Hip Fracture Patients in Geriatric Rehabilitation Show Poor Nutritional Status, Dietary Intake and Muscle Health
Abstract
1. Introduction
2. Materials and Methods
2.1. Study Population
2.2. Nutritional Status and Dietary Intake
2.3. Muscle Health
2.4. Demographics, Medical and Physical Details
2.5. Statistical Analysis
3. Results
3.1. Study Population
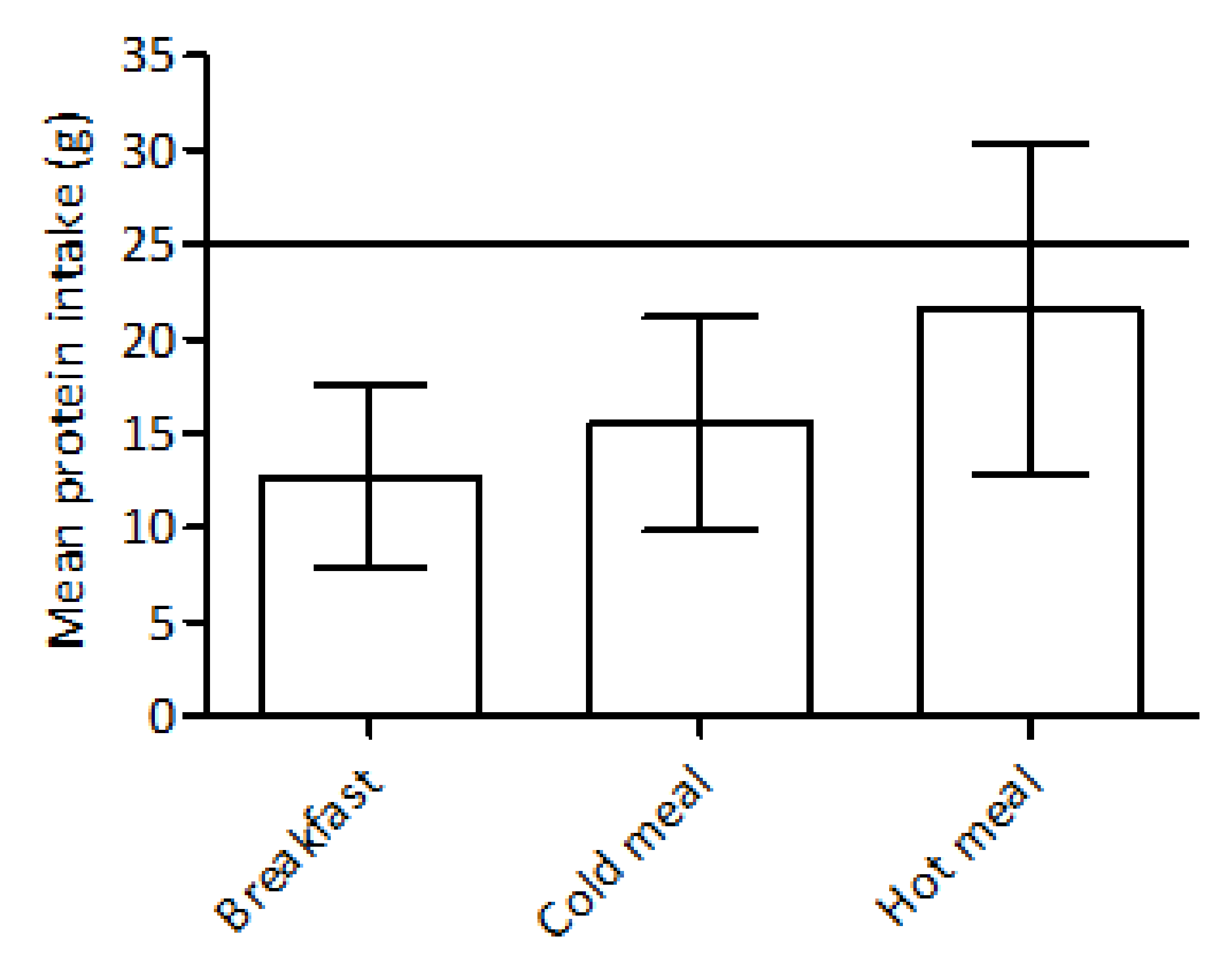
3.2. Nutritional Status and Dietary Intake
3.3. Muscle Health
4. Discussion
5. Conclusions
Author Contributions
Funding
Conflicts of Interest
References
- Alexiou, K.I.; Roushias, A.; Varitimidis, S.E.; Malizos, K.N. Quality of life and psychological consequences in elderly patients after a hip fracture: A review. Clin. Interv. Aging 2018, 13, 143–150. [Google Scholar] [CrossRef]
- Downey, C.; Kelly, M.; Quinlan, J.F. Changing trends in the mortality rate at 1-year post hip fracture—A systematic review. World J. Orthop. 2019, 10, 166–175. [Google Scholar] [CrossRef]
- Dyer, S.M.; Crotty, M.; Fairhall, N.; Magaziner, J.; Beaupre, L.A.; Cameron, I.D.; Sherrington, C.; For the Fragility Fracture Network Rehabilitation Research Special Interest Group. A critical review of the long-term disability outcomes following hip fracture. BMC Geriatr. 2016, 16, 158. [Google Scholar] [CrossRef]
- Hansen, L.; Petersen, K.D.; Eriksen, S.A.; Langdahl, B.L.; Eiken, P.A.; Brixen, K.; Abrahamsen, B.; Jensen, J.E.; Harslof, T.; Vestergaard, P. Subsequent fracture rates in a nationwide population-based cohort study with a 10-year perspective. Osteoporos. Int. 2015, 26, 513–519. [Google Scholar] [CrossRef]
- Cruz-Jentoft, A.J.; Bahat, G.; Bauer, J.; Boirie, Y.; Bruyere, O.; Cederholm, T.; Cooper, C.; Landi, F.; Rolland, Y.; Sayer, A.A.; et al. Sarcopenia: Revised European consensus on definition and diagnosis. Age Ageing 2019, 48, 16–31. [Google Scholar] [CrossRef]
- Cauley, J.A. Public health impact of osteoporosis. J. Gerontol. A Biol. Sci. Med. Sci. 2013, 68, 1243–1251. [Google Scholar] [CrossRef]
- Neyens, J.; Halfens, R.; Spreeuwenberg, M.; Meijers, J.; Luiking, Y.; Verlaan, G.; Schols, J. Malnutrition is associated with an increased risk of falls and impaired activity in elderly patients in Dutch residential long-term care (LTC): A cross-sectional study. Arch. Gerontol. Geriatr. 2013, 56, 265–269. [Google Scholar] [CrossRef]
- Morley, J.E. Sarcopenia: Diagnosis and treatment. J. Nutr. Health Aging 2008, 12, 452–456. [Google Scholar] [CrossRef] [PubMed]
- Churilov, I.; Churilov, L.; MacIsaac, R.J.; Ekinci, E.I. Systematic review and meta-analysis of prevalence of sarcopenia in post acute inpatient rehabilitation. Osteoporos. Int. 2018, 29, 805–812. [Google Scholar] [CrossRef] [PubMed]
- Di Monaco, M.; Castiglioni, C.; De Toma, E.; Gardin, L.; Giordano, S.; Di Monaco, R.; Tappero, R. Presarcopenia and sarcopenia in hip-fracture women: Prevalence and association with ability to function in activities of daily living. Aging Clin. Exp. Res. 2015, 27, 465–472. [Google Scholar] [CrossRef] [PubMed]
