Dietary Fibre Intake in Type 2 and New-Onset Prediabetes/Diabetes after Acute Pancreatitis: A Nested Cross-Sectional Study
Abstract
1. Introduction
2. Methods
2.1. Study Design
2.2. Study Population
2.3. Study Groups
2.4. Ascertainment of Dietary Intake
2.5. Laboratory Assays
2.6. Covariates
2.7. Statistical Analyses
3. Results
3.1. Study Characteristics
3.2. Fibre Intake in the Study Groups
3.3. Dietary Sources of Fibre in the Study Groups
4. Discussion
5. Conclusions
Author Contributions
Funding
Institutional Review Board Statement
Informed Consent Statement
Data Availability Statement
Acknowledgments
Conflicts of Interest
References
- Petrov, M.S.; Yadav, D. Global epidemiology and holistic prevention of pancreatitis. Nat. Rev. Gastroenterol. Hepatol. 2019, 16, 175–184. [Google Scholar] [CrossRef]
- Petrov, M.S. Post-pancreatitis diabetes mellitus: Prime time for secondary disease. Eur. J. Endocrinol. 2021, 184, R137–R149. [Google Scholar] [CrossRef]
- Lee, Y.K.; Huang, M.Y.; Hsu, C.Y.; Su, Y.C. Bidirectional relationship between diabetes and acute pancreatitis: A population-based cohort study in Taiwan. Medicine 2016, 95, e2448. [Google Scholar] [CrossRef]
- Shen, H.N.; Yang, C.C.; Chang, Y.H.; Lu, C.L.; Li, C.Y. Risk of diabetes mellitus after first-attack acute pancreatitis: A national population-based study. Am. J. Gastroenterol. 2015, 110, 1698–1706. [Google Scholar] [CrossRef] [PubMed]
- Bharmal, S.H.; Cho, J.; Alarcon Ramos, G.C.; Ko, J.; Stuart, C.E.; Modesto, A.E.; Singh, R.G.; Petrov, M.S. Trajectories of glycaemia following acute pancreatitis: A prospective longitudinal cohort study with 24 months follow-up. J. Gastroenterol. 2020, 55, 775–788. [Google Scholar] [CrossRef] [PubMed]
- Woodmansey, C.; McGovern, A.P.; McCullough, K.A.; Whyte, M.B.; Munro, N.M.; Correa, A.C.; Gatenby, P.A.; Jones, S.A.; De Lusignan, S. Incidence, demographics, and clinical characteristics of diabetes of the exocrine pancreas (Type 3c): A retrospective cohort study. Diabetes Care 2017, 40, 1486–1493. [Google Scholar] [CrossRef]
- Evert, A.B.; Boucher, J.L.; Cypress, M.; Dunbar, S.A.; Franz, M.J.; Mayer-Davis, E.J.; Neumiller, J.J.; Nwankwo, R.; Verdi, C.L.; Urbanski, P.; et al. Nutrition therapy recommendations for the management of adults with diabetes. Diabetes Care 2014, 37, 120–143. [Google Scholar] [CrossRef] [PubMed]
- Dyson, P.A.; Kelly, T.; Deakin, T.; Duncan, A.; Frost, G.; Harrison, Z.; Khatri, D.; Kunka, D.; Mcardle, P.; Mellor, D.; et al. Diabetes UK evidence-based nutrition guidelines for the prevention and management of diabetes. Diabet. Med. 2011, 28, 1282–1288. [Google Scholar] [CrossRef]
- Augustin, L.S.; Aas, A.M.; Astrup, A.; Atkinson, F.S.; Baer-Sinnott, S.; Barclay, A.W.; Brand-Miller, J.C.; Brighenti, F.; Bullo, M.; Buyken, A.E.; et al. Dietary fibre consensus from the international carbohydrate quality consortium (ICQC). Nutrients 2020, 12, 2553. [Google Scholar] [CrossRef]
- Reynolds, A.N.; Akerman, A.P.; Mann, J. Dietary fibre and whole grains in diabetes management: Systematic review and meta-analyses. PLoS Med. 2020, 17, e1003053. [Google Scholar] [CrossRef]
