The Usefulness of Serum Vitamin D Levels in the Assessment of IBD Activity and Response to Biologics
Abstract
1. Introduction
2. Materials and Methods
2.1. Study Population
2.2. Outcomes
2.3. Vitamin D Serum Concentration Assay
2.4. Statistical Analysis
3. Results
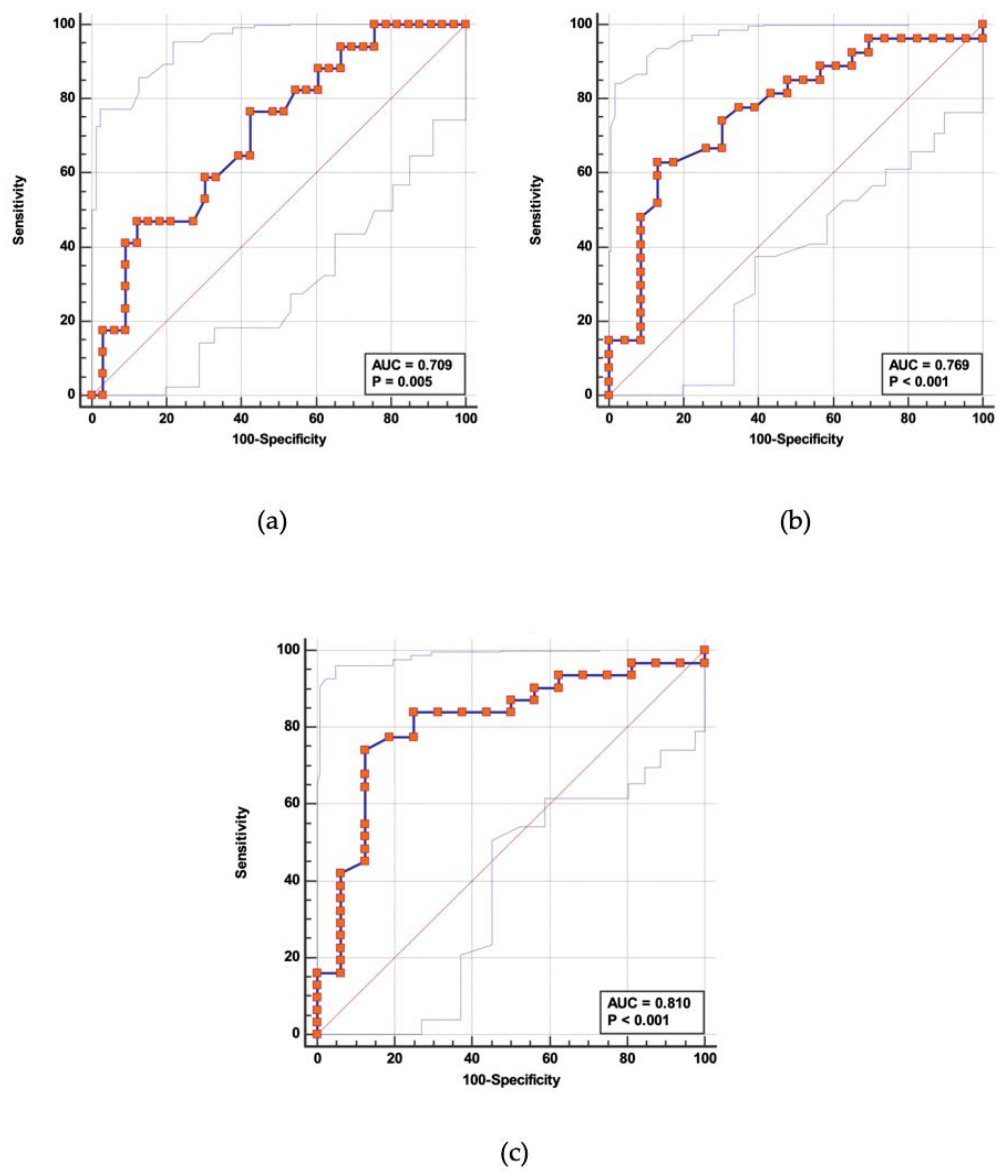
3.1. ROC Analysis and Optimal Cut-Off
3.2. Vitamin D under the Set Threshold and Odds Ratio of Disease Activity
4. Discussion
Author Contributions
Funding
Institutional Review Board Statement
Informed Consent Statement
Data Availability Statement
Conflicts of Interest
References
- Ordás, I.; Eckmann, L.; Talamini, M.; Baumgart, D.C.; Sandborn, W.J. Ulcerative colitis. Lancet 2012, 380, 1606–1619. [Google Scholar] [CrossRef]
- Baumgart, D.C.; Sandborn, W.J. Crohn’s disease. Lancet 2012, 380, 1590–1605. [Google Scholar] [CrossRef]
- Magro, F.; Gionchetti, P.; Eliakim, R.; Ardizzone, S.; Armuzzi, A.; Barreiro-de Acosta, M.; Burisch, J.; Gecse, K.B.; Hart, A.L.; Hindryckx, P.; et al. Third European evidence-based consensus on diagnosis and management of ulcerative colitis. Part 1: Definitions, diagnosis, extra-intestinal manifestations, pregnancy, cancer surveillance, surgery, and ileo-anal pouch disorders. J. Crohn’s Colitis 2017, 11, 649–670. [Google Scholar] [CrossRef]
- Zhang, Y.Z.; Li, Y.Y. Inflammatory bowel disease: Pathogenesis. World J. Gastroenterol. 2014, 20, 91–99. [Google Scholar] [CrossRef]
- Nielsen, O.H.; Rejnmark, L.; Moss, A.C. Role of Vitamin D in the Natural History of Inflammatory Bowel Disease. J. Crohn’s Colitis 2018, 12, 742–752. [Google Scholar] [CrossRef] [PubMed]
- Cantorna, M.T.; Snyder, L.; Arora, J. Vitamin A and vitamin D regulate the microbial complexity, barrier function, and the mucosal immune responses to ensure intestinal homeostasis. Crit. Rev. Biochem. Mol. Biol. 2019, 54, 184–192. [Google Scholar] [CrossRef] [PubMed]
- Dusso, A.S.; Brown, A.J.; Slatopolsky, E. Vitamin D. Am. J. Physiol. Ren. Physiol. 2005, 289, 8–28. [Google Scholar] [CrossRef] [PubMed]
- Grishan, F.K.; Kiela, P.R. Vitamins and minerals in IBD. Gastroenterol. Clin. N. Am. 2018, 176, 139–148. [Google Scholar] [CrossRef]
- Sassi, F.; Tamone, C.; D’Amelio, P. Vitamin D: Nutrient, Hormone, and Immunomodulator. Nutrients 2018, 10, 1656. [Google Scholar] [CrossRef]