- Steihaug, O.M.; Gjesdal, C.G.; Bogen, B.; Kristoffersen, M.H.; Lien, G.; Hufthammer, K.O.; Ranhoff, A.H. Does sarcopenia predict change in mobility after hip fracture? a multicenter observational study with one-year follow-up. BMC Geriatr. 2018, 18, 65. [Google Scholar] [CrossRef] [PubMed]
- Kortebein, P.; Ferrando, A.; Lombeida, J.; Wolfe, R.; Evans, W.J. Effect of 10 days of bed rest on skeletal muscle in healthy older adults. JAMA 2007, 297, 1772–1774. [Google Scholar] [CrossRef] [PubMed]
- Kortebein, P.; Symons, T.B.; Ferrando, A.; Paddon-Jones, D.; Ronsen, O.; Protas, E.; Conger, S.; Lombeida, J.; Wolfe, R.; Evans, W.J. Functional impact of 10 days of bed rest in healthy older adults. J. Gerontol. A Biol. Sci. Med. Sci. 2008, 63, 1076–1081. [Google Scholar] [CrossRef] [PubMed]
- Wall, B.T.; Dirks, M.L.; van Loon, L.J. Skeletal muscle atrophy during short-term disuse: Implications for age-related sarcopenia. Ageing Res. Rev. 2013, 12, 898–906. [Google Scholar] [CrossRef]
- Bianchi, M.L.; Glorieux, F.H.; Glorieux, F.H.; Pettifor, J.M.; Jüppner, H. The Spectrum of Pediatric Osteoporosis. In Pediatric Bone, 2nd ed.; Academic Press: San Diego, CA, USA, 2012. [Google Scholar]
- Fox, K.M.; Magaziner, J.; Hawkes, W.G.; Yu-Yahiro, J.; Hebel, J.R.; Zimmerman, S.I.; Holder, L.; Michael, R. Loss of bone density and lean body mass after hip fracture. Osteoporos. Int. 2000, 11, 31–35. [Google Scholar] [CrossRef] [PubMed]
- Wehren, L.E.; Hawkes, W.G.; Hebel, J.R.; Orwig, D.L.; Magaziner, J. Bone mineral density, soft tissue body composition, strength, and functioning after hip fracture. J. Gerontol. A Biol. Sci. Med. Sci. 2005, 60, 80–84. [Google Scholar] [CrossRef]
- D’Adamo, C.R.; Hawkes, W.G.; Miller, R.R.; Jones, M.; Hochberg, M.; Yu-Yahiro, J.; Hebel, J.R.; Magaziner, J. Short-term changes in body composition after surgical repair of hip fracture. Age Ageing 2014, 43, 275–280. [Google Scholar] [CrossRef]
- Diaz de Bustamante, M.; Alarcon, T.; Menendez-Colino, R.; Ramirez-Martin, R.; Otero, A.; Gonzalez-Montalvo, J.I. Prevalence of malnutrition in a cohort of 509 patients with acute hip fracture: The importance of a comprehensive assessment. Eur. J. Clin. Nutr. 2018, 72, 77–81. [Google Scholar] [CrossRef]
- Drevet, S.; Bioteau, C.; Maziere, S.; Couturier, P.; Merloz, P.; Tonetti, J.; Gavazzi, G. Prevalence of protein-energy malnutrition in hospital patients over 75 years of age admitted for hip fracture. Orthop. Traumatol. Surg. Res. 2014, 100, 669–674. [Google Scholar] [CrossRef]
- Malafarina, V.; Reginster, J.Y.; Cabrerizo, S.; Bruyere, O.; Kanis, J.A.; Martinez, J.A.; Zulet, M.A. Nutritional Status and Nutritional Treatment Are Related to Outcomes and Mortality in Older Adults with Hip Fracture. Nutrients 2018, 10, 555. [Google Scholar] [CrossRef]
