Black Sea Mussels Qualitative and Quantitative Chemical Analysis: Nutritional Benefits and Possible Risks through Consumption
Abstract
:1. Introduction
2. Materials and Methods
2.1. Analysis of Seasonal Biochemical Composition Variation
2.2. Analysis of the Total Lipid Extract Isolated and Purified from Mussel
- (1)
- Freshly diced and homogenized tissue (500 g) was treated with 800 mL chloro-form-methanol (2: 1 v/v) mixture using the Soxhlet method for total lipids extraction;
- (2)
- Following extraction of the lipid fraction, the extraction solvent was removed by concentration in a 4001 rotary evaporator (LABOROTA, Schwabach, Germany);
- (3)
- The total lipid extract was further purified by treatment with a mixture of chloroform: methanol: 0.9% KCl solution (10:10:9 v/v); The lower layer was next retained and concentrated by rotary evaporation, thus obtaining the purified lipid extract;
- (4)
- The purified total lipid extract was treated with 100 mL of acetone and incubated for 24 h at 4 °C, then filtered, retaining both the precipitate and the filtrate;
- (5)
- The precipitate was dissolved in chloroform, using 0.002% butylated-hydroxytoluene (BHT, Sigma-Aldrich, St. Louis, MO, USA) as an antioxidant: this fraction (fraction “a”) contains polar lipids;
- (6)
- The filtrate was evaporated in vacuum and redissolved in n-hexane, with 0.002% BHT as an antioxidant, thus yielding fraction “b”, containing neutral lipids;
- (7)
- The polar lipids in fraction “a” were separated by column chromatography on silica gel (60G Merck, Darmstadt, Germany), and residual neutral lipids were removed by elution with chloroform, yielding fraction no. 1 (containing glycolipids) by elution with acetone and fraction no. 2 (containing phospholipids) by elution with methanol;
- (8)
- Column chromatography on silica gel (60G) was used to separate neutral lipids in fraction “b”. At the same time, hydrocarbons and pigments were removed by elution with n-hexane, and the fatty acid methyl esters were removed by elution with a mixture of n-hexane: diethyl ether (70:5 v/v). Fraction no. 3 was thus obtained (containing triglycerides) by elution with chloroform, as mobile phase.
- (9)
- According to the Romanian Pharmacopoeia, the tenth edition (R Ph X) [36], the total lipid fraction isolated and purified from the mussel meat was characterized by analyzing acidic, esterification, saponification, and iodine indexes.
2.3. Analysis of the Heavy Metals from Mussels
2.4. Risk Characterisation to Consumer’s Health
2.4.1. Bioconcentration Factor
2.4.2. Estimated Daily Intake (EDI)
2.4.3. Hazard Quotient (HQ)
2.5. Statistical Analyses
3. Results
3.1. Seasonal Biochemical Composition Variation of Mussel
- -
- flesh: 21.14–27.56%;
- -
- juice: 15.76–18.94%;
- -
- shells: 53.5–63.1%.
3.2. Composition of Total Lipid Extract from Mussel
- -
- The total lipid extract represents 14.32% of dry tissue.
- -
- The total fatty acids are 69.27% of the total lipid.
3.3. Heavy Metals Concentration from Mussels and Seawater
3.4. Estimated Risk to Consumers
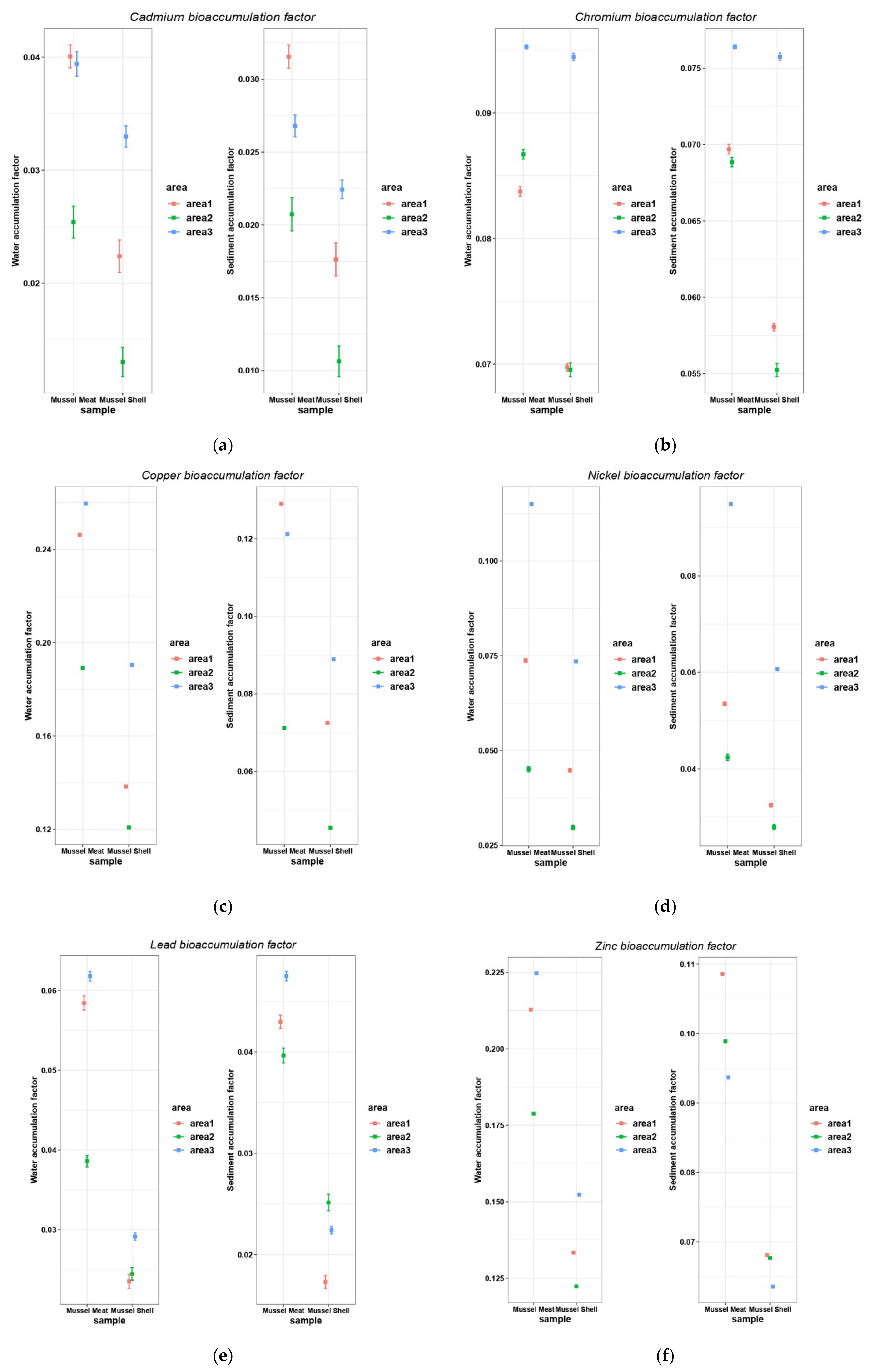
3.4.1. Bioconcentration Factor
3.4.2. Estimated Risk through Mussel Consumption
4. Discussion
5. Conclusions
Author Contributions
Funding
Institutional Review Board Statement
Informed Consent Statement
Data Availability Statement
Conflicts of Interest
References
- Venugopal, V.; Gopakumar, K. Shellfish: Nutritive Value, Health Benefits, and Consumer Safety. Compr. Rev. Food Sci. Food Saf. 2017, 16, 1219–1242. [Google Scholar] [CrossRef] [PubMed] [Green Version]
