Abstract
Uncertainty remains about the composition of contemporary plant-based diets and whether they provide recommended nutrient intakes. We established Feeding the Future (FEED), an up-to-date online cohort of UK adults following different plant-based diets and diets containing meat and fish. We recruited 6342 participants aged 18–99 [omnivores (1562), flexitarians (1349), pescatarians (568), vegetarians (1292), and vegans (1571)] between February 2022 and December 2023, and measured diet using a food frequency questionnaire and free text. We compared personal characteristics and dietary intakes between diet groups and assessed compliance with dietary guidelines. Most participants met UK dietary recommendations for fruit and vegetables, sodium, and protein, although protein intakes were lowest among vegetarians and vegans. Omnivores did not meet the fibre recommendation and only vegans met the saturated fat recommendation. All diet groups exceeded the free sugars recommendation. Higher proportions of vegetarians and vegans were below the estimated average requirements (EARs) for zinc, iodine, selenium, and, in vegans, vitamins A and B12, whereas calcium intakes were similar across the diet groups. People following plant-based diets showed good compliance with most dietary targets, and their risk for inadequate intakes of certain nutrients might be mitigated by improved dietary choices and/or food fortification.
Keywords:
vegetarians; vegans; flexitarians; plant-based; diet; cohort; dietary guidelines; nutrients 1. Introduction
Plant-based diets, which emphasise foods from plant sources and minimal or no intake of animal-based products, have become increasingly popular in the UK; between 2008/2009 and 2018/2019, the proportion of adults identifying as vegetarian (do not eat meat or fish) or vegan (do not eat any animal-sourced foods) in the National Diet and Nutrition Survey more than doubled from ~2% to ~5%, equivalent to around 3 million adults [1], and a YouGov poll in 2024 indicated that 13% of adults in the UK follow a flexitarian diet (mainly vegetarian, but occasionally consume meat and fish) [2]. Plant-based diets (e.g., flexitarian, vegetarian, and vegan) have the potential to substantially reduce the environmental impacts associated with the high consumption of meat and dairy products [3] and to benefit human health due to a generally lower consumption of saturated fat, an established risk factor for ischaemic heart disease [4]. However, plant-based diets may also increase the risk of nutrient deficiencies associated with avoiding animal-sourced foods (e.g., vitamin B12, calcium, and iodine), which can, in turn, lead to poor health outcomes [4]. However, evidence on the nutrient adequacy of plant-based diets is scarce and has been limited to vegans, vegetarians, and pescatarians and not considered flexitarian diet approaches [4]. Furthermore, the largest cohort studies including vegetarians and vegans were based on participants recruited in the 1990s and 2000s [5,6], when there was more limited availability of meat and dairy plant-based alternatives [7,8], which might have a specific contribution to nutrient intake (e.g., through fortified alternatives or supplementation).
Web-based studies have been demonstrated to be effective for collecting information on lifestyle and health from a diverse sample and have been used successfully to set up large cohort studies [9,10]. Several studies have demonstrated that online tools for dietary assessment perform well against traditional methods [11,12,13,14,15]. In the UK, a vast majority of adults use the Internet (92% or ~61.7 million users in 2020), including nearly all adults aged 16–44 and more than half aged 75 and over [16]. Using a web-based approach, we set up Feeding the Future (FEED), an online study collecting up-to-date information on plant-based diets (including information on contemporary meat and dairy alternatives), diets containing meat and fish, and associated personal characteristics in UK adults. Here, we describe the baseline characteristics of FEED participants and compare the mean daily nutrient intakes between diet groups and with recommended targets.
2. Materials and Methods
2.1. Recruitment
This study was open to UK residents aged 18 or over. Participants were recruited via various UK institutions and societies (e.g., the Vegan Society, the Vegetarian Society), mainstream broadcasters (e.g., radio, regional newsletters), food distributors (e.g., Waitrose weekend magazine), public engagement initiatives, social media, word of mouth, and posters displayed in local food/vegan markets and festivals with a brief summary and a QR code directing participants to the study site. A combination of generic and targeted advertising material (calls for participants from specific diet groups) was used. Informed consent was obtained electronically. An example ad can be seen in Appendix A.
2.2. Survey
The FEED survey comprised a one-off 20 min online questionnaire administered through JISC Online Surveys version 2 (https://www.ceu.ox.ac.uk/research/feeding-the-future-study-feed, accessed on 25 March 2024). Information was collected on dietary motivations, anthropometrics, sociodemographic and lifestyle information, and dietary intakes. The FEED online survey questions on lifestyle, health, and sociodemographic characteristics are aligned with other UK-based cohorts such as UK Biobank. Participants were asked to select a diet group that best described their current diet and report on the length of time that they have been following the diet. Diet group options included omnivore (consume meat frequently), flexitarian (infrequent meat eating), pescatarian (consume fish but no meat), vegetarian (do not consume meat or fish), and vegan (do not consume any animal-sourced foods). Height and weight were self-reported and subsequently used to calculate body mass index (BMI; weight in kilograms divided by height in metres squared). Additional questions on lifestyle characteristics included self-reported overall health status, smoking status, activity levels, supplement use, education level, and employment.
The FEED food frequency questionnaire (FFQ), included in the survey, was adapted from the validated UK European Prospective Investigation into Cancer and Nutrition (EPIC) study FFQ [17,18,19], and has been used in EPIC-Oxford, EPIC-Norfolk, Whitehall II, the Fenland Study, and the UK Women’s Cohort Study (with some modifications). The key features of the new online questionnaire are updates to contemporary foods and inclusion of a much wider range of plant-based meat alternative products and plant-based dairy alternative products, with questions to determine fortification with nutrients. The FEED study FFQ includes eight additional options for plant-based milk alternatives (soya, rice, oat, pea, almond, coconut, hemp, other), other vegan dairy alternatives (cream, yogurt, and ice cream), vegan eggs, options for vegan dips and sauces (tahini, vegan mayonnaise and salad cream/dressing), six meat alternatives (tempeh, textured vegetable protein, falafel, veggie burgers/sausages, soy burgers/sausages, seitan), and additional items such as chickpeas, oils, chocolate spread, nut/fruit bar, protein supplements (powders and bars), and meal replacements (shakes and bars). More detailed information on the types, brands, and fortification specifications of any plant-based alternatives consumed was collected through free text.
2.3. Database
Food composition data were provided in 2023 from the UK nutrient databank (NDB) [20] used for the UK National Diet and Nutrition Survey (NDNS) for the calculation of nutrient intakes (extract version: UK_NDB_1.2, 2023) [21]. This database is largely the same as the UK Composition of Foods Integrated Dataset (CoFID) food composition tables [22] but includes a larger range of foods and processed foods, and contains no missing values.
Additional foods and beverages were incorporated into the food composition database where (1) there was a lack of representation for vegan products in the NDB for a particular survey item (e.g., vegan hot chocolate), or (2) if the item was entirely missing (e.g., certain plant-based milk alternatives, meat alternatives, protein bars and powders, meal replacements). The selection of additional foods was guided by free-text responses where brands were explicitly asked in the survey, and, if not explicitly asked, several different representative options were selected from the FoodDB, a large database containing mandatory nutritional data for products available in major UK online supermarkets (up to May 2022) [23]. The selection of food codes for specific survey items was adapted, where participants were able to specify consuming fortified or non-fortified versions of a food. Nutritional information obtained from the FoodDB was cross-checked against online retailers for accuracy and updated to account for any potential changes to product composition (September 2023). Detailed information on the process of how additional foods were selected, imputation of missing nutrient values, and mapping survey items to food codes in the database can be found in Appendix B.
2.4. Intakes
To estimate daily food intakes, the frequency of consumption of each food or beverage item was multiplied by a standard Oxford WebQ portion size [24]; to estimate nutrient intakes (including total energy), this was further multiplied by the nutrient content. Where Oxford WebQ portion sizes were not available, portion sizes were obtained from EPIC-Oxford and UK Ministry of Agriculture, Fisheries and Food data [25]. For any additional plant-based alternative survey foods not listed in the above sources, portion sizes and nutritional data were obtained from product manufacturer websites, if not available in the NDB or FoodDB.
2.5. Dietary and Nutritional Guidelines
The Reference Nutrient Intake (RNI) and Estimated Average Requirement (EAR) values used to assess compliance with dietary guidelines were primarily based on the UK dietary reference values and proxy EARs developed by the Food and Nutrition Board of the US Institute of Medicine (IOM) for nutrients without established UK EARs [26,27,28,29]. Updated targets for free sugars and fibre (defined as recommended by the Association of Official Analytical Chemists International (AOAC)) were obtained from the Scientific Advisory Committee on Nutrition (SACN) Carbohydrate and Health (2015) report and the Salt and Health (2003) report for sodium [30,31]. The EAR cut-point method was used to estimate the prevalence of insufficient intakes of essential nutrients from dietary sources alone [32]. Additional alternative EAR values are provided for iron and zinc due to the suggested reduced bioavailability of these minerals in vegetarian and vegan diets [28]. Iron intake recommendations are conditional on age and gender, with a separate recommendation used for women aged 18–49.