- Massironi, S.; Rossi, R.E.; Cavalcoli, F.A.; Della Valle, S.; Fraquelli, M.; Conte, D. Nutritional deficiencies in inflammatory bowel disease: Therapeutic approaches. Clin. Nutr. 2013, 32, 904–910. [Google Scholar] [CrossRef]
- Bjarnason, I.; MacPherson, A.; Mackintosh, C.; Buxton-Thomas, M.; Forgacs, I.; Moniz, C. Reduced bone density in patients with inflammatory bowel disease. Gut 1997, 40, 228–233. [Google Scholar] [CrossRef] [PubMed]
- Del Pinto, R.; Pietropaoli, D.; Chandar, A.K.; Ferri, C.; Cominelli, F. Association between Inflammatory Bowel Disease and Vitamin D Deficiency. Inflamm. Bowel Dis. 2015, 21, 2708–2717. [Google Scholar] [CrossRef] [PubMed]
- Ananthakrishnan, A.N.; Khalili, H.; Higuchi, L.M.; Bao, Y.; Korzenik, J.R.; Giovannucci, E.L.; Richter, J.M.; Fuchs, C.S.; Chan, A.T. Higher Predicted Vitamin D Status is Associated with Reduced Risk of Crohn’s Disease. Gastroenterology 2012, 142, 482–489. [Google Scholar] [CrossRef] [PubMed]
- Gubatan, J.; Chou, N.D.; Nielsen, O.H.; Moss, A.C. Systematic review with meta-analysis: Association of vitamin D status with clinical outcomes in adult patients with inflammatory bowel disease. Aliment. Pharmacol. Ther. 2019, 50, 1146–1158. [Google Scholar] [CrossRef]
- Gubatan, J.; Mitsuhashi, S.; Zenlea, T.; Rosenberg, L.; Robson, S.; Moss, A.C. Low Serum Vitamin D during Remission Increases Risk of Clinical Relapse in Patients with Ulcerative Colitis. Clin. Gastroenterol. Hepatol. 2017, 15, 240–246.e1. [Google Scholar] [CrossRef]
- Hassan, V.; Hassan, S.; Seyed-Javad, P.; Ahmad, K.; Asieh, H.; Maryam, S.; Farid, F.; Siavash, A. Association between Serum 25 (OH) Vitamin D Concentrations and Inflammatory Bowel Diseases (IBDs) Activity. Med. J. Malays. 2013, 68, 34–38. [Google Scholar]
- Maaser, C.; Sturm, A.; Vavricka, S.R.; Kucharzik, T.; Fiorino, G.; Annese, V.; Calabrese, E.; Baumgart, D.C.; Bettenworth, D.; Borralho Nunes, P.; et al. ECCO-ESGAR guideline for diagnostic assessment in IBD part 1: Initial diagnosis, monitoring of known IBD, detection of complications. J. Crohn’s Colitis 2019, 13, 144–164. [Google Scholar] [CrossRef]
- Sturm, A.; Maaser, C.; Calabrese, E.; Annese, V.; Fiorino, G.; Kucharzik, T.; Vavricka, S.R.; Verstockt, B.; Van Rheenen, P.; Tolan, D.; et al. ECCO-ESGAR Guideline for Diagnostic Assessment in IBD Part 2: IBD scores and general principles and technical aspects. J. Crohn’s Colitis 2019, 13, 273–284. [Google Scholar] [CrossRef]