- Silva, F.M.; Kramer, C.K.; de Almeida, J.C.; Steemburgo, T.; Gross, J.L.; Azevedo, M.J. Fiber intake and glycemic control in patients with type 2 diabetes mellitus: A systematic review with meta-analysis of randomized controlled trials. Nutr. Rev. 2013, 71, 790–801. [Google Scholar] [CrossRef]
- Honsek, C.; Kabisch, S.; Kemper, M.; Gerbracht, C.; Arafat, A.M.; Birkenfeld, A.L.; Dambeck, U.; Osterhoff, M.A.; Weickert, M.O.; Pfeiffer, A.F. Fibre supplementation for the prevention of type 2 diabetes and improvement of glucose metabolism: The randomised controlled Optimal Fibre Trial (OptiFiT). Diabetologia 2018, 61, 1295–1305. [Google Scholar] [CrossRef]
- Kabisch, S.; Meyer, N.M.; Honsek, C.; Gerbracht, C.; Dambeck, U.; Kemper, M.; Osterhoff, M.A.; Birkenfeld, A.L.; Arafat, A.M.; Hjorth, M.F.; et al. Fasting glucose state determines metabolic response to supplementation with insoluble cereal fibre: A secondary analysis of the optimal fibre trial (optiFiT). Nutrients 2019, 11, 2385. [Google Scholar] [CrossRef]
- Schulze, M.B.; Schulz, M.; Heidemann, C.; Schienkiewitz, A.; Hoffmann, K.; Boeing, H. Fiber and magnesium intake and incidence of type 2 diabetes: A prospective study and meta-analysis. Arch. Intern. Med. 2007, 167, 956–965. [Google Scholar] [CrossRef]
- InterAct Consortium. Dietary fibre and incidence of type 2 diabetes in eight European countries: The EPIC-InterAct Study and a meta-analysis of prospective studies. Diabetologia 2015, 58, 1394–1408. [Google Scholar] [CrossRef] [PubMed]
- Hajishafiee, M.; Saneei, P.; Benisi-Kohansal, S.; Esmaillzadeh, A. Cereal fibre intake and risk of mortality from all causes, CVD, cancer and inflammatory diseases: A systematic review and meta-analysis of prospective cohort studies. Br. J. Nutr. 2016, 116, 343–352. [Google Scholar] [CrossRef] [PubMed]
- Montonen, J.; Knekt, P.; Härkänen, T.; Järvinen, R.; Heliövaara, M.; Aromaa, A.; Reunanen, A. Dietary patterns and the incidence of type 2 diabetes. Am. J. Epidemiol. 2005, 161, 219–227. [Google Scholar] [CrossRef] [PubMed]
- Li, M.; Fan, Y.; Zhang, X.; Hou, W.; Tang, Z. Fruit and vegetable intake and risk of type 2 diabetes mellitus: Meta-analysis of prospective cohort studies. BMJ Open 2014, 4, e005497. [Google Scholar] [CrossRef]
- Flood, A.; Mai, V.; Pfeiffer, R.; Kahle, L.; Remaley, A.T.; Rosen, C.J.; Lanza, E.; Schatzkin, A. The effects of a high-fruit and -vegetable, high-fiber, low-fat dietary intervention on serum concentrations of insulin, glucose, IGF-I and IGFBP-3. Eur. J. Clin. Nutr. 2008, 62, 186–196. [Google Scholar] [CrossRef][Green Version]
- Aune, D.; Giovannucci, E.; Boffetta, P.; Fadnes, L.T.; Keum, N.N.; Norat, T.; Greenwood, D.C.; Riboli, E.; Vatten, L.J.; Tonstad, S. Fruit and vegetable intake and the risk of cardiovascular disease, total cancer and all-cause mortality-A systematic review and dose-response meta-analysis of prospective studies. Int. J. Epidemiol. 2017, 46, 1029–1056. [Google Scholar] [CrossRef]
- Becerra-Tomás, N.; Díaz-López, A.; Rosique-Esteban, N.; Ros, E.; Buil-Cosiales, P.; Corella, D.; Estruch, R.; Fitó, M.; Serra-Majem, L.; Arós, F.; et al. Legume consumption is inversely associated with type 2 diabetes incidence in adults: A prospective assessment from the PREDIMED study. Clin. Nutr. 2018, 37, 906–913. [Google Scholar] [CrossRef]
