Differences in Kinanthropometric Variables and Physical Fitness of Adolescents with Different Adherence to the Mediterranean Diet and Weight Status: “Fat but Healthy Diet” Paradigm
Abstract
1. Introduction
2. Materials and Methods
2.1. Design
2.2. Participants
2.3. Instruments
2.3.1. Questionnaire Measurements
2.3.2. Kinanthropometric Measurements
2.3.3. Physical Fitness Test
2.4. Procedure
2.5. Data Analysis
3. Results
3.1. Differences in the Study Variables According to the AMD Level
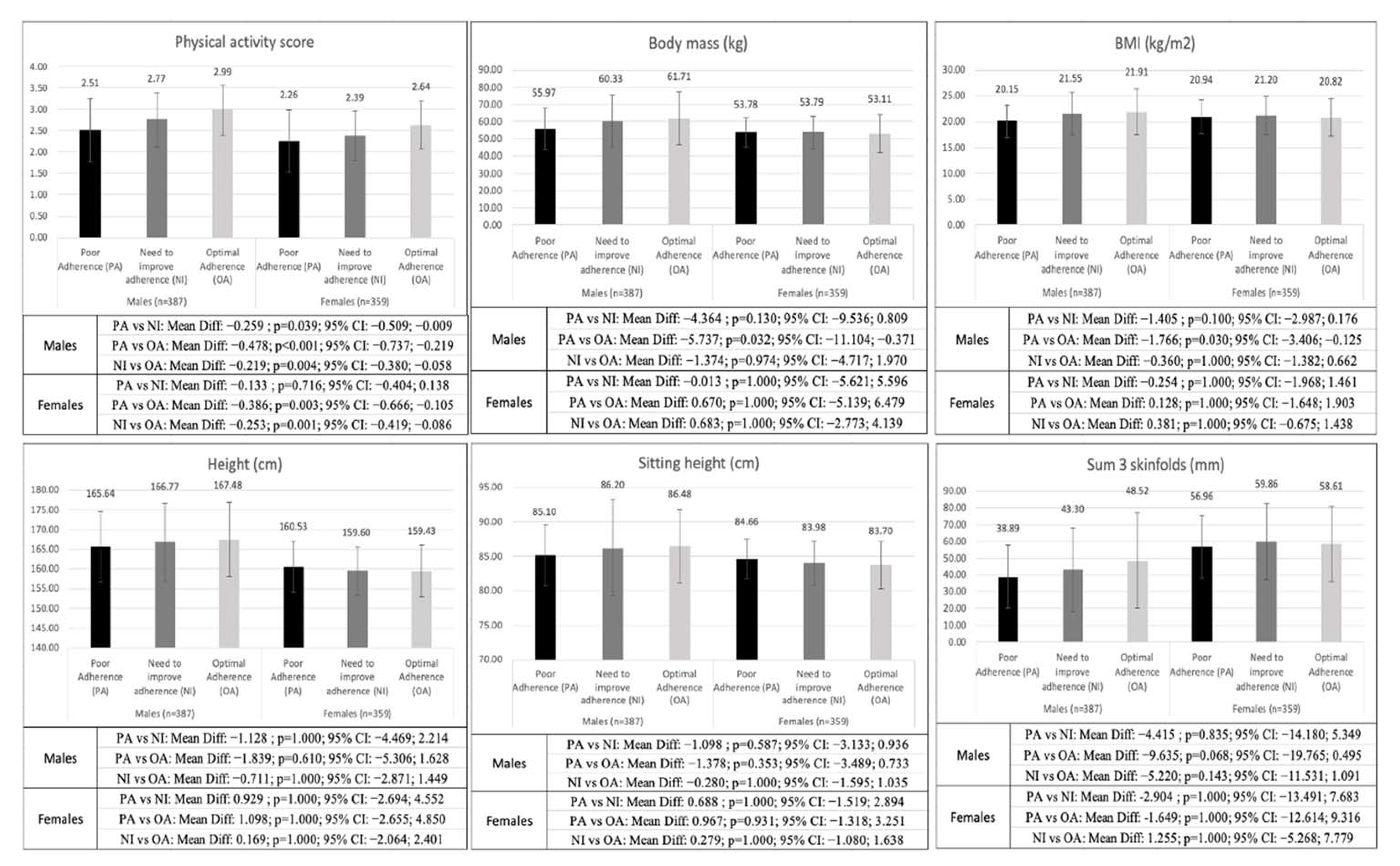
3.2. Differences in the Study Variables According to the Gender, AMD Level, and Weight Status
4. Discussion
5. Conclusions
Author Contributions
Funding
Institutional Review Board Statement
Informed Consent Statement
Data Availability Statement
Acknowledgments
Conflicts of Interest
References
- González-Gross, M.; Gómez-Lorente, J.J.; Valtueña, J.; Ortiz, J.C.; Meléndez, A. The “healthy lifestyle guide pyramid” for children and adolescents. Nutr. Hosp. 2008, 23, 159–168. [Google Scholar] [PubMed]
- Malheiros, L.E.A.; da Costa, B.G.G.; Lopes, M.V.V.; Chaput, J.P.; Silva, K.S. Association between physical activity, screen time activities, diet patterns and daytime sleepiness in a sample of Brazilian adolescents. Sleep Med. 2021, 78, 1–6. [Google Scholar] [CrossRef] [PubMed]
- Aydin, G.; Yilmaz, H.Ö. Evaluation of the nutritional status, compliance with the Mediterranean diet, physical activity levels, and obesity prejudices of adolescents. Prog. Nutr. 2021, 23, 1–14. [Google Scholar] [CrossRef]
- Dominguez-Riscart, J.; Buero-Fernandez, N.; Garcia-Zarzuela, A.; Morales-Perez, C.; Garcia-Ojanguren, A.; Lechuga-Sancho, A.M. Adherence to Mediterranean Diet Is Associated With Better Glycemic Control in Children With Type 1 Diabetes: A Cross-Sectional Study. Front. Nutr. 2022, 9, 1–8. [Google Scholar] [CrossRef] [PubMed]
- Augimeri, G.; Galluccio, A.; Caparello, G.; Avolio, E.; La Russa, D.; De Rose, D.; Morelli, C.; Barone, I.; Catalano, S.; Andò, S.; et al. Potential antioxidant and anti-inflammatory properties of serum from healthy adolescents with optimal mediterranean diet adherence: Findings from DIMENU cross-sectional study. Antioxidants 2021, 10, 1172. [Google Scholar] [CrossRef]
- Serra-Majem, L.; Ribas, L.; Ngo, J.; Ortega, R.M.; García, A.; Pérez-Rodrigo, C.; Aranceta, J. Food, youth and the Mediterranean diet in Spain. Development of KIDMED, Mediterranean Diet Quality Index in children and adolescents. Public Health Nutr. 2004, 7, 931–935. [Google Scholar] [CrossRef]
- Willet, W.; Sacks, F.; Trichopoulou, A.; Drescher, G.; Ferro-Luzzi, A.; Helsing, E.; Trichopoulos, D. Mediterranean diet pyramid: A cultural model for healthy eating. Am. J. Clin. Nutr. 1995, 61, 1402–1406. [Google Scholar] [CrossRef]
- Rosi, A.; Giopp, F.; Milioli, G.; Melegari, G.; Goldoni, M.; Parrino, L.; Scazzina, F. Weight Status, Adherence to the Mediterranean Diet, Junior High School Adolescents. Nutrients 2020, 12, 478. [Google Scholar] [CrossRef]
- Tapia-López, A. Diferencias en los niveles de actividad física, grado de adherencia a la dieta mediterránea y autoconcepto físico en adolescentes en función del sexo. Retos Nuevas Tend. En Educ. Física Deport. Y Recreación 2019, 36, 185–192. [Google Scholar]
- Galan-Lopez, P.; Sánchez-Oliver, A.J.; Ries, F.; González-Jurado, J.A. Mediterranean diet, physical fitness and body composition in sevillian adolescents: A healthy lifestyle. Nutrients 2019, 11, 2009. [Google Scholar] [CrossRef]
- Santana, M.; Peláez, E.M.; Ariza, L.; López Bedoya, J. Mediterranean diet, physical activity and body mass index in rural adolescents of Granada (Spain). Nutr. Clin. Diet. Hosp. 2018, 38, 71–80. [Google Scholar] [CrossRef]
- Moral García, J.E.; Agraso López, A.D.; Pérez Soto, J.J.; Rosa Guillamón, A.; Tárraga Marcos, M.L.; García Cantó, E.; Tárraga López, P.J. Phisical activity practice according to adherence to the Mediterranean diet, alcohol consumption and motivation in adolescents|Práctica de actividad física según adherencia a la dieta mediterránea, consumo de alcohol y motivación en adolescentes. Nutr. Hosp. 2019, 36, 420–427. [Google Scholar]
