Serum Folate Concentrations in Exclusively Breastfed Preterm Infants Who Received No Supplementary Oral Folic Acid After Discharge: A Prospective Cohort Study
Abstract
1. Introduction
2. Materials and Methods
3. Results
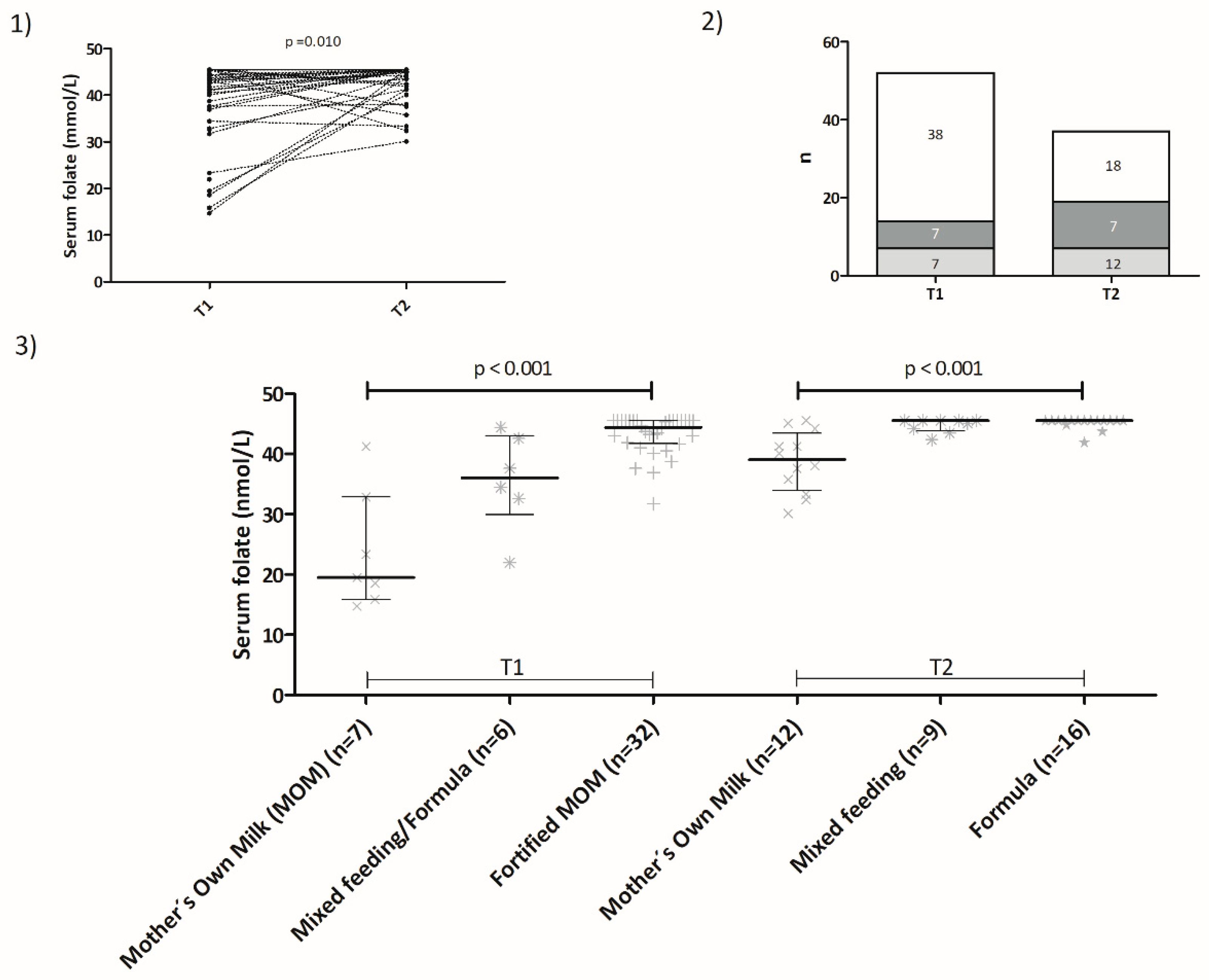
3.1. Baseline Characteristics, Feeding, and Folic Acid Supplements
3.2. Serum Folate Results
4. Discussion
5. Conclusions
Supplementary Materials
Author Contributions
Funding
Institutional Review Board Statement
Informed Consent Statement
Data Availability Statement
Acknowledgments
Conflicts of Interest
References
- Embleton, N.E.; Pang, N.; Cooke, R.J. Postnatal Malnutrition and Growth Retardation: An Inevitable Consequence of Current Recommendations in Preterm Infants? Pediatrics 2001, 107, 270–273. [Google Scholar] [CrossRef] [PubMed]
- Bronsky, J.; Campoy, C.; Braegger, C.; ESPGHAN/ESPEN/ESPR/CSPEN Working Group on Pediatric Parenteral Nutrition. ESPGHAN/ESPEN/ESPR/CSPEN guidelines on pediatric parenteral nutrition: Vitamins. Clin. Nutr. 2018, 37, 2366–2378. [Google Scholar] [CrossRef]
- Embleton, N.D.; Jennifer Moltu, S.; Lapillonne, A.; Van Den Akker, C.H.P.; Carnielli, V.; Fusch, C.; Gerasimidis, K.; Van Goudoever, J.B.; Haiden, N.; Iacobelli, S.; et al. Enteral Nutrition in Preterm Infants (2022): A Position Paper from the ESPGHAN Committee on Nutrition and Invited Experts. J. Pediatr. Gastroenterol. Nutr. 2023, 76, 248–268. [Google Scholar] [CrossRef]
- Clarke, P.; Shearer, M.J.; Card, D.J.; Nichols, A.; Ponnusamy, V.; Mahaveer, A.; Voong, K.; Dockery, K.; Holland, N.; Mulla, S.; et al. Exclusively Breastmilk-Fed Preterm Infants Are at High Risk of Developing Subclinical Vitamin K Deficiency despite Intramuscular Prophylaxis at Birth. J. Thromb. Haemost. 2022, 20, 2773–2785. [Google Scholar] [CrossRef] [PubMed]
- Vasu, V.; Mulla, S.; Pandya, A.; Card, D.; Shearer, M.J.; Clarke, P. Late-Onset Vitamin K Deficiency Bleeding in an Extremely Preterm Infant Fed an Exclusively Human Milk–Based Diet. J. Thromb. Haemost. 2024, 22, 466–469. [Google Scholar] [CrossRef]
- Roberts, P.M.; Arrowsmith, D.E.; Rau, S.M.; Monk-Jones, M.E. Folate State of Premature Infants. Arch. Dis. Child. 1969, 44, 637. [Google Scholar] [CrossRef]
- Pathak, A.; Godwin, H.A.; Prudent, L.M. Vitamin B12 and Folic Acid Values in Premature Infants. Pediatrics 1972, 50, 584. [Google Scholar] [CrossRef] [PubMed]
- MRC Vitamin Study Group. Prevention of Neural Tube Defects: Results of the Medical Research Council Vitamin Study. Lancet 1991, 338, 131–137. [Google Scholar] [CrossRef]