- Jannasch, F.; Kröger, J.; Schulze, M.B. Dietary patterns and type 2 diabetes: A systematic literature review and meta- analysis of prospective studies. J. Nutr. 2017, 147, 1174–1182. [Google Scholar] [CrossRef]
- Fung, T.T.; Hu, F.B.; Pereira, M.A.; Liu, S.; Stampfer, M.J.; Colditz, G.A.; Willett, W.C. Whole-grain intake and the risk of type 2 diabetes: A prospective study in men. Am. J. Clin. Nutr. 2002, 76, 535–540. [Google Scholar] [CrossRef]
- Liu, S.; Manson, J.E.; Stamfer, M.J.; Hu, F.B.; Giovannucci, E.; Colditz, G.A.; Hennekens, C.H.; Willett, W.C. A prospective study of whole-grain intake and risk of type 2 diabetes mellitus in US women. Am. J. Public Health 2000, 90, 1409–1415. [Google Scholar] [CrossRef] [PubMed]
- Ko, J.; Skudder-Hill, L.; Cho, J.; Bharmal, S.H.; Petrov, M.S. The relationship between abdominal fat phenotypes and insulin resistance in non-obese individuals after acute pancreatitis. Nutrients 2020, 12, 2883. [Google Scholar] [CrossRef] [PubMed]
- Singh, R.G.; Nguyen, N.N.; DeSouza, S.V.; Pendharkar, S.A.; Petrov, M.S. Comprehensive analysis of body composition and insulin traits associated with intra-pancreatic fat deposition in healthy individuals and people with new-onset prediabetes/diabetes after acute pancreatitis. Diabetes. Obes. Metab. 2019, 21, 417–423. [Google Scholar] [CrossRef] [PubMed]
- Petrov, M.S. Panorama of mediators in postpancreatitis diabetes mellitus. Curr. Opin. Gastroenterol. 2020, 36, 443–451. [Google Scholar] [CrossRef]
- Petrov, M.S.; Basina, M. Diagnosing and classifying diabetes in diseases of the exocrine pancreas. Eur. J. Endocrinol. 2021, 184, R151–R163. [Google Scholar] [CrossRef]
- Petrov, M.S. Diabetes of the exocrine pancreas: American Diabetes Association-compliant lexicon. Pancreatology 2017, 17, 523–526. [Google Scholar] [CrossRef]
- Mulligan, A.A.; Luben, R.N.; Bhaniani, A.; Parry-Smith, D.J.; O’Connor, L.; Khawaja, A.P.; Forouhi, N.G.; Khaw, K.T. A new tool for converting food frequency questionnaire data into nutrient and food group values: FETA research methods and availability. BMJ Open 2014, 4, e004503. [Google Scholar] [CrossRef]
- Jones, J.M. CODEX-aligned dietary fiber definitions help to bridge the “fiber gap”. Nutr. J. 2014, 13, 1–10. [Google Scholar] [CrossRef]
- Pennington, J.A.T. McCance and Widdowson’s the composition of foods. J. Food Compos. Anal. 1992, 5, 264. [Google Scholar] [CrossRef]
- Welch, A.A.; Luben, R.; Khaw, K.T.; Bingham, S.A. The CAFE computer program for nutritional analysis of the EPIC-Norfolk food frequency questionnaire and identification of extreme nutrient values. J. Hum. Nutr. Diet. 2005, 18, 99–116. [Google Scholar] [CrossRef]
- Feeney, E.L.; Leacy, L.; O’kelly, M.; Leacy, N.; Phelan, A.; Crowley, L.; Stynes, E.; de Casanove, A.; Horner, K. Sweet and umami taste perception differs with habitual exercise in males. Nutrients 2019, 11, 155. [Google Scholar] [CrossRef] [PubMed]
- Kimita, W.; Li, X.; Ko, J.; Bharmal, S.H.; Cameron-Smith, D.; Petrov, M.S. Association between habitual dietary iron intake and glucose metabolism in individuals after acute pancreatitis. Nutrients 2020, 12, 3579. [Google Scholar] [CrossRef] [PubMed]
- Ko, J.; Kimita, W.; Skudder-Hill, L.; Li, X.; Priya, S.; Bharmal, S.H.; Cho, J.; Petrov, M.S. Dietary carbohydrate intake and insulin traits in individuals after acute pancreatitis: Effect modification by intra-pancreatic fat deposition. Pancreatology 2021, 21, 353–362. [Google Scholar] [CrossRef] [PubMed]