2.6. Analysis
Descriptive statistics were used to summarise participant characteristics; results are reported as means with standard deviations (SDs), or counts and percentages, as appropriate. We grouped survey food items into major food categories and categories of plant-based sources (details in Supplementary Table S1), calculated mean daily intakes (in grams) for each diet group for women, men, and overall, and standardised to an intake of 2000 kcal. We calculated mean daily nutrient intakes in each diet group in women, men, and overall, adjusted for age and gender, and compared these to the guidelines mentioned above. As a sensitivity analysis, mean daily nutrient intakes were also calculated after taking into account vitamin, mineral, and supplement use in addition to food and drink, using available information. Doses were assumed based on products available in the NDB, and vitamin B12 injections were excluded due to the lack of corresponding food codes.
Analysis of variance (ANOVA) was used to assess overall differences in mean daily dietary and nutrient intakes between the five diet groups. Multiple pairwise comparisons with Bonferroni correction were used to assess the statistical significance of variations in adjusted mean nutrient intakes between different diet group pairs. p-Values < 0.05 were considered statistically significant. All analyses were conducted using Stata/SE 18.
3. Results
A total of 6684 participants were recruited into the FEED study between February 2022 and December 2023 from across the UK. Of these, 342 were excluded due to having implausible dietary intakes, defined as having an estimated daily energy intake (EI) of less than 3349 kJ (800 kcal) or more than 16,747 kJ (4000 kcal) for men (n = 75 men) and less than 2093 kJ (500 kcal) or more than 14,654 kJ (3500 kcal) for women (n = 240 women) [33], or where more than 20% of relevant FFQ items for each diet group (i.e., foods not excluded from that particular diet) were missing (n = 27).
Participant characteristics are presented in Table 1 overall and by diet group. Of 6342 participants with reliable data, 88.3% were from England, 4.5% from Wales, 6.4% from Scotland, and 0.9% from Northern Ireland. The survey was completed by 5116 women, 1126 men, and 100 adults who preferred not to state their gender, and respondents were primarily of white ethnicity (94.4%). The cohort comprised 1562 self-defined omnivores, 1349 flexitarians, 568 pescatarians, 1292 vegetarians, and 1571 vegans. The mean age (SD) of participants was 51.5 (15.9) years, with the youngest mean age reported by vegans 48.1 (15.2). Participants were mostly never-smokers (62.4%) and reported being in good or excellent health (78.8%). The cohort was mostly physically active (78.7%). Over three quarters of participants held a university degree. At the time of completing the survey, over half had a paid job, and a third stated having an annual household income of GBP 50 k or above. The majority of participants (ranging from 56.8% of vegans to 86.8% of vegetarians) reported following their current diet for 5+ years.
Table 1.
Baseline characteristics of the FEED cohort by diet group.
Participants were on average overweight (mean BMI 28.0 kg/m2), with 32.5% classified as obese. Large differences in BMI were observed across diet groups; BMI was highest in omnivores (30.0 kg/m2), followed by vegetarians (28.7 kg/m2) and pescatarians (28 kg/m2), and lowest in the flexitarians and vegans (both 27.5 kg/m2). Omnivores had the highest proportion of obese adults of all diet groups (42%). Figure 1 shows mean BMI by diet and age group. In women of all ages, BMI was consistently highest in the omnivore group. Omnivorous and vegetarian men generally had higher BMI compared to flexitarians, pescatarians, and vegans in early to mid-life, with an increase seen between age groups 50–59 and 60–69 across all diets.
Figure 1.
Mean body mass index (BMI) by age and diet group. Exclusions: 304 participants with missing values for height and weight, 100 participants who preferred not to state their gender.
Absolute mean intakes of major food groups are presented in Table 2, and mean intakes standardised to 2000 kcal in Supplementary Table S2a,b. Significant differences in the amounts consumed by diet group were observed for all foods, with the exception of meal replacements in women, for which consumption was generally low and comparable across diet groups. Intakes for genders combined are presented in Supplementary Table S3. Overall mean consumption of meat (including poultry) was more than double in omnivores compared to flexitarians (137.9 g/day compared to 46.9 g/day). There was higher consumption of plant-based meat alternatives in groups that consumed less meat: 76.4 g/day in vegans compared to 10.9 g/day in omnivores. Egg consumption was highest in omnivores, with about one egg per day. Milk consumption was highest in omnivores and flexitarians, whereas consumption of plant-based milk alternatives was lowest in these groups. Although milk alternatives were consumed by all diet groups, vegans had the highest intakes (226.5 mL/day). Dairy-based cheese and yogurt intakes were similar across omnivores, flexitarians, pescatarians, and vegetarians. Vegan cheese and yogurt were consumed mostly by vegans. For both men and women, the intakes of grains, vegetables, and fruit were lowest in omnivores and highest in vegans. The consumption of nuts and seeds as well as pulses was highest in vegans, with vegans consuming more than double the amount of pulses compared to omnivores (110 g/day compared to 35.4 g/day). Few participants reported eating some items outside of their diet group restrictions [e.g., eggs (<2 g/day), dairy milk (<2 g/day), meat and fish (<1 g/day) in those describing their diet as vegan].
Table 2.
(a) Absolute mean intakes of major food groups in women. (b) Absolute mean intakes of major food groups in men.
Table 3 shows the mean daily nutrient intakes by diet group adjusted for age and gender, and Supplementary Table S4a,b show these separately for women and men. Mean nutrient intakes differed across the diet groups (p < 0.001 for all nutrients). Energy intakes were highest in omnivores and flexitarians and lowest in vegetarians and vegans. The prevalence of under-reporting intakes was low to moderate across all diet groups, with ~20% of participants having an energy intake to basal metabolic rate ratio (EI/BMR) of less than 1.2. Protein consumption decreased with lower consumption of animal-sourced foods, with omnivores consuming ~6% more energy from protein than vegans (17.8% vs. 12.2%). Total fat contributed to around 35% of EI for all dietary groups, except for omnivores, where it contributed 40.4%. Fat composition also differed between the diet groups; the mean contribution of saturated fat to EI in omnivores was nearly double that of vegans (14.2% vs. 7.9%), while the polyunsaturated-fat-to-saturated-fat ratio was much lower in omnivores (0.5 vs. 1.21). Long-chain n-3 fatty acid intakes were comparable for all diet groups with the exception of vegetarians, who had a lower intake, whereas n-6 fatty acid intakes increased with the omission of animal-based foods, and trans fats decreased. Cholesterol intakes were highest in the groups that consumed more animal-based foods. Mean fibre intakes were relatively high across all diet groups, with vegans consuming around 18 g more per day compared to omnivores. The mean proportion of energy from carbohydrates was lowest in omnivores and highest in vegetarians and vegans. Free sugars made up more than 5% of EI (between 7% and 9%) in all diet groups.
Table 3.
Daily dietary nutrient intakes, adjusted for age and gender.
Omnivores had the highest intakes of vitamin A and retinol and consumed three times more vitamin B12 than vegans. Thiamin, biotin, folate, beta-carotene, vitamin C, and vitamin E intakes were highest in vegans and lowest in omnivores. Vegetarians and vegans had significantly lower intakes of vitamin D compared with omnivores, flexitarians, and pescatarians. Intakes of niacin equivalents, riboflavin, and pantothenic acid differed significantly between the groups, with intakes generally decreasing with increased exclusion of animal-sourced foods. There was slight variation in vitamin B6 between the diet groups, with highest intakes among omnivores and lowest intakes in vegetarians. Sodium intake was highest in omnivores compared to other diet groups, whereas potassium was lowest in omnivores and vegetarians. Vegetarians and vegans had the lowest mean intakes of iodine and selenium, with iodine intakes being particularly low in vegans. Conversely, vegans had the highest intakes of iron and manganese. Calcium and magnesium intakes were lowest in omnivores. Some differences were observed between the groups for phosphorus and zinc intakes, with omnivores having higher intakes.