- Manzano-Carrasco, S.; Felipe, J.L.; Sanchez-Sanchez, J.; Hernandez-Martin, A.; Clavel, I.; Gallardo, L.; Garcia-Unanue, J. Relationship between adherence to the mediterranean diet and body composition with physical fitness parameters in a young active population. Int. J. Environ. Res. Public Health 2020, 17, 3337. [Google Scholar] [CrossRef]
- Galan-Lopez, P.; Ries, F.; Gisladottir, T.; Domínguez, R.; Sánchez-Oliver, A.J. Healthy lifestyle: Relationship between mediterranean diet, body composition and physical fitness in 13 to 16-years old icelandic students. Int. J. Environ. Res. Public Health 2018, 15, 2632. [Google Scholar] [CrossRef] [PubMed]
- Mateo-Orcajada, A.; Vaquero-Cristóbal, R.; Esparza-Ros, F.; Abenza-Cano, L. Physical, Psychological, and Body Composition Differences between Active and Sedentary Adolescents According to the “Fat but Fit” Paradigm. Int. J. Environ. Res. Public Health 2022, 19, 10797. [Google Scholar] [CrossRef]
- Torres-Costoso, A.; Garrido-Miguel, M.; Gracia-Marco, L.; López-Muñoz, P.; Reina-Gutiérrez, S.; Arenas-Arroyo, S.; Martínez-Vizcaino, V. The “Fat but Fit” Paradigm and Bone Health in Young Adults: A Cluster Analysis. Nutrients 2021, 13, 518. [Google Scholar] [CrossRef]
- Vandenbroucke, J.P.; von Elm, E.; Altman, D.G.; Gøtzsche, P.C.; Mulrow, C.D.; Pocock, S.J.; Poole, C.; Schlesselman, J.J.; Egger, M. Strengthening the Reporting of Observational Studies in Epidemiology (STROBE): Explanation and elaboration. Int. J. Surg. 2014, 12, 1500–1524. [Google Scholar] [CrossRef] [PubMed]
- Ministerio de Educación, C.y.D. Real Decreto 1105/2014; Gobierno de España: Madrid, Spain, 2015; pp. 169–546. [Google Scholar]
- Martínez-Gómez, D.; Martínez-de-Haro, V.; Pozo, T.; Welk, G.J.; Villagra, A.; Calle, M.E.; Marcos, A.; Veiga, O.L. Fiabilidad y validez del cuestionario de actividad física PAQ-A en adolescentes españoles. Rev. Esp. Salud Publica 2009, 83, 427–439. [Google Scholar] [CrossRef] [PubMed]
- Esparza-Ros, F.; Vaquero-Cristóbal, R.; Marfell-Jones, M. International Standards for Anthropometric Assessment; International Society for Advancement in Kinanthropometry: Murcia, Spain, 2019. [Google Scholar]
- Slaughter, M.H.; Lohman, T.G.; Boileau, R.; Horswill, C.; Stillman, R.; Van Loan, M.; Bemben, D. Skinfold equations for estimation of body fatness in children and youth. Hum. Biol. 1988, 60, 709–723. [Google Scholar]
- Poortmans, J.R.; Boisseau, N.; Moraine, J.J.; Moreno-Reyes, R.; Goldman, S. Estimation of total-body skeletal muscle mass in children and adolescents. Med. Sci. Sports Exerc. 2005, 37, 316–322. [Google Scholar] [CrossRef]
- Matsudo, V.K.R.; Matsudo, S.M.; de Rezende, L.F.M.; Raso, V. Handgrip strength as a predictor of physical fitness in children and adolescents. Rev. Bras. Cineantropometria E Desempenho Hum. 2014, 17, 1–10. [Google Scholar] [CrossRef]
- Markovic, G.; Dizdar, D.; Jukic, I.; Cardinale, M. Realiability and factorial validity of squat and countermovement jump tests. J. Strength Cond. Res. 2004, 18, 551–555. [Google Scholar] [PubMed]
- Castro-Piñero, J.; Artero, E.G.; España-Romero, V.; Ortega, F.B.; Sjöström, M.; Suni, J.; Ruiz, J.R. Criterion-related validity of field-based fitness tests in youth: A systematic review. Br. J. Sports Med. 2010, 44, 934–943. [Google Scholar] [CrossRef] [PubMed]
- Léger, L.A.; Mercier, D.; Gadoury, C.; Lambert, J. The multistage 20 metre shuttle run test for aerobic fitness. J. Sports Sci. 1988, 6, 93–101. [Google Scholar] [CrossRef]
- España-Romero, V.; Ortega, F.B.; Vicente-Rodriguez, G.; Artero, E.; Pablo-Rey, J.; Ruiz, J.R. Elbow position affects handgrip strength in adolescents: Validity and reliability of Jamar, Dynex, and TKK dynamometers. J. Strength Cond. Res. 2010, 24, 272–277. [Google Scholar] [CrossRef]
- Barker, L.A.; Harry, J.R.; Mercer, J.A. Relationships between countermovement jump groud reaction forces and jump height, reactive strength index, and jump time. J. Strength Cond. Res. 2018, 32, 248–254. [Google Scholar] [CrossRef]