- Patel, P.S.; Sharp, S.J.; Luben, R.N.; Khaw, K.T.; Bingham, S.A.; Wareham, N.J.; Forouhi, N.G. Association between type of dietary fish and seafood intake and the risk of incident type 2 diabetes: The European Prospective Investigation of Cancer (EPIC)-Norfolk cohort study. Diabetes Care 2009, 32, 1857–1863. [Google Scholar] [CrossRef] [PubMed]
- Dellinger, E.P.; Forsmark, C.E.; Layer, P.; Lévy, P.; Maraví-Poma, E.; Petrov, M.S.; Shimosegawa, T.; Siriwardena, A.K.; Uomo, G.; Whitcomb, D.C.; et al. Determinant-based classification of acute pancreatitis severity: An international multidisciplinary consultation. Ann. Surg. 2012, 256, 875–880. [Google Scholar] [CrossRef] [PubMed]
- Guillon, F.; Champ, M. Structural and physical properties of dietary fibres, and consequences of processing on human physiology. Food Res. Int. 2000, 33, 233–245. [Google Scholar] [CrossRef]
- Ames, N.; Blewett, H.; Storsley, J.; Thandapilly, S.J.; Zahradka, P.; Taylor, C. A double-blind randomised controlled trial testing the effect of a barley product containing varying amounts and types of fibre on the postprandial glucose response of healthy volunteers. Br. J. Nutr. 2015, 113, 1373–1383. [Google Scholar] [CrossRef]
- Yu, K.; Ke, M.Y.; Li, W.H.; Zhang, S.Q.; Fang, X.C. The impact of soluble dietary fibre on gastric emptying, postprandial blood glucose and insulin in patients with type 2 diabetes. Asia Pac. J. Clin. Nutr. 2014, 23, 210–218. [Google Scholar] [CrossRef]
- Capuano, E. The behavior of dietary fiber in the gastrointestinal tract determines its physiological effect. Crit. Rev. Food Sci. Nutr. 2017, 57, 3543–3564. [Google Scholar] [CrossRef]
- Eastwood, M.A.; Morris, E.R. Physical properties of dietary fiber that influence physiological function: A model for polymers along the gastrointestinal tract. Am. J. Clin. Nutr. 1992, 55, 436–442. [Google Scholar] [CrossRef]
- Bleau, C.; Karelis, A.D.; St-Pierre, D.H.; Lamontagne, L. Crosstalk between intestinal microbiota, adipose tissue and skeletal muscle as an early event in systemic low-grade inflammation and the development of obesity and diabetes. Diabetes. Metab. Res. Rev. 2015, 31, 545–561. [Google Scholar] [CrossRef]
- Pendharkar, S.A.; Singh, R.G.; Cervantes, A.; Desouza, S.V.; Bharmal, S.H.; Petrov, M.S. Gut hormone responses to mixed meal test in new-onset prediabetes/diabetes after acute pancreatitis. Horm. Metab. Res. 2019, 51, 191–199. [Google Scholar] [CrossRef]
- Ding, W.G.; Gromada, J. Protein kinase A-dependent stimulation of exocytosis in mouse pancreatic-cells by glucose-dependent insulinotropic polypeptide. Diabetes 1997, 46, 615–621. [Google Scholar] [CrossRef]
- Liu, H.; Wang, J.; He, T.; Becker, S.; Zhang, G.; Li, D.; Ma, X. Butyrate: A double-edged sword for health? Adv. Nutr. 2018, 9, 21–29. [Google Scholar] [CrossRef] [PubMed]
- Karlsson, F.H.; Tremaroli, V.; Nookaew, I.; Bergström, G.; Behre, C.J.; Fagerberg, B.; Nielsen, J.; Bäckhed, F. Gut metagenome in European women with normal, impaired and diabetic glucose control. Nature 2013, 498, 99–103. [Google Scholar] [CrossRef]