- Saunders, J.; Smith, T. Malnutrition: Causes and consequences. Clin. Med. 2010, 10, 624–627. [Google Scholar] [CrossRef] [PubMed]
- Koren-Hakim, T.; Weiss, A.; Hershkovitz, A.; Otzrateni, I.; Grosman, B.; Frishman, S.; Salai, M.; Beloosesky, Y. The relationship between nutritional status of hip fracture operated elderly patients and their functioning, comorbidity and outcome. Clin. Nutr. 2012, 31, 917–921. [Google Scholar] [CrossRef] [PubMed]
- Nuotio, M.; Tuominen, P.; Luukkaala, T. Association of nutritional status as measured by the Mini-Nutritional Assessment Short Form with changes in mobility, institutionalization and death after hip fracture. Eur. J. Clin. Nutr. 2016, 70, 393–398. [Google Scholar] [CrossRef] [PubMed]
- Mazzola, P.; Ward, L.; Zazzetta, S.; Broggini, V.; Anzuini, A.; Valcarcel, B.; Brathwaite, J.S.; Pasinetti, G.M.; Bellelli, G.; Annoni, G. Association Between Preoperative Malnutrition and Postoperative Delirium After Hip Fracture Surgery in Older Adults. J. Am. Geriatr. Soc. 2017, 65, 1222–1228. [Google Scholar] [CrossRef]
- Deutz, N.E.P.; Bauer, J.M.; Barazzoni, R.; Biolo, G.; Boirie, Y.; Bosy-Westphal, A.; Cederholm, T.; Cruz-Jentoft, A.; Krznaric, Z.; Nair, K.S.; et al. Protein intake and exercise for optimal muscle function with aging: Recommendations from the ESPEN Expert Group. Clin. Nutr. 2014, 33, 929–936. [Google Scholar] [CrossRef]
- Bauer, J.; Biolo, G.; Cederholm, T.; Cesari, M.; Cruz-Jentoft, A.J.; Morley, J.E.; Phillips, S.; Sieber, C.; Stehle, P.; Teta, D.; et al. Evidence-based recommendations for optimal dietary protein intake in older people: A position paper from the PROT-AGE Study Group. J. Am. Med. Dir. Assoc. 2013, 14, 542–559. [Google Scholar] [CrossRef]
- Lems, W.F.; Post, P.N.; van den Bergh, J.P.W.; Cornelder, H.W.; Elders, P.J.M.; Geusens, P.P.M.; Ginai, A.Z.; Groen, M.; Hegeman, J.H.; van Helden, S.H.; et al. Richtlijn Osteoporose en Fractuurpreventie; CBO: Utrecht, The Netherlands, 2011. [Google Scholar]
- Rizzoli, R.; Stevenson, J.C.; Bauer, J.M.; van Loon, L.J.C.; Walrand, S.; Kanis, J.A.; Cooper, C.; Brandi, M.-L.; Diez-Perez, A.; Reginster, J.-Y. The role of dietary protein and vitamin D in maintaining musculoskeletal health in postmenopausal women: A consensus statement from the European Society for Clinical and Economic Aspects of Osteoporosis and Osteoarthritis (ESCEO). Maturitas 2014, 79, 122–132. [Google Scholar] [CrossRef]
- Weaver, C.M.; Alexander, D.D.; Boushey, C.J.; Dawson-Hughes, B.; Lappe, J.M.; LeBoff, M.S.; Liu, S.; Looker, A.C.; Wallace, T.C.; Wang, D.D. Calcium plus vitamin D supplementation and risk of fractures: An updated meta-analysis from the National Osteoporosis Foundation. Osteoporos. Int. 2016, 27, 367–376. [Google Scholar] [CrossRef]
