Abstract
In addition to exhibiting antioxidant properties, conjugated linoleic acid (CLA) and vitamin E may modulate gene expression of endogenous antioxidant enzymes. Depending on cellular microenvironments, such modulation reflects either antioxidant or prooxidant outcomes. Although epidemiological/experimental studies have indicated that CLA and vitamin E have health promoting properties, recent findings from clinical trials have been inconclusive. Discrepancies between the results found from prospective studies and recent clinical trials might be attributed to concentration-dependent cellular microenvironment alterations. We give a perspective of possible molecular mechanisms of actions of these lipophilic compounds and their implications for interventions of reactive oxygen species (ROS)-related diseases.
1. Antioxidants and Implications of their Interventions in Reactive Oxygen Species- (ROS) Related Diseases
Oxygen is essential for all aerobic organisms to survive and produce energy. During the utilization of oxygen, reactive oxygen species (ROS) are generated as intermediate compounds during metabolic processes, host defense, and exposure to environmental chemicals (e.g., pollutants and toxicants). ROS can cause oxidative damage of other biomolecules, such as carbohydrates and proteins, under conditions where there is a significant imbalance between oxidants and antioxidants. In addition to such adverse effects, ROS can exert beneficial effects, including the respiratory burst of white blood cells as a host defense. When the organism is subjected to mild oxidative stress, endogenous antioxidant defense systems can be upregulated to protect cells [1]. Excess of ROS production is implicated in pathologies of inflammatory and/or chronic diseases, such as cardiovascular disease (CVD), cancer, and diabetes [1,2,3]. Therefore, antioxidants likely play an important role in the prevention of ROS-related diseases. The antioxidant defense system consists of endogenous enzymes, including superoxide dismutase (SOD), catalase, glutathione peroxidase (GPx), and endogenous/exogenous compounds, including glutathione, vitamins A, C, and E. Together, endogenous and exogenous antioxidants work in concert as coantioxidants exerting synergistic effects to counter prooxidant situations [1].
Although epidemiological and experimental studies [4,5,6] have indicated that vitamin E and other antioxidant vitamins have health promoting properties, such as anti-carcinogenic and anti-atherogenic effects, findings from human intervention studies have been inconclusive [7,8,9,10,11]. Thus, it is important to reexamine the methodology and outcomes of all the research for possible mechanistic reasons to explain such diverse findings [12]. Perhaps considering confounding factors (e.g., diets and lifestyles) and cellular micro-environmental factors (e.g., dose/concentrations of nutrients/compounds, interactions between nutrients/compounds, gene polymorphisms related to nutrients/compounds, and interactions between genes and nutrients/compounds), we may be able to uncover reasons for such discrepancies [13,14]. For example, researchers might consider studying the actual uptake or blood levels of fat soluble and water soluble antioxidants as correlates to benefit for more accurate interpretation of that nutrient’s efficacy [1]. In this article two lipophilic compounds, conjugated linoleic acid (CLA) and vitamin E (α-tocopherol), and the potential interventions of such compounds are discussed in relation to the antioxidant defense system and atherosclerosis prevention.
