Sesquiterpenoids from the Florets of Carthamus tinctorius (Safflower) and Their Anti-Atherosclerotic Activity
Abstract
1. Introduction
2. Results and Discussion
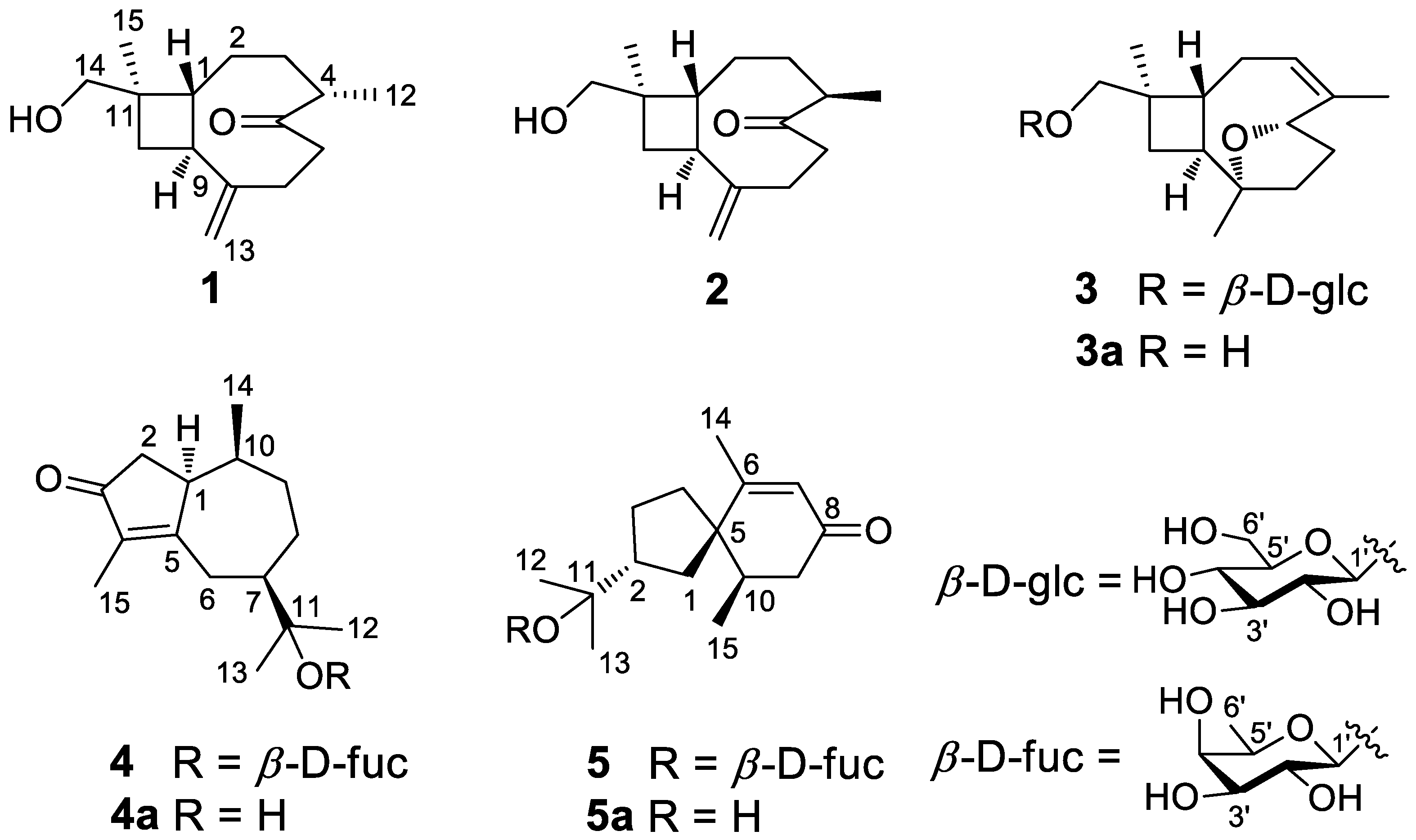
2.1. Structure Elucidation of Compounds 1–5
2.2. Anti-Atherosclerotic Activity of Compounds 1–5 and Aglycones 3a–5a
3. Experimental Section
3.1. General Experimental Procedures
3.2. Plant Material
3.3. Extraction and Isolation
3.4. Spectroscopic Data
3.5. Enzymatic Hydrolysis of Compounds 3–5
3.6. ECD Calculation
3.7. Cell Viability Assay
3.8. Nile Red Staining
3.9. Oil Red O Staining
3.10. ELISA
4. Conclusions
Supplementary Materials
Author Contributions
Funding
Data Availability Statement
Conflicts of Interest
References
- Cao, H.; Jia, Q.; Yan, L.; Chen, C.; Xing, S.; Shen, D. Quercetin suppresses the progression of atherosclerosis by regulating MST1-mediated autophagy in ox-LDL-induced RAW264.7 macrophage foam cells. Int. J. Mol. Sci. 2019, 20, 6093. [Google Scholar] [CrossRef] [PubMed]
- Chen, F.; Guo, N.; Cao, G.; Zhou, J.; Yuan, Z. Molecular analysis of curcumin-induced polarization of murine RAW264.7 macrophages. J. Cardiovasc. Pharmacol. 2014, 63, 544–552. [Google Scholar] [CrossRef] [PubMed]
- Wang, Y.; Jia, Q.; Zhang, Y.; Wei, J.; Liu, P. Taoren honghua drug attenuates atherosclerosis and plays an anti-inflammatory role in ApoE knock-out mice and RAW264.7 cells. Front. Pharmacol. 2020, 11, 1070. [Google Scholar] [CrossRef]
- Yu, B.; Zhang, G.; Jin, L.; Zhang, B.; Yan, D.; Yang, H.; Ye, Z.; Ma, T. Inhibition of PAI-1 activity by toddalolactone as a mechanism for promoting blood circulation and removing stasis by Chinese herb Zanthoxylum nitidum var. tomentosum. Front. Pharmacol. 2017, 8, 489. [Google Scholar] [CrossRef]
- Yuan, R.; Shi, W.L.; Xin, Q.Q.; Chen, K.J.; Cong, W.H. Holistic regulation of angiogenesis with chinese herbal medicines as a new option for coronary artery disease. Evid.-Based Complement. Altern. Med. 2018, 2018, 3725962. [Google Scholar] [CrossRef]
- Bai, Y.; Lu, P.; Han, C.; Yu, C.; Chen, M.; He, F.; Yi, D.; Wu, L. Hydroxysafflor yellow A (HSYA) from flowers of Carthamus tinctorius L. and its vasodilatation effects on pulmonary artery. Molecules 2012, 17, 14918–14927. [Google Scholar] [CrossRef]