- Food and Agriculture Organization (FAO); International Network of Food Data Systems (INFOODS). Global Food Composition Database for Fish and Shellfish; Version 10-uFiSh10; Food and Agriculture Organization (FAO): Rome, Italy, 2016. [Google Scholar]
- Cherifi, H.; Ajjabi, L.C.; Sadok, S. Nutritional value of the Tunisian mussel Mytilus galloprovincialis with a special emphasis on lipid quality. Food Chem. 2018, 268, 307–314. [Google Scholar] [CrossRef] [PubMed]
- Grienke, U.; Silke, J.; Tasdemir, D. Bioactive compounds from marine mussels and their effects on human health. Food Chem. 2014, 142, 48–60. [Google Scholar] [CrossRef] [PubMed]
- Tenikoff, D.; Murphy, K.J.; Le, M.; Howe, P.R.; Howarth, G.S. Lyprinol (stabilised lipid extract of New Zealand green-lipped mussel): A potential preventative treatment modality for inflammatory bowel disease. J. Gastroenterol. 2005, 40, 361–365. [Google Scholar] [CrossRef] [PubMed]
- Jung, W.K.; Kim, S.K. Isolation and characterization of an anticoagulant oligopeptide from blue mussel, Mytilus edulis. Food Chem. 2009, 117, 687–692. [Google Scholar] [CrossRef]
- Fuentes, A.; Fernández-Segovia, I.; Escriche, I.; Serra, J.A. Comparison of physico-chemical parameters and composition of mussels (Mytilus galloprovincialis Lmk.) from different Spanish origins. Food Chem. 2009, 112, 295–302. [Google Scholar] [CrossRef]
- Chi, C.F.; Zhang, J.S.; Wu, C.W.; Xu, M.Y.; Wang, B. Analysis and evaluation of nutrition composition of mussel. Adv. Mater. Res. 2012, 554–556, 1455–1458. [Google Scholar]
- Bohrer, B.M. Review: Nutrient density and nutritional value of meat products and non-meat foods high in protein. Trends Food Sci. Technol. 2017, 65, 103–112. [Google Scholar] [CrossRef]
- Mititelu, M.; Ioniţă, A.C.; Moroşan, E. Research regarding integral processing of mussels from Black Sea. Farmacia 2014, 62, 625–632. [Google Scholar]
- Ferreira, J.G.; Hawkins, A.J.S.; Bricker, S.B. Management of productivity, environmental effects and profitability of shellfish aquaculture—The Farm Aquaculture Resource Management (FARM) model. Aquaculture 2007, 264, 160–174. [Google Scholar] [CrossRef]
- Pérez-Cano, F.J. Mediterranean Diet, Microbiota and Immunity. Nutrients 2022, 14, 273. [Google Scholar] [CrossRef]
- Ioniţă, A.C.; Ghica, M.; Moroşan, E.; Nicolescu, F.; Mititelu, M. In vitro effects of some synthesized aminoacetanilide N’-substituted on human leukocytes separated from peripheral blood. Farmacia 2019, 67, 684–690. [Google Scholar] [CrossRef]
- Mozaffarian, D.; Wu, J.H. Omega-3 fatty acids and cardiovascular disease: Effects on risk factors, molecular pathways, and clinical events. J. Am. Coll. Cardiol. 2011, 58, 2047–2067. [Google Scholar] [CrossRef] [PubMed] [Green Version]
- Gil, A.; Gil, F. Fish, a Mediterranean source of n-3 PUFA: Benefits do not justify limiting consumption. Br. J. Nutr. 2015, 113 (Suppl. 2), S58–S67. [Google Scholar] [CrossRef] [PubMed] [Green Version]
- Li, G.P.; Fu, Y.Q.; Zheng, J.S.; Li, D. Anti-inflammatory activity and mechanism of a lipid extract from hard-shelled mussel (Mytilus coruscus) on chronic arthritis in rats. Mar. Drugs 2014, 12, 568–588. [Google Scholar] [CrossRef] [PubMed] [Green Version]
- Patterson, A.C.; Chalil, A.; Henao, J.J.A.; Streit, I.T.; Stark, K.D. Omega-3 polyunsaturated fatty acid blood biomarkers increase linearly in men and women after tightly controlled intakes of 0.25, 0.5, and 1 g/d of EPA + DHA. Nutr. Res. 2015, 35, 1040–1051. [Google Scholar] [CrossRef]
- Calder, P.C. Marine omega-3 fatty acids and inflammatory processes: Effects, mechanisms and clinical relevance. Biochim. Biophys. Acta. 2015, 1851, 469–484. [Google Scholar] [CrossRef]
