Intervention Efficacy of Slightly Processed Allergen/Meat in Oral Immunotherapy for Seafood Allergy: A Systematic Review, Meta-Analysis, and Meta-Regression Analysis in Mouse Models and Clinical Patients
Abstract
1. Introduction
2. Materials and Methods
2.1. Search Strategy
2.2. Eligibility Criteria
- (1)
- Case-control, case study, and cohort studies.
- (2)
- OIT experiments conducted in either mouse models or clinical patients.
- (3)
- Mouse models: The primary indicator is the change in anaphylactic score before and after OIT treatment as the score integrated the allergic symptoms of mouse (e.g., body temperature reduction, diarrhea rate) and biological markers (e.g., IgE, IgG1, IgG2a, histamine).
- (4)
- Clinical patients: The primary indicator of OIT intervention efficacy is the successful tolerance rate determined through the double-blind oral challenge. This rate directly signifies the achievement of a desensitized state by patients during the maintenance phase under these conditions. Additionally, it is worth noting that the drop-out rate is another crucial indicator when evaluating the efficacy of OIT intervention.
- (5)
- Availability of data before and after OIT treatment.
- (6)
- Additional evaluation indicators in both mouse models and clinical patients including specific antibodies (IgE), expression levels of various cytokines (IL-4, IL-10, IL-13, TGF-β and INF-γ), main effector cell clusters in mouse models, and OT dosage of meat and wheal size in clinical patients.
- (1)
- Non-original article (e.g., narrative reviews, editorials, meta-analyses).
- (2)
- Experiments conducted solely on cell models.
- (3)
- Allergic reactions not mediated by the IgE.
- (4)
- Mouse sensitization model not constructed by the oral gavage route. Evaluation indicators for slightly processed food in patients limited to allergenicity, without assessing their potential for OT.
- (5)
- Missing data either before or after OIT treatment.
- (6)
- Unobtainable raw data.
2.3. Data Extraction
2.4. Quality Assessment
2.5. Meta-Analysis
2.6. Publication Bias and Heterogeneity Analysis
3. Results
3.1. Summary of Included Studies
3.2. Quality Assessment
3.3. Risk of Publication Bias
3.4. Main Results of Meta-Analysis
Intervention Efficacy of Crustacean Allergen in OIT in Mouse Model
3.5. Intervention Efficacy of Processed Meat from Fish and Crustacea in OIT in Clinical Patients
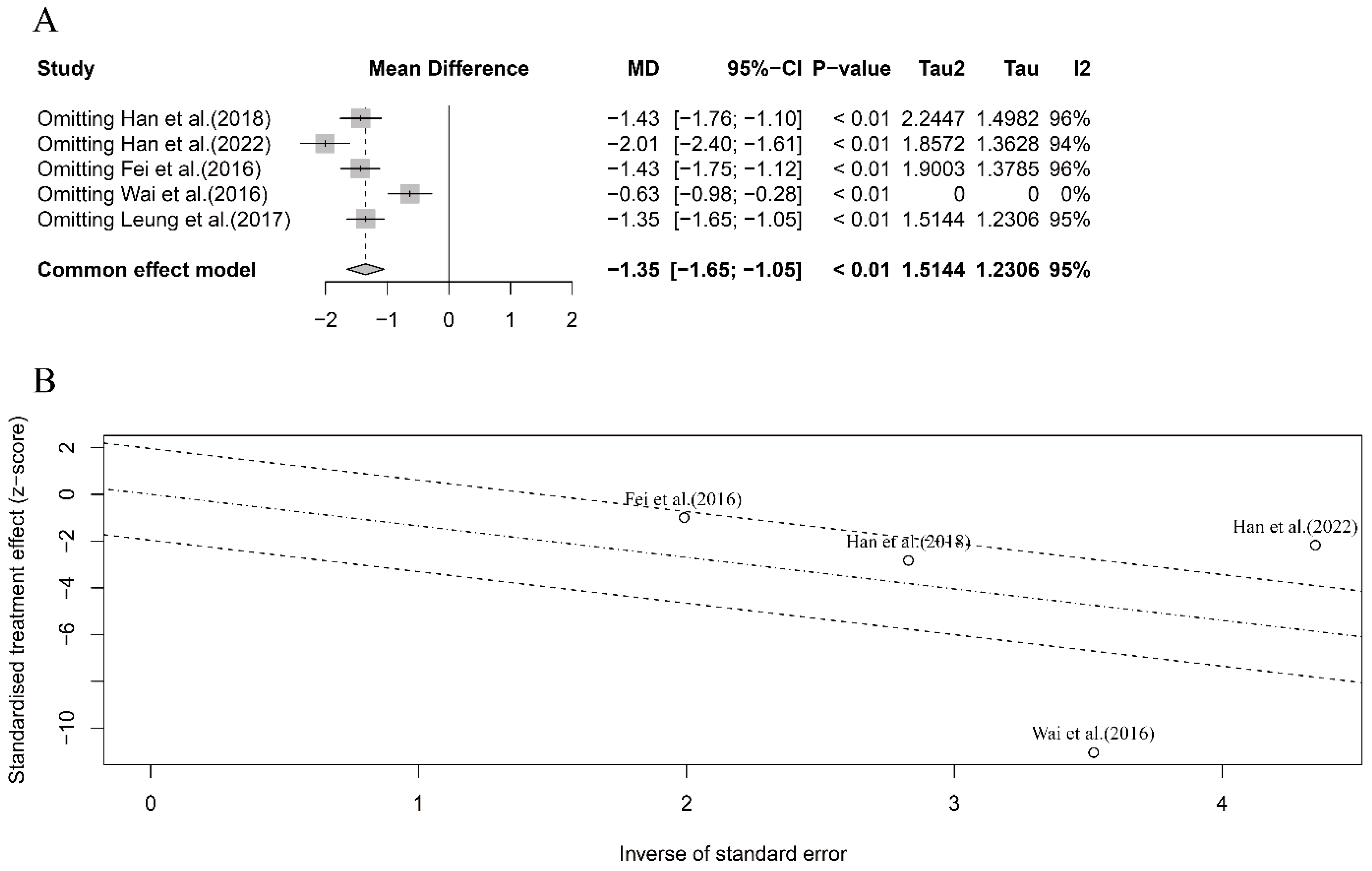
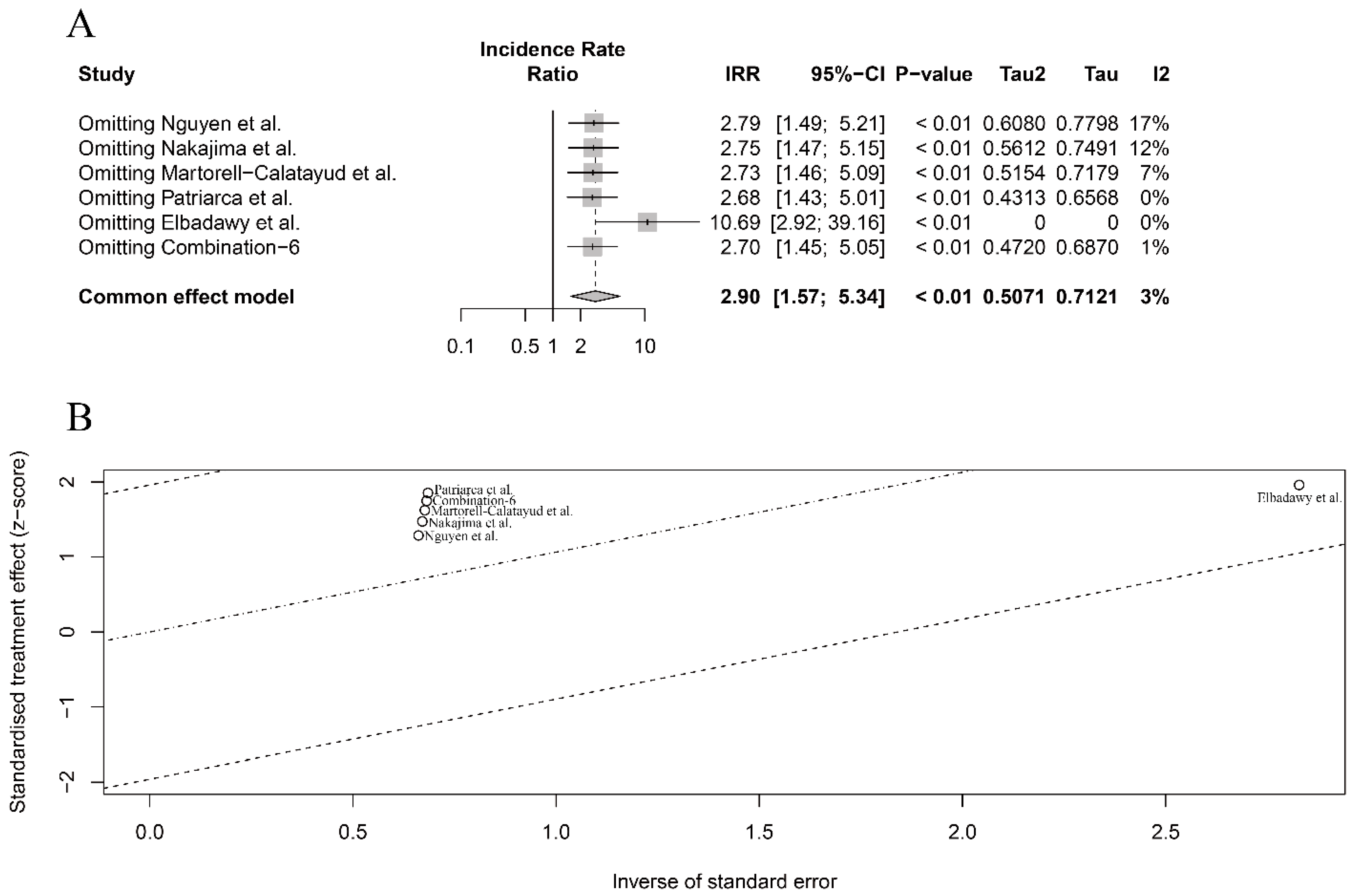
3.6. Sensitivity and Meta-Regression Analyses
4. Discussion
4.1. Intervention Efficacy of Various Processing Methods for Allergens from Fish and Crustacea in OIT
4.2. Intervention Efficacy and Safety of Different Allergens in OIT in Clinical Patients
5. Limitations
6. Conclusions
Supplementary Materials
Author Contributions
Funding
Institutional Review Board Statement
Informed Consent Statement