2. Conjugated Linoleic Acid (CLA)
Conjugated linoleic acid is a group of polyunsaturated fatty acids (PUFA) containing conjugated double bonds in its structures (Figure 1). There are twenty-eight different CLA isomers identified [15]. Most of CLA studies have primarily focused on predominant CLA isomers, the cis-9, trans-11 and trans-10, cis-12 CLA isomers. CLA isomers are unusual zoochemicals (or non-phytochemicals), which exhibit health promoting properties, such as antioxidant, anti-carcinogenic, anti-obese, anti-inflammatory, and anti-atherogenic effects, mainly in animal and cell culture models [16,17,18,19,20,21,22,23,24,25,26,27]. Ruminant-derived foods (e.g., beef, milk, cheese) are main sources of CLA isomers. CLA isomers are biosynthesized in ruminant rumen by gram-negative bacteria, Butyrivibriofibrisolvens, and exist as unstable intermediates in biohydrogenation processes of linoleic acid to stearic acid [28]. Commercial CLA isomers are produced by alkali-isomerization of linoleic acid, and they include cis, cis, and trans, trans isomers at minor amounts [22]. Higher oxidative susceptibility of CLA isomers was observed due to the presence of conjugated bonds, compared to non-conjugated bonds of linoleic acid [29]. Biophysical and biochemical properties of CLA isomers, such as their affinity to membrane cholesterol and impact of cellular membrane permeability, may influence their biological effects, which in turn may be isomer-specific [30]. It is interesting to note that CLA has been available as an FDA-approved weight loss supplement in the U.S. market since 2008. The promise of CLA as a weight loss supplement has been supported by two meta-analyses of Whigham etal. [31,32], indicating modest anti-obese effects of CLA isomers, including a decrease in body fat and increase in fat-free mass in humans. Regarding the potential usefulness in atherosclerosis, Kritchevsky etal. [33] originally reported inhibition and regression of atherosclerosis in rabbit models fed CLA isomer mixtures for 90 days. However, clinical trials to examine CLA’s anti-atherogenic effects have been inconclusive [34,35,36,37,38,39,40].
Figure 1.
Structures of predominant conjugated linoleic acid isomers.
Figure 1.
Structures of predominant conjugated linoleic acid isomers.

Although earlier studies suggested that CLA isomers’ anti-carcinogenic and anti-atherogenic effects were mediated through antioxidant mechanisms, recent investigations (see below) indicate that CLA isomers may be involved in regulation of genes, whose products influence ROS generation, such as antioxidant enzymes, through redox-sensitive transcription factors [41].
3. Vitamin E
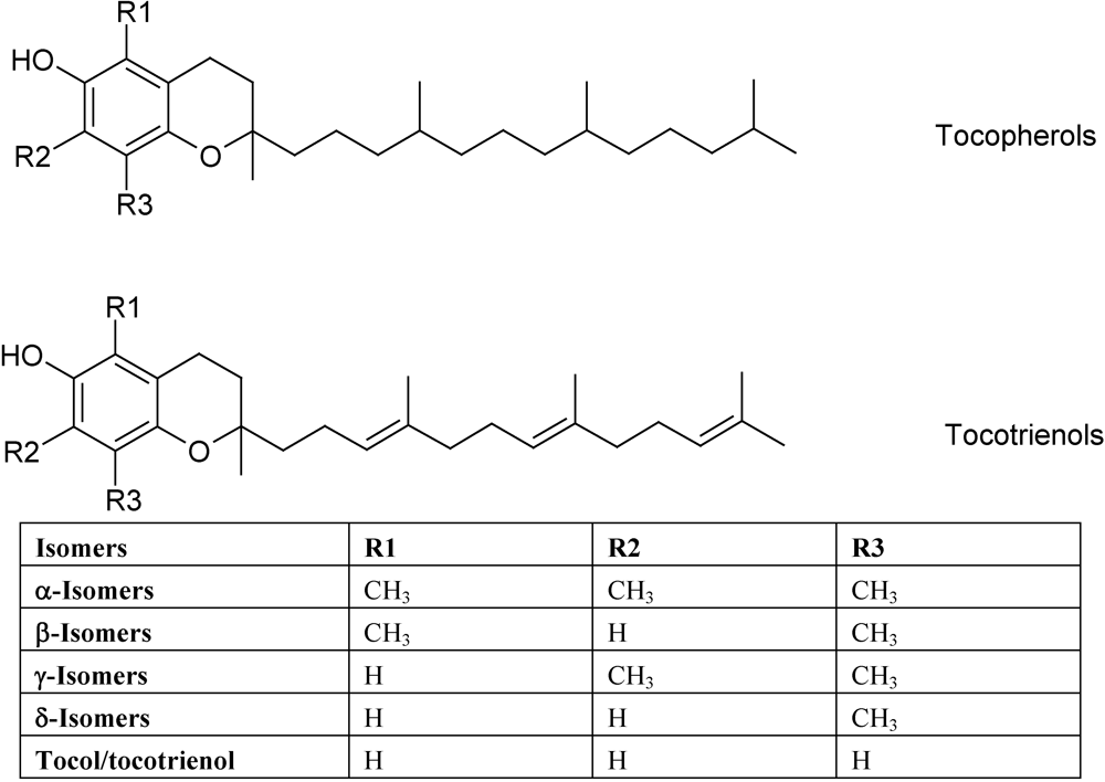
For the last decade, the plant-derived lipophilic compound vitamin E, in particular its predominant isomer α-tocopherol, has been intensively investigated in association with its potential usefulness as an antioxidant in CVD prevention. The free hydroxyl group of vitamin E plays a crucial role in scavenging free radicals and superoxide [42] and in protecting PUFA of cell membranes and low-density lipoproteins (LDL) from oxidation. Isomer specificities of vitamin E have been reported [43,44]. For example, tocotrienols, a group of vitamin E isomers containing three double bonds in their tail (Figure 2), exhibit neuro-protective, anti-cancer, and cholesterol-lowering properties, which are not shown by other tocopherols [43] and are independent of the antioxidant properties for tocopherol [44].