- Sinclair, A.J.; Murphy, K.J.; Li, D. Marine lipids: Overview “news insights and lipid composition of Lyprinol”. Allerg. Immunol. 2000, 32, 261–271. [Google Scholar]
- Raikow, D.F.; Hamilton, S.K. Bivalve diets in a Midwestern U.S. stream: A stable isotope enrichment study. Limnol. Oceanogr. 2001, 46, 514–522. [Google Scholar] [CrossRef]
- Gallardi, D. Effects of bivalve aquaculture on the environment and their possible mitigation: A review. Fish. Aquac. J. 2014, 5, 1. [Google Scholar] [CrossRef] [Green Version]
- Brunner, E.J.; Jones, P.J.; Friel, S.; Bartley, M. Fish, human health and marine ecosystem health: Policies in collision. Int. J. Epidemiol. 2009, 38, 93–100. [Google Scholar] [CrossRef] [PubMed]
- Anacleto, P.; Maulvault, A.L.; Nunes, M.L.; Carvallo, M.L.; Rosa, R.; Marques, A. Effects of depuration on metal levels and health status of bivalve mollusks. Food Control 2015, 47, 493–501. [Google Scholar] [CrossRef]
- Domingo, J.L. Nutrients and chemical pollutants in fish and shellfish: Balancing health benefits and risks of regular fish consumption. Crit. Rev. Food Sci. Nut. 2016, 56, 979–988. [Google Scholar] [CrossRef] [PubMed]
- Hargrave, B.T.; Doucette, L.I.; Cranford, P.J.; Law, B.A.; Milligan, T.G. Influence of mussel aquaculture on sediment organic enrichment in a nutrient-rich coastal embayment. Mar. Ecol. Prog. Ser. 2008, 365, 137–149. [Google Scholar] [CrossRef]
- Orban, E.; Di Lena, G.; Nevigato, T.; Casini, I.; Marzetti, A.; Caproni, R. Seasonal changes in meat content, condition index and chemical composition of mussels (Mytilus galloprovincialis) cultured in two different Italian sites. Food Chem. 2002, 77, 57–65. [Google Scholar] [CrossRef]
- Çelik, M.Y.; Karayücel, S.; Karayücel, İ.; Öztürk, R.; Eyüboğlu, B. Meat yield, condition index, and biochemical composition of mussels (Mytilus galloprovincialis Lamarck, 1819) in Sinop, South of the Black Sea. J. Aquat. Food Prod. Technol. 2012, 21, 198–205. [Google Scholar] [CrossRef]
- Järup, L. Hazards of heavy metal contamination. Br. Med. Bull. 2003, 68, 167–182. [Google Scholar] [CrossRef] [Green Version]
- Nedelescu, M.; Baconi, D.; Neagoe, A.; Iordache, V.; Stan, M.; Ciobanu, A.M.; Vardavas, A.I.; Vinceti, M.; Tsatsakis, A.M. Environmental metal contamination and health impact assessment in two industrial regions of Romania. Sci. Total Environ. 2017, 580, 984–995. [Google Scholar] [CrossRef]
- Alissa, E.M.; Ferns, G.A. Heavy Metal Poisoning and Cardiovascular Disease. J. Toxicol. 2011, 2011, 870125. [Google Scholar] [CrossRef]
- Nedelescu, M.; Stan, M.; Ciobanu, A.-M.; Bălălău, C.; Filippini, T.; Baconi, D. Attention deficit among preschool and school-aged children living near former metal-processing plants in Romania. Environ. Res. 2022, 208, 112689. [Google Scholar] [CrossRef]
- Kjeldahl, J. New method for the determination of nitrogen in organic substances. Z. Anal. Chem. 1883, 22, 366–383. [Google Scholar] [CrossRef] [Green Version]
- Christie, W.W.; Han, X. Lipid Analysis—Isolation, Separation, Identification and Lipidomic Analysis, 4th ed.; Oily Press: Bridgwater, UK, 2010; pp. 403–405. [Google Scholar]
- Fernell, W.R.; King, H.K. The simultaneous determination of pentose and hexose in mixtures of sugars. Analyst 1953, 78, 80–83. [Google Scholar] [CrossRef]
- Yamamoto, C. A method for determining sugar and glycogen in the tissues by orcinol sulphuric acid method. J. Biochem. 1940, 32, 389–399. [Google Scholar] [CrossRef]
- XXX Romanian Pharmacopoeia, 10th ed.; Editura Medicală: Bucharest, Romania, 1993.