Data Availability Statement
Conflicts of Interest
References
- Sicherer, S.H.; Sampson, H.A. Food allergy: A review and update on epidemiology, pathogenesis, diagnosis, prevention, and management. J. Allergy Clin. Immunol. 2018, 141, 41–58. [Google Scholar] [CrossRef]
- Berin, M.C. Mechanisms that define transient versus persistent food allergy. J. Allergy Clin. Immunol. 2019, 143, 453–457. [Google Scholar] [CrossRef]
- Baumert, J.; Brooke-Taylor, S.; Chen, H.; Crevel, R.W.; Houben, G.F.; Jackson, L.; Kyriakidis, S.; La Vieille, S.; Lee, N.A.; López, M.C. Part 1: Review and Validation of Codex Priority Allergen List through Risk Assessment; INTA DIGITAL: Atlanta, GA, USA, 2021. [Google Scholar]
- Kanny, G.; Dano, D.; Danan, J.-L.; Astier, C.; Lefevre, S. Information des consommateurs allergiques et étiquetage: Actualités. Rev. Fr. D’allergologie 2015, 55, 483–491. [Google Scholar] [CrossRef]
- Wai, C.Y.Y.; Leung, N.Y.H.; Leung, A.S.Y.; Wong, G.W.K.; Leung, T.F. Seafood Allergy in Asia: Geographical Specificity and Beyond. Front. Allergy 2021, 2, 676903. [Google Scholar] [CrossRef]
- Skypala, I. Adverse food reactions--an emerging issue for adults. J. Am. Diet. Assoc. 2011, 111, 1877–1891. [Google Scholar] [CrossRef] [PubMed]
- Davis, C.M.; Gupta, R.S.; Aktas, O.N.; Diaz, V.; Kamath, S.D.; Lopata, A.L. Clinical Management of Seafood Allergy. J. Allergy Clin. Immunol. Pract. 2020, 8, 37–44. [Google Scholar] [CrossRef] [PubMed]
- Ugajin, T.; Kobayashi, Y.; Takayama, K.; Yokozeki, H. A parvalbumin allergy case was successfully treated with oral immunotherapy using hypoallergenic fish. Allergol. Int. 2021, 70, 509–511. [Google Scholar] [CrossRef]
- Sampson, H.A.; Leung, D.Y.; Burks, A.W.; Lack, G.; Bahna, S.L.; Jones, S.M.; Wong, D.A. A phase II, randomized, doubleblind, parallelgroup, placebocontrolled oral food challenge trial of Xolair (omalizumab) in peanut allergy. J. Allergy Clin. Immunol. 2011, 127, 1309–1310.e1. [Google Scholar] [CrossRef]
- Brandström, J.; Vetander, M.; Sundqvist, A.C.; Lilja, G.; Johansson, S.G.O.; Melén, E.; Sverremark-Ekström, E.; Nopp, A.; Nilsson, C. Individually dosed omalizumab facilitates peanut oral immunotherapy in peanut allergic adolescents. Clin. Exp. Allergy 2019, 49, 1328–1341. [Google Scholar] [CrossRef]
- Nowak-Wegrzyn, A.; Szajewska, H.; Lack, G. Food allergy and the gut. Nat. Rev. Gastroenterol. Hepatol. 2017, 14, 241–257. [Google Scholar] [CrossRef]
- Yu, W.; Freeland, D.M.H.; Nadeau, K.C. Food allergy: Immune mechanisms, diagnosis and immunotherapy. Nat. Rev. Immunol. 2016, 16, 751–765. [Google Scholar] [CrossRef]
- Wood, R.A. Oral immunotherapy for food allergy. J. Investig. Allergol. Clin. Immunol. 2017, 27, 151–159. [Google Scholar] [CrossRef]
- Ryan, J.F.; Hovde, R.; Glanville, J.; Lyu, S.C.; Ji, X.; Gupta, S.; Tibshirani, R.J.; Jay, D.C.; Boyd, S.D.; Chinthrajah, R.S.; et al. Successful immunotherapy induces previously unidentified allergen-specific CD4+ T-cell subsets. Proc. Natl. Acad. Sci. USA 2016, 113, E1286–E1295. [Google Scholar] [CrossRef]