- Hay, G.; Clausen, T.; Whitelaw, A.; Trygg, K.; Johnston, C.; Henriksen, T.; Refsum, H. Maternal Folate and Cobalamin Status Predicts Vitamin Status in Newborns and 6-Month-Old Infants. J. Nutr. 2010, 140, 557–564. [Google Scholar] [CrossRef]
- Hibbard, E.D.; Obst, D.; Kenna, A.P. Plasma and Erythrocyte Folate Levels in Low-Birth-Weight Infants. J. Pediatr. 1974, 84, 750–753. [Google Scholar] [CrossRef]
- Babayan, V.; Triglycerides, M.C. Transport Properties of Folate Bound to Human Milk Folate-Binding Protein. Nutr. Rev. 1988, 46, 230–232. [Google Scholar] [CrossRef]
- LASER Analytica. Comprehensive Literature Search and Review of Breast Milk Composition as Preparatory Work for the Setting of Dietary Reference Values for Vitamins and Minerals. In EFSA Supporting Publications; Wiley: New York, NY, USA, 2014; pp. 1–54. [Google Scholar]
- Redeuil, K.; Lévêques, A.; Oberson, J.M.; Bénet, S.; Tissot, E.; Longet, K.; de Castro, A.; Romagny, C.; Beauport, L.; Fischer Fumeaux, C.J.; et al. Vitamins and Carotenoids in Human Milk Delivering Preterm and Term Infants: Implications for Preterm Nutrient Requirements and Human Milk Fortification Strategies. Clin. Nutr. 2021, 40, 222–228. [Google Scholar] [CrossRef] [PubMed]
- Ek, J.; Behncke, L.; Halvorsen, K.S.; Magnus, E. Plasma and Red Cell Folate Values and Folate Requirements in Formula-Fed Premature Infants. Eur. J. Pediatr. 1984, 142, 78–82. [Google Scholar] [CrossRef] [PubMed]
- Operational Delivery Networks’ Dietetic Group (NatNeoRD) and Affiliates [Adapted for the East of England by Lynne Radbone, Lead Dietician for the East of England Operational Delivery Network]. The Routine Supplementation of Vitamins and Iron and the Management of Zinc Deficiency in Preterm and Small for Gestational Age Infants. Available online: https://eoeneonatalpccsicnetwork.nhs.uk/wp-content/uploads/2024/03/EOE-Vitamin-Iron-guideline-March-2024.pdf (accessed on 2 December 2024).
- Oncel, M.Y.; Calisici, E.; Ozdemir, R.; Yurttutan, S.; Erdeve, O.; Karahan, S.; Dilmen, U. Is Folic Acid Supplementation Really Necessary in Preterm Infants ≤32 Weeks of Gestation? J. Pediatr. Gastroenterol. Nutr. 2014, 58, 188–192. [Google Scholar] [CrossRef] [PubMed]
- Jones, M.L.; Nixon, P.F. Tetrahydrofolates Are Greatly Stabilized by Binding to Bovine Milk Folate-Binding Protein. J. Nutr. 2002, 132, 2690–2694. [Google Scholar] [CrossRef]
- World Health Organization. Serum and Red Blood Cell Folate Concentrations for Assessing Folate Status in Populations; Vitamin and Mineral Nutrition Information System; World Health Organization: Geneva, Switzerland, 2015; pp. 1–7. [Google Scholar]