- Albaladejo-Saura, M.; Vaquero-Cristóbal, R.; García-Roca, J.A.; Esparza-Ros, F. The Effect of Age, Biological Maturation and Birth Quartile in the Kinanthropometric and Physical Fitness Differences between Male and Female Adolescent Volleyball Players. Children 2022, 9, 58. [Google Scholar] [CrossRef]
- Coburn, J.; Malek, M. Manual NSCA: Fundamentos del Entrenamiento Personal; Paidotribo: Barcelona, Spain, 2014. [Google Scholar]
- Hopkins, W.G.; Marshall, S.W.; Batterham, A.M.; Hanin, J. Progressive statistics for studies in sports medicine and exercise science. Med. Sci. Sports Exerc. 2009, 41, 3–12. [Google Scholar] [CrossRef]
- Panagiotakos, D.B.; Chrysohoou, C.; Pitsavos, C.; Stefanadis, C. Association between the prevalence of obesity and adherence to the Mediterranean diet: The ATTICA study. Nutrition 2006, 22, 449–456. [Google Scholar] [CrossRef]
- Freedman, D.S.; Wang, J.; Maynard, L.M.; Thronton, J.; Mei, Z.; Pierson, R.; Dietz, W.; Horlick, M. Relation of BMI to fat and fat-free mass among children and adolescents. Int. J. Obes. 2005, 29, 1–8. [Google Scholar] [CrossRef]
- Nikolaidis, P. Body mass index and body fat percentage are associated with decreased physical fitness in adolescent and adult female volleyball players. J. Res. Med. Sci. 2013, 18, 22–26. [Google Scholar] [PubMed]
- Fogelholm, M.; Stigman, S.; Huisman, T.; Metsämuuronen, J. Physical fitness in adolescents with normal weight and overweight. Scand. J. Med. Sci. Sport 2008, 18, 162–170. [Google Scholar] [CrossRef] [PubMed]
- D’Alleva, M.; Gonnelli, F.; Vaccari, F.; Boirie, Y.; Montaurier, C.; Thivel, D.; Isacco, L.; Vermorel, M.; Lazzer, S. Energy cost of walking and body composition changes during a 9-month multidisciplinary weight reduction program and 4-month follow-up in adolescents with obesity. Appl. Physiol. Nutr. Metab. 2022, 47, 60–68. [Google Scholar] [CrossRef] [PubMed]
- Kim, Y.; Park, I. Effects of physical activity and psychological modification-based intervention on physical fitness, physical activity and its related psychological variables in female adolescents. Int. J. Environ. Res. Public Health 2021, 18, 9510. [Google Scholar] [CrossRef]
- Voelker, D.; Reel, J.; Greenleaf, C. Weight status and body image perceptions in adolescents: Current perspectives. Adolesc. Health. Med. Ther. 2015, 6, 149. [Google Scholar] [CrossRef] [PubMed]
- Feinglos, M.; Totten, S. Are You What You Eat, or How Much You Eat? Arch. Intern. Med. 2008, 168, 1485–1486. [Google Scholar] [CrossRef]
- Leão, C.; Silva, A.F.; Badicu, G.; Clemente, F.M.; Carvutto, R.; Greco, G.; Cataldi, S.; Fischetti, F. Body Composition Interactions with Physical Fitness: A Cross-Sectional Study in Youth Soccer Players. Int. J. Environ. Res. Public Health 2022, 19, 3598. [Google Scholar] [CrossRef]
- Strasser, B.; Spreitzer, A.; Haber, P. Fat loss depends on energy deficit only, independently of the method for weight loss. Ann. Nutr. Metab. 2007, 51, 428–432. [Google Scholar] [CrossRef]
- Albaladejo-Saura, M.; Vaquero-Cristóbal, R.; González-Gálvez, N.; Esparza-Ros, F. Relationship between biological maturation, physical fitness, and kinanthropometric variables of young athletes: A systematic review and meta-analysis. Int. J. Environ. Res. Public Health 2021, 18, 328. [Google Scholar] [CrossRef]
- Albaladejo-Saura, M.; Vaquero-Cristóbal, R.; García-Roca, J.A.; Esparza-Ros, F. Influence of biological maturation status on selected anthropometric and physical fitness variables in adolescent male volleyball players. PeerJ 2022, 10, e13216. [Google Scholar] [CrossRef]
- Mateo-Orcajada, A.; Abenza-Cano, L.; Vaquero-Cristóbal, R.; Martínez-Castro, S.M.; Leiva-Arcas, A.; Gallardo-Guerrero, A.M.; Sánchez-Pato, A. Influence of gender stereotypes, type of sport watched and close environment on adolescent sport practice according to gender. Sustainability 2021, 13, 11863. [Google Scholar] [CrossRef]
- Serenko, A.; Turel, O.; Siddiqui, H. The Impact of Social Networking Sites Use on Health-Related Outcomes Among UK Adolescents. In Proceedings of the AMCIS 2020 Proceedings, Virtual, 15–17 August 2020. [Google Scholar]