- Mititelu, M.; Moroşan, E.; Neacsu, S.M.; Ioniţă, E.I. Research regarding the pollution degree from romanian Black Sea coast. Farmacia 2018, 66, 1059–1063. [Google Scholar] [CrossRef]
- Mititelu, M.; Ghica, M.; Ionita, A.C.; Moroşan, E. The influence of heavy metals contamination in soil on the composition of some wild edible mushrooms. Farmacia 2019, 67, 398–404. [Google Scholar] [CrossRef]
- Makedonski, L.; Ivanova, P.C.; Stancheva, M. Determination of some heavy metal of selected Black Sea fish species. Food Control 2015, 30, 313–318. [Google Scholar]
- Wang, W.X. Bioaccumulation and biomonitoring. In Marine Ecotoxicology; Academic Press: Cambridge, MA, USA, 2016; pp. 99–119. [Google Scholar]
- Jitar, O.; Teodosiu, C.; Oros, A.; Plavan, G.; Nicoara, M. Bioaccumulation of heavy metals in marine organism from the Romanian sector of the Black Sea. New Biotechnol. 2014, 32, 369–378. [Google Scholar] [CrossRef]
- Bat, L.; Arici, E.; Oztekin, A. Human Health Risk Assessment of Heavy Metals in the Black Sea: Evaluating Mussels. Curr. World Environ. 2018, 13, 15–31. [Google Scholar] [CrossRef] [Green Version]
- European Commission. Facts and Figures on the Common Fisheries Policy; European Commission: Brussels, Belgium, 2020; Available online: https://ec.europa.eu/oceans-and-fisheries/facts-and-figures/facts-and-figures-common-fisheries-policy/consumption_en (accessed on 15 January 2022).
- World Health Organization (WHO); Food and Agriculture Organization (FAO). Guidelines for the Safe Use of Wastewater and Food Stuff; Report of the Joint WHO/FAO; World Health Organization (WHO): Geneva, Switzerland, 2013; Volume 2, Available online: https://www.who.int/water_sanitation_health/wastewater/wwuvol2intro.pdf (accessed on 10 January 2022).
- Guidelines for the Simple Evaluation of Dietary Exposure to Food Additives. 2014. Available online: http://www.codexalimentarius.org (accessed on 22 January 2022).
- R Core Team. R: A Language and Environment for Statistical Computing; R Foundation for Statistical Computing: Vienna, Austria, 2020; Available online: https://www.R-project.org/ (accessed on 10 January 2022).
- Albeanu, G.; Ghica, M.; Popentiu-Vladicescu, F. On using bootstrap scenario-generation for multiperiod stochastic programming applications. Int. J. Comput. Commun. Control 2008, 3, 156–161. [Google Scholar]
- Bat, L.; Ustun, F.; Baki, O.G. Trace Element Concentrations in the Mediterranean Mussel Mytilus galloprovincialis Lamarck, 1819 Caught from Sinop Coast of the Black Sea, Turkey. Open Mar. Biol. J. 2012, 6, 1–5. [Google Scholar] [CrossRef]
- European Union. Commission Regulation (EC) No. 1881/2006 setting maximum levels for certain contaminants in foodstuffs. Off. J. Eur. Union 2006, L173, 6–9. [Google Scholar]
- Romanian Ministry of Environment and Sustainable Development. Order No. 1888 of November 28, 2007 on the Approval of the List of Organohalogenated Substances and Heavy Metals, as Well as the Maximum Permissible Limits for Organohalogenated Substances and Heavy Metals in Water and Sedimentary Substrate; Official Gazette; Romanian Ministry of Environment and Sustainable Development: Bucharest, Romania, 2007; Volume 839.