An increasing proportion of vitamin, mineral, and supplement use was seen with the consumption of fewer animal-sourced foods in the diet, with vegans reporting highest use (87.5%). Around 50% of vegans and 35% of vegetarians reported taking multivitamins combined with minerals. Vitamin B12 supplementation—most commonly in tablet form—was highest in vegans (~35–40%), followed by vegetarians and pescatarians (~20%), and then flexitarians and omnivores (~5–10%). Between 30% and 40% of participants across all diet groups reported taking vitamin D supplements. Iodine was taken predominantly by vegans, with ~8–12% compared to 2–3% in omnivores. Around a quarter of vegans took long-chain n-3 fatty acid supplements. Details on types of supplement use by diet group in men and women can be found in Supplementary Table S5a,b. Incorporating vitamin, mineral, and supplement use responses into nutrient calculations did not have a large impact on overall nutrient intakes for each diet group; the results of this are shown in Supplementary Table S6.
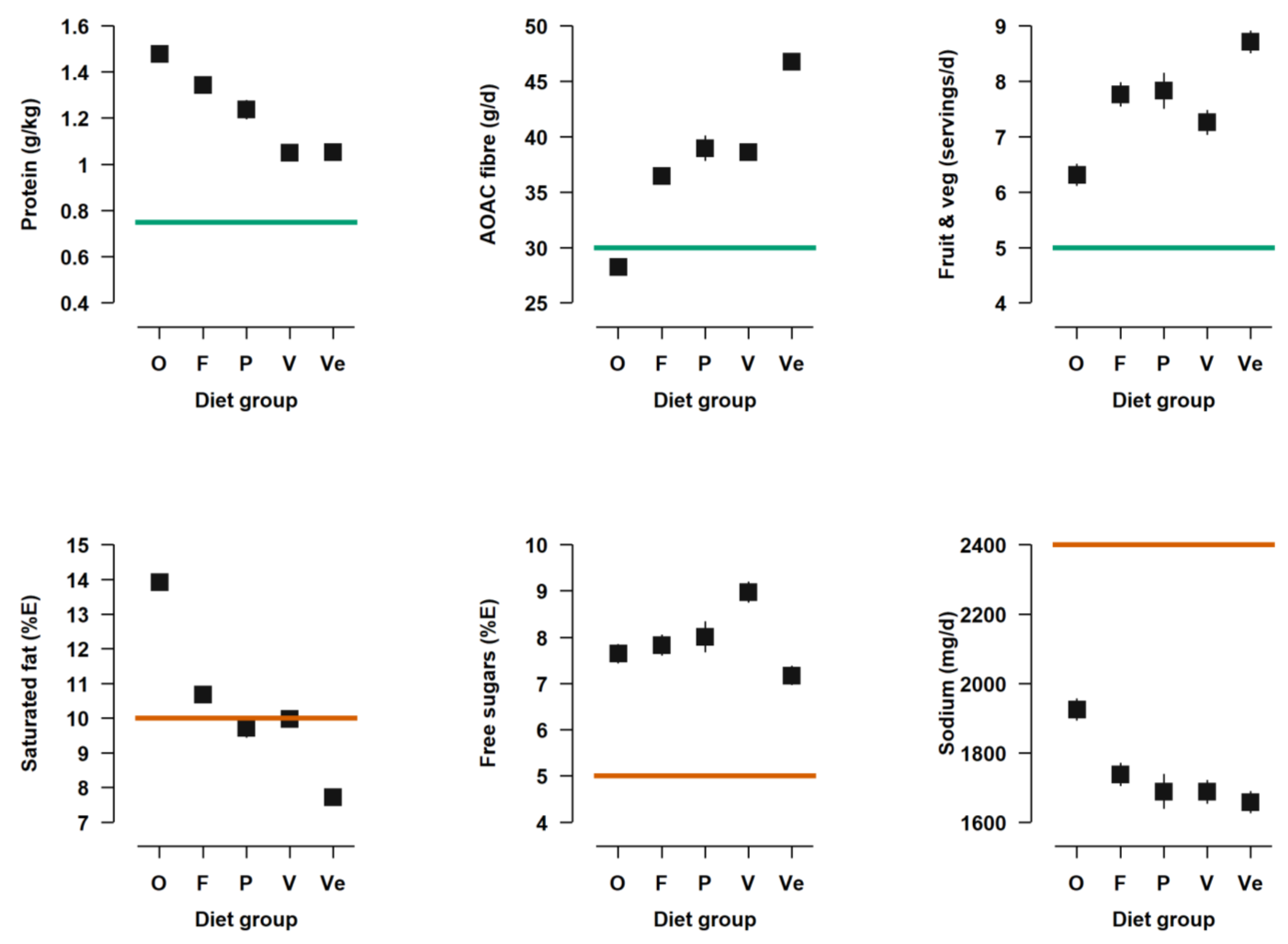
Figure 2 presents the mean dietary intakes by diet group in relation to the UK population dietary guidelines, presented as RNI for protein. All diet groups met the daily recommendations for sodium (<2400 mg/d) and for fruit and vegetable intake (at least five portions per day), with higher intakes observed in diets containing fewer animal-sourced foods. The average intake of fibre in all diet groups, except for omnivores, met the population recommendation (≥30 g/d). All diet groups met the daily target for protein intake (0.75 g/kg of body weight), but lower values were observed for vegetarians and vegans. The average intake across all participants exceeded the recommendation for the maximum intake of free sugars (<5% energy). Vegans were the only group that met the saturated fat recommendation (<10% energy).
Figure 2.
Daily dietary intakes in relation to UK dietary guidelines. Diet groups: O = omnivores, F = flexitarians, P = pescatarians, V = vegetarians, Ve = vegans; Black squares represent mean daily intakes and black lines represent standard errors; Reference lines represent the UK dietary recommendations for adults and reference nutrient intake (RNI) values for protein (green line = min, orange line = max).
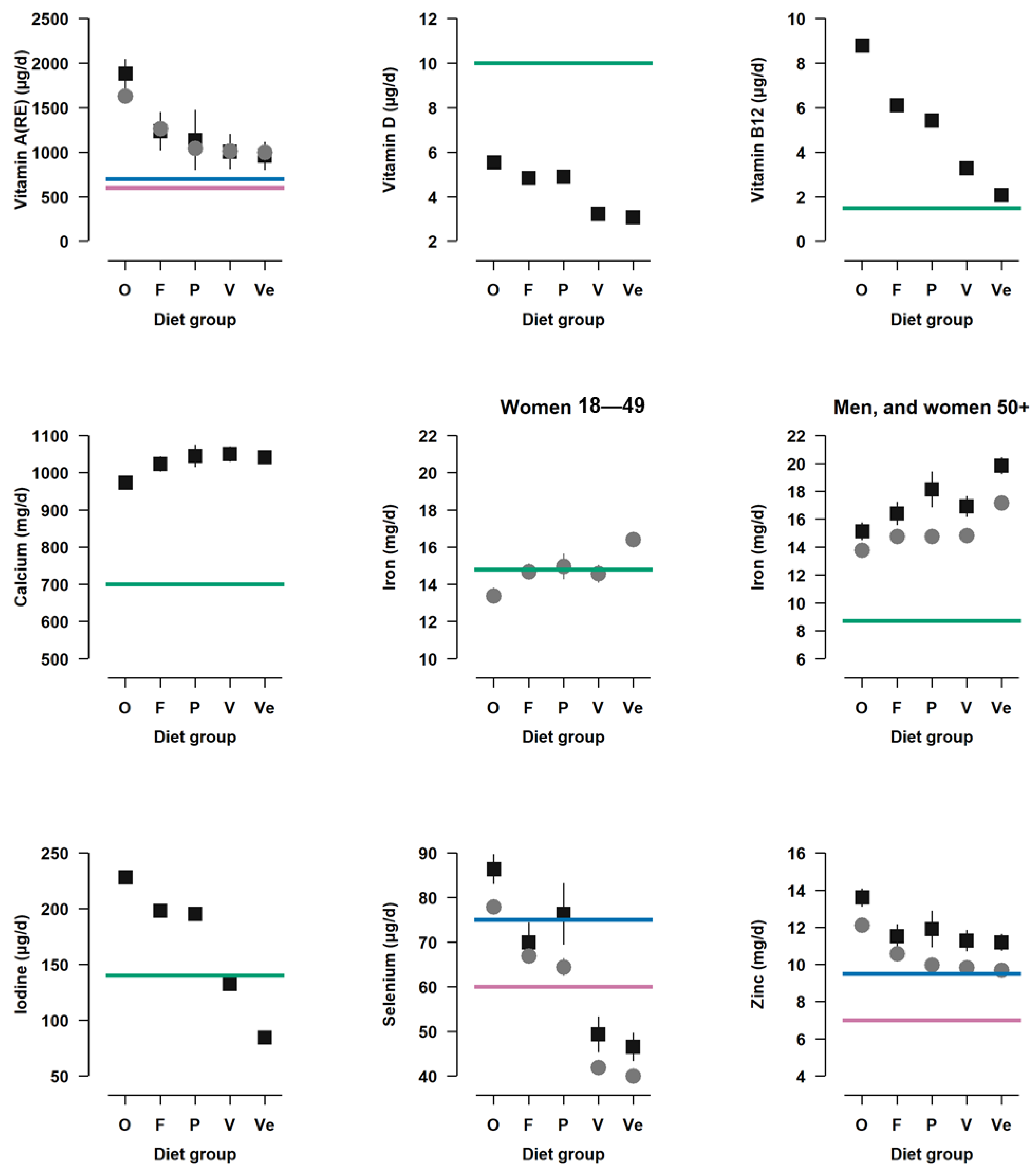
Mean daily intakes of micronutrients by diet group are presented against RNIs in Figure 3. All diet groups met the calcium recommendation. The RNIs for vitamin A, vitamin B12, and zinc were also met for all groups, with the lowest mean intakes observed in diets containing fewer animal-sourced foods. Women over 50 and men met the RNI for iron, whereas, in women aged 18–49, only vegans met the recommendation. Vegetarians and vegans had lower intakes of iodine and selenium compared to other diet groups. None of the diet groups met the recommendation for vitamin D.