- Mott, A.; Bradley, T.; Wright, K.; Cockayne, E.S.; Shearer, M.J.; Adamson, J.; Lanham-New, S.A.; Torgerson, D.J. Effect of vitamin K on bone mineral density and fractures in adults: An updated systematic review and meta-analysis of randomised controlled trials. Osteoporos. Int. 2019, 30, 1543–1559. [Google Scholar] [CrossRef]
- Fiatarone Singh, M.A.; Singh, N.A.; Hansen, R.D.; Finnegan, T.P.; Allen, B.J.; Diamond, T.H.; Diwan, A.D.; Lloyd, B.D.; Williamson, D.A.; Smith, E.U.; et al. Methodology and baseline characteristics for the Sarcopenia and Hip Fracture study: A 5-year prospective study. J. Gerontol. A Biol. Sci. Med. Sci. 2009, 64, 568–574. [Google Scholar] [CrossRef]
- Hoekstra, J.C.; Goosen, J.H.; de Wolf, G.S.; Verheyen, C.C. Effectiveness of multidisciplinary nutritional care on nutritional intake, nutritional status and quality of life in patients with hip fractures: A controlled prospective cohort study. Clin. Nutr. 2011, 30, 455–461. [Google Scholar] [CrossRef] [PubMed]
- Wyers, C.E.; Reijven, P.L.M.; Breedveld-Peters, J.J.L.; Denissen, K.F.M.; Schotanus, M.G.M.; van Dongen, M.; Eussen, S.; Heyligers, I.C.; van den Brandt, P.A.; Willems, P.C.; et al. Efficacy of Nutritional Intervention in Elderly After Hip Fracture: A Multicenter Randomized Controlled Trial. J. Gerontol. A Biol. Sci. Med. Sci. 2018, 73, 1429–1437. [Google Scholar] [CrossRef] [PubMed]
- Lumbers, M.; New, S.A.; Gibson, S.; Murphy, M.C. Nutritional status in elderly female hip fracture patients: Comparison with an age-matched home living group attending day centres. Br. J. Nutr. 2001, 85, 733–740. [Google Scholar] [CrossRef] [PubMed]
- Vellas, B.; Villars, H.; Abellan, G.; Soto, M.E.; Rolland, Y.; Guigoz, Y.; Morley, J.E.; Chumlea, W.; Salva, A.; Rubenstein, L.Z.; et al. Overview of the MNA—Its history and challenges. J. Nutr. Health Aging 2006, 10, 456–463. [Google Scholar]
- RIVM. NEVO Online. Available online: https://www.rivm.nl/en/dutch-food-composition-database/access-nevo-data/nevo-online (accessed on 8 January 2020).
- Institute of Medicine. Dietary Reference Intakes: Applications in Dietary Assessment; National Academies Press: Washington, DC, USA, 2000. [Google Scholar]
- Van den Brandt, P.A. Dietary Reference Intakes: Energy, Proteins, Fats and Digestible Carbohydrates; Health Council of The Netherlands: The Hague, The Netherlands, 2001. [Google Scholar]
- Health Council of the Netherlands. Guideline for Dietary Fiber Intake; Health Council of The Netherlands: The Hague, The Netherlands, 2006. [Google Scholar]
- Health Council of the Netherlands. Voedingsnormen Voor Vitamines en Mineralen Voor Volwassenen; Health Council of The Netherlands: The Hague, The Netherlands, 2018. [Google Scholar]
- Trumbo, P.; Yates, A.A.; Schlicker, S.; Poos, M. Dietary reference intakes: Vitamin A, vitamin K, arsenic, boron, chromium, copper, iodine, iron, manganese, molybdenum, nickel, silicon, vanadium, and zinc. J. Am. Diet. Assoc. 2001, 101, 294–301. [Google Scholar] [CrossRef]