- Rodriguez-Hernandez, A.; Zumbado, M.; Henriquez-Hernandez, L.A.; Boada, L.D.; Luzardo, O.P. Dietary Intake of Essential, Toxic, and Potentially Toxic Elements from Mussels (Mytilus spp.) in the Spanish Population: A Nutritional Assessment. Nutrients 2019, 11, 864. [Google Scholar] [CrossRef] [PubMed] [Green Version]
- Bogdanovic, T.; Ujevic, I.; Sedak, M.; Listes, E.; Simat, V.; Petricevic, S.; Poljak, V. As, Cd, Hg and Pb in four edible shellfish species from breeding and harvesting areas along the eastern Adriatic Coast, Croatia. Food Chem. 2014, 146, 197–203. [Google Scholar] [CrossRef] [PubMed]
- Djedjibegovic, J.; Marjanovic, A.; Tahirovic, D.; Caklovica, K.; Turalic, A.; Lugusic, A.; Omeragić, E.; Šober, M.; Čaklovica, F. Heavy metals in commercial fish and seafood products and risk assessment in adult population in Bosnia and Herzegovina. Sci. Rep. 2020, 10, 13238. [Google Scholar] [CrossRef] [PubMed]
- Peteva, Z.; Georgieva, S.; Krock, B.; Gerasimova, A.; Stancheva, M.; Merdzhanova, A. Lipophilic Marine Biotoxins in Mussels from Bulgarian Coast and Dietary Intake of Different Population Groups. Proc. Nutr. Soc. 2020, 79, E325. [Google Scholar] [CrossRef]
- Bat, L.; Oztekin, A.; Arici, E.; Sahin, F. Mytilus Galloprovincialis and Metal Contaminants: Health Risk Assessment from Sinop Coasts. Korean J. Food Health Converg. 2021, 7, 13–21. [Google Scholar]
- Yigit, M.; Celikkol, B.; Yilmaz, S.; Bulut, M.; Ozalp, B.; Dwyer, R.L.; Maita, M.; Kizilkaya, B.; Yigit, U.; Ergun, S.; et al. Bioaccumulation of trace metals in Mediterranean mussels (Mytilus galloprovincialis) from a fish farm with copper-alloy mesh pens and potential risk assessment. Hum. Ecol. Risk Assess. Int. J. 2017, 24, 465–481. [Google Scholar] [CrossRef] [Green Version]
- Mititelu, M.; Udeanu, D.I.; Nedelescu, M.; Neacsu, S.M.; Nicoara, A.C.; Oprea, E.; Ghica, M. Quality Control of Different Types of Honey and Propolis Collected from Romanian Accredited Bee-Keepers and Consumer’s Risk Assessment. Crystals 2022, 12, 87. [Google Scholar] [CrossRef]
- Mustatea, G.; Ungureanu, E.L.; Iorga, S.C.; Ciotea, D.; Popa, M.E. Risk Assessment of Lead and Cadmium in Some Food Supplements Available on the Romanian Market. Foods 2021, 10, 581. [Google Scholar] [CrossRef]
- Cisneros-Montemayor, A.M.; Pauly, D.; Lauren, V.W.; Ota, Y. A Global Estimate of Seafood Consumption by Coastal Indigenous Peoples. PLoS ONE 2016, 11, e0166681. [Google Scholar] [CrossRef]
- Klepper, N. Taste of Romania; Hippocrene: New York, NY, USA, 1999; ISBN 9780781807661. [Google Scholar]
- Năstăsescu, V.; Mititelu, M.; Stanciu, T.I.; Drăgănescu, D.; Grigore, N.D.; Udeanu, D.I.; Stanciu, G.; Neacsu, S.M.; Dinu-Pîrvu, C.E.; Oprea, E.; et al. Food Habits and Lifestyle of Romanians in the Context of the COVID-19 Pandemic. Nutrients 2022, 14, 504. [Google Scholar] [CrossRef]
- Food and Agriculture Organization (FAO). The State of World Fisheries and Aquaculture 2020: Sustainability in Action; Food and Agriculture Organization (FAO): Rome, Italy, 2020. [Google Scholar]
- Suja, N.; Muthiah, P. Variation in gross biochemical composition in relation to the gametogenic cycle of the baby clam, Marcia opima (Gmelin), from two geographically separated areas. Indian J. Fish. 2010, 57, 53–59. [Google Scholar]
- Gammone, M.A.; Riccioni, G.; Parrinello, G.; D’Orazio, N. Omega-3 Polyunsaturated Fatty Acids: Benefits and Endpoints in Sport. Nutrients 2018, 11, 46. [Google Scholar] [CrossRef] [PubMed] [Green Version]
- Carboni, S.; Kaur, G.; Pryce, A.; McKee, K.; Desbois, A.P.; Dick, J.R.; Galloway, S.D.R.; Hamilton, D.L. Mussel Consumption as a “Food First” Approach to Improve Omega-3 Status. Nutrients 2019, 11, 1381. [Google Scholar] [CrossRef] [PubMed] [Green Version]
- Albert, C.M.; Campos, H.; Stampfer, M.J.; Ridker, P.M.; Manson, J.E.; Willett, W.C.; Ma, J. Blood levels of long-chain n–3 fatty acids and the risk of sudden death. N. Engl. J. Med. 2002, 346, 1113–1118. [Google Scholar] [CrossRef] [Green Version]
- World Health Organization (WHO). Safe Management of Shellfish and Harvest Waters; Rees, G., Pond, K., Kay, D., Bartram, J., Domingo, J.S., Eds.; IWA Publishing: London, UK, 2010; ISBN 9781843392255. Available online: https://www.who.int/water_sanitation_health/emerging/depuration (accessed on 6 February 2022).