- Wang, J.; Qin, J.; Li, Y.; Cai, Z.; Li, S.; Zhu, J.; Zhang, F.; Liang, S.; Zhang, W.; Guan, Y.; et al. A metagenome-wide association study of gut microbiota in type 2 diabetes. Nature 2012, 490, 55–60. [Google Scholar] [CrossRef]
- Puddu, A.; Sanguineti, R.; Montecucco, F.; Viviani, G.L. Evidence for the gut microbiota short-chain fatty acids as key pathophysiological molecules improving diabetes. Mediators Inflamm. 2014, 2014, 162021. [Google Scholar] [CrossRef]
- Guilloteau, P.; Martin, L.; Eeckhaut, V.; Ducatelle, R.; Zabielski, R.; Van Immerseel, F. From the gut to the peripheral tissues: The multiple effects of butyrate. Nutr. Res. Rev. 2010, 23, 366–384. [Google Scholar] [CrossRef]
- Bharmal, S.H.; Cho, J.; Alarcon Ramos, G.C.; Ko, J.; Cameron-Smith, D.; Petrov, M.S. Acute nutritional ketosis and its implication for plasma glucose and glucoregulatory peptides in adults with prediabetes: A crossover placebo-controlled randomized trial. J. Nutr. 2021. Epub ahead of print. [Google Scholar] [CrossRef]
- Ahmad, T.R.; Haeusler, R.A. Bile acids in glucose metabolism and insulin signalling—mechanisms and research needs. Nat. Rev. Endocrinol. 2019, 15, 701–712. [Google Scholar] [CrossRef] [PubMed]
- Ginos, B.N.; Navarro, S.L.; Schwarz, Y.; Gu, H.; Wang, D.; Randolph, T.W.; Shojaie, A.; Hullar, M.A.; Lampe, P.D.; Kratz, M.; et al. Circulating bile acids in healthy adults respond differently to a dietary pattern characterized by whole grains, legumes and fruits and vegetables compared to a diet high in refined grains and added sugars: A randomized, controlled, crossover feeding stud. Metabolism 2018, 83, 197–204. [Google Scholar] [CrossRef] [PubMed]
- Beysen, C.; Murphy, E.J.; Deines, K.; Chan, M.; Tsang, E.; Glass, A.; Turner, S.M.; Protasio, J.; Riiff, T.; Hellerstein, M.K. Effect of bile acid sequestrants on glucose metabolism, hepatic de novo lipogenesis, and cholesterol and bile acid kinetics in type 2 diabetes: A randomised controlled study. Diabetologia 2012, 55, 432–442. [Google Scholar] [CrossRef] [PubMed]
- O’Neil, C.E.; Fulgoni, V.L.; Nicklas, T.A.; Keast, D.R. Nut consumption is associated with decreased health risk factors for cardiovascular disease and metabolic syndrome in U.S. Adults: NHANES 1999–2004. J. Am. Coll. Nutr. 2011, 30, 502–510. [Google Scholar] [CrossRef] [PubMed]
- Gulati, S.; Misra, A.; Pandey, R.M. Effect of almond supplementation on glycemia and cardiovascular risk factors in Asian Indians in North India with type 2 diabetes mellitus: A 24-week study. Metab. Syndr. Relat. Disord. 2017, 15, 98–105. [Google Scholar] [CrossRef]
- Kowalkowska, J.; Slowinska, M.A.; Slowinski, D.; Dlugosz, A.; Niedzwiedzka, E.; Wadolowska, L. Comparison of a full food-frequency questionnaire with the three-day unweighted food records in young Polish adult women: Implications for dietary assessment. Nutrients 2013, 5, 2747–2776. [Google Scholar] [CrossRef] [PubMed]
- McCleary, B.V.; DeVries, J.W.; Rader, J.I.; Cohen, G.; Prosky, L.; Mugford, D.C.; Champ, M.; Okuma, K. Determination of insoluble, soluble, and total dietary fiber (CODEX definition) by enzymatic-gravimetric method and liquid chromatography: Collaborative study. J. AOAC Int. 2012, 95, 824–844. [Google Scholar] [CrossRef]