- Pilař, L.; Stanislavská, L.K.; Kvasnička, R.; Hartman, R.; Tichá, I. Healthy food on instagram social network: Vegan, homemade and clean eating. Nutrients 2021, 13, 1991. [Google Scholar] [CrossRef]






| Variable | Descriptors (M ± SD) | Level of AMD | Level of AMD × Gender | Level of AMD × BMI | ||||||||
|---|---|---|---|---|---|---|---|---|---|---|---|---|
| Poor Adherence (n = 92) | Need to Improve (n = 412) | Optimal Adherence (n = 287) | F | p | Effect Size (η2) | F | p | Effect Size (η2) | F | p | Effect Size (η2) | |
| Physical activity score | 2.40 ± 0.74 | 2.59 ± 0.64 | 2.82 ± 0.60 | 18.059 | <0.001 | 0.046 | 20.271 | <0.001 | 0.120 | 5.252 | <0.001 | 0.054 |
| Body mass (kg) | 54.97 ± 10.54 | 57.15 ± 13.07 | 57.57 ± 14.00 | 1.173 | 0.310 | 0.003 | 12.062 | <0.001 | 0.075 | 113.056 | <0.001 | 0.551 |
| BMI (kg/m2) | 20.51 ± 3.23 | 21.38 ± 3.89 | 21.38 ± 4.08 | 1.729 | 0.178 | 0.005 | 2.098 | 0.064 | 0.014 | - | - | - |
| Height (cm) | 163.32 ± 8.28 | 163.28 ± 9.04 | 163.60 ± 9.09 | 0.106 | 0.899 | 0.001 | 29.660 | <0.001 | 0.167 | 1.763 | 0.081 | 0.019 |
| Sitting height (cm) | 84.90 ± 3.81 | 85.12 ± 5.60 | 85.14 ± 4.71 | 0.068 | 0.935 | 0.001 | 8.174 | <0.001 | 0.052 | 4.095 | <0.001 | 0.043 |
| Sum three skinfolds (mm) | 47.10 ± 20.83 | 51.35 ± 25.13 | 53.38 ± 26.06 | 1.942 | 0.144 | 0.005 | 14.833 | <0.001 | 0.091 | 55.955 | <0.001 | 0.378 |
| Waist girth (cm) | 68.90 ± 6.92 | 69.78 ± 8.87 | 69.81 ± 9.15 | 0.354 | 0.702 | 0.001 | 21.064 | <0.001 | 0.125 | 129.482 | <0.001 | 0.584 |
| Hip girth (cm) | 89.18 ± 8.14 | 90.76 ± 9.26 | 91.18 ± 9.23 | 1.436 | 0.238 | 0.004 | 1.750 | 0.121 | 0.012 | 142.728 | <0.001 | 0.608 |
| Corrected arm girth (cm) | 21.10 ± 2.39 | 21.40 ± 2.98 | 21.28 ± 3.19 | 0.347 | 0.707 | 0.001 | 33.501 | <0.001 | 0.185 | 42.107 | <0.001 | 0.314 |
| Corrected thigh girth (cm) | 39.34 ± 4.11 | 40.27 ± 4.79 | 40.33 ± 5.34 | 1.292 | 0.275 | 0.003 | 25.120 | <0.001 | 0.145 | 40.746 | <0.001 | 0.307 |
| Corrected calf girth (cm) | 29.07 ± 2.53 | 29.43 ± 3.20 | 29.33 ± 3.50 | 0.423 | 0.655 | 0.001 | 19.266 | <0.001 | 0.115 | 15.161 | <0.001 | 0.141 |
| Fat mass (%) | 20.86 ± 8.35 | 22.64 ± 10.23 | 23.60 ± 10.80 | 2.248 | 0.106 | 0.006 | 11.806 | <0.001 | 0.074 | 60.219 | <0.001 | 0.395 |
| Muscle mass (kg) | 18.40 ± 4.12 | 19.02 ± 5.05 | 19.04 ± 5.47 | 0.523 | 0.593 | 0.001 | 99.578 | <0.001 | 0.402 | 25.097 | <0.001 | 0.214 |
| Waist–hip ratio | 0.77 ± 0.47 | 0.77 ± 0.60 | 0.77 ± 0.52 | 0.820 | 0.441 | 0.002 | 91.963 | <0.001 | 0.383 | 8.135 | <0.001 | 0.081 |
| VO2 max. (ml/kg/min) | 38.97 ± 5.81 | 39.51 ± 5.76 | 40.13 ± 5.64 | 1.626 | 0.197 | 0.004 | 44.175 | <0.001 | 0.230 | 4.315 | <0.001 | 0.045 |
| Handgrip right arm (kg) | 26.75 ± 6.77 | 27.00 ± 8.15 | 26.43 ± 8.90 | 0.379 | 0.684 | 0.001 | 43.401 | <0.001 | 0.227 | 9.633 | <0.001 | 0.095 |
| Handgrip left arm (kg) | 25.19 ± 6.70 | 25.17 ± 7.57 | 24.37 ± 7.78 | 0.971 | 0.379 | 0.003 | 49.777 | <0.001 | 0.252 | 9.022 | <0.001 | 0.089 |
| CMJ (cm) | 23.55 ± 7.11 | 23.85 ± 6.63 | 23.46 ± 7.46 | 0.276 | 0.759 | 0.001 | 28.616 | <0.001 | 0.162 | 4.559 | <0.001 | 0.047 |
| Normal Weight (n = 483) | |||||||
|---|---|---|---|---|---|---|---|
| Variable | Gender | Poor Adherence (A) | Need to Improve (B) | Optimal Adherence (C) | Diff A-B; p | Diff A-C; p | Diff. B-C; p |
| Physical activity score | Males (n = 238) | 2.52 ± 0.81 | 2.77 ± 0.63 | 3.02 ± 0.57 | −0.246; 0.224 | −0.499; p = 0.001 | −0.253; p = 0.011 |
| Females (n = 245) | 2.26 ± 0.85 | 2.35 ± 0.60 | 2.61 ± 0.57 | −0.088; p = 1.000 | −0.343; p = 0.054 | −0.255; p = 0.009 | |
| Body mass (kg) | Males (n = 238) | 58.69 ± 9.42 | 59.30 ± 8.45 | 60.03 ± 8.35 | −0.608; p = 1.000 | −1.341; p = 1.000 | −0.733; p = 1.000 |
| Females (n = 245) | 54.87 ± 6.80 | 53.54 ± 6.24 | 53.80 ± 7.18 | 1.330; p = 1.000 | 1.070; p = 1.000 | −0.259; p = 1.000 | |
| BMI (kg/m2) | Males (n = 238) | 20.64 ± 1.65 | 21.11 ± 1.70 | 21.29 ± 1.78 | −0.472; p = 0.811 | −0.651; p = 0.421 | −0.179; p = 1.000 |