- Volkert, D.; Beck, A.M.; Cederholm, T.; Cruz-Jentoft, A.; Goisser, S.; Hooper, L.; Kiesswetter, E.; Maggio, M.; Raynaud-Simon, A.; Sieber, C.C.; et al. ESPEN guideline on clinical nutrition and hydration in geriatrics. Clin. Nutr. 2019, 38, 10–47. [Google Scholar] [CrossRef]
- Kyle, U.G.; Bosaeus, I.; De Lorenzo, A.D.; Deurenberg, P.; Elia, M.; Gomez, J.M.; Heitmann, B.L.; Kent-Smith, L.; Melchior, J.C.; Pirlich, M.; et al. Bioelectrical impedance analysis—Part II: Utilization in clinical practice. Clin. Nutr. 2004, 23, 1430–1453. [Google Scholar] [CrossRef]
- Sergi, G.; De Rui, M.; Veronese, N.; Bolzetta, F.; Berton, L.; Carraro, S.; Bano, G.; Coin, A.; Manzato, E.; Perissinotto, E. Assessing appendicular skeletal muscle mass with bioelectrical impedance analysis in free-living Caucasian older adults. Clin. Nutr. 2015, 34, 667–673. [Google Scholar] [CrossRef]
- Roberts, H.C.; Denison, H.J.; Martin, H.J.; Patel, H.P.; Syddall, H.; Cooper, C.; Sayer, A.A. A review of the measurement of grip strength in clinical and epidemiological studies: Towards a standardised approach. Age Ageing 2011, 40, 423–429. [Google Scholar] [CrossRef]
- Minetto, M.A.; Caresio, C.; Menapace, T.; Hajdarevic, A.; Marchini, A.; Molinari, F.; Maffiuletti, N.A. Ultrasound-Based Detection of Low Muscle Mass for Diagnosis of Sarcopenia in Older Adults. PM R 2016, 8, 453–462. [Google Scholar] [CrossRef]
- Charlson, M.E.; Pompei, P.; Ales, K.L.; MacKenzie, C.R. A new method of classifying prognostic comorbidity in longitudinal studies: Development and validation. J. Chronic. Dis. 1987, 40, 373–383. [Google Scholar] [CrossRef]
- Schuurmans, M.J.; Shortridge-Baggett, L.M.; Duursma, S.A. The Delirium Observation Screening Scale: A screening instrument for delirium. Res. Theory Nurs. Pract. 2003, 17, 31–50. [Google Scholar] [CrossRef]
- De Vries, N.M.; Staal, J.B.; Olde Rikkert, M.G.; Nijhuis-van der Sanden, M.W. Evaluative frailty index for physical activity (EFIP): A reliable and valid instrument to measure changes in level of frailty. Phys. Ther. 2013, 93, 551–561. [Google Scholar] [CrossRef] [PubMed]
- Searle, S.D.; Mitnitski, A.; Gahbauer, E.A.; Gill, T.M.; Rockwood, K. A standard procedure for creating a frailty index. BMC Geriatr. 2008, 8, 24. [Google Scholar] [CrossRef] [PubMed]
- Mahoney, F.I.; Barthel, D.W. Functional Evaluation: The Barthel Index. Md. State Med. J. 1965, 14, 61–65. [Google Scholar] [PubMed]
- Holden, M.K.; Gill, K.M.; Magliozzi, M.R.; Nathan, J.; Piehl-Baker, L. Clinical gait assessment in the neurologically impaired. Reliability and meaningfulness. Phys. Ther. 1984, 64, 35–40. [Google Scholar] [CrossRef]
- LASA. Recoding HEIGHT and WEIGHT. Availabe online: https://www.lasa-vu.nl/themes/physical/recoding-height-and-weight.html (accessed on 26 September 2019).