- Wang, H.; Liu, J.; Yang, Y.; Cao, Q.; Huo, X.; Ma, S.; Hu, J.; Pavalko, F.M.; Liu, Q. Hydroxy-safflower yellow A inhibits the TNFR1-mediated classical NF-κB pathway by inducing shedding of TNFR1. Phytother. Res. 2016, 30, 790–796. [Google Scholar] [CrossRef]
- Yu, S.Y.; Lee, Y.J.; Kim, J.D.; Kang, S.N.; Lee, S.K.; Jang, J.Y.; Lee, H.K.; Lim, J.H.; Lee, O.H. Phenolic composition, antioxidant activity and anti-adipogenic effect of hot water extract from safflower (Carthamus tinctorius L.) seed. Nutrients 2013, 5, 4894–4907. [Google Scholar] [CrossRef]
- Maneesai, P.; Prasarttong, P.; Bunbupha, S.; Kukongviriyapan, U.; Kukongviriyapan, V.; Tangsucharit, P.; Prachaney, P.; Pakdeechote, P. Synergistic antihypertensive effect of Carthamus tinctorius L. extract and captopril in L-NAME-induced hypertensive rats via restoration of eNOS and AT1R expression. Nutrients 2016, 8, 122. [Google Scholar] [CrossRef]
- Jeong, E.H.; Yang, H.; Kim, J.; Lee, K.W. Safflower seed oil and its active compound acacetin inhibit UVB-induced skin photoaging. J. Microbiol. Biotechnol. 2020, 30, 1567–1573. [Google Scholar] [CrossRef]
- Ju, G.; Liu, Y. Study of safflower on blood lactate concentration and exercise function of mice after exercise. Afr. J. Biotechnol. 2011, 10, 9148–9152. [Google Scholar] [CrossRef][Green Version]
- Hong, H.; Lim, J.M.; Kothari, D.; Kwon, S.H.; Kwon, H.C.; Han, S.; Kim, S. Antioxidant properties and diet-related α-glucosidase and lipase inhibitory activities of yogurt supplemented with safflower (Carthamus tinctorius L.) petal extract. Food Sci. Anim. Resour. 2021, 41, 122–134. [Google Scholar] [CrossRef] [PubMed]
- Mani, V.; Lee, S.; Yeo, Y.; Hahn, B. A metabolic perspective and opportunities in pharmacologically important safflower. Metabolites 2020, 10, 253. [Google Scholar] [CrossRef] [PubMed]
- Tso, P.; Caldwell, J.; Lee, D.; Boivin, G.P.; DeMichele, S.J. Comparison of growth, serum biochemistries and n-6 fatty acid metabolism in rats fed diets supplemented with high-gamma-linolenic acid safflower oil or borage oil for 90 days. Food Chem. Toxicol. 2012, 50, 1911–1919. [Google Scholar] [CrossRef]
