-Cascara Extract and Inulin
Abstract
1. Introduction
2. Materials and Methods
2.1. Test Foods
2.2. Physicochemical Characterization of Test Yogurts: pH, Titratable Acidity, Texture, and Syneresis Analyses
2.3. Nutritional Study
2.3.1. Participants and Ethical Aspects
2.3.2. Study Design and Protocol
2.3.3. Sensory Analysis
2.3.4. Appetite Ratings
2.3.5. Gastrointestinal Wellbeing Measurements
2.4. Statistical Analysis
3. Results
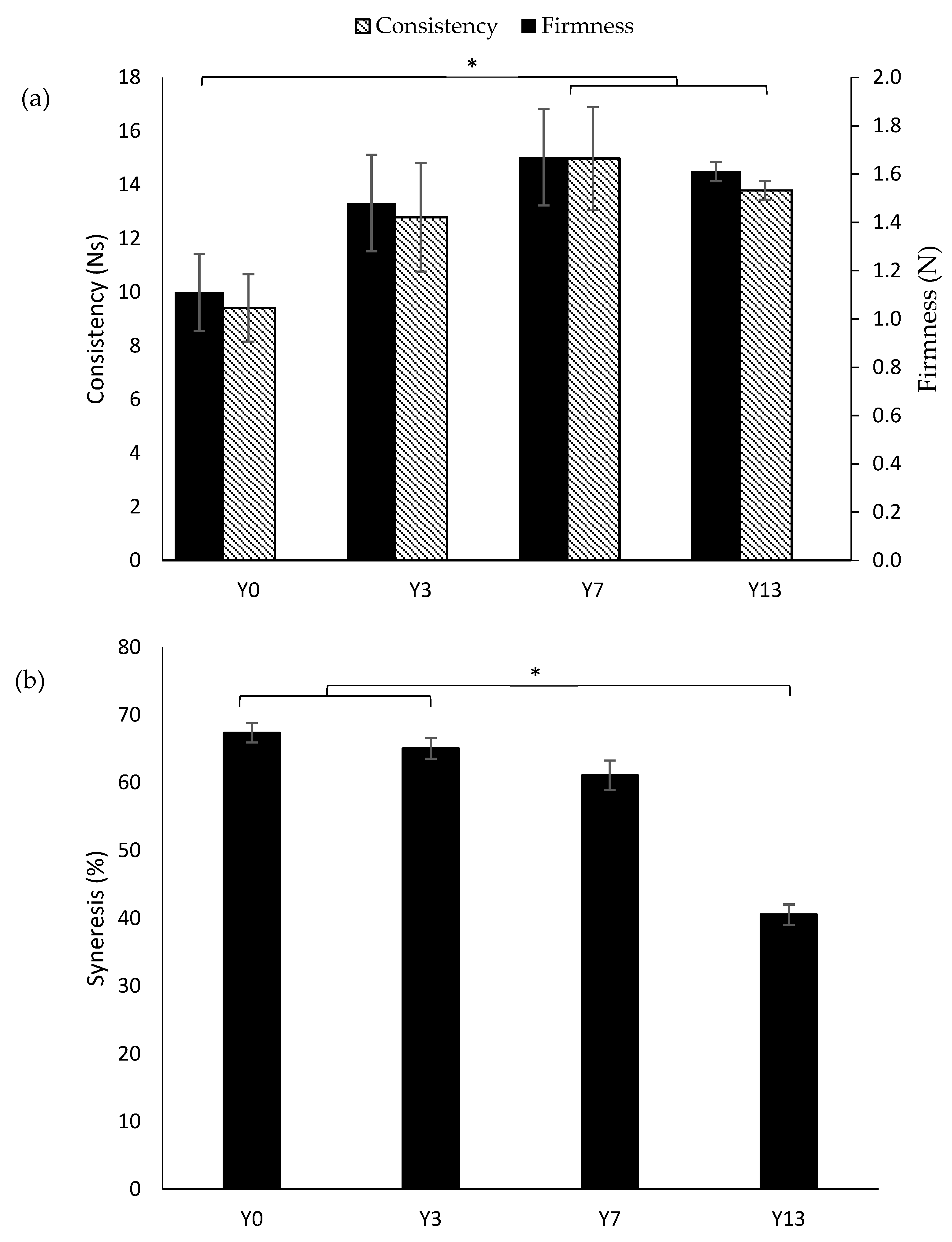
3.1. Physicochemical Characterization of Yogurts
3.2. Sensory Quality and Gastrointestinal Effects of Yogurt Intake
3.2.1. Sensory Quality
3.2.2. Appetite Ratings
3.2.3. Gastrointestinal Tolerance
4. Discussion
5. Conclusions
Supplementary Materials
Author Contributions
Funding
Acknowledgments
Conflicts of Interest
References
- World Health Organization Noncommunicable Diseases. Available online: https://www.who.int/news-room/fact-sheets/detail/noncommunicable-diseases (accessed on 14 March 2019).