Figure 3.
Daily micronutrient intakes in relation to UK Reference Nutrient Intakes (RNIs). Diet groups: O = omnivores, F = flexitarians, P = pescatarians, V = vegetarians, Ve = vegans; black squares represent mean daily intakes and black lines represent standard errors; intakes of vitamin A, iron, selenium, and zinc are presented separately by women (grey circles, grey standard error lines) and men (black squares, black standard error lines); reference lines represent the UK RNI for adults (green line) and sex-specific RNI targets for women (pink line) and men (blue line).
Table 4 shows the proportion of women and men in each diet group who did not meet the recommended dietary targets. Some inadequacy for protein was observed in vegetarians and vegans (~15–20%). A degree of inadequacy for vitamin A intake was seen in the cohort, particularly for vegan men (19.3% below the target). Approximately one-third of vegan men and women did not meet the EARs for vitamin B12. Iron inadequacy was very low in all diet groups; however, after adjusting for bioavailability, some inadequacy was observed in vegetarians and vegans. Vegetarians and vegans also showed some inadequacy for zinc, and the proportion of women and men not meeting the target increased to ~30–50% after taking into account bioavailability. Over 50% of vegetarians and vegans did not meet the daily recommendation for selenium. The majority of vegans (~65%) and approximately one-quarter of vegetarians fell below the target for iodine intake.
Table 4.
Prevalence of inadequate intakes by gender and diet group.
4. Discussion
In launching the FEED study, we were successful in establishing the largest online cohort of UK adults consuming contemporary plant-based diets (e.g., flexitarian, vegetarian, and vegan), with complete dietary data available for 1571 vegans (~25% of the cohort). FEED is one of the largest studies of vegans in the world following the Adventist Health Study 2 (5548 vegans) and EPIC-Oxford (2596 vegans) cohorts, which were recruited in the 2000s and 1990s, respectively [5,6]. Our targeted recruitment strategies, including social media campaigns and virtual networks of various societies and institutions, proved to be an effective approach for recruiting participants following different plant-based diets from across all regions in the UK.
Participants recruited into the FEED study were mostly women, on average middle-aged, and the majority reported good health behaviours. Ages were similar across all diet groups except for vegans, who were around 4–5 years younger. Mean BMI differed substantially between the diet groups, with omnivores having the highest mean BMI, followed by vegetarians and pescatarians at 1–2 kg/m2 lower. The mean BMI in vegans and flexitarians was 2.5 kg/m2 lower than that of omnivores. Previous research has consistently shown that, in studies of people predominantly of white European ancestry living in high-income countries, meat-eaters have a higher BMI than non-meat eaters [6,34,35]. This is broadly consistent with our findings, with the exception of flexitarians, who had a mean BMI that was more comparable to that of non-meat eaters than omnivores. However, FEED participants were on average more overweight than what has been previously reported in UK studies with a large number of vegetarians [36,37]. The true prevalence of overweight is likely to be even higher given that self-reported measures of height and weight can lead to an underestimation of BMI by about 1 unit [38,39].
We found that the mean daily consumption of grains, vegetables, fruit, nuts/seeds, and pulses was lowest in omnivores and highest in vegans, and the consumption of plant-based alternatives was highest among participants who consumed fewer animal products. Similar trends have been shown in UK populations (EPIC-Oxford and UK Biobank participants), although daily intakes of plant-based meat alternatives and plant-based dairy alternatives were higher in the FEED cohort for all diet groups than previously reported [35,40]. The higher consumption of plant-based alternatives reported by our participants is in line with trends observed in the UK market, suggesting a larger contribution of these products to current overall diet and nutrient intakes [7,8].
We found a significant distinction in the frequency of meat consumption and meat alternative consumption between the two self-defined meat-eating groups in our study. The mean daily intake of total meat (including poultry) was relatively high in omnivores, and around double that of flexitarians, while the mean intake of plant-based meat alternatives in flexitarians was nearly threefold that consumed by omnivores. This suggests that the self-defined flexitarians in our study represent a unique group of omnivorous individuals who do in fact reduce their meat intake and increase their intake of alternatives. The omnivore group in our study reported eating more meat than ‘meat-eaters’ in previous UK studies comparing dietary intakes between diet groups, probably because we categorised flexitarians into a separate group [35,40], and the amount of meat consumed by flexitarians in our study was more similar to that of low meat-eaters in other studies [35,40,41]. Some within-group variation has been shown in studies on flexitarians, such as men consuming more meat and having more heterogeneous meat preferences; therefore, the types of meat consumed and the extent of substitution with plant-based alternatives should be further explored to better understand the dietary patterns of this group [42,43].
The most striking differences in nutrient intakes were observed between people consuming omnivorous and vegan diets, with flexitarians, pescatarians, and vegetarians generally falling in between. Vegans had the highest intakes of dietary fibre, polyunsaturated fatty acids, vitamin C, and vitamin E, while omnivores had the highest intakes of protein, saturated fatty acids, vitamin B12, vitamin D, and iodine. These findings are consistent with trends observed in the AHS-2 and EPIC-Oxford vegetarian cohorts [44,45]. A systematic review of observational and intervention studies from Europe, South/East Asia, and North America found similar patterns when assessing nutrient intakes and adequacy status in adult populations consuming plant-based diets, largely vegetarians and vegans, compared to those of meat-eaters [46].
Overall, participants met most of the dietary goals. AOAC fibre and fruit and vegetable intakes were generally high in the cohort compared to the national average [47] and recommendations; however omnivores fell just short of the daily fibre recommendation by 1.6 g. All diet groups in the cohort exceeded the UK recommendation for intake of free sugars (no more than 5% energy) by roughly 2–3%, and vegetarians by 4%, a similar pattern to that observed in EPIC-Oxford [44]. Interestingly, the mean intake of sodium was well below the recommended target in all diet groups and much lower than that reported by EPIC-Oxford participants [44], although it is important to note that the survey did not ask about added salt, which could lead to an underestimation of actual intakes. Vegans were the only diet group with saturated fat intakes meeting the recommended amount (7.9%, target < 10% energy). Pescatarians were borderline, with 9.9% of their EI coming from saturated fatty acids, and vegetarians, flexitarians, and omnivores exceeded the recommendation by 0.2%, 0.9%, and 4.2%, respectively. The pattern for saturated fat intakes by diet is similar to that reported in EPIC-Oxford participants, but the disparity between vegans and omnivores is even more pronounced in the FEED cohort [44].
Nutrients of possible concern for vegans typically include protein, vitamin B12, vitamin D, calcium, iodine, iron, selenium, and zinc [46,48]. Among FEED participants, protein intake was fairly high on average, with some inadequacy observed across the diet groups (~5% of omnivores and flexitarians, and 15–20% of vegans and vegetarians not meeting the EAR). It is possible that inadequacy in vegans could be higher when considering protein quality [26]. All diet groups met the vitamin B12 intake on average, but with some evidence of inadequacy among vegan participants. Overall, dietary intakes of vitamin B12 for vegans in our cohort were much higher than previously reported [44]. Similarly, calcium intakes were comparable among all diet groups, well above the recommended EARs, and markedly higher than previously reported in vegans. Vitamin D and iodine intakes were slightly higher overall, and, for vegans, higher than previously reported; however, none of the diet groups met the target for vitamin D and a high proportion of vegetarians and vegans did not meet the EAR for iodine. Selenium intakes were low and a high proportion of vegetarians and vegans did not meet the recommendation, consistent with previous findings [44,49].