- Yue, S.J.; Qu, C.; Zhang, P.X.; Tang, Y.P.; Jin, Y.; Jiang, J.S.; Yang, Y.N.; Zhang, P.C.; Duan, J.A. Carthorquinosides A and B, quinochalcone C-glycosides with diverse dimeric skeletons from Carthamus tinctorius. J. Nat. Prod. 2016, 79, 2644–2651. [Google Scholar] [CrossRef]
- Zhang, H.; Duan, C.P.; Luo, X.; Feng, Z.M.; Yang, Y.N.; Zhang, X.; Jiang, J.S.; Zhang, P.C. Two new quinochalcone glycosides from the safflower yellow pigments. J. Asian Nat. Prod. Res. 2020, 22, 1130–1137. [Google Scholar] [CrossRef]
- Yue, S.; Tang, Y.; Xu, C.; Li, S.; Zhu, Y.; Duan, J.A. Two new quinochalcone C-glycosides from the florets of Carthamus tinctorius. Int. J. Mol. Sci. 2014, 15, 16760–16771. [Google Scholar] [CrossRef]
- Zhou, X.; Tang, L.; Xu, Y.; Zhou, G.; Wang, Z. Towards a better understanding of medicinal uses of Carthamus tinctorius L. in traditional Chinese medicine: A phytochemical and pharmacological review. J. Ethnopharmacol. 2014, 151, 27–43. [Google Scholar] [CrossRef]
- Cazarolli, L.H.; Kappel, V.D.; Pereira, D.F.; Moresco, H.H.; Brighente, I.M.; Pizzolatti, M.G.; Silva, F.R. Anti-hyperglycemic action of apigenin-6-C-β-fucopyranoside from Averrhoa carambola. Fitoterapia 2012, 83, 1176–1183. [Google Scholar] [CrossRef]
- Suzuki, R.; Okada, Y.; Okuyama, T. A new flavone C-glycoside from the style of Zea mays L. with glycation inhibitory activity. Chem. Pharm. Bull. 2003, 51, 1186–1188. [Google Scholar] [CrossRef]
- Barrero, A.F.; Haïdour, A.; Sedqui, A.; Mansour, A.I.; Rodríguez-García, I.; López, A.; Muñoz-Dorado, M. Saikosaponins from roots of Bupleurum gibraltaricum and Bupleurum spinosum. Phytochemistry 2000, 54, 741–745. [Google Scholar] [CrossRef] [PubMed]
- Liu, Z.; Jia, Z.; Cates, R.G.; Li, D.; Owen, N.L. Triterpenoid saponins from Clinopodium chinensis. J. Nat. Prod. 1995, 58, 184–188. [Google Scholar] [CrossRef] [PubMed]
- Eskander, J.; Lavaud, C.; Harakat, D. Steroidal saponins from the leaves of Beaucarnea recurvata. Phytochemistry 2011, 72, 946–951. [Google Scholar] [CrossRef] [PubMed]
- Chen, S.P.; Su, J.H.; Yeh, H.C.; Ahmed, A.F.; Dai, C.F.; Wu, Y.C.; Sheu, J.H. Novel norhumulene and xeniaphyllane-derived terpenoids from a formosan soft coral Sinularia gibberosa. Chem. Pharm. Bull. 2009, 57, 162–166. [Google Scholar] [CrossRef][Green Version]