- Dougherty, J.A.; Wagner, J.D.; Stanton, M.C. Peanut Allergen Powder-dnfp: A Novel Oral Immunotherapy to Mitigate Peanut Allergy. Ann. Pharmacother. 2021, 55, 344–353. [Google Scholar] [CrossRef]
- Wongteerayanee, C.; Tanticharoenwiwat, P.; Rutrakool, N.; Senavonge, A.; Jeekungwal, N.; Pacharn, P.; Vichyanond, P. Feasibility of a 3-step protocol of wheat oral immunotherapy in children with severe wheat allergy. Asia Pac. Allergy 2020, 10, e38. [Google Scholar] [CrossRef]
- Palosuo, K.; Karisola, P.; Savinko, T.; Fyhrquist, N.; Alenius, H.; Mäkelä, M.J.; Randomized, A. Open-Label Trial of Hen’s Egg Oral Immunotherapy: Efficacy and Humoral Immune Responses in 50 Children. J. Allergy Clin. Immunol. Pract. 2021, 9, 1892–1901.e1891. [Google Scholar] [CrossRef] [PubMed]
- Vickery, B.P.; Vereda, A.; Casale, T.B.; Beyer, K.; Toit, G.D.; Hourihane, J.O.; Jones, S.M.; Shreffler, W.G.; Marcantonio, A.; Zawadzki, R.; et al. AR101 Oral Immunotherapy for Peanut Allergy. N. Engl. J. Med. 2018, 379, 1991–2001. [Google Scholar]
- Larsen, J.M.; Bang-Berthelsen, C.H.; Qvortrup, K.; Sancho, A.I.; Hansen, A.H.; Andersen, K.I.H.; Thacker, S.S.N.; Eiwegger, T.; Upton, J.; Bøgh, K.L. Production of allergen-specific immunotherapeutic agents for the treatment of food allergy. Crit. Rev. Biotechnol. 2020, 40, 881–894. [Google Scholar] [CrossRef] [PubMed]
- Bai, T.L.; Han, X.Y.; Li, M.S.; Yang, Y.; Liu, M.; Ji, N.R.; Yu, C.C.; Lai, D.; Cao, M.J.; Liu, G.M. Effects of the Maillard reaction on the epitopes and immunoreactivity of tropomyosin, a major allergen in Chlamys nobilis. Food Funct. 2021, 12, 5096–5108. [Google Scholar] [CrossRef] [PubMed]
- Ahmed, I.; Lin, H.; Xu, L.; Li, S.; Costa, J.; Mafra, I.; Chen, G.; Gao, X.; Li, Z. Immunomodulatory Effect of Laccase/Caffeic Acid and Transglutaminase in Alleviating Shrimp Tropomyosin (Met e 1) Allergenicity. J. Agric. Food Chem. 2020, 68, 7765–7778. [Google Scholar] [CrossRef]
- Fu, L.; Ni, S.; Wang, C.; Wang, Y. Transglutaminase-catalysed cross-linking eliminates Penaeus chinensis tropomyosin allergenicity by altering protein structure. Food Agric. Immunol. 2019, 30, 296–308. [Google Scholar] [CrossRef]
- Shimakura, K.; Tonomura, Y.; Hamada, Y.; Nagashima, Y.; Shiomi, K. Allergenicity of crustacean extractives and its reduction by protease digestion. Food Chem. 2005, 91, 247–253. [Google Scholar] [CrossRef]
- Saifi, M.; Clark, A.; Arneson, A.; Feldman, M.; Bird, J.A. Baked egg oral immunotherapy (OIT) for baked egg (BE) allergic children. J. Allergy Clin. Immunol. 2015, 135, AB26. [Google Scholar] [CrossRef]
- Amat, F.; Bourgoin-Heck, M.; Lambert, N.; Deschildre, A.; Just, J. Immunothérapie orale au lait: Cru ou cuit? Rev. Française D’allergologie 2017, 57, 499–502. [Google Scholar] [CrossRef]