| Females (n = 245) | 21.06 ± 1.75 | 20.92 ± 1.71 | 21.00 ± 1.74 | 0.142; p = 1.000 | 0.061; p = 1.000 | −0.081; p = 1.000 | |
| Height (cm) | Males (n = 238) | 167.67 ± 8.66 | 167.45 ± 9.17 | 167.84 ± 9.06 | 0.216; p = 1.000 | −0.175; p = 1.000 | −0.391; p = 1.000 |
| Females (n = 245) | 161.46 ± 7.16 | 160.01 ± 6.09 | 159.79 ± 6.38 | 1.449; p = 1.000 | 1.671; p = 1.000 | 0.222; p = 1.000 | |
| Sitting height (cm) | Males (n = 238) | 85.92 ± 4.66 | 86.49 ± 7.72 | 86.86 ± 5.02 | −0.562; p = 1.000 | −0.935; p = 1.000 | −0.373; p = 1.000 |
| Females (n = 245) | 85.20 ± 2.94 | 84.20 ± 3.14 | 83.90 ± 3.43 | 0.999; p = 1.000 | 1.298; p = 0.787 | 0.299; p = 1.000 | |
| Sum three skinfolds (mm) | Males (n = 238) | 37.84 ± 17.91 | 39.70 ± 18.25 | 43.98 ± 18.45 | −1.857; p = 1.000 | −6.137; p = 0.430 | −4.280; p = 0.286 |
| Females (n = 245) | 57.02 ± 18.50 | 57.95 ± 14.90 | 58.68 ± 17.71 | −0.928; p = 1.000 | −1.663; p = 1.000 | −0.735; p = 1.000 | |
| Waist girth (cm) | Males (n = 238) | 71.43 ± 5.42 | 71.31 ± 4.68 | 71.49 ± 4.58 | 0.126; p = 1.000 | −0.056; p = 1.000 | −0.182; p = 1.000 |
| Females (n = 245) | 67.94 ± 4.71 | 66.27 ± 4.52 | 66.19 ± 4.83 | 1.664; p = 0.435 | 1.744; p = 0.425 | 0.079; p = 1.000 | |
| Hip girth (cm) | Males (n = 238) | 89.50 ± 6.27 | 89.79 ± 5.91 | 90.97 ± 5.44 | −0.299; p = 1.000 | −1.473; p = 0.794 | −1.175; p = 0.438 |
| Females (n = 245) | 92.02 ± 5.31 | 91.21 ± 4.99 | 91.29 ± 5.18 | 0.809; p = 1.000 | 0.720; p = 1.000 | −0.089; p = 1.000 | |
| Corrected arm girth (cm) | Males (n = 238) | 22.65 ± 1.71 | 22.76 ± 2.29 | 22.85 ± 2.85 | −0.128; p = 1.000 | −0.201; p = 1.000 | −0.073; p = 1.000 |
| Females (n = 245) | 20.38 ± 1.64 | 20.11 ± 1.65 | 20.21 ± 2.02 | 0.263; p = 1.000 | 0.164; p = 1.000 | −0.098; p = 1.000 | |
| Corrected thigh girth (cm) | Males (n = 238) | 41.53 ± 3.61 | 42.36 ± 3.50 | 43.04 ± 4.98 | −0.830; p = 0.966 | −1.507; p = 0.244 | −0.677; p = 0.601 |
| Females (n = 245) | 38.61 ± 2.52 | 38.83 ± 3.11 | 38.66 ± 2.86 | −0.216; p = 1.000 | −0.046; p = 1.000 | 0.170; p = 1.000 | |
| Corrected calf girth (cm) | Males (n = 238) | 30.61 ± 2.18 | 30.94 ± 2.47 | 30.62 ± 2.78 | −0.330; p = 1.000 | −0.014; p = 1.000 | 0.316; p = 1.000 |
| Females (n = 245) | 28.68 ± 2.27 | 28.27 ± 1.97 | 28.39 ± 2.21 | 0.410; p = 1.000 | 0.293; p = 1.000 | −0.117; p = 1.000 | |
| Fat mass (%) | Males (n = 238) | 17.28 ± 7.62 | 17.97 ± 7.90 | 20.12 ± 8.07 | −0.690; p = 1.000 | −2.844; p = 0.295 | −2.154; p = 0.123 |
| Females (n = 245) | 25.02 ± 6.60 | 25.09 ± 5.61 | 25.40 ± 6.61 | −0.061; p = 1.000 | −0.375; p = 1.000 | −0.313; p = 1.000 | |
| Muscle mass (kg) | Males (n = 238) | 21.89 ± 3.13 | 22.36 ± 3.64 | 22.77 ± 4.38 | −0.473; p = 1.000 | −0.880; p = 0.743 | −0.407; p = 1.000 |
| Females (n = 245) | 16.05 ± 2.02 | 15.90 ± 2.27 | 15.81 ± 2.25 | 0.147; p = 1.000 | 0.242; p = 1.000 | 0.095; p = 1.000 | |
| Waist–hip ratio | Males (n = 238) | 0.80 ± 0.04 | 0.80 ± 0.06 | 0.79 ± 0.03 | 0.003; p = 1.000 | 0.013; p = 0.602 | 0.010; p = 0.319 |
| Females (n = 245) | 0.74 ± 0.03 | 0.73 ± 0.04 | 0.73 ± 0.04 | 0.012; p = 0.669 | 0.013; p = 0.551 | 0.002; p = 1.000 | |
| VO2 max. (ml/kg/min) | Males (n = 238) | 41.74 ± 5.62 | 42.74 ± 5.39 | 43.24 ± 5.38 | −0.998; p = 1.000 | −1.505; p = 0.548 | −0.507; p = 1.000 |
| Females (n = 245) | 37.20 ± 3.74 | 36.34 ± 4.40 | 37.76 ± 4.09 | 0.856; p = 1.000 | −0.565; p = 1.000 | −1.421; p = 0.113 | |
| Handgrip right arm (kg) | Males (n = 238) | 31.87 ± 6.89 | 31.56 ± 8.32 | 31.20 ± 9.34 | 0.307; p = 1.000 | 0.667; p = 1.000 | 0.361; p = 1.000 |
| Females (n = 245) | 24.76 ± 3.63 | 23.31 ± 4.80 | 22.45 ± 4.91 | 1.454; p = 1.000 | 2.307; p = 0.469 | 0.853; p = 1.000 | |
| Handgrip left arm (kg) | Males (n = 238) | 30.25 ± 7.41 | 29.58 ± 7.72 | 28.83 ± 8.18 | 0.669; p = 1.000 | 1.420; p = 0.966 | 0.750; p = 1.000 |
| Females (n = 245) | 23.06 ± 3.83 | 21.60 ± 4.36 | 20.46 ± 3.84 | 1.463; p = 0.895 | 2.600; p = 0.226 | 1.137; p = 0.570 | |
| CMJ (cm) | Males (n = 238) | 29.53 ± 7.89 | 27.01 ± 7.15 | 27.97 ± 8.10 | 2.515; p = 0.209 | 1.560; p = 0.823 | −0.955; p = 0.823 |