- AECOSAN. Collaboration Plan for the Improvement of the Composition of Food and Beverages and other Measures 2017–2020. 2017. Available online: http://www.aecosan.msssi.gob.es/AECOSAN/docs/documentos/nutricion/Plan_Colaboracion_INGLES.pdf (accessed on 14 March 2019).
- Tedstone, A.; Coulton, V.; Targett, V.; Bennett, A.; Sweeney, K.M.; Clegg, E.; Robinson, M.; Dowd, L.; Knowles, B.; Owtram, G.; et al. Sugar Reduction and Wider Reformulation Programme: Report on Progress Towards the First 5% Reduction and Next Steps; PHE publications: London, UK, 2018; Volume 4. [Google Scholar] [CrossRef]
- Granato, D.; Nunes, D.S.; Barba, F.J. An integrated strategy between food chemistry, biology, nutrition, pharmacology, and statistics in the development of functional foods: A proposal. Trends Food Sci. Technol. 2017, 62, 13–22. [Google Scholar] [CrossRef]
- Ruijschop, R.; Burseg, K.M.M.; Lambers, T.T.; Overduin, J. Designing foods to induce satiation: A flavour perspective. In Designing Functional Foods: Measuring and Controlling Food Structure Breakdown and Nutrient Absorption; Woodhead Publishing: Cambridge, UK, 2009; Volume 177, pp. 623–646. ISBN 978-1-84569-432-6. [Google Scholar]
- del Castillo, M.D.; Iriondo-DeHond, A.; Fernandez-Gomez, B.; Martinez-Saez, N.; Iriondo-DeHond, M.; Zhou, J.-R. Applications of recovered compounds in food products. In Handbook of Coffee Processing By-Products: Sustainable Applications; Galanakis, C., Ed.; Academic Press: Cambridge, MA, USA; Elsevier: Amsterdam, The Netherlands, 2017; ISBN 9780128112908. [Google Scholar]
- Iriondo-DeHond, A.; Aparicio García, N.; Velazquez Escobar, F.; San Andres, M.I.; Sanchez-Fortun, S.; Blanch, G.P.; Fernandez-Gomez, B.; Guisantes Batan, E.; del Castillo, M.D. Validation of coffee by-products as novel food ingredients. Innov. Food Sci. Emerg. Technol. 2019, 51, 194–204. [Google Scholar] [CrossRef]
- Iriondo-De Hond, M.; Martín, A.; Miguel, E.; del Castillo, M.D. Application of coffee and wine byproduct extracts as novel ingredients in sustainable functional yogurts. In Proceedings of the 5th International ISEKI Food Conference, Stuttgart, Germany, 3–5 July 2018. [Google Scholar]
- Hao, L.; Schlussel, Y.; Fieselmann, K.; Schneider, S.H.; Shapses, S.A. Appetite and gut hormones response to a putative α-glucosidase inhibitor, Salacia Chinensis, in overweight/obese adults: A double blind randomized controlled trial. Nutrients 2017, 9, 869. [Google Scholar] [CrossRef] [PubMed]
- Sleeth, M.L.; Thompson, E.L.; Ford, H.E.; Zac-Varghese, S.E.K.; Frost, G. Free fatty acid receptor 2 and nutrient sensing: A proposed role for fibre, fermentable carbohydrates and short-chain fatty acids in appetite regulation. Nutr. Res. Rev. 2010, 23, 135–145. [Google Scholar] [CrossRef] [PubMed]
- Singh, A.; Zapata, R.C.; Pezeshki, A.; Reidelberger, R.D.; Chelikani, P.K. Inulin fiber dose-dependently modulates energy balance, glucose tolerance, gut microbiota, hormones and diet preference in high-fat-fed male rats. J. Nutr. Biochem. 2018, 59, 142–152. [Google Scholar] [CrossRef] [PubMed]
- Van der Beek, C.M.; Canfora, E.E.; Kip, A.M.; Gorissen, S.H.M.; Olde, S.W.M.; van Eijk, H.M.; Holst, J.J.; Blaak, E.E.; Dejong, C.H.C.; Lenaerts, K. The prebiotic inulin improves substrate metabolism and promotes short- chain fatty acid production in overweight to obese men. Metabolism 2018, 87, 25–35. [Google Scholar] [CrossRef]