- Abbaspour, N.; Roberts, T.; Hooshmand, S.; Kern, M.; Hong, M.Y. Mixed nut consumption may improve cardiovascular disease risk factors in overweight and obese adults. Nutrients 2019, 11, 1488. [Google Scholar] [CrossRef]
- Wang, P.Y.; Fang, J.C.; Gao, Z.H.; Zhang, C.; Xie, S.Y. Higher intake of fruits, vegetables or their fiber reduces the risk of type 2 diabetes: A meta-analysis. J. Diabetes Investig. 2016, 7, 56–69. [Google Scholar] [CrossRef] [PubMed]
- Barclay, A.W.; Petocz, P.; McMillan-Price, J.; Flood, V.M.; Prvan, T.; Mitchell, P.; Brand-Miller, J.C. Glycemic index, glycemic load, and chronic disease risk—A meta-analysis of observational studies. Am. J. Clin. Nutr. 2008, 87, 627–637. [Google Scholar] [CrossRef] [PubMed]
- Monro, J.A.; Shaw, M. Glycemic impact, glycemic glucose equivalents, glycemic index, and glycemic load: Definitions, distinctions, and implications. Am. J. Clin. Nutr. 2008, 87, 237–243. [Google Scholar] [CrossRef] [PubMed]
- Pearce, M.; Fanidi, A.; Bishop, T.R.; Sharp, S.J.; Imamura, F.; Dietrich, S.; Akbaraly, T.; Bes-Rastrollo, M.; Beulens, J.W.J.; Byberg, L.; et al. Associations of total legume, pulse, and soy consumption with incident type 2 diabetes: Federated meta-analysis of 27 studies from diverse world regions. J. Nutr. 2021, nxaa447. [Google Scholar] [CrossRef] [PubMed]





| Characteristic | Overall | NODAP | T2DM | NAP | p |
|---|---|---|---|---|---|
| (n = 108) | (n = 36) | (n = 36) | (n = 36) | ||
| Age, years | 58 (45–66) | 60 (47–67) | 60 (47–70) | 51 (43–59) | 0.201 |
| Sex | 0.421 | ||||
| Men | 75 | 26 | 27 | 22 | |
| Women | 33 | 10 | 9 | 14 | |
| Body Mass Index, kg/m2 | 27.4 (24.2–33.3) | 27.5 (23.4–32.7) | 28.8 (26.1–33.9) | 26.7 (24.2–31.2) | 0.391 |
| Aetiology of pancreatitis | |||||
| Biliary | 40 | 14 | 14 | 12 | 0.525 |
| Alcohol-related | 23 | 10 | 5 | 7 | |
| Other | 45 | 12 | 17 | 17 | |
| Recurrence of pancreatitis | |||||
| Yes | 31 | 14 | 8 | 9 | 0.383 |
| No | 77 | 22 | 28 | 27 | |
| Pancreatic necrosis | 0.235 | ||||
| Yes | 6 | 4 | 1 | 1 | |
| No | 102 | 32 | 35 | 35 | |
| Use of anti-diabetic medications | |||||
| Yes | 5 | 0 | 5 | 0 | 0.005 |
| No | 103 | 36 | 31 | 36 | |
| Energy, kcal | 1797 (1230–2110) | 1855 (1443–2167) | 1705 (1285–2048) | 1820 (1133–1996) | 0.73 |
| HbA1c, mmol/mol | 40 (35–41) | 39 (36–40) | 47 (39–49) | 34 (33–36) | <0.001 |
| FPG, mmol/L | 5.9 (5.0–6.4) | 6.0 (5.1–6.7) | 6.5 (5.5–6.9) | 5.2 (4.8–5.5) | 0.002 |
| Model | NODAP (n = 36) | T2DM (n = 36) | NAP (n = 36) | ||||||||||
|---|---|---|---|---|---|---|---|---|---|---|---|---|---|
| n | B | p | Adjusted R2 | n | B | p | Adjusted R2 | n | B | p | Adjusted R2 | ||
| Total fibre | 1 | 36 | −0.003 | 0.944 | 0.029 | 36 | −0.096 | 0.207 | 0.018 | 36 | 0.021 | 0.594 | 0.02 |
| 2 | 36 | −0.064 | 0.218 | 0.119 | 36 | −0.01 | 0.219 | 0.023 | 36 | −0.015 | 0.694 | 0.127 | |
| 3 | 36 | −0.129 | 0.027 | 0.208 | 36 | −0.04 | 0.63 | 0.289 | 35 | −0.086 | 0.292 | 0.069 | |
| 4 | 36 | −0.154 | 0.006 | 0.398 | 36 | −0.047 | 0.604 | 0.214 | 32 | −0.145 | 0.153 | 0.108 | |
| Insoluble fibre | 1 | 36 | −0.016 | 0.745 | 0.026 | 36 | −0.076 | 0.348 | 0.002 | 36 | 0.023 | 0.547 | 0.018 |
| 2 | 36 | −0.071 | 0.155 | 0.133 | 36 | −0.074 | 0.375 | 0.001 | 36 | −0.013 | 0.733 | 0.126 | |
| 3 | 36 | −0.121 | 0.026 | 0.21 | 36 | −0.025 | 0.759 | 0.286 | 35 | −0.064 | 0.372 | 0.058 | |