| Females (n = 245) | 21.12 ± 3.56 | 21.46 ± 5.09 | 21.00 ± 5.18 | −0.339; p = 1.000 | 0.115; p = 1.000 | 0.454; p = 1.000 | |
| Overweight (n = 127) | |||||||
|---|---|---|---|---|---|---|---|
| Variable | Gender | Poor Adherence (A) | Need to Improve (B) | Optimal Adherence (C) | Diff A-B; p | Diff A-C; p | Diff. B-C; p |
| Physical activity score | Males (n = 76) | 2.56 ± 0.80 | 2.76 ± 0.61 | 2.73 ± 0.58 | −0.196; p = 1.000 | −0.166; p = 1.000 | 0.030; p = 1.000 |
| Females (n = 51) | 2.00 ± 0.40 | 2.48 ± 0.61 | 2.64 ± 0.57 | −0.488; p = 0.422 | −0.642; p = 0.198 | −0.154; p = 1.000 | |
| Body mass (kg) | Males (n = 76) | 74.12 ± 7.07 | 80.35 ± 14.56 | 83.72 ± 17.85 | −6.227; p = 0.465 | −9.595; p = 0.099 | −3.369; p = 0.341 |
| Females (n = 51) | 65.87 ± 8.91 | 70.33 ± 8.35 | 73.92 ± 6.56 | −4.455; p = 0.965 | −8.047; p = 0.268 | −3.592; p = 0.592 | |
| BMI (kg/m2) | Males (n = 76) | 27.21 ± 2.15 | 28.06 ± 2.91 | 29.34 ± 4.24 | −0.850; p = 1.000 | −2.129; p = 0.117 | −1.279; p = 0.027 |
| Females (n = 51) | 27.44 ± 3.13 | 28.52 ± 3.36 | 28.61 ± 2.26 | −1.080; p = 0.883 | −1.170; p = 0.843 | −0.089; p = 1.000 | |
| Height (cm) | Males (n = 76) | 166.20 ± 3.35 | 169.01 ± 10.83 | 168.05 ± 11.18 | −2.812; p = 1.000 | −1.855; p = 1.000 | −0.958; p = 1.000 |
| Females (n = 51) | 155.15 ± 1.76 | 158.12 ± 5.48 | 160.80 ± 3.48 | −2.970; p = 1.000 | −5.650; p = 0.666 | −2.680; p = 0.975 | |
| Sitting height (cm) | Males (n = 76) | 86.35 ± 0.45 | 88.26 ± 5.51 | 87.64 ± 6.06 | −1.911; p = 1.000 | −1.288; p = 1.000 | 0.623; p = 1.000 |
| Females (n = 51) | 82.97 ± 4.00 | 84.37 ± 2.75 | 85.31 ± 2.23 | −1.393; p = 1.000 | −2.336; p = 1.000 | −0.943; p = 1.000 | |
| Sum three skinfolds (mm) | Males (n = 76) | 72.97 ± 7.15 | 74.52 ± 26.80 | 85.85 ± 35.75 | −1.542; p = 1.000 | −12.872; p = 0.566 | −11.330; p = 0.044 |
| Females (n = 51) | 82.09 ± 10.80 | 96.15 ± 29.36 | 97.38 ± 19.19 | −14.061; p = 0.453 | −15.298; p = 0.413 | −1.237; p = 1.000 | |
| Waist girth (cm) | Males (n = 76) | 81.44 ± 4.21 | 86.97 ± 7.59 | 89.02 ± 7.98 | −5.535; p = 0.110 | −7.584; p = 0.016 | −2.049; p = 0.334 |
| Females (n = 51) | 79.76 ± 5.22 | 79.14 ± 8.33 | 79.42 ± 7.86 | 0.627; p = 1.000 | 0.341; p = 1.000 | −0.286; p = 1.000 | |
| Hip girth (cm) | Males (n = 76) | 102.95 ± 5.02 | 104.54 ± 8.27 | 106.49 ± 9.71 | −1.589; p = 1.000 | −3.541; p = 0.753 | −1.952; p = 0.544 |
| Females (n = 51) | 101.67 ± 4.00 | 104.22 ± 7.05 | 105.62 ± 4.44 | −2.547; p = 1.000 | −3.950; p = 0.671 | −1.403; p = 1.000 | |
| Corrected arm girth (cm) | Males (n = 76) | 25.52 ± 2.38 | 25.49 ± 2.88 | 25.36 ± 3.42 | 0.027; p = 1.000 | 0.156; p = 1.000 | 0.129; p = 1.000 |
| Females (n = 51) | 22.59 ± 1.86 | 23.38 ± 3.03 | 21.74 ± 2.22 | −0.782; p = 1.000 | 0.853; p = 1.000 | 1.635; p = 0.077 | |
| Corrected thigh girth (cm) | Males (n = 76) | 45.66 ± 3.60 | 46.57 ± 5.40 | 45.90 ± 6.27 | −0.910; p = 1.000 | −0.236; p = 1.000 | 0.674; p = 1.000 |
| Females (n = 51) | 43.03 ± 4.38 | 41.57 ± 5.26 | 43.98 ± 3.83 | 1.463; p = 1.000 | −0.954; p = 1.000 | −2.418; p = 0.161 | |
| Corrected calf girth (cm) | Males (n = 76) | 31.43 ± 3.03 | 31.94 ± 3.72 | 31.85 ± 3.75 | −0.509; p = 1.000 | −0.412; p = 1.000 | 0.097; p = 1.000 |
| Females (n = 51) | 29.70 ± 2.28 | 30.59 ± 6.20 | 31.06 ± 8.43 | −0.886; p = 1.000 | −1.360; p = 1.000 | −0.474; p = 1.000 | |
| Fat mass (%) | Males (n = 76) | 31.01 ± 4.24 | 34.12 ± 11.64 | 38.05 ± 15.80 | −3.118; p = 1.000 | −7.049; p = 0.239 | −3.931; p = 0.117 |
| Females (n = 51) | 34.36 ± 5.36 | 38.64 ± 11.00 | 40.83 ± 6.93 | −4.280; p = 0.861 | −6.477; p = 0.378 | −2.197; p = 1.000 | |
| Muscle mass (kg) | Males (n = 76) | 25.08 ± 2.97 | 26.31 ± 5.12 | 25.90 ± 6.33 | −1.234; p = 1.000 | −0.817; p = 1.000 | 0.416; p = 1.000 |
| Females (n = 51) | 18.53 ± 2.73 | 18.82 ± 3.37 | 19.51 ± 3.38 | −0.283; p = 1.000 | −0.973; p = 1.000 | −0.690; p = 1.000 | |
| Waist–hip ratio | Males (n = 76) | 0.79 ± 0.02 | 0.83 ± 0.04 | 0.84 ± 0.05 | −0.042; p = 0.185 | −0.046; p = 0.129 | −0.005; p = 1.000 |
| Females (n = 51) | 0.78 ± 0.03 | 0.76 ± 0.05 | 0.75 ± 0.06 | 0.025; p = 0.808 | 0.033; p = 0.509 | 0.008; p = 1.000 | |