- Meyer, D.; Bayarri, S.; Tárrega, A.; Costell, E. Inulin as texture modifier in dairy products. Food Hydrocoll. 2011, 25, 1881–1890. [Google Scholar] [CrossRef]
- Pimentel, T.C.; Cruz, A.G.; Prudencio, S.H. Short communication: Influence of long-chain inulin and Lactobacillus paracasei subspecies paracasei on the sensory profile and acceptance of a traditional yogurt. J. Dairy Sci. 2013, 96, 6233–6241. [Google Scholar] [CrossRef]
- European Food Safety Authority (EFSA). Scientific Opinion on Dietary Reference Values for carbohydrates and dietary fibre. EFSA J. 2010, 8, 1462. [Google Scholar] [CrossRef]
- European Parliament and Council. Regulation (EC) No 1924/2006 on Nutrition and Health Claims Made on Foods. Off. J. Eur. Union 2006, 49, 9–25. [Google Scholar]
- Marteau, P.; Flourie, B. Tolerance to low-digestible carbohydrates: Symptomatology and methods. Br. J. Nutr. 2001, 85, 17–21. [Google Scholar] [CrossRef] [PubMed]
- del Castillo, M.D.; Ibañez, M.E.; Amigo, M.; Herrero, M.; Plaza del Moral, M.; Ullate, M. Application of Products of Coffee Silverskin in Anti-Ageing Cosmetics and Functional Food. WO 2013/004873, 10 January 2013. [Google Scholar]
- Berthelot, K.; Delmotte, F.M. Purification and characterization of an alpha-glucosidase from Rhizobium sp. (Robinia pseudoacacia L.) strain USDA 4280. Appl. Environ. Microbiol. 1999, 65, 2907–2911. [Google Scholar] [CrossRef] [PubMed]
- Geddes, R.; Taylor, J.A. Lysosomal glycogen storage induced by Acarbose, a 1,4-alpha-glucosidase inhibitor. Biochem. J. 1985, 228, 319–324. [Google Scholar] [CrossRef] [PubMed]
- Martinez-Saez, N.; Hochkogler, C.; Somoza, V.; del Castillo, M. Biscuits with No Added Sugar Containing Stevia, Coffee Fibre and Fructooligosaccharides Modifies α-Glucosidase Activity and the Release of GLP-1 from HuTu-80 Cells and Serotonin from Caco-2 Cells after In Vitro Digestion. Nutrients 2017, 9, 694. [Google Scholar] [CrossRef]
- Karnopp, A.R.; Oliveira, K.G.; de Andrade, E.F.; Postingher, B.M.; Granato, D. Optimization of an organic yogurt based on sensorial, nutritional, and functional perspectives. Food Chem. 2017, 233, 401–411. [Google Scholar] [CrossRef]
- Koutsou, G.A.; Storey, D.M.; Bär, A. Gastrointestinal tolerance of γ-cyclodextrin in humans. Food Addit. Contam. 1999, 16, 313–317. [Google Scholar] [CrossRef]
- Guggisberg, D.; Cuthbert-Steven, J.; Piccinali, P.; Bütikofer, U.; Eberhard, P. Rheological, microstructural and sensory characterization of low-fat and whole milk set yoghurt as influenced by inulin addition. Int. Dairy J. 2009, 19, 107–115. [Google Scholar] [CrossRef]
- Lucey, J.A.; Teo, C.T.; Munro, P.A.; Singh, H. Microstructure, permeability and appearance of acid gels made from heated skim milk. Food Hydrocoll. 1998, 12, 159–165. [Google Scholar] [CrossRef]
- Perrigue, M.M.; Monsivais, P.; Drewnowski, A. Added Soluble Fiber Enhances the Satiating Power of Low-Energy-Density Liquid Yogurts. J. Am. Diet. Assoc. 2009, 109, 1862–1868. [Google Scholar] [CrossRef]