- Bryant, R.V.; Winer, S.; Spl, T.; Riddell, R.H. Systematic review: Histological remission in inflammatory bowel disease. Is ‘complete’ remission the new treatment paradigm? An IOIBD initiative. J. Crohn’s Colitis 2014, 8, 1582–1597. [Google Scholar] [CrossRef]
- Allez, M.; Karmiris, K.; Louis, E.; Van Assche, G.; Ben-Horin, S.; Klein, A.; Van Der Woude, J.; Baert, F.; Eliakim, R.; Katsanos, K.; et al. Report of the ECCO pathogenesis workshop on anti-TNF therapy failures in inflammatory bowel diseases: Definitions, frequency and pharmacological aspects. J. Crohn’s Colitis 2010, 4, 355–366. [Google Scholar] [CrossRef]
- Schnitzler, F.; Fidder, H.; Ferrante, M.; Noman, M.; Arijs, I.; Van Assche, G.; Hoffman, I.; Van Steen, K.; Vermeire, S.; Rutgeerts, P. Long-term outcome of treatment with infliximab in 614 patients with Crohn’s disease: Results from a single-centre cohort. Gut 2009, 58, 492–500. [Google Scholar] [CrossRef] [PubMed]
- Mouli, V.P.; Ananthakrishnan, A.N. Review article: Vitamin D and inflammatory bowel diseases. Aliment. Pharmacol. Ther. 2014, 39, 125–136. [Google Scholar] [CrossRef] [PubMed]
- López-Muñoz, P.; Beltrán, B.; Sáez-González, E.; Alba, A.; Nos, P.; Iborra, M. Influence of Vitamin D Deficiency on Inflammatory Markers and Clinical Disease Activity in IBD Patients. Nutrients 2019, 11, 1059. [Google Scholar] [CrossRef]
- Gubatan, J.; Moss, A.C. Vitamin D in inflammatory bowel disease: More than just a supplement. Curr. Opin. Gastroenterol. 2018, 34, 217–225. [Google Scholar] [CrossRef] [PubMed]
- Vernia, F.; Di Ruscio, M.; Stefanelli, G.; Viscido, A.; Frieri, G.; Latella, G. Is fecal calprotectin an accurate marker in the management of Crohn’s disease? J. Gastroenterol. Hepatol. 2020, 35, 390–400. [Google Scholar] [CrossRef] [PubMed]
- Di Ruscio, M.; Vernia, F.; Ciccone, A.; Frieri, G.; Latella, G. Surrogate Fecal Biomarkers in Inflammatory Bowel Disease: Rivals or Complementary Tools of Fecal Calprotectin? Inflamm. Bowel Dis. 2017, 24, 78–92. [Google Scholar] [CrossRef] [PubMed]
- Jørgensen, S.P.; Agnholt, J.; Glerup, H.; Lyhne, S.; Villadsen, G.E.; Hvas, C.L.; Bartels, L.E.; Kelsen, J.; Christensen, L.A.; Dahlerup, J.F. Clinical trial: Vitamin D3 treatment in Crohn’s disease—A randomized double-blind placebo-controlled study. Aliment. Pharmacol. Ther. 2010, 32, 377–383. [Google Scholar] [CrossRef]