- Catianis, I.; Ungureanu, C.; Magagnini, L.; Ulazzi, E.; Campisi, T.; Stanica, A. Environmental impact of the Midia Port—Black Sea (Romania), on the coastal sediment quality. Open Geosci. 2016, 8, 174–194. [Google Scholar] [CrossRef] [Green Version]
- Oros, A.; Gomoiu, M.T. Comparative data on the accumulation of five heavy metals (cadmium, chromium, copper, nickel, lead) in some marine species (molluscs, fish) from the Romanian sector of the Black Sea. Rech. Mar. 2010, 39, 89–108. [Google Scholar]
- Roméo, M.; Frasila, C.; Gnassia-Barelli, M.; Damiens, G.; Micu, D.; Mustata, G. Biomonitoring of trace metals in the Black Sea (Romania) using mussels Mytilus galloprovincialis. Water Res. 2005, 39, 596–604. [Google Scholar] [CrossRef]
- Coatu, V.; Oros, A.; Damir, N.; Timofte, F.; Lazăr, L. Bioaccumulation of contaminants in the main links of the pelagic trophic chain at the Romanian Black Sea coast. Rech. Mar. 2010, 39, 89–108. [Google Scholar]
- Mititelu, M.; Moroșan, E.; Nicoară, A.C.; Secăreanu, A.A.; Musuc, A.M.; Atkinson, I.; Cusu, J.P.; Nițulescu, G.M.; Ozon, E.A.; Sarbu, I.; et al. Development of immediate release tablets containing calcium lactate synthetized from Black Sea mussel shells. Mar. Drugs 2022, 20, 45. [Google Scholar] [CrossRef]
- Mititelu, M.; Stanciu, G.; Drăgănescu, D.; Ioniță, A.C.; Neacșu, S.M.; Dinu, M.; Stefanvan Staden, R.-I.; Moroșan, E. Mussel Shells, a Valuable Calcium Resource for the Pharmaceutical Industry. Mar. Drugs 2022, 20, 25. [Google Scholar] [CrossRef] [PubMed]







| Element | R2 | LOD (µg/g) | LOQ (µg/g) |
|---|---|---|---|
| Cadmium | 0.997 | 1.6 × 10−3 | 18 × 10−3 |
| Copper | 0.985 | 54 × 10−3 | 172 × 10−3 |
| Zinc | 0.993 | 51 × 10−3 | 167 × 10−3 |
| Chromium | 0.995 | 52 × 10−3 | 169 × 10−3 |
| Lead | 1.000 | 44 × 10−3 | 152 × 10−3 |
| Nickel | 0.998 | 46 × 10−3 | 158 × 10−3 |
| Components | Variation Limits (%) |
|---|---|
| Total proteins 9 | 42.84–58.51 |
| Total fats | 9.22–17.23 |
| Total carbohydrates | 12.22–32.81 |
| Mineral residue | 5.12–11.31 |
| Parameter | Value ± SD |
|---|---|
| Iodine value (g I2/100 g fatty acids) | 82.34 ± 0.66 |
| Acid value (mg KOH/g sample) | 38.11 ± 0.33 |
| Saponification value (mg KOH/g sample) | 180.95 ± 0.25 |
| Ester value (mg KOH/g sample) | 147.17 ± 0.50 |
| Fatty Acid | mg/g ± SD (%) |
|---|---|
| C12:0 | 0.06 ± 0.13 |
| C14:0 | 8.23 ± 0.55 |
| C14:1 | 1.28 ± 0.32 |
| C15:0 | 0.56 ± 0.11 |
| C16:0 | 19.15 ± 0.54 |
| C16:1ω-7 | 7.35 ± 0.74 |
| C17:1 | 0.43 ± 0.16 |
| C18:0 | 3.85 ± 0.65 |
| C18:1ω-7 | 4.35 ± 0.32 |
| C18:1ω-9 | 5.81 ± 0.84 |
| C18:2ω-6 | 3.18 ± 0.52 |
| C18:3 | 2.15 ± 0.21 |
| C18:4ω-3 | 0.32 ± 0.14 |
| C20:1 | 1.79 ± 0.48 |
| C20:3 | 0.11 ± 0.04 |
| C20:4ω-6 | 0.68 ± 0.18 |
| C20:5ω-3 | 14.46 ± 0.68 |
| C22:1 | 0.41 ± 0.14 |
| C22:5ω-3 | 0.49 ± 0.16 |
| C22:6ω-3 | 8.44 ± 0.31 |
| Σ saturated fatty acids | 31.85 |
| Σ ω-3 | 23.71 |
| Σ ω-6 | 3.86 |
| Σ monounsaturated fatty acids | 6.17 |
| Σ polyunsaturated fatty acids | 30.62 |
| ω-3/ω-6 | 6.14 |
| Polyunsaturated fatty acids/Saturated fatty acids | 4.96 |
| Elements | Samples N = 12 | Mean | SD | Lower | Upper | MAL μg/g [49] |
|---|---|---|---|---|---|---|
| CI 95% | CI 95% | |||||
| Cd | Area1 | 0.5100 | 0.0445 | 0.4775 | 0.5424 | 1 |