| VO2 max. (ml/kg/min) | Males (n = 76) | 37.51 ± 5.89 | 40.32 ± 4.99 | 39.04 ± 5.19 | −2.812; p = 0.820 | −1.529; p = 1.000 | 1.283; p = 0.912 |
| Females (n = 51) | 32.43 ± 5.34 | 33.88 ± 3.59 | 33.52 ± 2.89 | −1.448; p = 1.000 | −1.092; p = 1.000 | 0.356; p = 1.000 | |
| Handgrip right arm (kg) | Males (n = 76) | 35.13 ± 3.52 | 34.87 ± 8.38 | 33.54 ± 12.82 | 0.255; p = 1.000 | 1.581; p = 1.000 | 1.326; p = 1.000 |
| Females (n = 51) | 24.15 ± 4.13 | 25.65 ± 5.77 | 24.56 ± 2.97 | −1.502; p = 1.000 | −0.414; p = 1.000 | 1.088; p = 1.000 | |
| Handgrip left arm (kg) | Males (n = 76) | 29.98 ± 6.32 | 32.70 ± 7.85 | 30.67 ± 10.64 | −2.728; p = 1.000 | −0.697; p = 1.000 | 2.031; p = 0.601 |
| Females (n = 51) | 23.73 ± 4.46 | 23.06 ± 4.60 | 22.87 ± 3.21 | 0.669; p = 1.000 | 0.854; p = 1.000 | 0.185; p = 1.000 | |
| CMJ (cm) | Males (n = 76) | 20.93 ± 4.30 | 24.13 ± 5.41 | 20.55 ± 9.11 | −3.208; p = 0.969 | 0.377; p = 1.000 | 3.585; p = 0.070 |
| Females (n = 51) | 20.25 ± 2.70 | 18.54 ± 5.95 | 16.15 ± 3.66 | 1.710; p = 1.000 | 4.100; p = 0.728 | 2.390; p = 0.743 | |
| Underweight (n = 181) | |||||||
|---|---|---|---|---|---|---|---|
| Variable | Gender | Poor Adherence (A) | Need to Improve (B) | Optimal Adherence (C) | Diff A-B; p | Diff A-C; p | Diff. B-C; p |
| Physical activity score | Males (n = 95) | 2.48 ± 0.65 | 2.79 ± 0.69 | 3.13 ± 0.60 | −0.313; p = 0.291 | −0.646; p = 0.004 | −0.333; p = 0.070 |
| Females (n = 86) | 2.38 ± 0.42 | 2.47 ± 0.54 | 2.75 ± 0.53 | −0.092; p = 1.000 | −0.372; p = 0.378 | −0.280; p = 0.174 | |
| Body mass (kg) | Males (n = 95) | 45.90 ± 6.45 | 45.23 ± 7.11 | 47.85 ± 6.24 | 0.674; p = 1.000 | −1.952; p = 1.000 | −2.625; p = 0.560 |
| Females (n = 86) | 44.60 ± 1.96 | 44.03 ± 4.41 | 42.23 ± 4.63 | 0.573; p = 1.000 | 2.372; p = 1.000 | 1.799; p = 1.000 | |
| BMI (kg/m2) | Males (n = 95) | 17.29 ± 1.12 | 16.93 ± 1.03 | 17.38 ± 0.94 | 0.352; p = 1.000 | −0.092; p = 1.000 | −0.444; p = 0.989 |
| Females (n = 86) | 17.37 ± 0.52 | 17.34 ± 0.87 | 16.93 ± 1.02 | 0.024; p = 1.000 | 0.442; p = 1.000 | 0.418; p = 1.000 | |
| Height (cm) | Males (n = 95) | 162.01 ± 9.94 | 162.97 ± 10.38 | 165.89 ± 9.07 | −0.961; p = 1.000 | −3.888; p = 0.430 | −2.927; p = 0.396 |
| Females (n = 86) | 160.52 ± 3.99 | 159.15 ± 6.49 | 157.87 ± 7.71 | 1.375; p = 1.000 | 2.657; p = 1.000 | 1.282; p = 1.000 | |
| Sitting height (cm) | Males (n = 95) | 83.34 ± 4.41 | 83.61 ± 5.23 | 84.34 ± 5.18 | −0.275; p = 1.000 | −1.007; p = 1.000 | −0.732; p = 1.000 |
| Females (n = 86) | 83.97 ± 1.82 | 82.96 ± 3.81 | 82.45 ± 3.42 | 1.016; p = 1.000 | 1.520; p = 1.000 | 0.505; p = 1.000 | |
| Sum three skinfolds (mm) | Males (n = 95) | 30.94 ± 11.02 | 25.09 ± 6.37 | 29.98 ± 14.17 | 5.851; p = 0.878 | 0.960; p = 1.000 | −4.891; p = 0.775 |
| Females (n = 86) | 44.21 ± 7.35 | 42.53 ± 10.78 | 41.43 ± 10.36 | 1.677; p = 1.000 | 2.776; p = 1.000 | 1.098; p = 1.000 | |
| Waist girth (cm) | Males (n = 95) | 64.10 ± 3.56 | 63.36 ± 3.88 | 65.28 ± 5.10 | 0.744; p = 1.000 | −1.182; p = 1.000 | −1.926; p = 0.327 |
| Females (n = 86) | 60.77 ± 2.77 | 60.35 ± 2.50 | 59.71 ± 2.13 | 0.429; p = 1.000 | 1.061; p = 1.000 | 0.632; p = 1.000 | |
| Hip girth (cm) | Males (n = 95) | 80.02 ± 4.89 | 78.97 ± 5.27 | 82.34 ± 5.47 | 1.051; p = 1.000 | −2.325; p = 0.637 | −3.376; p = 0.040 |
| Females (n = 86) | 82.99 ± 2.14 | 82.86 ± 4.13 | 81.17 ± 4.59 | 0.135; p = 1.000 | 1.817; p = 1.000 | 1.683; p = 0.662 | |
| Corrected arm girth (cm) | Males (n = 95) | 19.64 ± 1.08 | 19.52 ± 1.97 | 19.87 ± 2.24 | 0.113; p = 1.000 | −0.236; p = 1.000 | −0.349; p = 1.000 |
| Females (n = 86) | 18.19 ± 1.26 | 18.06 ± 1.20 | 17.73 ± 1.25 | 0.124; p = 1.000 | 0.454; p = 1.000 | 0.331; p = 1.000 | |
| Corrected thigh girth (cm) | Males (n = 95) | 36.87 ± 2.50 | 37.07 ± 3.17 | 37.18 ± 3.17 | −0.200; p = 1.000 | −0.306; p = 1.000 | −0.105; p = 1.000 |
| Females (n = 86) | 34.18 ± 2.03 | 34.90 ± 2.26 | 34.31 ± 2.52 | −0.721; p = 1.000 | −0.125; p = 1.000 | 0.596; p = 1.000 | |