We found a low prevalence of zinc and iron inadequacy in all diet groups and when restricted to older women, but, after adjusting for bioavailability, we saw a moderate to high estimated prevalence of inadequacy in vegetarians and vegans; this could relate to many plant-based foods (nuts and seeds, grains, pulses) containing a high phytate content, which may inhibit the absorption of zinc and iron [50,51]. Additionally, although the mean total iron intake was high in vegans, the predominant contributor was non-haem iron, which is less bioavailable than haem iron [28].
Vitamin D intake was well below the recommended target in all diet groups. Few foods naturally contain vitamin D; supplementation and ultraviolet B exposure may be required to achieve adequate levels [52,53]. Similar findings (inadequate intakes across all diet groups) for vitamin D have been reported for the EPIC-Oxford cohort, with lower plasma 25(OH)D concentrations in vegetarians and vegans compared to meat-eaters [44,54]. However, overall reported vitamin D intakes were higher in FEED, which may relate in part to more fortification in the plant-based milk alternatives.
The amount of plant-based milk consumed in our cohort was particularly high (~230 mL/day in vegans), and the majority of plant-based dairy alternatives reported by participants and contained in the NDB were fortified with calcium, and very frequently with vitamin B12 and vitamin D. This is broadly consistent with research that surveyed all plant-based dairy alternatives available in major UK supermarkets [55]. Due to widespread fortification of plant-based milk with calcium, several studies have reported no differences in the calcium content between dairy milk and plant-based milk alternatives [55,56]. However, there are still some uncertainties regarding bioavailability as evidence on calcium absorption from calcium added to plant-based beverages is limited to soy-based products [57]. The absorption of calcium can vary according to the type of added fortificant, and circulating concentrations of calcium are highly regulated in the body so it is difficult to assess differences in absorption from different sources [58,59]. Vitamin B12 intake from milk substitutes has been found to be a significant contributor to plasma vitamin B12 concentration, and if fortified products are consumed, the vitamin B12 levels could meet RNI targets [46,55,60].
Fortification of plant-based dairy alternatives with iodine, however, is not widespread in the UK, and the natural concentration of iodine in these products is low [61]. Dairy products are an important source of iodine in the UK population (mainly due to the fortification of cattle feed and the use of iodine-containing teat disinfectants), and individuals who consume plant-based dairy alternatives instead of dairy products are therefore at risk of iodine deficiency [62,63]. A study surveying plant-based dairy alternative products available on the UK market in 2023 found that only 28% of milk alternatives were fortified with iodine, compared to 88% with calcium and 83% with vitamin B12, and the figure was even lower for other dairy alternatives such as plant-based yogurt and cheese [56]. We observed some fortification of plant-based meat alternative products as reported by participants in the free text; the majority of alternatives consumed were fortified with vitamin B12 and iron, and none were additionally fortified with zinc. This is less likely to have a major contribution to overall nutrient intake as daily intakes of meat alternatives were generally lower compared to dairy alternatives.
UK legislation mandates fortification of bread and flour with calcium, iron, niacin, and thiamin (with folic acid to be additionally introduced in the near future), and margarine with vitamins A and D, though fortification of spreadable fats not legally classified as margarine is voluntary [64,65]. Voluntary fortification has the potential to make a meaningful contribution to intakes of vitamins and minerals for frequently consumed foods, which may explain the higher intakes of some nutrients in our cohort [66].
We set up the largest and most up-to-date online cohort of UK adults consuming plant-based diets and diets containing meat and fish. Our study used an adapted EPIC-Oxford FFQ, including additional items and a wider range of plant-based alternatives, allowing for better representation of foods consumed as part of contemporary diets. Obtaining fortification specifications for the top-consumed brands from free text also facilitated accounting for any differences in product fortification, and thus allowed for a more accurate estimation of nutrients at the individual and diet-group level. However, several potential limitations of our study should be noted. The FFQ was designed to evaluate a participant’s dietary intake over the previous year, whereas our questionnaire asked participants to report on their current diet even if they have been following it for a short time (e.g., Veganuary), limiting the ability to distinguish between recent and long-term dietary habits; however, only a small proportion of participants (ranging from 1.8% of vegetarians to 6.7% of vegans) reported following their current diet for less than one year. Another potential limitation of the study is that the survey did not assess the frequency of consumption for plant-based egg alternatives, though only ~5% of participants reported consuming these. The use of vitamins, minerals, and other supplements has not been factored into our nutrient calculations in the main analysis, resulting in a possible underestimation of some nutrients. This could have important implications for assessing nutrient adequacy, especially in instances where mean daily intakes did not meet UK dietary recommendations but reported supplementation was high among participants; for example, the reported use of vitamin D in all diet groups and vitamin B12 in vegans was as high as 30–40%. Due to the lack of information on the dose and specific products/brands, quantitative data on the intakes of vitamins, minerals, and supplements in FEED participants are limited. Sensitivity analysis calculations that take reported vitamin, mineral, and supplement use into account suggest that supplement use has a small impact on overall nutrient intakes, though additional information on the actual consumed dose is needed. Our study highlights the importance of the detailed collection of supplement consumption in studies of participants following plant-based diets.
We attempted to reduce the spurious assignment of traces of nutrients only found in animal foods to vegans by using plant-based alternatives in nutrient calculations where possible, though this could not be entirely avoided due to assumptions made when coding generic FFQ items and possible errors in reporting. However, the low daily intakes of animal-sourced food groups reported by vegans suggest that misreporting and/or occasional consumption of animal foods by vegans was minimal. The low prevalence of participants with an EI/BMR ratio of less than 1.2 (representing physiologically implausible energy values in relation to gender and body weight) suggests that, although some under-reporting of energy intakes may be present in the cohort, the FFQ performs reasonably well overall and across all diet groups. Additionally, due to potential measurement error, it is possible that we overestimated the proportion of people in each diet group with nutrient intakes below the recommendations. Despite efforts to recruit a representative sample of UK adults through using a web-based approach, the cohort still lacks in diversity; the cohort comprises mainly women of white ethnicity, and thus findings may not be generalisable to the total UK population of plant-based eaters. In addition, with the large proportion of women making up the FEED cohort, it is possible that other sources of reporting bias (e.g., social desirability bias) may be present, potentially leading to an underestimation of energy intakes in this cohort [67].
5. Conclusions
We set up the largest online cohort to date of plant-based diets in the UK, compared personal characteristics and dietary intakes between adults following five diet groups, and assessed their diets with reference to dietary guidelines. We observed large differences in dietary intakes between diet groups, with increased consumption of meat and dairy alternatives as animal-sourced food intakes decreased, particularly for plant-based milk alternatives. Notably, flexitarians consumed less than half the amount of meat and three times the amount of meat alternatives compared to omnivores, and the consumption of plant-based milk was particularly high in vegans. Our results show that the great majority of participants met the UK dietary recommendations for fruit and vegetables, sodium, and protein, though vegetarians and vegans had lower protein intakes. All diet groups (except omnivores) met the fibre recommendation, vegans were the only group that met the saturated fat recommendation, and all diet groups exceeded the target upper limit on free sugars. Calcium intake was similar across diet groups and well above the dietary recommendation, while average vitamin D intake was below the RNI in all groups. Our findings suggest possible inadequacies for some micronutrients (zinc, iodine, and selenium) among both vegetarians and vegans, and vitamins A and B12 among vegans. Overall FEED participants showed good compliance with most dietary recommendations. The risk for inadequate intakes of certain nutrients in people following contemporary plant-based diets should be considered and might be mitigated by improved dietary choices and/or food fortification and use of supplements.
Supplementary Materials
The following supporting information can be downloaded at: https://www.mdpi.com/article/10.3390/nu16091336/s1, Table S1. Food items within each major food group. Table S2. (a) Mean intakes of major food groups in women, standardised to a 2000 kcal daily diet, (b) mean intakes of major food groups in men, standardised to a 2000 kcal daily diet. Table S3. Absolute mean intakes of major food groups (combined). Table S4. (a) Mean daily dietary nutrient intakes for women (unadjusted), (b) mean daily dietary nutrient intakes for men (unadjusted). Table S5. (a) Supplement use in women, by diet group, (b) supplement use in men, by diet group. Table S6. Mean daily dietary nutrient intakes: results from sensitivity analysis (includes vitamins, minerals, and supplements).
Author Contributions
I.L., T.J.K. and K.P. devised the study. I.L. and K.P. analysed all the data and wrote the paper. All authors helped with the interpretation of the findings. K.P. conceived and developed the cohort. All authors have read and agreed to the published version of the manuscript.