| Area2 | 0.2208 | 0.0420 | 0.1952 | 0.2464 | ||
| Area3 | 0.5991 | 0.0574 | 0.5642 | 0.6341 | ||
| Cu | Area1 | 9.5966 | 0.0612 | 9.5564 | 9.6368 | - |
| Area2 | 5.2980 | 0.0377 | 5.2739 | 5.3220 | ||
| Area3 | 11.1609 | 0.0416 | 11.1333 | 11.1884 | ||
| Zn | Area1 | 12.3883 | 0.0734 | 12.3436 | 12.4330 | - |
| Area2 | 8.6133 | 0.0528 | 8.5786 | 8.6449 | ||
| Area3 | 14.4225 | 0.0488 | 14.3927 | 14.4522 | ||
| Cr | Area1 | 5.6483 | 0.0896 | 5.5938 | 5.7028 | - |
| Area2 | 4.8900 | 0.0743 | 4.8447 | 4.9352 | ||
| Area3 | 7.1841 | 0.0375 | 7.1601 | 7.2089 | ||
| Pb | Area1 | 1.2050 | 0.0633 | 1.1664 | 1.2435 | 1.5 |
| Area2 | 0.7125 | 0.0455 | 0.6824 | 0.7411 | ||
| Area3 | 1.8050 | 0.0618 | 1.7649 | 1.8460 | ||
| Ni | Area1 | 2.3033 | 0.0526 | 2.2713 | 2.3353 | - |
| Area2 | 1.2291 | 0.0665 | 1.1818 | 1.2680 | ||
| Area3 | 5.3158 | 0.0452 | 5.2883 | 5.3433 |
| Elements | Samples N = 12 | Mean | SD | Lower | Upper | MAL μg/g [49] |
|---|---|---|---|---|---|---|
| CI 95% | CI 95% | |||||
| Cd | Area1 | 0.2850 | 0.0634 | 0.2394 | 0.3224 | 1 |
| Area2 | 0.1133 | 0.0386 | 0.0883 | 0.1389 | ||
| Area3 | 0.5016 | 0.0495 | 0.4715 | 0.5317 | ||
| Cu | Area1 | 5.3991 | 0.0583 | 5.3624 | 5.4357 | - |
| Area2 | 3.3816 | 0.0373 | 3.3521 | 3.4078 | ||
| Area3 | 8.1850 | 0.0541 | 8.1491 | 8.2198 | ||
| Zn | Area1 | 7.7641 | 0.0588 | 7.7283 | 7.7999 | - |
| Area2 | 5.8933 | 0.0529 | 5.8611 | 5.9255 | ||
| Area3 | 9.7800 | 0.0554 | 9.7395 | 9.8204 | ||
| Cr | Area1 | 4.7041 | 0.0698 | 4.6562 | 4.7517 | - |
| Area2 | 3.9225 | 0.1063 | 3.8546 | 3.9762 | ||
| Area3 | 7.1233 | 0.0769 | 7.1108 | 7.1668 | ||
| Pb | Area1 | 0.4850 | 0.0638 | 0.4347 | 0.5250 | 1.5 |
| Area2 | 0.4516 | 0.0504 | 0.4185 | 0.4851 | ||
| Area3 | 0.8516 | 0.0482 | 0.8189 | 0.8850 | ||
| Ni | Area1 | 1.3991 | 0.0517 | 1.3676 | 1.4306 | - |
| Area2 | 0.8100 | 0.0551 | 0.7764 | 0.8435 | ||
| Area3 | 3.3975 | 0.0527 | 3.3625 | 3.4319 |
| Elements | Samples N = 12 | Mean | SD | Lower | Upper | MAL μg/L [50] |
|---|---|---|---|---|---|---|
| CI 95% | CI 95% | |||||
| Cd | Area1 | 12.7325 | 0.0482 | 12.6994 | 12.7650 | 20 |
| Area2 | 8.6900 | 0.0525 | 8.6551 | 8.7248 | ||
| Area3 | 15.2150 | 0.0627 | 15.1781 | 15.2599 | ||
| Cu | Area1 | 38.9999 | 0.0731 | 38.9466 | 39.0532 | 100 |
| Area2 | 5.2980 | 0.0377 | 5.2739 | 5.3220 | ||
| Area3 | 11.1609 | 0.0416 | 11.1333 | 11.1884 | ||
| Zn | Area1 | 58.2166 | 0.0862 | 58.1596 | 58.2712 | 50 |
| Area2 | 48.1908 | 0.0545 | 48.1550 | 48.2230 | ||
| Area3 | 64.1966 | 0.0586 | 64.1609 | 64.2323 | ||
| Cr | Area1 | 67.4441 | 0.1299 | 67.3580 | 67.5291 | 100 |
| Area2 | 56.3950 | 0.1112 | 56.3273 | 56.4626 | ||
| Area3 | 75.4175 | 0.0682 | 75.3699 | 75.4580 | ||
| Pb | Area1 | 20.6291 | 0.0837 | 20.5782 | 20.6800 | 20 |
| Area2 | 18.4600 | 0.0933 | 18.4032 | 18.5167 | ||
| Area3 | 29.2125 | 0.0534 | 29.1795 | 29.2477 | ||
| Ni | Area1 | 31.2375 | 0.0880 | 31.1839 | 31.2910 | 50 |
| Area2 | 27.2600 | 0.0717 | 27.2124 | 27.3075 | ||
| Area3 | 46.2200 | 0.0717 | 46.1622 | 46.2778 |
| Elements | Samples N = 12 | Mean | SD | Lower | Upper | MAL μg/g [50] |
|---|---|---|---|---|---|---|
| CI 95% | CI 95% | |||||
| Cd | Area1 | 16.1625 | 0.0696 | 16.1171 | 16.2162 | 20 |
| Area2 | 10.6516 | 0.0708 | 10.6046 | 10.6993 | ||