- Mattar, H.; Padfield, P.; Simpson, A.; Mills, E.N.C. The impact of a baked muffin matrix on the bioaccessibility and IgE reactivity of egg and peanut allergens. Food Chem. 2021, 362, 129879. [Google Scholar] [CrossRef] [PubMed]
- Liu, G.; Hu, M.; Sun, L.-C.; Han, X.; Liu, Q.; Alcocer, M.; Fei, D.; Cao, M.-J.; Liu, G.-M. Allergenicity and oral tolerance of enzymatic cross-linked tropomyosin evaluated using cell and mouse models. J. Agric. Food Chem. 2017, 65, 2205–2213. [Google Scholar] [CrossRef] [PubMed]
- Fei, D.X.; Liu, Q.M.; Chen, F.; Yang, Y.; Chen, Z.W.; Cao, M.J.; Liu, G.M. Assessment of the sensitizing capacity and allergenicity of enzymatic cross-linked arginine kinase, the crab allergen. Mol. Nutr. Food Res. 2016, 60, 1707–1718. [Google Scholar] [CrossRef] [PubMed]
- Gou, J.; Liang, R.; Huang, H.; Ma, X. Maillard Reaction Induced Changes in Allergenicity of Food. Foods 2022, 11, 530. [Google Scholar] [CrossRef] [PubMed]
- Zhang, Z.; Xiao, H.; Zhou, P. Allergenicity suppression of tropomyosin from Exopalaemon modestus by glycation with saccharides of different molecular sizes. Food Chem. 2019, 288, 268–275. [Google Scholar] [CrossRef] [PubMed]
- Nakamura, A.; Watanabe, K.; Ojima, T.; Ahn, D.H.; Saeki, H. Effect of maillard reaction on allergenicity of scallop tropomyosin. J. Agric. Food Chem. 2005, 53, 7559–7564. [Google Scholar] [CrossRef]
- Balduzzi, S.; Rücker, G.; Schwarzer, G. How to perform a meta-analysis with R: A practical tutorial. Evid. Based Ment. Health 2019, 22, 153–160. [Google Scholar] [CrossRef] [PubMed]
- Page, M.J.; McKenzie, J.E.; Bossuyt, P.M.; Boutron, I.; Hoffmann, T.C.; Mulrow, C.D.; Shamseer, L.; Tetzlaff, J.M.; Akl, E.A.; Brennan, S.E.; et al. 2020 statement: An updated guideline for reporting systematic reviews. BMJ 2021, 372, n71. [Google Scholar] [CrossRef] [PubMed]
- Higgins, J.P.; Thompson, S.G.; Deeks, J.J.; Altman, D.G. Measuring inconsistency in meta-analyses. BMJ 2003, 327, 557–560. [Google Scholar] [CrossRef] [PubMed]
- Irwig, L.; Macaskill, P.; Berry, G.; Glasziou, P. Bias in meta-analysis detected by a simple, graphical test. Graphical test is itself biased. BMJ Br. Med. J. 1998, 316, 470. [Google Scholar]
- Viechtbauer, W. Conducting meta-analyses in R with the metafor package. J. Stat. Softw. 2010, 36, 1–48. [Google Scholar] [CrossRef]
- Han, X.Y.; Yang, H.; Rao, S.T.; Liu, G.Y.; Hu, M.J.; Zeng, B.C.; Cao, M.J.; Liu, G.M. The Maillard Reaction Reduced the Sensitization of Tropomyosin and Arginine Kinase from Scylla paramamosain, Simultaneously. J. Agric. Food Chem. 2018, 66, 2934–2943. [Google Scholar] [CrossRef]
- Han, X.-Y.; Bai, T.-L.; Yang, H.; Lin, Y.-C.; Ji, N.-R.; Wang, Y.-B.; Fu, L.-L.; Cao, M.-J.; Liu, J.-W.; Liu, G.-M. Reduction in Allergenicity and Induction of Oral Tolerance of Glycated Tropomyosin from Crab. Molecules 2022, 27, 2027. [Google Scholar] [CrossRef]