- Helminen, H.; Luukkaala, T.; Saarnio, J.; Nuotio, M. Comparison of the Mini-Nutritional Assessment short and long form and serum albumin as prognostic indicators of hip fracture outcomes. Injury 2017, 48, 903–908. [Google Scholar] [CrossRef]
- Anbar, R.; Beloosesky, Y.; Cohen, J.; Madar, Z.; Weiss, A.; Theilla, M.; Koren Hakim, T.; Frishman, S.; Singer, P. Tight calorie control in geriatric patients following hip fracture decreases complications: A randomized, controlled study. Clin. Nutr. 2014, 33, 23–28. [Google Scholar] [CrossRef]
- Murphy, M.C.; Brooks, C.N.; New, S.A.; Lumbers, M.L. The use of the Mini-Nutritional Assessment (MNA) tool in elderly orthopaedic patients. Eur. J. Clin. Nutr. 2000, 54, 555–562. [Google Scholar] [CrossRef]
- Lee, K.S.; Cheong, H.-K.; Kim, E.A.; Kim, K.R.; Oh, B.H.; Hong, C.H. Nutritional risk and cognitive impairment in the elderly. Arch. Gerontol. Geriatr. 2009, 48, 95–99. [Google Scholar] [CrossRef]
- Malara, A.; Sgrò, G.; Caruso, C.; Ceravolo, F.; Curinga, G.; Renda, G.F.; Spadea, F.; Garo, M.; Rispoli, V. Relationship between cognitive impairment and nutritional assessment on functional status in Calabrian long-term-care. Clin. Interv. Aging 2014, 9, 105–110. [Google Scholar] [CrossRef] [PubMed]
- Fávaro-Moreira, N.C.; Krausch-Hofmann, S.; Matthys, C.; Vereecken, C.; Vanhauwaert, E.; Declercq, A.; Bekkering, G.E.; Duyck, J. Risk Factors for Malnutrition in Older Adults: A Systematic Review of the Literature Based on Longitudinal Data. Adv. Nutr. 2016, 7, 507–522. [Google Scholar] [CrossRef] [PubMed]
- Groenendijk, I.; den Boeft, L.; van Loon, L.J.C.; de Groot, L. High Versus low Dietary Protein Intake and Bone Health in Older Adults: A Systematic Review and Meta-Analysis. Comput. Struct. Biotechnol. J. 2019, 17, 1101–1112. [Google Scholar] [CrossRef] [PubMed]
- Myint, M.W.; Wu, J.; Wong, E.; Chan, S.P.; To, T.S.; Chau, M.W.; Ting, K.H.; Fung, P.M.; Au, K.S. Clinical benefits of oral nutritional supplementation for elderly hip fracture patients: A single blind randomised controlled trial. Age Ageing 2013, 42, 39–45. [Google Scholar] [CrossRef]
- Calvez, J.; Poupin, N.; Chesneau, C.; Lassale, C.; Tome, D. Protein intake, calcium balance and health consequences. Eur. J. Clin. Nutr. 2012, 66, 281–295. [Google Scholar] [CrossRef]
- Health Council of the Netherlands. Evaluation of the Dietary Reference Values for Vitamin D; Health Council of The Netherlands: The Hague, The Netherlands, 2012. [Google Scholar]
- Reiss, J.; Iglseder, B.; Kreutzer, M.; Weilbuchner, I.; Treschnitzer, W.; Kässmann, H.; Pirich, C.; Reiter, R. Case finding for sarcopenia in geriatric inpatients: Performance of bioimpedance analysis in comparison to dual X-ray absorptiometry. BMC Geriatr. 2016, 16, 52. [Google Scholar] [CrossRef]
- Beaudart, C.; Reginster, J.Y.; Slomian, J.; Buckinx, F.; Dardenne, N.; Quabron, A.; Slangen, C.; Gillain, S.; Petermans, J.; Bruyère, O. Estimation of sarcopenia prevalence using various assessment tools. Exp. Gerontol. 2015, 61, 31–37. [Google Scholar] [CrossRef]
- Nijholt, W.; Scafoglieri, A.; Jager-Wittenaar, H.; Hobbelen, J.S.M.; van der Schans, C.P. The reliability and validity of ultrasound to quantify muscles in older adults: A systematic review. J. Cachexia Sarcopenia Muscle 2017, 8, 702–712. [Google Scholar] [CrossRef]
- Narici, M.V.; Maffulli, N. Sarcopenia: Characteristics, mechanisms and functional significance. Br. Med. Bull. 2010, 95, 139–159. [Google Scholar] [CrossRef]
- Abe, T.; Thiebaud, R.S.; Loenneke, J.P.; Loftin, M.; Fukunaga, T. Prevalence of site-specific thigh sarcopenia in Japanese men and women. Age 2014, 36, 417–426. [Google Scholar] [CrossRef]