- Patel, K.R.; Sobczyńska-Malefora, A. The Adverse Effects of an Excessive Folic Acid Intake. Eur. J. Clin. Nutr. 2017, 71, 159–163. [Google Scholar] [CrossRef]
- Obeid, R.; Warnke, I.; Bendik, I.; Troesch, B.; Schoop, R.; Chenal, E.; Koletzko, B. Infants’ Folate Markers and Postnatal Growth in the First 4 Months of Life in Relation to Breastmilk and Maternal Plasma Folate. Nutrients 2023, 15, 1495. [Google Scholar] [CrossRef]
- Sjöström, E.S.; Öhlund, I.; Ahlsson, F.; Domellöf, M. Intakes of Micronutrients Are Associated with Early Growth in Extremely Preterm Infants. J. Pediatr. Gastroenterol. Nutr. 2016, 62, 885–892. [Google Scholar] [CrossRef]
- Bjørkevoll, S.M.G.; Konijnenberg, C.; Kvestad, I.; McCann, A.; Ueland, P.M.; Næss Sleire, S.; Dahl, L.; Kjellevold, M.; Strand, T.A.; Markhus, M.W. Vitamin B12 and Folate Status in Pregnant Females and Their Infants in Norway: Secondary Analysis from the Mommy’s Food Study. J. Nutr. 2023, 153, 3543–3554. [Google Scholar] [CrossRef]
- Allen, L.H. B Vitamins in Breast Milk: Relative Importance of Maternal Status and Intake, and Effects on Infant Status and Function. Adv. Nutr. 2012, 3, 362–369. [Google Scholar] [CrossRef]
- Rycyna, K.J.; Bacich, D.J.; O’Keefe, D.S. Divergence between Dietary Folate Intake and Concentrations in the Serum and Red Blood Cells of Aging Males in the United States. Clin. Nutr. 2016, 35, 928–934. [Google Scholar] [CrossRef]
- Obeid, R.; Warnke, I.; Wittke, A.; Bendik, I.; Troesch, B.; Schoop, R.; Hecht, C.; Demmelmair, J.; Koletzko, B. Infant Blood Concentrations of Folate Markers and Catabolites Are Modified by 5,10-Methylenetetrahydrofolate Reductase C677T Genotype and Dietary Folate Source. Am. J. Clin. Nutr. 2023, 117, 509–517. [Google Scholar] [CrossRef] [PubMed]
- Korpela, K.; Salonen, A.; Vepsäläinen, O.; Suomalainen, M.; Kolmeder, C.; Varjosalo, M.; Miettinen, S.; Kukkonen, K.; Savilahti, E.; Kuitunen, M.; et al. Probiotic Supplementation Restores Normal Microbiota Composition and Function in Antibiotic-Treated and in Caesarean-Born Infants. Microbiome 2018, 6, 182. [Google Scholar] [CrossRef] [PubMed]
- Houghton, L.A.; Yang, J.; O’Connor, D.L. Unmetabolized Folic Acid and Total Folate Concentrations in Breast Milk Are Unaffected by Low-Dose Folate Supplements. Am. J. Clin. Nutr. 2009, 89, 216–220. [Google Scholar] [CrossRef] [PubMed]
- Devalia, V.; Hamilton, M.S.; Molloy, A.M. Guidelines for the Diagnosis and Treatment of Cobalamin and Folate Disorders. Br. J. Haematol. 2014, 166, 496–513. [Google Scholar] [CrossRef] [PubMed]