Figure 2.
Structures of vitamin E isomers.
Figure 2.
Structures of vitamin E isomers.

Although recent findings in α-tocopherol clinical intervention studies directed at looking for CVD efficacy failed to support earlier observational studies [7,9,10,11,45], it behooves us to carefully look for what might account for such diverse findings. Many American adults do not meet the DRI guidelines of micronutrients even when they use supplements, and effects of the use varies with gender, age, and specific nutrients. For instance, supplementation at high doses is associated with intakes above ULs for vitamin C [46], in spite of recommendation to avoid potential adverse effects, supplementation should not exceed 150% of the RDA [47]. Less is done to assist consumer awareness of following DRI’s, there is a need for balance between the antioxidant vitamins (e.g., vitamins C and E recycling), which in turn likely influences the protective and/or other biological effects [48,49].
4. Cellular Micro-Environmental Factors Influence Actions of Compound and Implications for Molecular Mechanisms of Action of Cla and Vitamin E
Lipophilic compounds, CLA isomers and α-tocopherol, are possible peroxisome proliferator-activated receptor gamma (PPARγ) activators. CLA isomers have an affinity to PPARγ [22,41] and α-tocopherol has structural similarities to troglitazone, a PPARγ activator [50,51]. In addition, computer-based searches of transcription factor binding sites indicate involvement of two redox-sensitive transcription factors, PPARγ and nuclear factor kappa B (NF-κB), in gene expression of selected antioxidant enzymes, human Cu/Zn SOD and human catalase [41,51,52].
Due to its high oxidative susceptibility of the conjugated double bonds, CLA isomers can serve as prooxidants or cytotoxic agents to cancer cells, and inhibit breast cancer growth under tested conditions [53,54]. CLA isomers play a role in inflammation. CLA isomers appear to modulate cyclooxygenase-2 (COX-2), which is a source of ROS, and subsequently prostanoids in certain cells/tissues in an isomer-dependent manner [55,56] possibly through NF-κB pathway [57]. In human umbilical vein endothelial cells (HUVECs), concentration-dependent effects of CLA isomers were observed [41], including increases in DNA binding activities of the transcription factors (PPARγ and NF-κBp50), expression of the antioxidant enzymes (human Cu/Zn SOD and human catalase), and ROS generation seen at low concentrations (5μmol/L). At higher concentrations of CLA isomers (10-100 μmol/L), there were increases in DNA binding activities of the transcription factors and the enzyme expression, but no ROS generation. Thus, CLA isomer-mediated gene expression is likely through the activation of the transcription factors. We speculate that effects of CLA isomers at low and high concentrations are related to prooxidants or pro-inflammatory signals to activate NF-κB p50/p65 and PPARγ activators. In CLA isomer-mediated human Cu/Zn SOD gene expression, both NF-κB p50/p65 and PPARγ pathways may be involved in a concentration-dependent manner. Based on our findings, CLA isomer-mediated catalase gene expression may be regulated through the NF-κB p50/p65 pathway. Recent findings suggest to us that [52] the PPARγ pathway may also be involved in CLA-mediated human catalase gene expression.