- Li, X.R.; Liu, J.; Peng, C.; Zhou, Q.M.; Liu, F.; Guo, L.; Xiong, L. Polyacetylene glucosides from the florets of Carthamus tinctorius and their anti-inflammatory activity. Phytochemistry 2021, 187, 112770. [Google Scholar] [CrossRef]
- Tsui, W.Y.; Brown, G. Acid-catalysed rearrangement of caryophyllene oxide. J. Chem. Soc. Perkin Trans. 1996, 1, 2507–2509. [Google Scholar] [CrossRef]
- Yu, Y.; Gao, H.; Dai, Y.; Xiao, G.K.; Zhu, H.J.; Yao, X.S. Guaiane-type sesquiterpenoid glucosides from Gardenia jasminoides Ellis. Magn. Reason. Chem. 2011, 49, 258–261. [Google Scholar] [CrossRef]
- Taglialatela-Scafati, O.; Pollastro, F.; Cicione, L.; Chianese, G.; Bellido, M.L.; Munoz, E.; Ozen, H.C.; Toker, Z.; Appendino, G. STAT-3 inhibitory bisabolanes from Carthamus glaucus. J. Nat. Prod. 2012, 75, 453–458. [Google Scholar] [CrossRef]
- Yin, X.; Liu, Y.; Pan, J.; Ye, H.L.; Sun, Y.; Zhao, D.Y.; Kuang, H.X.; Yang, B.Y. Melongenaterpenes A-L, vetispirane-type sesquiterpenoids from the roots of Solanum melongena. J. Nat. Prod. 2019, 82, 3242–3248. [Google Scholar] [CrossRef]
- Liu, B.; Zhang, B.; Guo, R.; Li, S.; Xu, Y. Enhancement in efferocytosis of oxidized low-density lipoprotein-induced apoptotic RAW264.7 cells through Sirt1-mediated autophagy. Int. J. Mol. Med. 2014, 33, 523–533. [Google Scholar] [CrossRef]
- Yuan, Y.; Li, P.; Ye, J. Lipid homeostasis and the formation of macrophage-derived foam cells in atherosclerosis. Protein Cell 2012, 3, 173–181. [Google Scholar] [CrossRef] [PubMed]
- Gotō, H.; Ōsawa, E. Corner flapping: A simple and fast algorithm for exhaustive generation of ring conformations. J. Am. Chem. Soc. 1989, 111, 8950–8951. [Google Scholar] [CrossRef]
- Gotō, H.; Ōsawa, E. An efficient algorithm for searching low-energy conformers of cyclic and acyclic molecules. J. Chem. Soc. Perkin Trans. 1993, 2, 187–198. [Google Scholar] [CrossRef]
- Gaussian 16, Revision B.01; Gaussian, Inc.: Wallingford, CT, USA, 2006.
- Liu, Y.; Liu, F.; Qiao, M.M.; Guo, L.; Chen, M.H.; Peng, C.; Xiong, L. Curcumanes A and B, two bicyclic sesquiterpenoids with significant vasorelaxant activity from Curcuma longa. Org. Lett. 2019, 21, 1197–1201. [Google Scholar] [CrossRef]
- Spec Dis, Version 1.71; University of Würzburg: Würzburg, Germany, 2017.