- Godbole, K.; Gayathri, P.; Ghule, S.; Sasirekha, B.V.; Kanitkar-Damle, A.; Memane, N.; Suresh, S.; Sheth, J.; Chandak, G.R.; Yajnik, C.S. Maternal One-Carbon Metabolism, MTHFR and TCN2 Genotypes and Neural Tube Defects in India. Birth Defects Res. A Clin. Mol. Teratol. 2011, 91, 848–856. [Google Scholar] [CrossRef]
- Sulistyoningrum, D.C.; Sullivan, T.R.; Skubisz, M.; Palmer, D.J.; Wood, S.; Ueland, P.M.; McCann, A.; Makrides, M.; Green, T.J.; Best, K.P. Maternal Serum Unmetabolized Folic Acid Concentration Following Multivitamin and Mineral Supplementation with or without Folic Acid after 12 Weeks Gestation: A Randomized Controlled Trial. Matern. Child. Nutr. 2024, 20, e13668. [Google Scholar] [CrossRef]
- Selhub, J.; Morris, M.S.; Jacques, P.F.; Rosenberg, I.H. Folate-Vitamin B-12 Interaction in Relation to Cognitive Impairment, Anemia, and Biochemical Indicators of Vitamin B-12 Deficiency. Am. J. Clin. Nutr. 2009, 89, 702–706. [Google Scholar] [CrossRef]
- Sobczyńska-Malefora, A.; Ramachandran, R.; Cregeen, D.; Green, E.; Bennett, P.; Harrington, D.J.; Lemonde, H.A. An Infant and Mother with Severe B12 Deficiency: Vitamin B 12 Status Assessment Should Be Determined in Pregnant Women with Anaemia. Eur. J. Clin. Nutr. 2017, 71, 1013–1015. [Google Scholar] [CrossRef]

| Baseline Characteristics | |
|---|---|
| Gestational age at birth (weeks) | 29.1 (2.8)//30.0 (26.4–31.4) |
| Birthweight (g) | 1255 (433)//1337 (839–1588) |
| Gender: Male | 20/45 (44%) |
| Fetal growth restriction | 4/45 (9%) |
| Multiple (twin or triplet) | 15/45 (33%) * |
| Postnatal age at blood sampling | |
| T1 (days) | 46 (26)//41 (15–110) |
| T2 (days) | 150 (52)//150 (69–238) |
| Nutritional data | |
| Parenteral nutrition | |
| Received | 32/45 (71%) |
| Days ** | 11.2 (5.6)//10.0 (7.0–14.8) |
| Enteral feeding | |
| Days at start | 1.9 (1.7)//2.0 (1.0–2.0) |
| Days at full feeds | 11.5 (7.2)//10.0 (6.0–15.0) |
| Oral folic acid supplement | |
| Yes | 5/45 (11.1%) |
| Total days where given | 93 (29)//78 (72–100) |
| Type of feeding | |
| T1 | |
| Unfortified breastmilk | 7 (16%) |
| Fortified breastmilk | 32 (71%) |
| Mixed feeding *** | 6 (13%) |
| T2 | |
| Breastmilk only | 12 (32%) |
| Mixed feeding | 9 (24%) |
| Formula feeding | 16 (43%) |
| T1 | |||
| Mother’s Own Milk (MOM) N = 7 | Mixed feeding/Formula N = 6 | Fortified MOM N = 32 | |
| Mean (SD) | 23.7 (9.8) | 35.6 (8.1) | 43.2 (3.3) |
| Median (range) | 19.5 (14.7–41.2) | 36.0 (22.0–44.4) | 44.4 (31.7–45.5) |