| Area3 | 22.3691 | 0.0882 | 22.3154 | 22.4228 | ||
| Cu | Area1 | 74.4090 | 0.1132 | 74.3317 | 74.4862 | 150 |
| Area2 | 41.0691 | 0.1218 | 40.9863 | 41.1578 | ||
| Area3 | 92.0908 | 0.1488 | 91.9956 | 92.1715 | ||
| Zn | Area1 | 114.0958 | 0.1636 | 113.9962 | 114.1954 | 150 |
| Area2 | 87.0975 | 0.1716 | 86.9930 | 87.2019 | ||
| Area3 | 153.9875 | 0.1305 | 153.8750 | 154.0772 | ||
| Cr | Area1 | 81.0483 | 0.1514 | 80.9561 | 81.1404 | 100 |
| Area2 | 71.0258 | 0.1456 | 70.9372 | 71.1144 | ||
| Area3 | 94.0241 | 0.1299 | 93.9450 | 94.1032 | ||
| Pb | Area1 | 28.0441 | 0.1374 | 27.9605 | 28.1277 | 100 |
| Area2 | 17.9791 | 0.1134 | 17.9101 | 18.0482 | ||
| Area3 | 38.0250 | 0.1214 | 37.9474 | 38.1053 | ||
| Ni | Area1 | 43.0716 | 0.1281 | 42.9886 | 43.1815 | 100 |
| Area2 | 28.9966 | 0.1463 | 28.9076 | 29.0856 | ||
| Area3 | 56.0325 | 0.1448 | 55.9388 | 56.1285 |
| Heavy Metal | EDI * | HQ | RfD [44,45] (mg/kg bw) | ||||
|---|---|---|---|---|---|---|---|
| A1 | A2 | A3 | A1 | A2 | A3 | ||
| Cd | 3 × 10−5 | 1.3 × 10−5 | 3.5 × 10−4 | 3 × 10−2 | 1.3 × 10−2 | 0.35 | 0.001 |
| Cu | 5.6 × 10−4 | 3.1 × 10−4 | 6.5 × 10−4 | 1.1 × 10−3 | 6.2 × 10−4 | 1.3 × 10−3 | 0.5 |
| Zn | 7.2 × 10−3 | 5 × 10−4 | 8.4 × 10−4 | 7 × 10−4 | 5 × 10−4 | 8.4 × 10−4 | 1 |
| Cr | 3.3 × 10−3 | 2.8 × 10−4 | 4.2 × 10−4 | 2.3 × 10−2 | 2 × 10−3 | 3 × 10−3 | 0.14 |
| Pb | 7 × 10−5 | 4.2 × 10−5 | 1 × 10−4 | 0.2 | 1.2 × 10−2 | 3 × 10−2 | 0.0035 |
| Ni | 1.3 × 10−4 | 7.2 × 10−5 | 3.1 × 10−4 | 6.5 × 10−3 | 3.6 × 10−3 | 1.5 × 10−2 | 0.02 |
Publisher’s Note: MDPI stays neutral with regard to jurisdictional claims in published maps and institutional affiliations. |
© 2022 by the authors. Licensee MDPI, Basel, Switzerland. This article is an open access article distributed under the terms and conditions of the Creative Commons Attribution (CC BY) license (https://creativecommons.org/licenses/by/4.0/).
Share and Cite
Mititelu, M.; Neacșu, S.M.; Oprea, E.; Dumitrescu, D.-E.; Nedelescu, M.; Drăgănescu, D.; Nicolescu, T.O.; Roșca, A.C.; Ghica, M. Black Sea Mussels Qualitative and Quantitative Chemical Analysis: Nutritional Benefits and Possible Risks through Consumption. Nutrients 2022, 14, 964. https://doi.org/10.3390/nu14050964
Mititelu M, Neacșu SM, Oprea E, Dumitrescu D-E, Nedelescu M, Drăgănescu D, Nicolescu TO, Roșca AC, Ghica M. Black Sea Mussels Qualitative and Quantitative Chemical Analysis: Nutritional Benefits and Possible Risks through Consumption. Nutrients. 2022; 14(5):964. https://doi.org/10.3390/nu14050964
Chicago/Turabian StyleMititelu, Magdalena, Sorinel Marius Neacșu, Eliza Oprea, Denisa-Elena Dumitrescu, Mirela Nedelescu, Doina Drăgănescu, Teodor Octavian Nicolescu, Adrian Cosmin Roșca, and Manuela Ghica. 2022. "Black Sea Mussels Qualitative and Quantitative Chemical Analysis: Nutritional Benefits and Possible Risks through Consumption" Nutrients 14, no. 5: 964. https://doi.org/10.3390/nu14050964
APA StyleMititelu, M., Neacșu, S. M., Oprea, E., Dumitrescu, D.-E., Nedelescu, M., Drăgănescu, D., Nicolescu, T. O., Roșca, A. C., & Ghica, M. (2022). Black Sea Mussels Qualitative and Quantitative Chemical Analysis: Nutritional Benefits and Possible Risks through Consumption. Nutrients, 14(5), 964. https://doi.org/10.3390/nu14050964