- Tulk, H.M.F.; Blonski, D.C.; Murch, L.A.; Duncan, A.M.; Wright, A.J. Daily consumption of a synbiotic yogurt decreases energy intake but does not improve gastrointestinal transit time: A double-blind, randomized, crossover study in healthy adults. Nutr. J. 2013, 12, 87. [Google Scholar] [CrossRef]
- Heap, S.; Ingram, J.; Law, M.; Tucker, A.J.; Wright, A.J. Eight-day consumption of inulin added to a yogurt breakfast lowers postprandial appetite ratings but not energy intakes in young healthy females: A randomised controlled trial. Br. J. Nutr. 2016, 115, 262–270. [Google Scholar] [CrossRef] [PubMed]
- Bonnema, A.L.; Kolberg, L.W.; Thomas, W.; Slavin, J.L. Gastrointestinal Tolerance of Chicory Inulin Products. J. Am. Diet. Assoc. 2010, 110, 865–868. [Google Scholar] [CrossRef] [PubMed]
- Grabitske, H.A.; Slavin, J.L. Gastrointestinal effects of low-digestible carbohydrates. Crit. Rev. Food Sci. Nutr. 2009, 49, 327–360. [Google Scholar] [CrossRef] [PubMed]
- Livesey, G. Tolerance of low-digestible carbohydrates: A general view. Br. J. Nutr. 2001, 85, S7–S16. [Google Scholar] [CrossRef]
- Singh, H.; Ye, A.; Ferrua, M.J. Aspects of food structures in the digestive tract. Curr. Opin. Food Sci. 2015, 3, 85–93. [Google Scholar] [CrossRef]
- Ripoll, C.; Flourie, B.; Sophie, M.; Olivier, H.; Janssens, M. Gastrointestinal tolerance to an inulin-rich soluble roasted chicory extract after consumption in healthy subjects. Nutrition 2010, 26, 799–803. [Google Scholar] [CrossRef]
- Housez, B.; Cazaubiel, M.; Vergara, C.; Bard, J.; Adam, A.; Einerhand, A.; Samuel, P. Evaluation of digestive tolerance of a soluble corn fibre. J. Hum. Nutr. Diet. 2012, 25, 488–496. [Google Scholar] [CrossRef]
- Bruhwyler, J.; Carreer, F.; Demanet, E.; Jacobs, H. Digestive tolerance of inulin-type fructans: A dose-ranging, randomized study in healthy volunteers. Int. J. Food Sci. Nutr. 2009, 60, 165–175. [Google Scholar] [CrossRef]



| Y0 | Y3 | Y7 | Y13 | |
|---|---|---|---|---|
| pH | 4.59 ± 0.16 a | 4.57 ± 0.14 a | 4.57 ± 0.14 a | 4.48 ± 0.05 a |
| Titratable acidity (g lactic acid/100g yogurt) | 0.69 ± 0.04 ab | 0.74 ± 0.02 b | 0.71 ± 0.03 ab | 0.64 ± 0.01a |
| Y0 | Y3 | Y7 | Y13 | |
|---|---|---|---|---|
| Overall liking | 5.47 ± 1.25 a | 5.82 ± 1.23 ab | 5.78 ± 1.39 ab | 6.44 ± 1.23 b |
| Smell | 6.42 ± 1.05 a | 6.4 ± 1.03 a | 6.6 ± 1.45 a | 6.467 ± 1.11 a |
| Appearance | 6.07 ± 1.21 a | 5.91 ± 1.35 a | 5.89 ± 1.51 a | 6.47 ± 1.39 a |
| Texture | 4.89 ± 1.60 a | 5.31 ± 1.44 a | 5.69 ± 1.65 a | 6.76 ± 1.41b |
| Taste | 5.2 ± 1.47 a | 5.38 ± 1.55 a | 5.71 ± 1.61 ab | 6.04 ± 1.69 b |
| Yogurt Formulation | ||||
|---|---|---|---|---|
| Y0 | Y3 | Y7 | Y13 | |
| Bloating | ||||
| No symptoms | 31 | 32 | 23 | 19 |
| More than usual | 13 | 11 | 13 | 16 |
| Much more than usual | 1 | 2 | 9 | 9 |
| Extremely more than usual | 0 | 0 | 0 | 1 |
| Significance | - | ns | * | ** |
| Individual score | 0.33 ± 0.52 | 0.33 ± 0.56 | 0.69 ± 0.79 | 0.82 ± 0.83 |
| Nausea | ||||
| No symptoms | 42 | 43 | 42 | 45 |
| More than usual | 2 | 2 | 3 | 0 |
| Much more than usual | 1 | 0 | 0 | 0 |
| Extremely more than usual | 0 | 0 | 0 | 0 |
| Significance | - | ns | ns | ns |
| Individual score | 0.09 ± 0.36 | 0.04 ± 0.21 | 0.07 ± 0.25 | 0.00 ± 0.00 |
| Flatulence | ||||
| No symptoms | 38 | 34 | 25 | 24 |
| More than usual | 7 | 9 | 14 | 14 |
| Much more than usual | 0 | 2 | 6 | 5 |
| Extremely more than usual | 0 | 0 | 0 | 2 |