- Abe, T.; Loenneke, J.P.; Thiebaud, R.S.; Fukunaga, T. Age-related site-specific muscle wasting of upper and lower extremities and trunk in Japanese men and women. Age 2014, 36, 813–821. [Google Scholar] [CrossRef] [PubMed]
- Yoshimura, Y.; Wakabayashi, H.; Bise, T.; Tanoue, M. Prevalence of sarcopenia and its association with activities of daily living and dysphagia in convalescent rehabilitation ward inpatients. Clin. Nutr. 2018, 37, 2022–2028. [Google Scholar] [CrossRef] [PubMed]
- Hedstrom, M.; Ljungqvist, O.; Cederholm, T. Metabolism and catabolism in hip fracture patients: Nutritional and anabolic intervention—A review. Acta Orthop. 2006, 77, 741–747. [Google Scholar] [CrossRef] [PubMed]
- Landi, F.; Calvani, R.; Ortolani, E.; Salini, S.; Martone, A.M.; Santoro, L.; Santoliquido, A.; Sisto, A.; Picca, A.; Marzetti, E. The association between sarcopenia and functional outcomes among older patients with hip fracture undergoing in-hospital rehabilitation. Osteoporos. Int. 2017, 28, 1569–1576. [Google Scholar] [CrossRef]
- Gonzalez-Montalvo, J.I.; Alarcon, T.; Gotor, P.; Queipo, R.; Velasco, R.; Hoyos, R.; Pardo, A.; Otero, A. Prevalence of sarcopenia in acute hip fracture patients and its influence on short-term clinical outcome. Geriatr. Gerontol. Int. 2016, 16, 1021–1027. [Google Scholar] [CrossRef]
- Sanchez-Rodriguez, D.; Marco, E.; Miralles, R.; Fayos, M.; Mojal, S.; Alvarado, M.; Vazquez-Ibar, O.; Escalada, F.; Muniesa, J.M. Sarcopenia, physical rehabilitation and functional outcomes of patients in a subacute geriatric care unit. Arch. Gerontol. Geriatr. 2014, 59, 39–43. [Google Scholar] [CrossRef]
- Di Monaco, M.; Castiglioni, C.; Vallero, F.; Di Monaco, R.; Tappero, R. Sarcopenia is more prevalent in men than in women after hip fracture: A cross-sectional study of 591 inpatients. Arch. Gerontol. Geriatr. 2012, 55, e48–e52. [Google Scholar] [CrossRef]
- Azzolino, D.; Passarelli, P.C.; De Angelis, P.; Piccirillo, G.B.; D’Addona, A.; Cesari, M. Poor Oral Health as a Determinant of Malnutrition and Sarcopenia. Nutrients 2019, 11, 2898. [Google Scholar] [CrossRef]
- Verenso. Handleiding Triage Instrument Geriatrische Revalidatiezorg; Verenso: Utrecht, The Netherlands, 2013. [Google Scholar]

| Characteristic | n | Value |
|---|---|---|
| Women, n (%) | 40 | 29 (73) |
| Age, mean ± SD, year | 40 | 81.6 ± 8.0 |
| Weight, median (IQR), kg | 40 | 68.0 (56.2–79.9) |
| Height, mean ± SD, cm | 40 | 165 ± 9 |
| BMI, median (IQR), kg/m2 | 40 | 24.8 (21.5–28.5) |
| No weight bearing, n (%) | 40 | 8 (20) |
| Surgical method | 40 | |
| Prosthetic replacement, n (%) | 14 (35) | |
| Internal fixation, n (%) | 23 (58) | |
| None, conservative, n (%) | 3 (8) | |
| Barthel index, mean ± SD, points | 40 | 10.1 ± 3.9 |
| FAC, points | 40 | |
| 0, n (%) | 18 (45) | |
| 1, n (%) | 0 (0) | |
| 2, n (%) | 2 (5) | |
| 3, n (%) | 10 (25) | |
| 4, n (%) | 10 (25) | |
| 5, n (%) | 0 (0) | |
| Delirium (DOS > 3), n (%) | 40 | 8 (20) |
| Frail (EFIP > 0.2), n (%) | 36 | 12 (33) |
| Kidney function (eGFR) | 37 | |
| Kidney failure (<15 mL/min), n (%) | 0 (0) | |
| Severe loss (<30 mL/min), n (%) | 1 (3) | |
| Moderate loss (30–60 mL/min), n (%) | 8 (22) | |
| Mild loss (60–90 mL/min), n (%) | 19 (51) | |
| Normal (>90 mL/min), n (%) | 9 (24) | |
| CCI, median (IQR), points | 40 | 1 (0–2) |
| Comorbidity | 40 | |
| Diabetes Mellitus, n (%) | 8 (20) | |
| Cardiac, n (%) | 17 (43) | |
| Pulmonary, n (%) | 8 (20) | |
| Dementia, n (%) | 5 (13) | |
| Previous fracture due to fall | 40 | 12 (33) |
| MNA | 40 | |
| Malnourished, n (%) | 3 (8) | |
| Risk of malnutrition, n (%) | 26 (65) | |
| Good nutritional status, n (%) | 11 (28) | |
| ASMM, median (IQR), kg | 37 | 16.5 (15.2–18.9) |