Funding
This work is supported by the Wellcome Trust, Our Planet Our Health (Livestock, Environment and People—LEAP) [grant number 205212/Z/16/Z] and the World Health Organization, Regional Office for Europe, which is funded by Member States. K.P. is funded by Cancer Research UK (C570/A16491 and A29186). For the purpose of open access, the authors have applied a Creative Commons Attribution (CC BY) licence to any Author Accepted Manuscript version arising.
Institutional Review Board Statement
This study was approved by the University of Oxford Medical Sciences Interdivisional Research Ethics Committee (MS IDREC) (R79226/RE001) on 22 January 2022.
Informed Consent Statement
Informed consent was obtained from all subjects involved in the study.
Data Availability Statement
The data access policy for the FEED study is available via the study website: https://www.ceu.ox.ac.uk/research/feeding-the-future-study-feed.
Acknowledgments
We would like to thank the FEED participants for taking the time to complete the survey. We would also like to thank Anika Knuppel for her contribution to the planning of the study and survey design, and Dr Afton Halloran for her support with the setup of the study. We wish to acknowledge the Nutrition Measurement Platform at the MRC Epidemiology Unit, University of Cambridge, for kindly sharing the UK National Diet and Nutrition Survey Nutrient Databank food composition database with us.
Conflicts of Interest
The authors declare no conflicts of interest.
Appendix A

Appendix B
Appendix B.1. Additional Foods
The plant-based milk alternatives and other meat alternatives chosen as representative for nutritional information were selected based on unique products (combination of brand and specific product type) that were reported at least 10 times in the free text. For milk alternatives, the selection was assigned to participants by the type of milk specified (soya, rice, oat, pea, almond, coconut, hemp, other). For protein shakes, bars, and meal replacements, the selection was based on brands that were reported at least 10 times, with specific products selected based on what is available from those brands (e.g., all whey protein products available from the brands reported at least 10 times). Nutrients from protein shakes and meal replacement products were assigned to participants based on the type of protein source specified (whey, rice, soya, pea, hemp, peanut, other). Protein shake brands containing a blend of protein sources were represented in the “other” category. The same process was repeated for protein bar brands; however, as these usually contain a blend of protein sources, the selection for each protein source was based on the predominant ingredient (determined by % or order of ingredients list).
Appendix B.2. Missing Values
Information from online retailers was generally limited to mandatory reporting regulations (energy value, total fat, saturated fat, carbohydrates, sugars, protein, salt) and occasionally additional information, for example, if the product is fortified. Estimates were extrapolated from the corresponding foods in the NDB to complete missing nutrient values where possible. In instances where a corresponding food was not available, a similar food was used, e.g., soya beans for tempeh. If several food codes were available in the NDB for a particular survey item, the mean was used to interpolate values. In instances where the product could be either fortified or non-fortified (e.g., plant milk), the selection of food codes used to calculate the average was additionally restricted to include only corresponding NDB entries. The NDB did not contain any similar foods for one product (seitan), so an alternative European food composition table, the FRIDA Danish food composition database, was used [68].
Appendix B.3. Mapping
Each survey item was mapped to food codes in the database based on the wording of the questionnaire (foods specifically asked within the question) and any additional codes perceived to be common foods in the British diet (based on the NDNS and discussion in the research group). The selected food codes were cross-checked for consistency with EPIC-Oxford publications and the UKB Oxford WebQ nutrient update [19]. The selection of food codes for specific survey items was adapted where participants were able to specify consuming fortified or non-fortified versions of a food.
For most of the FFQ items, non-fortified food codes were selected unless otherwise specified or assumed. For foods where fortification was explicitly asked (plant-based dairy alternatives and plant-based meat alternatives), weighting was adjusted accordingly to include only codes with the corresponding fortification specifications. If participants did not specify or selected “don’t know”, all available codes for the item were averaged. For survey items where a distinction was made between dairy and non-dairy, a subset of plant-based codes was selected that was assigned to vegans only. A total of 430 foods codes from the NDB were mapped to survey items. An additional 145 foods were incorporated from FoodDB/online retailers.
References
- Stewart, C.; Piernas, C.; Cook, B.; Jebb, S.A. Trends in UK meat consumption: Analysis of data from years 1-11 (2008-09 to 2018-19) of the National Diet and Nutrition Survey rolling programme. Lancet Planet Health 2021, 5, e699–e708. [Google Scholar] [CrossRef] [PubMed]
- YouGov. Dietary Choices of Brits (e.g., Vegeterian, Flexitarian, Meat-Eater etc.)? 2023. Available online: https://yougov.co.uk/topics/society/trackers/dietery-choices-of-brits-eg-vegeterian-flexitarian-meat-eater-etc (accessed on 25 March 2024).
- Scarborough, P.; Clark, M.; Cobiac, L.; Papier, K.; Knuppel, A.; Lynch, J.; Harrington, R.; Key, T.; Springmann, M. Vegans, vegetarians, fish-eaters and meat-eaters in the UK show discrepant environmental impacts. Nat. Food 2023, 4, 565–574. [Google Scholar] [CrossRef]
- Key, T.J.; Papier, K.; Tong, T.Y.N. Plant-based diets and long-term health: Findings from the EPIC-Oxford study. Proc. Nutr. Soc. 2022, 81, 190–198. [Google Scholar] [CrossRef] [PubMed]
- Orlich, M.J.; Singh, P.N.; Sabaté, J.; Jaceldo-Siegl, K.; Fan, J.; Knutsen, S.; Beeson, W.L.; Fraser, G.E. Vegetarian dietary patterns and mortality in Adventist Health Study 2. JAMA Intern. Med. 2013, 173, 1230–1238. [Google Scholar] [CrossRef] [PubMed]
- Davey, G.K.; Spencer, E.A.; Appleby, P.N.; Allen, N.E.; Knox, K.H. Key TJEPIC-Oxford: Lifestyle characteristics and nutrient intakes in a cohort of 33 883 meat-eaters 31 546 non meat-eaters in the, U.K. Public Health Nutr. 2003, 6, 259–269. [Google Scholar] [CrossRef] [PubMed]
- Alae-Carew, C.; Green, R.; Stewart, C.; Cook, B.; Dangour, A.D.; Scheelbeek, P.F.D. The role of plant-based alternative foods in sustainable and healthy food systems: Consumption trends in the UK. Sci. Total Environ. 2022, 807 Pt 3, 151041. [Google Scholar] [CrossRef] [PubMed]
- Sainsbury’s. Future of Food Report 2019. Available online: https://www.about.sainsburys.co.uk/~/media/Files/S/Sainsburys/pdf-downloads/future-of-food-08.pdf (accessed on 25 March 2024).
- Hercberg, S.; Castetbon, K.; Czernichow, S.; Malon, A.; Mejean, C.; Kesse, E.; Touvier, M.; Galan, P. The Nutrinet-Santé Study: A web-based prospective study on the relationship between nutrition and health and determinants of dietary patterns and nutritional status. BMC Public Health 2010, 10, 242. [Google Scholar] [CrossRef] [PubMed]
- Lapointe, A.; Laramée, C.; Belanger-Gravel, A.; Buckeridge, D.L.; Desroches, S.; Garriguet, D.; Gauvin, L.; Lemieux, S.; Plante, C.; Lamarche, B. NutriQuébec: A unique web-based prospective cohort study to monitor the population’s eating and other lifestyle behaviours in the province of Québec. BMJ Open 2020, 10, e039889. [Google Scholar] [CrossRef] [PubMed]
- Liu, B.; Young, H.; Crowe, F.L.; Benson, V.S.; Spencer, E.A.; Key, T.J.; Appleby, P.N.; Beral, V. Development and evaluation of the Oxford WebQ, a low-cost, web-based method for assessment of previous 24 h dietary intakes in large-scale prospective studies. Public Health Nutr. 2011, 14, 1998–2005. [Google Scholar] [CrossRef]
- Fallaize, R.; Forster, H.; Macready, A.L.; Walsh, M.C.; Mathers, J.C.; Brennan, L.; Gibney, E.R.; Gibney, M.J.; A Lovegrove, J. Online dietary intake estimation: Reproducibility and validity of the Food4Me food frequency questionnaire against a 4-day weighed food record. J. Med. Internet Res. 2014, 16, e190. [Google Scholar] [CrossRef]
- Forster, H.; Fallaize, R.; Gallagher, C.; O’donovan, C.B.; Woolhead, C.; Walsh, M.C.; Macready, A.L.; A Lovegrove, J.; Mathers, J.C.; Gibney, M.J.; et al. Online dietary intake estimation: The Food4Me food frequency questionnaire. J. Med. Internet Res. 2014, 16, e150. [Google Scholar] [CrossRef] [PubMed]
- Foster, E.; Lee, C.; Imamura, F.; Hollidge, S.E.; Westgate, K.L.; Venables, M.C.; Poliakov, I.; Rowland, M.K.; Osadchiy, T.; Bradley, J.C.; et al. Validity and reliability of an online self-report 24-h dietary recall method (Intake24): A doubly labelled water study and repeated-measures analysis. J. Nutr. Sci. 2019, 8, e29. [Google Scholar] [CrossRef] [PubMed]
- Wark, P.A.; Hardie, L.J.; Frost, G.S.; Alwan, N.A.; Carter, M.; Elliott, P.; Ford, H.E.; Hancock, N.; Morris, M.A.; Mulla, U.Z.; et al. Validity of an online 24-h recall tool (myfood24) for dietary assessment in population studies: Comparison with biomarkers and standard interviews. BMC Med. 2018, 16, 136. [Google Scholar] [CrossRef] [PubMed]
- Office for National Statistics. Internet Users, UK 2020. 2021. Available online: https://www.ons.gov.uk/businessindustryandtrade/itandinternetindustry/bulletins/internetusers/2020 (accessed on 25 March 2024).