- Wai, C.; Leung, N.; Leung, P.; Chu, K. T cell epitope immunotherapy ameliorates allergic responses in a murine model of shrimp allergy. Clin. Exp. Allergy 2016, 46, 491–503. [Google Scholar] [CrossRef]
- Leung, N.Y.H.; Wai, C.Y.Y.; Shu, S.A.; Chang, C.C.; Chu, K.H.; Leung, P.S. Low-dose allergen-specific immunotherapy induces tolerance in a murine model of shrimp allergy. Int. Arch. Allergy Immunol. 2017, 174, 86–96. [Google Scholar] [CrossRef]
- Porcaro, F.; Caminiti, L.; Crisafulli, G.; Arasi, S.; Chiera, F.; La Monica, G.; Pajno, G.B. Management of Food Allergy to Fish with Oral Immunotherapy: A Pediatric Case Report. Pediatr. Allergy Immunol. Pulmonol. 2016, 29, 104–107. [Google Scholar] [CrossRef]
- Nucera, E.; Ricci, A.G.; Rizzi, A.; Mezzacappa, S.; Di Rienzo, A.; Pecora, V.; Patriarca, G.; Buonomo, A.; Aruanno, A.; Schiavino, D. Specific oral immunotherapy in food allergic patients: Transient or persistent tolerance? Adv. Dermatol. Allergol. Postępy Dermatol. I Alergol. 2018, 35, 392–396. [Google Scholar] [CrossRef]
- Damelio, C.M. Successful Specific Oral Tolerance Induction with Hake in an Allergic Child Detecting Fish in Cooking Steam. J. Allergy Clin. Immunol. 2015, 135, AB259. [Google Scholar] [CrossRef]
- D’Amelio, C.; Gastaminza, G.; Vega, O.; Bernad, A.; Madamba, R.; Martínez-Aranguren, R.; Ferrer, M.; Goikoetxea, M. Induction of tolerance to different types of fish through desensitization with hake. Pediatr. Allergy Immunol. Off. Publ. Eur. Soc. Pediatr. Allergy Immunol. 2016, 28, 96–99. [Google Scholar] [CrossRef] [PubMed]
- Casimir, G.; Cuvelier, P.; AIIard, S.; Duchateau, J. Life-threatening fish allergy successfully treated with immunotherapy. Pediatr. Allergy Immunol. 1997, 8, 103–105. [Google Scholar] [CrossRef] [PubMed]
- ELBadawy, N.E.; Abdel-Latif, R.S. Food specific IgE as a biomarker of oral immunotherapy efficacy in comparison to double blind food challenge test. Egypt J. Immunol. 2017, 24, 109–125. [Google Scholar] [PubMed]
- Martorell-Calatayud, C.; Carnés, J.; Gómez, A.M.; Fernández, L.D.; Zudaire, L.E.; Rodríguez, C.S.; Galán, C.G.; Toral Pérez, T.; Rodríguez Del Río, P.; Martorell Aragonés, A. Oral Immunotherapy to Hake in 8 Pediatric Patients. J. Investig. Allergol. Clin. Immunol. 2019, 29, 294–296. [Google Scholar] [CrossRef]
- Patriarca, G.; Nucera, E.; Pollastrini, E.; Roncallo, C.; Pasquale, T.D.; Lombardo, C.; Pedone, C.; Gasbarrini, G.; Buonomo, A.; Schiavino, D. Oral specific desensitization in food-allergic children. Dig. Dis. Sci. 2007, 52, 1662–1672. [Google Scholar] [CrossRef] [PubMed]
- Nakajima, Y.; Kondo, Y.; Mori, Y.; Otaka, S.; Okubo, Y.; Tanaka, K.; Yamawaki, K.; Inuo, C.; Hirata, N.; Suzuki, S. Oral Immunotherapy for Fish Allergy Using a Hypoallergenic Decomposed Fish Meat. J. Allergy Clin. Immunol. 2015, 135, AB258. [Google Scholar] [CrossRef]