- Zator, Z.A.; Cantu, S.M.; Konijeti, G.G.; Nguyen, D.D.; Sauk, J.; Yajnik, V.; Ananthakrishnan, A.N. Pretreatment 25-Hydroxyvitamin D Levels and Durability of Anti–Tumor Necrosis Factor–α Therapy in Inflammatory Bowel Diseases. J. Parenter. Enter. Nutr. 2014, 38, 385–391. [Google Scholar] [CrossRef]
- Kabbani, T.A.; Koutroubakis, I.E.; Schoen, R.E.; Ramos-Rivers, C.; Shah, N.; Swoger, J.; Regueiro, M.; Barrie, A.; Schwartz, M.; Hashash, J.G.; et al. Association of Vitamin D Level with Clinical Status in Inflammatory Bowel Disease: A 5-Year Longitudinal Study. Am. J. Gastroenterol. 2016, 111, 712–719. [Google Scholar] [CrossRef]



| Clinical Evaluation (n = 50) | Endoscopic Evaluation (n = 50) | Histologic Evaluation (n = 47) | ||||
|---|---|---|---|---|---|---|
| Active (17) | Inactive (33) | Active (27) | Inactive (23) | Active (31) | Inactive (16) | |
| Male/female | 10/7 | 16/17 | 16/11 | 10/13 | 18/13 | 8/8 |
| Age | 52 (22–76) | 51.5 (21–76) | 51.5 (21–65) | 52.5 (28–76) | 52 (21–65) | 51.5 (28–76) |
| Years from diagnosis | 12.5 (1–28) | 13 (1.2–36) | 12.5 (1–33) | 13 (1.2–36) | 13.5 (12–36) | 12.5 (1.2–34) |
| Crohn’s Disease (CD) | 7 (41%) | 19 (58%) | 14 (52%) | 12 (52%) | 15 (48%) | 9 (56%) |
| CD localization | ||||||
| Ileal | 1 (14%) | 9 (47%) | 4 (29%) | 6 (50%) | 5 (33%) | 5 (55%) |
| Colonic | 1 (14%) | 0 (0%) | 1 (7%) | 0 (0%) | 1 (7%) | 0 (%) |
| Ileo-colonic | 5 (72%) | 10 (53%) | 9 (64%) | 6 (50%) | 9 (60%) | 4 (45%) |
| Ulcerative Colitis (UC) | 10 (59%) | 14 (42%) | 13 (48%) | 11 (48%) | 16 (52%) | 7 (44%) |
| UC localization | ||||||
| Proctitis | 0 (0%) | 0 (0%) | 0 (0%) | 0 (0%) | 0 (0%) | 0 (0%) |
| Left sided colitis | 7 (70%) | 5 (36%) | 8 (62%) | 4 (36%) | 9 (56%) | 3 (43%) |
| Pancolitis | 3 (30%) | 9 (64%) | 5 (38%) | 7 (64%) | 7 (44%) | 4 (67%) |
| Intestinal surgery | ||||||
| CD | 4 (57%) | 11 (58%) | 7 (50%) | 8 (67%) | 9 (60%) | 5 (56%) |
| UC | 0 (0%) | 0 (0%) | 0 (0%) | 0 (0%) | 0 (0%) | 0 (0%) |
| Therapy | ||||||
| Infliximab | 4 (23%) | 12 (36%) | 8 (30%) | 8 (35%) | 9 (29%) | 6 (37%) |
| Adalimumab | 3 (18%) | 7 (21%) | 6 (22%) | 4 (17%) | 6 (19%) | 2 (13%) |
| Vedolizumab | 5 (29%) | 14 (43%) | 8 (30%) | 11 (47%) | 11 (36%) | 8 (50%) |