| Corrected calf girth (cm) | Males (n = 95) | 27.91 ± 1.70 | 28.25 ± 2.09 | 28.44 ± 2.43 | −0.347; p = 1.000 | −0.535; p = 1.000 | −0.188; p = 1.000 |
| Females (n = 86) | 26.14 ± 1.34 | 26.72 ± 1.59 | 26.36 ± 1.63 | −0.576; p = 1.000 | −0.220; p = 1.000 | 0.355; p = 1.000 | |
| Fat mass (%) | Males (n = 95) | 14.05 ± 4.86 | 11.55 ± 2.69 | 13.80 ± 5.88 | 2.495; p = 0.824 | 0.247; p = 1.000 | −2.249; p = 0.617 |
| Females (n = 86) | 19.70 ± 2.52 | 19.39 ± 3.81 | 18.30 ± 3.54 | 0.311; p = 1.000 | 1.405; p = 1.000 | 1.094; p = 1.000 | |
| Muscle mass (kg) | Males (n = 95) | 17.45 ± 2.21 | 17.75 ± 2.95 | 18.22 ± 2.94 | −0.296; p = 1.000 | −0.773; p = 1.000 | −0.477; p = 1.000 |
| Females (n = 86) | 12.92 ± 1.31 | 13.15 ± 1.41 | 12.67 ± 1.56 | −0.233; p = 1.000 | 0.249; p = 1.000 | 0.482; p = 1.000 | |
| Waist–hip ratio | Males (n = 95) | 0.80 ± 0.04 | 0.80 ± 0.04 | 0.79 ± 0.04 | −0.002; p = 1.000 | 0.009; p = 1.000 | 0.011; p = 0.882 |
| Females (n = 86) | 0.73 ± 0.05 | 0.73 ± 0.02 | 0.74 ± 0.04 | 0.004; p = 1.000 | −0.004; p = 1.000 | −0.008; p = 1.000 | |
| VO2 max. (ml/kg/min) | Males (n = 95) | 40.81 ± 7.40 | 43.76 ± 5.14 | 42.33 ± 6.28 | −2.942; p = 0.149 | −1.513; p = 1.000 | 1.429; p = 0.661 |
| Females (n = 86) | 36.51 ± 3.68 | 38.05 ± 3.69 | 39.72 ± 4.96 | −1.543; p = 1.000 | −3.219; p = 0.289 | −1.676; p = 0.461 | |
| Handgrip right arm (kg) | Males (n = 95) | 22.15 ± 5.70 | 25.07 ± 7.36 | 26.34 ± 6.01 | −2.919; p = 0.505 | −4.188; p = 0.190 | −1.269; p = 1.000 |
| Females (n = 86) | 22.30 ± 3.88 | 20.20 ± 3.86 | 19.33 ± 4.51 | 2.100; p = 1.000 | 2.966; p = 0.836 | 0.866; p = 1.000 | |
| Handgrip left arm (kg) | Males (n = 95) | 21.63 ± 5.64 | 23.51 ± 6.51 | 24.57 ± 5.71 | −1.880; p = 0.969 | −2.937; p = 0.440 | −1.057; p = 1.000 |
| Females (n = 86) | 20.66 ± 3.14 | 19.01 ± 3.57 | 18.19 ± 3.44 | 1.657; p = 1.000 | 2.472; p = 0.944 | 0.815; p = 1.000 | |
| CMJ (cm) | Males (n = 95) | 21.55 ± 7.15 | 27.76 ± 6.15 | 25.43 ± 5.20 | −6.208; p = 0.003 | −3.881; p = 0.163 | 2.327; p = 0.344 |
| Females (n = 86) | 19.05 ± 3.84 | 20.75 ± 4.27 | 21.39 ± 4.98 | −1.699; p = 1.000 | −2.344; p = 1.000 | −0.644; p = 1.000 | |
Disclaimer/Publisher’s Note: The statements, opinions and data contained in all publications are solely those of the individual author(s) and contributor(s) and not of MDPI and/or the editor(s). MDPI and/or the editor(s) disclaim responsibility for any injury to people or property resulting from any ideas, methods, instructions or products referred to in the content. |
© 2023 by the authors. Licensee MDPI, Basel, Switzerland. This article is an open access article distributed under the terms and conditions of the Creative Commons Attribution (CC BY) license (https://creativecommons.org/licenses/by/4.0/).
Share and Cite
Mateo-Orcajada, A.; Vaquero-Cristóbal, R.; Montoya-Lozano, J.M.; Abenza-Cano, L. Differences in Kinanthropometric Variables and Physical Fitness of Adolescents with Different Adherence to the Mediterranean Diet and Weight Status: “Fat but Healthy Diet” Paradigm. Nutrients 2023, 15, 1152. https://doi.org/10.3390/nu15051152
Mateo-Orcajada A, Vaquero-Cristóbal R, Montoya-Lozano JM, Abenza-Cano L. Differences in Kinanthropometric Variables and Physical Fitness of Adolescents with Different Adherence to the Mediterranean Diet and Weight Status: “Fat but Healthy Diet” Paradigm. Nutrients. 2023; 15(5):1152. https://doi.org/10.3390/nu15051152
Chicago/Turabian StyleMateo-Orcajada, Adrián, Raquel Vaquero-Cristóbal, Jesús Miguel Montoya-Lozano, and Lucía Abenza-Cano. 2023. "Differences in Kinanthropometric Variables and Physical Fitness of Adolescents with Different Adherence to the Mediterranean Diet and Weight Status: “Fat but Healthy Diet” Paradigm" Nutrients 15, no. 5: 1152. https://doi.org/10.3390/nu15051152
APA StyleMateo-Orcajada, A., Vaquero-Cristóbal, R., Montoya-Lozano, J. M., & Abenza-Cano, L. (2023). Differences in Kinanthropometric Variables and Physical Fitness of Adolescents with Different Adherence to the Mediterranean Diet and Weight Status: “Fat but Healthy Diet” Paradigm. Nutrients, 15(5), 1152. https://doi.org/10.3390/nu15051152