- Nguyen, D.-T.I.; Sindher, S.B.; Chinthrajah, R.S.; Nadeau, K.; Davis, C.M. Shrimp-allergic patients in a multi-food oral immunotherapy trial. Pediatr. Allergy Immunol. 2022, 33, e13679. [Google Scholar] [CrossRef]
- Yee, C.S.; Rachid, R. The Heterogeneity of Oral Immunotherapy Clinical Trials: Implications and Future Directions. Curr. Allergy Asthma Rep. 2016, 16, 25. [Google Scholar] [CrossRef]
- Toda, M.; Hellwig, M.; Henle, T.; Vieths, S. Influence of the Maillard Reaction on the Allergenicity of Food Proteins and the Development of Allergic Inflammation. Curr. Allergy Asthma Rep. 2019, 19, 4. [Google Scholar] [CrossRef] [PubMed]
- Zhang, Z.; Xiao, H.; Zhou, P. Glycation by saccharides of different molecular sizes affected the allergenicity of shrimp tropomyosin via epitope loss and the generation of advanced glycation end products. Food Funct. 2019, 10, 7042–7051. [Google Scholar] [CrossRef] [PubMed]
- Zhang, Z.; Li, X.M.; Xiao, H.; Nowak-Wegrzyn, A.; Zhou, P. Insight into the allergenicity of shrimp tropomyosin glycated by functional oligosaccharides containing advanced glycation end products. Food Chem. 2020, 302, 125348. [Google Scholar] [CrossRef] [PubMed]
- Calatayud, C.M.; García, A.M.A. Martorell Aragonés and B. De La Hoz Caballer, Safety and efficacy profile and immunological changes associated with oral immunotherapy for IgE-mediated cow’s milk allergy in children: Systematic review and meta-analysis. J. Investig. Allergol. Clin. Immunol. 2014, 24, 298–307. [Google Scholar]
- Kim, E.H.; Perry, T.T.; Wood, R.A.; Leung, D.Y.M.; Berin, M.C.; Burks, A.W.; Cho, C.B.; Jones, S.M.; Scurlock, A.; Sicherer, S.H.; et al. Induction of sustained unresponsiveness after egg oral immunotherapy compared to baked egg therapy in children with egg allergy. J. Allergy Clin. Immunol. 2020, 146, 851–862.e10. [Google Scholar] [CrossRef] [PubMed]
- Sampson, H.A. Peanut oral immunotherapy: Is it ready for clinical practice? J. Allergy Clin. Immunol. Pract. 2013, 1, 15–21. [Google Scholar] [CrossRef] [PubMed]
- Eapen, A.A.; Lavery, W.J.; Siddiqui, J.S.; Lierl, M.B. Oral immunotherapy for multiple foods in a pediatric allergy clinic setting. Ann. Allergy Asthma Immunol. 2019, 123, 573–581.e3. [Google Scholar] [CrossRef]
- Varshney, P.; Steele, P.H.; Vickery, B.P.; Bird, J.A.; Thyagarajan, A.; Scurlock, A.M.; Perry, T.T.; Jones, S.M.; Burks, A.W. Adverse reactions during peanut oral immunotherapy home dosing. J. Allergy Clin. Immunol. 2009, 124, 1351–1352. [Google Scholar] [CrossRef]
- Srivastava, K.D.; Song, Y.; Yang, N.; Liu, C.; Goldberg, I.E.; Nowak-Węgrzyn, A.; Sampson, H.A.; Li, X.M. B-FAHF-2 plus oral immunotherapy (OIT) is safer and more effective than OIT alone in a murine model of concurrent peanut/tree nut allergy. Clin. Exp. Allergy 2017, 47, 1038–1049. [Google Scholar] [CrossRef]





| First Author, Year (Reference) | Design | Participants | Processing Methods a | Utilized Allergen b | Main Indicators | Other Indicators | 