| 4 | 36 | −0.133 | 0.01 | 0.377 | 36 | −0.033 | 0.715 | 0.21 | 32 | −0.109 | 0.21 | 0.089 | |
| Soluble fibre | 1 | 36 | 0.01 | 0.818 | 0.027 | 36 | −0.088 | 0.207 | 0.018 | 36 | 0.001 | 0.981 | 0.03 |
| 2 | 36 | −0.034 | 0.455 | 0.092 | 36 | −0.087 | 0.24 | 0.019 | 36 | −0.02 | 0.542 | 0.133 | |
| 3 | 36 | −0.109 | 0.051 | 0.18 | 36 | −0.019 | 0.799 | 0.285 | 35 | −0.081 | 0.194 | 0.087 | |
| 4 | 36 | −0.13 | 0.016 | 0.358 | 36 | −0.024 | 0.768 | 0.208 | 32 | −0.12 | 0.01 | 0.136 | |
| Vegetables | 1 | 36 | −0.04 | 0.125 | 0.04 | 36 | 0.002 | 0.974 | 0.029 | 36 | −0.009 | 0.801 | 0.028 |
| 2 | 36 | −0.065 | 0.009 | 0.253 | 36 | 0.006 | 0.91 | 0.024 | 36 | −0.026 | 0.448 | 0.131 | |
| 3 | 36 | −0.073 | 0.004 | 0.292 | 36 | 0.03 | 0.539 | 0.293 | 35 | −0.027 | 0.487 | 0.033 | |
| 4 | 36 | −0.069 | 0.004 | 0.41 | 36 | 0.027 | 0.615 | 0.214 | 32 | −0.037 | 0.489 | 0.025 | |
| Fruit | 1 | 36 | 0.002 | 0.917 | 0.029 | 36 | −0.027 | 0.515 | 0.016 | 36 | 0.014 | 0.258 | 0.009 |
| 2 | 36 | −0.018 | 0.445 | 0.092 | 36 | −0.028 | 0.524 | 0.011 | 36 | 0.008 | 0.545 | 0.133 | |
| 3 | 36 | −0.025 | 0.286 | 0.102 | 36 | −0.025 | 0.503 | 0.295 | 35 | 0.01 | 0.506 | 0.046 | |
| 4 | 36 | −0.04 | 0.081 | 0.287 | 36 | −0.023 | 0.562 | 0.216 | 32 | 0.003 | 0.861 | 0.025 | |
| Cereals | 1 | 36 | 0.06 | 0.105 | 0.048 | 36 | −0.069 | 0.284 | 0.005 | 36 | 0.014 | 0.577 | 0.019 |
| 2 | 36 | 0.05 | 0.161 | 0.131 | 36 | −0.063 | 0.341 | 0.004 | 36 | 0.007 | 0.745 | 0.126 | |
| 3 | 36 | 0.036 | 0.427 | 0.086 | 36 | 0.001 | 0.984 | 0.284 | 35 | 0.013 | 0.714 | 0.036 | |
| 4 | 36 | 0.034 | 0.386 | 0.206 | 36 | −0.008 | 0.917 | 0.416 | 32 | 0.015 | 0.696 | 0.03 | |
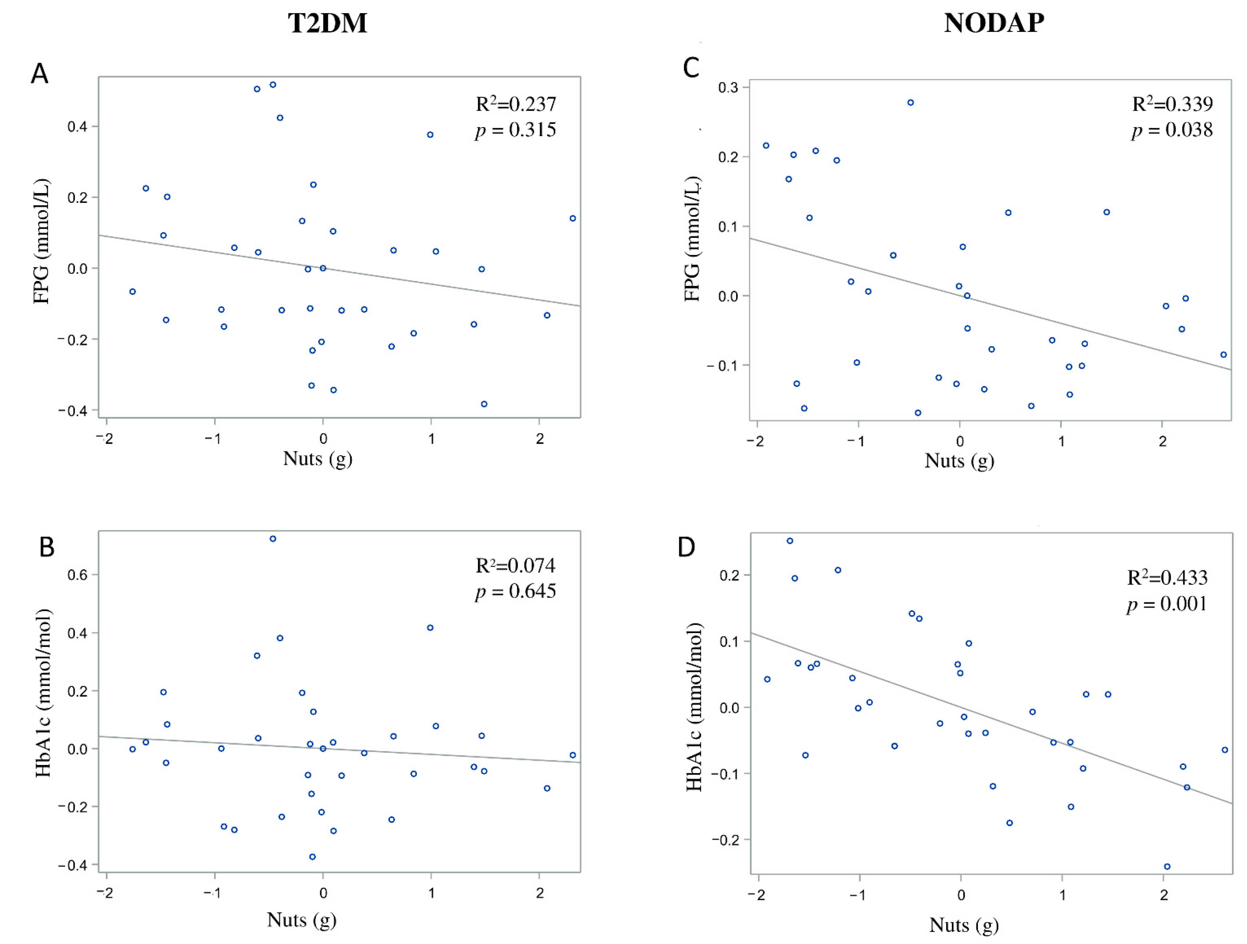
| Nuts | 1 | 36 | −0.028 | 0.143 | 0.034 | 36 | −0.027 | 0.517 | 0.016 | 36 | −0.004 | 0.844 | 0.028 |
| 2 | 36 | −0.039 | 0.032 | 0.201 | 36 | −0.035 | 0.44 | 0.005 | 36 | −0.01 | 0.55 | 0.133 | |
| 3 | 36 | −0.048 | 0.01 | 0.255 | 36 | −0.034 | 0.371 | 0.304 | 35 | −0.017 | 0.363 | 0.059 | |
| 4 | 36 | −0.039 | 0.038 | 0.339 | 36 | −0.045 | 0.315 | 0.237 | 32 | −0.022 | 0.324 | 0.064 | |
| Model | NODAP (n = 36) | T2DM (n = 36) | NAP (n = 36) | ||||||||||
|---|---|---|---|---|---|---|---|---|---|---|---|---|---|
| n | B | p | Adjusted R2 | n | B | p | Adjusted R2 | n | B | p | Adjusted R2 | ||
| Total fibre | 1 | 36 | −0.013 | 0.718 | 0.025 | 36 | −0.052 | 0.45 | 0.012 | 36 | 0.059 | 0.012 | 0.151 |
| 2 | 36 | −0.057 | 0.143 | 0.141 | 36 | −0.053 | 0.49 | 0.065 | 36 | 0.048 | 0.033 | 0.269 | |
| 3 | 36 | −0.096 | 0.033 | 0.213 | 36 | −0.012 | 0.885 | 0.079 | 34 | 0.052 | 0.277 | 0.277 | |
| 4 | 36 | −0.082 | 0.093 | 0.154 | 35 | 0.018 | 0.842 | 0.067 | 31 | −0.017 | 0.775 | 0.268 | |
| Insoluble fibre | 1 | 36 | −0.021 | 0.572 | 0.019 | 36 | −0.035 | 0.621 | 0.021 | 36 | 0.057 | 0.013 | 0.148 |
| 2 | 36 | −0.054 | 0.163 | 0.135 | 36 | −0.033 | 0.667 | 0.075 | 36 | 0.045 | 0.042 | 0.259 | |
| 3 | 36 | −0.079 | 0.062 | 0.184 | 36 | −0.001 | 0.982 | 0.079 | 34 | 0.042 | 0.319 | 0.272 | |
| 4 | 36 | −0.067 | 0.135 | 0.135 | 35 | 0.002 | 0.973 | 0.065 | 31 | −0.014 | 0.817 | 0.267 | |
| Soluble fibre | 1 | 36 | −0.004 | 0.895 | 0.028 | 36 | −0.049 | 0.429 | 0.01 | 36 | −0.004 | 0.895 | 0.028 |