| No. | 1 | 2 | 3 | 3a |
|---|---|---|---|---|
| 1 | 1.83 m | 1.64 m | 2.17 m | 2.07–2.01 m |
| 2 | 1.43 m 1.38 m | 1.65 m 1.32 m | 2.07 m | 2.07–2.01 m |
| 3 | 1.75 m 1.55 m | 1.81 m 1.64 m | 5.38 m | 5.38 m |
| 4 | 2.67 m | 2.60 m | ||
| 5 | 4.50 dd (9.6, 5.4) | 4.51 dd (9.6, 5.4) | ||
| 6 | 2.64 m 2.39 m | 2.62 m 2.50 m | 2.49 m 2.01 m | 2.49 m 2.07–2.01 m |
| 7 | 2.48 m 2.37 m | 2.48 m | 2.37 m 1.61 m | 2.30 m 1.61 m |
| 9 | 2.23 m | 2.46 m | 2.11 m | 2.07–2.01 m |
| 10 | 1.79 dd (10.8, 10.2) 1.54 dd (10.8, 9.0) | 1.73 dd (10.8, 10.2) 1.47 dd (10.2, 8.4) | 1.69 dd (10.8, 10.2) 1.45 dd (10.2, 7.8) | 1.52 dd (10.2, 10.2) 1.42 dd (10.2, 7.8) |
| 12 | 1.03 d (7.2) | 1.01 d (6.6) | 1.66 s | 1.65 s |
| 13 | 5.05 brs 5.01 brs | 4.93 brs 4.90 brs | 1.18 s | 1.18 s |
| 14 | 3.24 d (11.4) | 3.20 d (11.4) | 3.68 d (10.2) 3.24 d (10.2) | 3.25 d (10.8) |
| 15 | 0.97 s | 0.99 s | 1.07 s | 1.03 s |
| 1′ | 4.24 d (7.8) | |||
| 2′ | 3.19 dd (9.0, 7.8) | |||
| 3′ | 3.33 t (9.0) | |||
| 4′ | 3.27 t (9.0) | |||
| 5′ | 3.27 ddd (9.0, 6.0, 2.4) | |||
| 6′ | 3.86 dd (12.0, 2.4) 3.67 dd (12.0, 6.0) |
| No. | 1 | 2 | 3 | 4 | 5 |
|---|---|---|---|---|---|
| 1 | 49.6 | 47.7 | 41.0 | 47.2 | 32.5 |
| 2 | 27.2 | 28.8 | 30.9 | 42.3 | 52.2 |
| 3 | 31.2 | 32.3 | 124.1 | 211.3 | 28.8 |
| 4 | 48.6 | 49.0 | 140.8 | 138.3 | 35.9 |
| 5 | 219.4 | 220.0 | 82.0 | 181.1 | 51.7 |
| 6 | 42.9 | 43.4 | 35.5 | 35.3 | 173.3 |
| 7 | 35.7 | 33.0 | 32.2 | 47.3 | 125.9 |
| 8 | 155.1 | 154.0 | 87.3 | 28.5 | 202.4 |
| 9 | 44.1 | 44.5 | 50.4 | 38.0 | 43.6 |
| 10 | 35.6 | 34.3 | 31.7 | 36.8 | 38.5 |
| 11 | 39.3 | 39.8 | 39.0 | 81.3 | 79.2 |
| 12 | 17.2 | 17.2 | 26.3 | 22.8 | 26.2 |
| 13 | 112.4 | 112.1 | 26.7 | 25.2 | 24.7 |
| 14 | 71.0 | 71.2 | 78.1 | 12.5 | 21.3 |
| 15 | 17.6 | 17.6 | 17.0 | 7.9 | 16.8 |
| 1′ | 104.7 | 98.9 | 98.9 | ||
| 2′ | 75.8 | 72.5 | 72.6 | ||
| 3′ | 78.4 | 75.3 | 75.4 | ||
| 4′ | 71.7 | 73.1 | 73.1 | ||
| 5′ | 77.9 | 71.4 | 71.5 | ||
| 6′ | 62.8 | 16.8 | 17.1 |
| No. | 4 | 4a | 5 | 5a |
|---|---|---|---|---|
| 1 | 3.20 m | 3.22 m | 1.98 dd (13.8, 7.2) 1.67 dd (13.8, 12.0) | 1.92 dd (13.8, 7.2) 1.55 dd (13.8, 12.0) |
| 2 | 2.55 dd (18.6, 6.0) 2.03 d (18.6) | 2.58 dd (18.6, 6.0) 2.03 d (18.6) | 2.17 m | 2.07 m |
| 3 | 1.84 m | 1.86 m | ||