|---|---|---|---|---|---|---|
| Han et al. (2018) [37] | Case– control | 8 mice in allergic model and equal controls | MR | Crab, AK | Anaphylactic score | Multiple specific antibodies and cytokines | 
| Han et al. (2022) [38] | Case– control | 4 mice in allergic model and equal controls | MR | Crab, TM | Anaphylactic score | Multiple specific antibodies and cytokines | 
| Fei et al. (2016) [28] | Case– control | 4 mice in allergic model and equal controls | Enzymatic cross-linking | Crab, AK | Anaphylactic score | Multiple specific antibodies and cytokines | 
| Wai et al. (2016) [39] | Case– control | 7 mice in allergic model and equal controls | Epitope peptide | Shrimp, TM | Anaphylactic score | Multiple specific antibodies and cytokines, main effector cell clusters | 
| Leung et al. (2017) [40] | Case– control | 6 mice in allergic model and equal controls | Low-dosage | Shrimp, TM | Anaphylactic score | Multiple specific antibodies and cytokines, main effector cell clusters | 
| First Author, Year (Reference) | Design | Age | Participants | Processing Methods | Utilized Meat | Main Indicators | Other Indicators b | 
|---|---|---|---|---|---|---|---|
| Nguyen et al. (2022) [50] | Cohort | 5–21 | 2 male and 1 female | Cooking | Shrimp, meat | OT rate | OT dosage; overall and specific IgE; wheal size | 
| Ugajin et al. (2021) [8] | Case report | 20 | 1 female | Cooking | Cod fish, meat | OT rate | OT dosage; BAT; IgE; allergic symptoms | 
| Porcaro et al. (2016) [41] | Case report | 11 | 1 male | Dehydration and cooking | Cod fish, meat | OT rate | OT dosage; IgE; wheal size | 
| Nucera et al. (2018) [42] | Case report | 20 | 1 male | Cooking | Cod fish, meat | OT rate | OT dosage | 
| Nakajima et al. (2015) [49] | Cohort | ND a | ND | Enzymatic hydrolysis of protease | Salmon, meat | OT rate | OT dosage; allergic symptoms | 
| Damelio et al. (2015) [43] | Case report | 6 | 1 female | Dehydration and cooking | Cod fish, meat | OT rate | OT dosage; IgE; wheal size | 
| Elbadawy et al. (2017) [46] | Cohort | Child | 36 cases | Cooking | Cod fish, meat | Yes (66.7%) No (33.3%) | OT dosage | 
| D’Amelio et al. (2016) [44] | Case report | 6 | 1 female | Lyophilization | Cod fish, meat | OT rate | OT dosage; wheal size | 
| Casimir et al. (1997) [45] | Case report | 3.25 | 1 female | Dilution | Cod fish, meat | OT rate | OT dosage; allergic symptoms | 
| Martorell-Calatayud et al. (2019) [47] | Cohort | 4–14 | 5 cases | Lyophilization | Cod fish, meat | OT rate | OT dosage; allergic symptoms | 
| Patriarca et al. (2007) [48] | Cohort | 5–15 | 7 cases | Cooking | Cod fish, meat | OT rate | OT dosage; allergic symptoms | 
| Outcome Type and Indicators a | Studies, n | p | Significance of Threshold c | MD/IRR (95% CI) d | I2, % | 
|---|---|---|---|---|---|