| 2 | 36 | −0.042 | 0.227 | 0.121 | 36 | −0.048 | 0.478 | 0.064 | 36 | −0.042 | 0.227 | 0.122 | |
| 3 | 36 | −0.093 | 0.026 | 0.223 | 36 | −0.003 | 0.965 | 0.079 | 34 | 0.025 | 0.488 | 0.259 | |
| 4 | 36 | −0.081 | 0.081 | 0.161 | 35 | 0.011 | 0.884 | 0.066 | 31 | −0.028 | 0.501 | 0.28 | |
| Vegetables | 1 | 36 | −0.056 | 0.153 | 0.033 | 36 | 0.025 | 0.594 | 0.02 | 36 | 0.049 | 0.029 | 0.112 |
| 2 | 36 | −0.037 | 0.061 | 0.177 | 36 | 0.03 | 0.552 | 0.07 | 36 | 0.042 | 0.042 | 0.257 | |
| 3 | 36 | −0.041 | 0.051 | 0.203 | 36 | 0.046 | 0.351 | 0.107 | 34 | 0.028 | 0.204 | 0.286 | |
| 4 | 36 | −0.038 | 0.071 | 0.168 | 35 | 0.053 | 0.304 | 0.105 | 31 | 0.013 | 0.646 | 0.266 | |
| Fruit | 1 | 36 | −0.022 | 0.188 | 0.023 | 36 | −0.016 | 0.667 | 0.023 | 36 | 0.015 | 0.064 | 0.073 |
| 2 | 36 | −0.03 | 0.086 | 0.162 | 36 | −0.015 | 0.704 | 0.077 | 36 | 0.014 | 0.059 | 0.245 | |
| 3 | 36 | −0.034 | 0.053 | 0.192 | 36 | −0.015 | 0.689 | 0.084 | 34 | 0.009 | 0.257 | 0.28 | |
| 4 | 36 | −0.029 | 0.131 | 0.137 | 35 | −0.004 | 0.909 | 0.066 | 31 | 0.005 | 0.585 | 0.275 | |
| Cereals | 1 | 36 | 0.041 | 0.146 | 0.034 | 36 | −0.065 | 0.257 | 0.009 | 36 | 0.024 | 0.095 | 0.054 |
| 2 | 36 | 0.036 | 0.182 | 0.131 | 36 | −0.063 | 0.295 | 0.045 | 36 | 0.022 | 0.098 | 0.225 | |
| 3 | 36 | 0.038 | 0.261 | 0.12 | 36 | −0.036 | 0.604 | 0.087 | 34 | 0.006 | 0.759 | 0.248 | |
| 4 | 36 | 0.035 | 0.311 | 0.095 | 35 | −0.102 | 0.185 | 0.13 | 31 | 0.001 | 0.977 | 0.265 | |
| Nuts | 1 | 36 | −0.032 | 0.022 | 0.119 | 36 | −0.021 | 0.585 | 0.02 | 36 | 0.003 | 0.789 | 0.028 |
| 2 | 36 | −0.038 | 0.005 | 0.286 | 36 | −0.22 | 0.593 | 0.071 | 36 | 0.001 | 0.933 | 0.152 | |
| 3 | 36 | −0.042 | 0.002 | 0.333 | 36 | −0.024 | 0.546 | 0.09 | 34 | −0.002 | 0.861 | 0.246 | |
| 4 | 36 | −0.054 | 0.001 | 0.433 | 35 | −0.02 | 0.645 | 0.074 | 31 | −0.016 | 0.194 | 0.321 | |
Publisher’s Note: MDPI stays neutral with regard to jurisdictional claims in published maps and institutional affiliations. |
© 2021 by the authors. Licensee MDPI, Basel, Switzerland. This article is an open access article distributed under the terms and conditions of the Creative Commons Attribution (CC BY) license (http://creativecommons.org/licenses/by/4.0/).
Share and Cite
Li, X.; Kimita, W.; Cho, J.; Ko, J.; Bharmal, S.H.; Petrov, M.S. Dietary Fibre Intake in Type 2 and New-Onset Prediabetes/Diabetes after Acute Pancreatitis: A Nested Cross-Sectional Study. Nutrients 2021, 13, 1112. https://doi.org/10.3390/nu13041112
Li X, Kimita W, Cho J, Ko J, Bharmal SH, Petrov MS. Dietary Fibre Intake in Type 2 and New-Onset Prediabetes/Diabetes after Acute Pancreatitis: A Nested Cross-Sectional Study. Nutrients. 2021; 13(4):1112. https://doi.org/10.3390/nu13041112
Chicago/Turabian StyleLi, Xinye, Wandia Kimita, Jaelim Cho, Juyeon Ko, Sakina H. Bharmal, and Maxim S. Petrov. 2021. "Dietary Fibre Intake in Type 2 and New-Onset Prediabetes/Diabetes after Acute Pancreatitis: A Nested Cross-Sectional Study" Nutrients 13, no. 4: 1112. https://doi.org/10.3390/nu13041112
APA StyleLi, X., Kimita, W., Cho, J., Ko, J., Bharmal, S. H., & Petrov, M. S. (2021). Dietary Fibre Intake in Type 2 and New-Onset Prediabetes/Diabetes after Acute Pancreatitis: A Nested Cross-Sectional Study. Nutrients, 13(4), 1112. https://doi.org/10.3390/nu13041112