| Low ASMM, n (%) | 13 (35) | |
| ASMM/height2, mean (SD), kg/m2 | 37 | 6.4 ± 1.0 |
| Low ASMM/height2, n (%) | 13 (35) | |
| Handgrip strength, mean ± SD, kg | 37 | 22.5 ± 9.3 |
| Low handgrip strength, n (%) | 10 (27) | |
| Sarcopenia, n (%) | 35 | 4 (10) |
| Macronutrient | Intake | DRI | p Value 2 | |
|---|---|---|---|---|
| Energy, kcal | 1319 ± 285 | - | ||
| Energy, kcal/kg bw | 19.7 ± 6.1 | 30 | ESPEN | <0.001 |
| Protein, g | 54.9 ± 14.3 | 60/51 1 | RDA | 0.033/0.095 |
| Protein, g/kg bw | 0.82 ± 0.28 | 1.0–1.2 | ESPEN/PROT-AGE | <0.001 |
| Protein, en% | 17.5 ± 3.6 | 11 | RDA | <0.001 |
| Carbohydrates, g | 128.1 ± 34.6 | - | ||
| Carbohydrates, en% | 40.7 ± 7.3 | 40 | RDA | 0.56 |
| Fibre, g | 12.4 ± 3.9 | - | ||
| Fibre, g/MJ | 2.3 ± 0.5 | 3.4 | AI | <0.001 |
| Fat, g | 60.9 ± 15.0 | - | ||
| Fat, en% | 41.4 ± 4.7 | 20–40 | AI | <0.001–0.063 |
| Saturated fat, g | 29.3 ± 8.3 | - | ||
| Saturated fat, en% | 19.9 ± 3.6 | 10 | UL | <0.001 |
| Monounsaturated fat, g | 15.8 ± 4.6 | - | ||
| Polyunsaturated fat, g | 8.4 ± 2.9 | - | ||
| Polyunsaturated fat, en% | 5.8 ± 1.8 | 12 | UL | <0.001 |
| Micronutrient | Intake | DRI | Intake in % of DRI | p Value 2 | |
|---|---|---|---|---|---|
| Calcium, mg | 718 ± 287 | 1200 | AI | 60 | <0.001 |
| Vitamin D, µg | 1.8 (1.2–2.4) | 20 | RDA | 9 | <0.001 |
| 10 | EAR | 18 | <0.001 | ||
| Vitamin K, µg | 109 (51–203) | 120/90 1 | AI | 91/121 1 | 0.62/0.027 |
| Phosphorus, mg | 972 ± 271 | 550 | AI | 177 | <0.001 |
| Iron, mg | 6.2 ± 1.9 | 11/16 1 | RDA | 56/39 1 | <0.001 |
| 6 | EAR | 103 | 0.49 | ||
| Natrium, mg | 1657 ± 455 | 2400 | UL | 69 | <0.001 |
| Potassium, mg | 1875 ± 465 | 3500 | AI | 54 | <0.001 |
| Magnesium, mg | 186 ± 46 | 350/300 1 | AI | 53/62 1 | <0.001 |
| Zinc, mg | 7.5 ± 2.3 | 9/7 1 | RDA | 83/107 1 | <0.001/0.19 |
| 6.4/5.7 1 | EAR | 117/132 1 | 0.006/<0.001 | ||
| Selenium, µg | 27.3 (21.5–35.0) | 70 | AI | 39 | <0.001 |
| Copper, mg | 0.66 ± 0.16 | 0.9 | RDA | 73 | <0.001 |
| 0.7 | EAR | 94 | 0.11 | ||
| Iodine, µg | 118 ± 43 | 150 | AI | 79 | <0.001 |
| Vitamin B12, µg | 3.0 ± 1.1 | 2.8 | RDA | 107 | 0.27 |
| 2.0 | EAR | 150 | <0.001 | ||
| Vitamin C, mg | 56.0 (35.3–74.7) | 75 | RDA | 75 | 0.002 |
| 60 | EAR | 93 | 0.76 |
© 2020 by the authors. Licensee MDPI, Basel, Switzerland. This article is an open access article distributed under the terms and conditions of the Creative Commons Attribution (CC BY) license (http://creativecommons.org/licenses/by/4.0/).
Share and Cite
Groenendijk, I.; Kramer, C.S.; den Boeft, L.M.; Hobbelen, H.S.M.; van der Putten, G.-J.; de Groot, L.C.P.G.M. Hip Fracture Patients in Geriatric Rehabilitation Show Poor Nutritional Status, Dietary Intake and Muscle Health. Nutrients 2020, 12, 2528. https://doi.org/10.3390/nu12092528
Groenendijk I, Kramer CS, den Boeft LM, Hobbelen HSM, van der Putten G-J, de Groot LCPGM. Hip Fracture Patients in Geriatric Rehabilitation Show Poor Nutritional Status, Dietary Intake and Muscle Health. Nutrients. 2020; 12(9):2528. https://doi.org/10.3390/nu12092528
Chicago/Turabian StyleGroenendijk, Inge, Charlotte S. Kramer, Laura M. den Boeft, Hans S. M. Hobbelen, Gert-Jan van der Putten, and Lisette C. P. G. M. de Groot. 2020. "Hip Fracture Patients in Geriatric Rehabilitation Show Poor Nutritional Status, Dietary Intake and Muscle Health" Nutrients 12, no. 9: 2528. https://doi.org/10.3390/nu12092528
APA StyleGroenendijk, I., Kramer, C. S., den Boeft, L. M., Hobbelen, H. S. M., van der Putten, G.-J., & de Groot, L. C. P. G. M. (2020). Hip Fracture Patients in Geriatric Rehabilitation Show Poor Nutritional Status, Dietary Intake and Muscle Health. Nutrients, 12(9), 2528. https://doi.org/10.3390/nu12092528