| Mouse models—overall | 5 | <0.01 | 0.05 | −1.30 (−2.56, −0.05) | 95 | 
| Three subgroups | |||||
| Species—crab | 3 | <0.01 | 0.025 | −0.63 (−0.98, −0.28) | 0 | 
| Species—shrimp | 2 b | -- | 0.025 | -- | -- | 
| Allergen—AK | 2 | <0.01 | 0.025 | −0.83 (−1.40, −0.27) | 0 | 
| Allergen—TM | 3 | 0.17 | 0.025 | −1.81 (−4.40, 0.77) | 98 | 
| PM-MR | 2 | <0.01 | 0.025 | −0.65 (−1.03, −0.27) | 29 | 
| PM—others | 3 | 0.16 | 0.025 | −1.85 (−4.44, 0.73) | 95 | 
| Clinical patients—overall | 6 | <0.01 | 0.05 | 2.90 (1.57, 5.34) | 3 | 
| Two subgroups | |||||
| Species—crustacea | 1 | -- | 0.025 | 7.00 (0.36, 135.52) | -- | 
| Species—fish | 5 | <0.01 | 0.025 | 2.79 (1.49, 5.21) | 17 | 
| PM—simple cooking | 3 | 0.01 | 0.025 | 2.36 (1.23, 4.56) | 15 | 
| PM—others | 3 | <0.01 | 0.025 | 10.90 (2.05, 58.06) | 0 | 
| Disclaimer/Publisher’s Note: The statements, opinions and data contained in all publications are solely those of the individual author(s) and contributor(s) and not of MDPI and/or the editor(s). MDPI and/or the editor(s) disclaim responsibility for any injury to people or property resulting from any ideas, methods, instructions or products referred to in the content. | 
© 2024 by the authors. Licensee MDPI, Basel, Switzerland. This article is an open access article distributed under the terms and conditions of the Creative Commons Attribution (CC BY) license (https://creativecommons.org/licenses/by/4.0/).
Share and Cite
Han, X.; Wang, X.; Chen, X.; Liu, H.; Liu, J.; Waye, M.M.Y.; Liu, G.; Rao, S. Intervention Efficacy of Slightly Processed Allergen/Meat in Oral Immunotherapy for Seafood Allergy: A Systematic Review, Meta-Analysis, and Meta-Regression Analysis in Mouse Models and Clinical Patients. Nutrients 2024, 16, 667. https://doi.org/10.3390/nu16050667
Han X, Wang X, Chen X, Liu H, Liu J, Waye MMY, Liu G, Rao S. Intervention Efficacy of Slightly Processed Allergen/Meat in Oral Immunotherapy for Seafood Allergy: A Systematic Review, Meta-Analysis, and Meta-Regression Analysis in Mouse Models and Clinical Patients. Nutrients. 2024; 16(5):667. https://doi.org/10.3390/nu16050667
Chicago/Turabian StyleHan, Xinyu, Xinya Wang, Xiaotong Chen, Hong Liu, Jingwen Liu, Mary Miu Yee Waye, Guangming Liu, and Shitao Rao. 2024. "Intervention Efficacy of Slightly Processed Allergen/Meat in Oral Immunotherapy for Seafood Allergy: A Systematic Review, Meta-Analysis, and Meta-Regression Analysis in Mouse Models and Clinical Patients" Nutrients 16, no. 5: 667. https://doi.org/10.3390/nu16050667
APA StyleHan, X., Wang, X., Chen, X., Liu, H., Liu, J., Waye, M. M. Y., Liu, G., & Rao, S. (2024). Intervention Efficacy of Slightly Processed Allergen/Meat in Oral Immunotherapy for Seafood Allergy: A Systematic Review, Meta-Analysis, and Meta-Regression Analysis in Mouse Models and Clinical Patients. Nutrients, 16(5), 667. https://doi.org/10.3390/nu16050667
 
        


 
       