Vitamin E can exhibit pro-oxidant effects under certain conditions [48,58]. Vitamin E is also involved in inflammation. α-Tocopherol post-translationally inhibits COX activity in human endothelial cells in a dose-dependent manner [59]. Additionally, γ-Tocopherol suppresses COX-2 activity and pro-inflammatory eicosanoids and cytokines in cell culture models [60,61]. Moreover, anti-cancer effects of γ-tocotrienol are in part due to inhibition of NF-κB p50/p65 pathway [62,63]. In our study [51], α-tocopherol exhibited concentration-dependent effects, similar to CLA isomers, including increases in DNA binding activities of the transcription factors (PPARγ and NF-κB p50), expression of the antioxidant enzymes (human Cu/Zn SOD and human catalase), and ROS generation at low concentrations of α-tocopherol (10 μmol/L) in HUVECs. These findings suggest involvement of the transcription factors in α-tocopherol-mediated gene expression. Interestingly, gene expression of human Cu/Zn SOD was suppressed at middle concentrations (25-50 μmol/L) with an increase in DNA binding activity of NF-κB p50 and without an increase in ROS generation. The DNA binding of the NF-κB p50 subunit is stimulated by reducing agents [64], possibly including α-tocopherol. The NF-κB p50/52 homodimer is a competitor of the NF-κB p50/p65 heterodimer for same DNA binding sites, and the homodimer is associated with anti-inflammatory effects [65,66]. Taken all together, our findings suggest involvement of NF-κB p50/p52 homodimer formation (or NF-κB p50/p65 inactivation), rather than NF-κB p50/p65 heterodimer activation, at least within the range of the experimental concentrations tested (25-50 μmol/L). The findings are consistent with three roles for α-tocopherol: a prooxidant or pro-inflammatory signal to activate NF-κB p50/p65 heterodimer, an antioxidant or reducing agent to induce NF-κB p50/p52 homodimer formation, and a PPARγ activator, depending on its concentrations. Therefore, three pathways may be involved in α-tocopherol-mediated human Cu/Zn SOD gene expression: NF-κB p50/p65 heterodimer activation, NF-κB p50/p52 homodimer formation (or NF-κB p50/p65 heterodimer inactivation), and PPARγ activation. α-Tocopherol also has some influence on human catalase gene expression, for which there are at least two pathways: NF-κB p50/p65 heterodimer activation and NF-κB p50/p52 homodimer formation (or NF-κB p50/p65 heterodimer inactivation). Thus, α-tocopherol may act as an exogenous antioxidant itself but also a regulator of endogenous antioxidant enzymes.
Overall, either CLA isomers or α-tocopherol may regulate gene expression of the antioxidant enzymes, Cu/Zn SOD and catalase, through two redox-sensitive transcription factors, PPARγ and NF-κB, depending on the respective concentrations of each compound. Subsequently, the compounds appear to modulate ROS generation through regulation of the antioxidant enzyme gene expression. Various known and/or unknown compounds, which possess common chemical and physical similarities with either CLA isomers or α-tocopherol, may also be implicated in the regulation of the antioxidant enzyme expression through PPARγ and NF-κB and ROS generation.