| Significance | - | ns | ** | ** |
| Individual score | 0.16 ± 0.37 | 0.29 ± 0.55 | 0.58 ± 0.72 | 0.67 ± 0.85 |
| Abdominal pain | ||||
| No symptoms | 41 | 38 | 38 | 32 |
| More than usual | 4 | 6 | 6 | 11 |
| Much more than usual | 0 | 1 | 1 | 2 |
| Extremely more than usual | 0 | 0 | 0 | 0 |
| Significance | - | ns | ns | * |
| Individual score | 0.09 ± 0.29 | 0.18 ± 0.44 | 0.18 ± 0.44 | 0.33 ± 0.56 |
| Diarrhea | ||||
| No symptoms | 41 | 42 | 39 | 38 |
| More than usual | 4 | 3 | 4 | 6 |
| Much more than usual | 0 | 0 | 2 | 1 |
| Extremely more than usual | 0 | 0 | 0 | 0 |
| Significance | - | ns | ns | ns |
| Individual score | 0.09 ± 0.37 | 0.07 ± 0.25 | 0.18 ± 0.49 | 0.18 ± 0.44 |
| Constipation | ||||
| No symptoms | 40 | 42 | 42 | 41 |
| More than usual | 5 | 2 | 2 | 3 |
| Much more than usual | 0 | 1 | 1 | 1 |
| Extremely more than usual | 0 | 0 | 0 | 0 |
| Significance | - | ns | ns | ns |
| Individual score | 0.11 ± 0.32 | 0.09 ± 0.36 | 0.09 ± 0.36 | 0.11 ± 0.38 |
| GI rumbling | ||||
| No symptoms | 39 | 37 | 34 | 28 |
| More than usual | 6 | 8 | 9 | 11 |
| Much more than usual | 0 | 0 | 2 | 6 |
| Extremely more than usual | 0 | 0 | 0 | 0 |
| Significance | - | ns | ns | * |
| Individual score | 0.13 ± 0.34 | 0.18 ± 0.39 | 0.29 ± 0.55 | 0.51 ± 0.73 |
| Total score | 1.00 | 1.18 | 2.07 | 2.62 |
| Yogurt formulation | ||||
|---|---|---|---|---|
| Y0 | Y3 | Y7 | Y13 | |
| Stool frequency1 | 1.47 ± 0.79 | 1.36 ± 0.68 | 1.76 ± 1.07 | 1.51 ± 0.79 |
| Significance | - | ns | ns | ns |
| Stool consistency2 | ||||
| Constipation | 3 | 2 | 3 | 2 |
| Normal | 32 | 35 | 30 | 28 |
| Diarrhea | 7 | 4 | 10 | 14 |
| Significance | - | ns | ns | ns |
© 2020 by the authors. Licensee MDPI, Basel, Switzerland. This article is an open access article distributed under the terms and conditions of the Creative Commons Attribution (CC BY) license (http://creativecommons.org/licenses/by/4.0/).
Share and Cite
Iriondo-DeHond, M.; Iriondo-DeHond, A.; Herrera, T.; Fernández-Fernández, A.M.; Sorzano, C.O.S.; Miguel, E.; del Castillo, M.D. Sensory Acceptance, Appetite Control and Gastrointestinal Tolerance of Yogurts Containing Coffee-Cascara Extract and Inulin. Nutrients 2020, 12, 627. https://doi.org/10.3390/nu12030627
Iriondo-DeHond M, Iriondo-DeHond A, Herrera T, Fernández-Fernández AM, Sorzano COS, Miguel E, del Castillo MD. Sensory Acceptance, Appetite Control and Gastrointestinal Tolerance of Yogurts Containing Coffee-Cascara Extract and Inulin. Nutrients. 2020; 12(3):627. https://doi.org/10.3390/nu12030627
Chicago/Turabian StyleIriondo-DeHond, Maite, Amaia Iriondo-DeHond, Teresa Herrera, Adriana Maite Fernández-Fernández, Carlos Oscar S. Sorzano, Eugenio Miguel, and María Dolores del Castillo. 2020. "Sensory Acceptance, Appetite Control and Gastrointestinal Tolerance of Yogurts Containing Coffee-Cascara Extract and Inulin" Nutrients 12, no. 3: 627. https://doi.org/10.3390/nu12030627
APA StyleIriondo-DeHond, M., Iriondo-DeHond, A., Herrera, T., Fernández-Fernández, A. M., Sorzano, C. O. S., Miguel, E., & del Castillo, M. D. (2020). Sensory Acceptance, Appetite Control and Gastrointestinal Tolerance of Yogurts Containing Coffee-Cascara Extract and Inulin. Nutrients, 12(3), 627. https://doi.org/10.3390/nu12030627