| 4 | 1.84 m | 1.86 m | ||
| 6 | 3.38 m 2.18 m | 3.38 m 2.27 m | ||
| 7 | 1.95 m | 2.04 m | 5.74 brs | 5.75 brs |
| 8 | 1.92 m 1.30 m | 1.95 m 1.30 m | ||
| 9 | 1.85 m 1.77 m | 1.87 m 1.75 m | 2.42 dd (16.8, 4.2) 2.24 dd (16.8, 9.6) | 2.45 dd (16.8, 4.2) 2.24 dd (16.8, 9.6) |
| 10 | 2.13 m | 2.14 m | 2.10 m | 2.12 m |
| 12 | 1.21 s | 1.19 s | 1.27 s | 1.21 s |
| 13 | 1.33 s | 1.24 s | 1.26 s | 1.21 s |
| 14 | 0.64 d (7.2) | 0.64 d (7.2) | 2.04 d (1.2) | 2.02 d (0.6) |
| 15 | 1.66 s | 1.66 s | 1.05 d (6.6) | 1.04 d (6.6) |
| 1′ | 4.42 d (7.8) | 4.42 d (7.8) | ||
| 2′ | 3.42 dd (9.6, 7.8) | 3.41 dd (9.6, 7.8) | ||
| 3′ | 3.46 dd (9.6, 3.6) | 3.47 dd (9.6, 3.6) | ||
| 4′ | 3.56 d (3.6) | 3.59 d (3.6) | ||
| 5′ | 3.58 q (6.6) | 3.62 q (6.0) | ||
| 6′ | 1.09 d (6.6) | 1.24 d (6.0) |
Publisher’s Note: MDPI stays neutral with regard to jurisdictional claims in published maps and institutional affiliations. |
© 2022 by the authors. Licensee MDPI, Basel, Switzerland. This article is an open access article distributed under the terms and conditions of the Creative Commons Attribution (CC BY) license (https://creativecommons.org/licenses/by/4.0/).
Share and Cite
Li, L.; Liu, J.; Li, X.; Guo, Y.; Fan, Y.; Shu, H.; Wu, G.; Peng, C.; Xiong, L. Sesquiterpenoids from the Florets of Carthamus tinctorius (Safflower) and Their Anti-Atherosclerotic Activity. Nutrients 2022, 14, 5348. https://doi.org/10.3390/nu14245348
Li L, Liu J, Li X, Guo Y, Fan Y, Shu H, Wu G, Peng C, Xiong L. Sesquiterpenoids from the Florets of Carthamus tinctorius (Safflower) and Their Anti-Atherosclerotic Activity. Nutrients. 2022; 14(24):5348. https://doi.org/10.3390/nu14245348
Chicago/Turabian StyleLi, Lei, Juan Liu, Xinrui Li, Yuqin Guo, Yunqiu Fan, Hongzhen Shu, Guangxu Wu, Cheng Peng, and Liang Xiong. 2022. "Sesquiterpenoids from the Florets of Carthamus tinctorius (Safflower) and Their Anti-Atherosclerotic Activity" Nutrients 14, no. 24: 5348. https://doi.org/10.3390/nu14245348
APA StyleLi, L., Liu, J., Li, X., Guo, Y., Fan, Y., Shu, H., Wu, G., Peng, C., & Xiong, L. (2022). Sesquiterpenoids from the Florets of Carthamus tinctorius (Safflower) and Their Anti-Atherosclerotic Activity. Nutrients, 14(24), 5348. https://doi.org/10.3390/nu14245348