- Bingham, S.A.; Cassidy, A.; Cole, T.J.; Welch, A.; Runswick, S.A.; Black, A.E.; Thurnham, D.; Bates, C.; Khaw, K.T.; Key, T.J.A.; et al. Validation of weighed records and other methods of dietary assessment using the 24 h urine nitrogen technique and other biological markers. Br. J. Nutr. 1995, 73, 531–550. [Google Scholar] [CrossRef]
- Bingham, S.A.; Gill, C.; Welch, A.; Day, K.; Cassidy, A.; Khaw, K.T.; Sneyd, M.J.; Key, T.J.; Roe, L.; Day, N.E. Comparison of dietary assessment methods in nutritional epidemiology: Weighed records v. 24 h recalls, food-frequency questionnaires and estimated-diet records. Br. J. Nutr. 1994, 72, 619–643. [Google Scholar] [CrossRef] [PubMed]
- Bingham, S.A.; Gill, C.; Welch, A.; Cassidy, A.; Runswick, S.A.; Oakes, S.; Lubin, R.; Thurnham, D.I.; Key, T.J.; Roe, L.; et al. Validation of dietary assessment methods in the UK arm of EPIC using weighed records, and 24-h urinary nitrogen and potassium and serum vitamin C and carotenoids as biomarkers. Int. J. Epidemiol. 1997, 26 (Suppl. 1), S137. [Google Scholar] [CrossRef] [PubMed]
- Amoutzopoulos, B.; Steer, T.; Roberts, C.; Collins, D.; Trigg, K.; Barratt, R.; Abraham, S.; Cole, D.J.; Mulligan, A.; Foreman, J.; et al. Rationalisation of the UK Nutrient Databank for Incorporation in a Web-Based Dietary Recall for Implementation in the UK National Diet and Nutrition Survey Rolling Programme. Nutrients 2022, 14, 4551. [Google Scholar] [CrossRef] [PubMed]
- UK_NDB_1.2. Available on Request. 2023. dietaryassessmentenquiry@mrc-epid.cam.ac.uk
- Roe, M.; Pinchen, H.; Church, S.; Finglas, P. McCance and Widdowson’s the composition of foods seventh summary edition and updated composition of foods integrated dataset. Nutr. Bull. 2015, 40, 36–39. [Google Scholar] [CrossRef]
- Harrington, R.A.; Adhikari, V.; Rayner, M.; Scarborough, P. Nutrient composition databases in the age of big data: FoodDB, a comprehensive, real-time database infrastructure. BMJ Open 2019, 9, e026652. [Google Scholar] [CrossRef] [PubMed]
- Perez-Cornago, A.; Pollard, Z.; Young, H.; van Uden, M.; Andrews, C.; Piernas, C.; Key, T.J.; Mulligan, A.; Lentjes, M. Description of the updated nutrition calculation of the Oxford WebQ questionnaire and comparison with the previous version among 207,144 participants in UK Biobank. Eur. J. Nutr. 2021, 60, 4019–4030. [Google Scholar] [CrossRef]
- Crawley, H. Food Portion Sizes; Ministry of Agriculture, Fisheries, and Food; HM Stationery Office: London, UK, 1988. [Google Scholar]
- Department of Health. Dietary Reference Values for Food Energy and Nutrients for the United Kingdom: Report of the Panel on Dietary Reference Values of the Committee on Medical Aspects of Food Policy; HM Stationery Office: London, UK, 1991.
- Food and Nutrition Board Institute of Medicine. Dietary Reference Intakes for Vitamin C, Vitamin E, Selenium and Carotenoids; National Academy Press: Washington, DC, USA, 2000.
- Trumbo, P.; Yates, A.A.; Schlicker, S.; Poos, M. Dietary reference intakes: Vitamin A, vitamin K, arsenic, boron, chromium, copper, iodine, iron, manganese, molybdenum, nickel, silicon, vanadium, and zinc. J. Am. Diet. Assoc. 2001, 101, 294–301. [Google Scholar] [CrossRef] [PubMed]
- Institute of Medicine. Dietary Reference Intakes for Energy, Carbohydrate, Fiber, Fat, Fatty Acids, Cholesterol, Protein, and Amino Acids; The National Academies Press: Washington, DC, USA, 2005.
- Scientific Advisory Committee on Nutrition. Carbohydrates and Health. 2015. Available online: https://assets.publishing.service.gov.uk/media/5a7f7cc3ed915d74e622ac2a/SACN_Carbohydrates_and_Health.pdf (accessed on 25 March 2024).
- Scientific Advisory Committee on Nutrition. Salt and Health. 2003. Available online: https://assets.publishing.service.gov.uk/media/5a74983de5274a44083b7ef6/SACN_Salt_and_Health_report.pdf (accessed on 25 March 2024).
- Institute of Medicine; Standing Committee on the Scientific Evaluation of Dietary Reference Intakes. DRI Dietary Reference Intakes: Applications in Dietary Assessment; National Academies Press: Washington DC, USA, 2000. [Google Scholar]
- Willett, W. Nutritional Epidemiology; Oxford University Press: Oxford, UK, 2012. [Google Scholar]
- Tonstad, S.; Butler, T.; Yan, R.; Fraser, G.E. Type of vegetarian diet, body weight, and prevalence of type 2 diabetes. Diabetes Care 2009, 32, 791–796. [Google Scholar] [CrossRef] [PubMed]
- Bradbury, K.E.; Tong, T.Y.N.; Key, T.J. Dietary Intake of High-Protein Foods and Other Major Foods in Meat-Eaters, Poultry-Eaters, Fish-Eaters, Vegetarians, and Vegans in UK Biobank. Nutrients 2017, 9, 1317. [Google Scholar] [CrossRef] [PubMed]
- Spencer, E.A.; Appleby, P.N.; Davey, G.K.; Key, T.J. Diet and body mass index in 38000 EPIC-Oxford meat-eaters, fish-eaters, vegetarians and vegans. Int. J. Obes. Relat. Metab. Disord. 2003, 27, 728–734. [Google Scholar] [CrossRef] [PubMed]
- Greenwood, D.C.; Cade, J.E.; Draper, A.; Barrett, J.H.; Calvert, C.; Greenhalgh, A. Seven unique food consumption patterns identified among women in the UK Women’s Cohort Study. Eur. J. Clin. Nutr. 2000, 54, 314–320. [Google Scholar] [CrossRef] [PubMed]
- Spencer, E.A.; Appleby, P.N.; Davey, G.K.; Key, T.J. Validity of self-reported height and weight in 4808 EPIC-Oxford participants. Public Health Nutr. 2002, 5, 561–565. [Google Scholar] [CrossRef]
- Bes-Rastrollo, M.; Sabate, J.; Jaceldo-Siegl, K.; Fraser, G.E. Validation of self-reported anthropometrics in the Adventist Health Study 2. BMC Public Health 2011, 11, 213. [Google Scholar] [CrossRef] [PubMed]
- Papier, K.; Tong, T.Y.; Appleby, P.N.; Bradbury, K.E.; Fensom, G.K.; Knuppel, A.; Perez-Cornago, A.; Schmidt, J.A.; Travis, R.C.; Key, T.J. Comparison of Major Protein-Source Foods and Other Food Groups in Meat-Eaters and Non-Meat-Eaters in the EPIC-Oxford Cohort. Nutrients 2019, 11, 824. [Google Scholar] [CrossRef]
- Lehto, E.; Kaartinen, N.E.; Saaksjarvi, K.; Mannisto, S.; Jallinoja, P. Vegetarians and different types of meat eaters among the Finnish adult population from 2007 to 2017. Br. J. Nutr. 2022, 127, 1060–1072. [Google Scholar] [CrossRef]
- Dagevos, H. Finding flexitarians: Current studies on meat eaters and meat reducers. Trends Food Sci. Technol. 2021, 114, 530–539. [Google Scholar] [CrossRef]
- Peschel, A.O.; Grebitus, C. Flexitarians’ and meat eaters’ heterogeneous preferences for beef: Gourmets and value seekers. Food Qual. Prefer. 2023, 104, 104756. [Google Scholar] [CrossRef]
- Sobiecki, J.G.; Appleby, P.N.; Bradbury, K.E.; Key, T.J. High compliance with dietary recommendations in a cohort of meat eaters, fish eaters, vegetarians, and vegans: Results from the European Prospective Investigation into Cancer and Nutrition-Oxford study. Nutr. Res. 2016, 36, 464–477. [Google Scholar] [CrossRef] [PubMed]
- Rizzo, N.S.; Jaceldo-Siegl, K.; Sabate, J.; Fraser, G.E. Nutrient profiles of vegetarian and nonvegetarian dietary patterns. J. Acad. Nutr. Diet. 2013, 113, 1610–1619. [Google Scholar] [CrossRef] [PubMed]
- Neufingerl, N.; Eilander, A. Nutrient Intake and Status in Adults Consuming Plant-Based Diets Compared to Meat-Eaters: A Systematic Review. Nutrients 2021, 14, 29. [Google Scholar] [CrossRef] [PubMed]
- Public Health England. NDNS: Results from Years 9 to 11 (Combined)—Statistical Summary 2020. Available online: https://www.gov.uk/government/statistics/ndns-results-from-years-9-to-11-2016-to-2017-and-2018-to-2019/ndns-results-from-years-9-to-11-combined-statistical-summary (accessed on 25 March 2024).