| Golimumab | 2 (12%) | 0 (0%) | 2 (7%) | 0 (0%) | 2 (6%) | 0 (0%) |
| Ustekinumab | 3 (18%) | 0 (0%) | 3 (11%) | 0 (0%) | 3 (10%) | 0 (0%) |
| Oral supplementation Vitamin D | ||||||
| Yes | 7 (41%) | 17 (52%) | 11 (41%) | 13 (57%) | 14 (45%) | 8 (50%) |
| No | 8 (47%) | 15 (45%) | 14 (52%) | 9 (39%) | 15 (48%) | 7 (44%) |
| n.a. | 2 (12%) | 1 (3%) | 2 (7%) | 1 (4%) | 2 (7%) | 1 (6%) |
| Season of sample collection | ||||||
| Autumn | 4 (24%) | 3 (9%) | 4 (15%) | 3 (14%) | 5 (16%) | 2 (13%) |
| Winter | 6 (35%) | 10 (30%) | 9 (33%) | 7 (30%) | 8 (26%) | 5 (31%) |
| Spring | 3 (17%) | 9 (27%) | 6 (22%) | 6 (26%) | 9 (29%) | 3 (19%) |
| Summer | 4 (24%) | 11 (33%) | 8 (30%) | 7 (30%) | 9 (29%) | 6 (37%) |
Publisher’s Note: MDPI stays neutral with regard to jurisdictional claims in published maps and institutional affiliations. |
© 2021 by the authors. Licensee MDPI, Basel, Switzerland. This article is an open access article distributed under the terms and conditions of the Creative Commons Attribution (CC BY) license (http://creativecommons.org/licenses/by/4.0/).
Share and Cite
Valvano, M.; Magistroni, M.; Mancusi, A.; D’Ascenzo, D.; Longo, S.; Stefanelli, G.; Vernia, F.; Viscido, A.; Necozione, S.; Latella, G. The Usefulness of Serum Vitamin D Levels in the Assessment of IBD Activity and Response to Biologics. Nutrients 2021, 13, 323. https://doi.org/10.3390/nu13020323
Valvano M, Magistroni M, Mancusi A, D’Ascenzo D, Longo S, Stefanelli G, Vernia F, Viscido A, Necozione S, Latella G. The Usefulness of Serum Vitamin D Levels in the Assessment of IBD Activity and Response to Biologics. Nutrients. 2021; 13(2):323. https://doi.org/10.3390/nu13020323
Chicago/Turabian StyleValvano, Marco, Marco Magistroni, Antonio Mancusi, Debora D’Ascenzo, Salvatore Longo, Gianpiero Stefanelli, Filippo Vernia, Angelo Viscido, Stefano Necozione, and Giovanni Latella. 2021. "The Usefulness of Serum Vitamin D Levels in the Assessment of IBD Activity and Response to Biologics" Nutrients 13, no. 2: 323. https://doi.org/10.3390/nu13020323
APA StyleValvano, M., Magistroni, M., Mancusi, A., D’Ascenzo, D., Longo, S., Stefanelli, G., Vernia, F., Viscido, A., Necozione, S., & Latella, G. (2021). The Usefulness of Serum Vitamin D Levels in the Assessment of IBD Activity and Response to Biologics. Nutrients, 13(2), 323. https://doi.org/10.3390/nu13020323