| IQR | 15.9–32.8 | 30.0–43.0 | 41.7–45.5 |
| T2 | |||
| MOM N = 12 | Mixed feeding N = 9 | Formula N = 16 | |
| Mean (SD) | 38.7 (5.1) | 43.8 (1.2) | 45.1 (1.0) |
| Median (range) | 39.1 (30.1–45.5) | 45.5 (42.4–45.5) | 45.5 (41.9–45.5) |
| IQR | 33.9–43.4 | 43.8–45.5 | 45.5–45.5 |
Disclaimer/Publisher’s Note: The statements, opinions and data contained in all publications are solely those of the individual author(s) and contributor(s) and not of MDPI and/or the editor(s). MDPI and/or the editor(s) disclaim responsibility for any injury to people or property resulting from any ideas, methods, instructions or products referred to in the content. |
© 2024 by the authors. Licensee MDPI, Basel, Switzerland. This article is an open access article distributed under the terms and conditions of the Creative Commons Attribution (CC BY) license (https://creativecommons.org/licenses/by/4.0/).
Share and Cite
Iglesias-Platas, I.; Sobczyńska-Malefora, A.; Ponnusamy, V.; Mahaveer, A.; Voong, K.; Nichols, A.; Dockery, K.; Holland, N.; Mulla, S.; Shearer, M.J.; et al. Serum Folate Concentrations in Exclusively Breastfed Preterm Infants Who Received No Supplementary Oral Folic Acid After Discharge: A Prospective Cohort Study. Nutrients 2024, 16, 4220. https://doi.org/10.3390/nu16234220
Iglesias-Platas I, Sobczyńska-Malefora A, Ponnusamy V, Mahaveer A, Voong K, Nichols A, Dockery K, Holland N, Mulla S, Shearer MJ, et al. Serum Folate Concentrations in Exclusively Breastfed Preterm Infants Who Received No Supplementary Oral Folic Acid After Discharge: A Prospective Cohort Study. Nutrients. 2024; 16(23):4220. https://doi.org/10.3390/nu16234220
Chicago/Turabian StyleIglesias-Platas, Isabel, Agata Sobczyńska-Malefora, Vennila Ponnusamy, Ajit Mahaveer, Kieran Voong, Amy Nichols, Karen Dockery, Nicky Holland, Shaveta Mulla, Martin J. Shearer, and et al. 2024. "Serum Folate Concentrations in Exclusively Breastfed Preterm Infants Who Received No Supplementary Oral Folic Acid After Discharge: A Prospective Cohort Study" Nutrients 16, no. 23: 4220. https://doi.org/10.3390/nu16234220
APA StyleIglesias-Platas, I., Sobczyńska-Malefora, A., Ponnusamy, V., Mahaveer, A., Voong, K., Nichols, A., Dockery, K., Holland, N., Mulla, S., Shearer, M. J., Card, D., Hall, L. J., Harrington, D. J., & Clarke, P. (2024). Serum Folate Concentrations in Exclusively Breastfed Preterm Infants Who Received No Supplementary Oral Folic Acid After Discharge: A Prospective Cohort Study. Nutrients, 16(23), 4220. https://doi.org/10.3390/nu16234220