- Bakaloudi, D.R.; Halloran, A.; Rippin, H.L.; Oikonomidou, A.C.; Dardavesis, T.I.; Williams, J.; Wickramasinghe, K.; Breda, J.; Chourdakis, M. Intake and adequacy of the vegan diet. A systematic review of the evidence. Clin. Nutr. 2021, 40, 3503–3521. [Google Scholar] [CrossRef] [PubMed]
- Stoffaneller, R.; Morse, N.L. A Review of Dietary Selenium Intake and Selenium Status in Europe and the Middle East. Nutrients 2015, 7, 1494–1537. [Google Scholar] [CrossRef] [PubMed]
- Gibson, R.S.; Perlas, L.; Hotz, C. Improving the bioavailability of nutrients in plant foods at the household level. Proc. Nutr. Soc. 2006, 65, 160–168. [Google Scholar] [CrossRef]
- Gibson, R.S.; Bailey, K.B.; Gibbs, M.; Ferguson, E.L. A review of phytate, iron, zinc, and calcium concentrations in plant-based complementary foods used in low-income countries and implications for bioavailability. Food Nutr. Bull. 2010, 31 (Suppl. S2), S134–S146. [Google Scholar] [CrossRef] [PubMed]
- Guo, J.; Lovegrove, J.; Givens, D. Food fortification and biofortification as potential strategies for prevention of vitamin D deficiency. Nutr. Bull. 2019, 44, 36–42. [Google Scholar] [CrossRef]
- Wilson, L.R.; Tripkovic, L.; Hart, K.H.; Lanham-New, S.A. Vitamin D deficiency as a public health issue: Using vitamin D2 or vitamin D3 in future fortification strategies. Proc. Nutr. Soc. 2017, 76, 392–399. [Google Scholar] [CrossRef]
- Crowe, F.L.; Steur, M.; Allen, N.E.; Appleby, P.N.; Travis, R.C.; Key, T.J. Plasma concentrations of 25-hydroxyvitamin D in meat eaters, fish eaters, vegetarians and vegans: Results from the EPIC-Oxford study. Public Health Nutr. 2011, 14, 340–346. [Google Scholar] [CrossRef] [PubMed]
- Clegg, M.E.; Tarrado Ribes, A.; Reynolds, R.; Kliem, K.; Stergiadis, S. A comparative assessment of the nutritional composition of dairy and plant-based dairy alternatives available for sale in the UK and the implications for consumers’ dietary intakes. Food Res. Int. 2021, 148, 110586. [Google Scholar] [CrossRef] [PubMed]
- Nicol, K.; Thomas, E.L.; Nugent, A.P.; Woodside, J.V.; Hart, K.H.; Bath, S.C. Iodine fortification of plant-based dairy and fish alternatives: The effect of substitution on iodine intake based on a market survey in the UK. Br. J. Nutr. 2023, 129, 832–842. [Google Scholar] [CrossRef] [PubMed]
- Zhao, Y.; Martin, B.R.; Weaver, C.M. Calcium bioavailability of calcium carbonate fortified soymilk is equivalent to cow’s milk in young women. J. Nutr. 2005, 135, 2379–2382. [Google Scholar] [CrossRef] [PubMed]
- Peacock, M. Calcium metabolism in health and disease. Clin. J. Am. Soc. Nephrol. 2010, 5 (Suppl. 1), S23–S30. [Google Scholar] [CrossRef]
- Vaisman, N.; Shaltiel, G.; Daniely, M.; Meiron, O.E.; Shechter, A.; Abrams, S.A.; Niv, E.; Shapira, Y.; Sagi, A. Increased Calcium Absorption from Synthetic Stable Amorphous Calcium Carbonate: Double-Blind Randomized Crossover Clinical Trial in Postmenopausal Women. J. Bone Miner. Res. 2014, 29, 2203–2209. [Google Scholar] [CrossRef] [PubMed]
- Damayanti, D.; Jaceldo-Siegl, K.; Beeson, W.L.; Fraser, G.; Oda, K.; Haddad, E.H. Foods and Supplements Associated with Vitamin B(12) Biomarkers among Vegetarian and Non-Vegetarian Participants of the Adventist Health Study-2 (AHS-2) Calibration Study. Nutrients 2018, 10, 722. [Google Scholar] [CrossRef]
- Bath, S.C.; Hill, S.; Infante, H.G.; Elghul, S.; Nezianya, C.J.; Rayman, M.P. Iodine concentration of milk-alternative drinks available in the UK in comparison with cows’ milk. Br. J. Nutr. 2017, 118, 525–532. [Google Scholar] [CrossRef]
- Bath, S.C.; Rayman, M.P. Dairy Foods as a Source of Dietary Iodine. Milk and Dairy Foods; Elsevier: Oxford, UK, 2020; pp. 323–345. [Google Scholar]
- Van der Reijden, O.L.; Zimmermann, M.B.; Galetti, V. Iodine in dairy milk: Sources, concentrations and importance to human health. Best Pract. Res. Clin. Endocrinol. Metab. 2017, 31, 385–395. [Google Scholar] [CrossRef]
- Department of Health and Social Care. Folic Acid Added to Flour to Prevent Spinal Conditions in Babies 2021. Available online: https://www.gov.uk/government/news/folic-acid-added-to-flour-to-prevent-spinal-conditions-in-babies (accessed on 25 March 2024).
- Department of Health Committee on Medical Aspects of Food Policy. The Fortification of Yellow Fats with Vitamins A and D. Report on Health and Social Subjects; HM Stationery Office: London, UK, 1991.
- Bird, J.K.; Barron, R.; Pigat, S.; Bruins, M.J. Contribution of base diet, voluntary fortified foods and supplements to micronutrient intakes in the UK. J. Nutr. Sci. 2022, 11, e51. [Google Scholar] [CrossRef]
- Hebert, J.R.; Ma, Y.; Clemow, L.; Ockene, I.S.; Saperia, G.; Stanek, E.J., 3rd; Merriam, P.A.; Ockene, J.K. Gender differences in social desirability and social approval bias in dietary self-report. Am. J. Epidemiol. 1997, 146, 1046–1055. [Google Scholar] [CrossRef] [PubMed]
- Danish Food Composition Database [Internet]. 2019. Available online: https://frida.fooddata.dk/ (accessed on 25 March 2024).
Disclaimer/Publisher’s Note: The statements, opinions and data contained in all publications are solely those of the individual author(s) and contributor(s) and not of MDPI and/or the editor(s). MDPI and/or the editor(s) disclaim responsibility for any injury to people or property resulting from any ideas, methods, instructions or products referred to in the content. |
© 2024 by the authors. Licensee MDPI, Basel, Switzerland. This article is an open access article distributed under the terms and conditions of the Creative Commons Attribution (CC BY) license (https://creativecommons.org/licenses/by/4.0/).