5. Conclusions
There is interest in CLA isomers and vitamin E as lipophilic compounds for preventative and therapeutic strategies of ROS-related diseases. However, whether such compounds exert beneficial or adverse effects are likely to depend upon cellular micro-environment factors, such as: doses/concentrations of compounds/nutrients, interactions between compounds/nutrients and/or between compounds/nutrients and genes, and polymorphisms in genes related to compounds/nutrients [14]. Within cellular microenvironments, a single compound can possess opposite or biphasic effects, i.e., antioxidant/anti-inflammatory vs. prooxidant/pro-inflammatory or hormesis. Hormesis is the phenomenon whereby a substance has been found to have beneficial effects at one concentration in contrast to very different effects at higher (and lower) concentrations, such as detrimental response. The phenomenon is widely documented in pharmacology, toxicology, and biology [67,68] and more recently in nutrition [69], for example deficiencies and toxicities of vitamins. In addition, hormesis has also been implicated in nutraceutical research dealing with bioactive compounds that modulate gene expression at specific concentrations [47], as noted above for concentration-dependent different properties of CLA and vitamin E [41,51].
Interactions between compounds/nutrients, including antioxidants, are expected and do occur in many biological processes. Outcomes of such interactions include synergistic protective actions of antioxidants [48,49], as well as actions of antagonists/inhibitors. We cannot assume that the outcome of their total actions is equal to the sum of each compound, because cellular microenvironments may lead to less or more overall oxidation rather than some synergistic response.
Balance, moderation, and variety are the pillars of healthy diet recommendations [70]. Use or over-use of individual dietary components, i.e., supplementation of a single or even multiple compound(s), is contrary to that recommendation and negates the healthy diet concept. Another consideration is that lipophillic compounds have been identified to play a role in gene regulation [23,51,71,72,73,74,75,76,77]. Thus, superimposed on nutrient gene regulation is the role of polymorphisms of genes and individual susceptibility and/or response to intakes of various compounds/nutrients [78,79,80,81].
References
- Willcox, J.K.; Ash, S.L.; Catignani, G.L. Antioxidants and prevention of chronic disease. Crit. Rev. Food Sci. Nutr. 2004, 44, 275–295. [Google Scholar]
- Madamanchi, N.R.; Hakim, Z.S.; Runge, M.S. Oxidative stress in atherogenesis and arterial thrombosis: the disconnect between celluar studies and clinical outcomes. J. Thromb. Haemost. 2005, 3, 254–267. [Google Scholar]
- Stocker, R.; Keaney, J.F.J. Role of oxidative modifications in atherosclerosis. Physiol. Rev. 2004, 84, 1381–1478. [Google Scholar]
- Klipstein-Grobusch, K.; den Breeijen, J.H.; Grobbee, D.E.; Boeing, H.; Hofman, A.; Witteman, J.C. Dietary antioxidants and peripheral arterial disease: the Rotterdam Study. Am. J. Epidemiol. 2001, 154, 145–149. [Google Scholar]
- Hung, H.C.; Joshipura, K.J.; Jiang, R.; Hu, F.B.; Hunter, D.; Smith-Warner, S.A.; Colditz, G.A.; Rosner, B.S.; Spiegelman, D.; Willett, W.C. Fruit and vegetable intake and risk of major chronic disease. J. Natl. Cancer Inst. 2004, 96, 1577–1584. [Google Scholar]
- Meydani, M. Vitamin E modulation of cardiovascular diseases. Ann. N Y Acad. Sci. 2004, 1031, 271–279. [Google Scholar]
- Kang, J.H.; Cook, N.R.; Manson, J.E.; Buring, J.E.; Albert, C.M.; Grodstein, F. Vitamin E, vitamin C, beta carotene, and cognitive function among women with or at risk of cardiovascular disease: The Women's Antioxidant and Cardiovascular Study. Circulation 2009, 119, 2772–2780. [Google Scholar]
- Bjelakovic, G.; Nikolova, D.; Gluud, L.L.; Simonetti, R.G.; Gluud, C. Mortality in randomized trials of antioxidant supplements for primary and secondary prevention: systematic review and meta-analysis. JAMA 2007, 297, 842–857. [Google Scholar]
- Sesso, H.D.; Buring, J.E.; Christen, W.G.; Kurth, T.; Belanger, C.; MacFadyen, J.; Bubes, V.; Manson, J.E.; Glynn, R. J.; Gaziano, M. Vitamins E and C in the prevention of cardiovascular disease in men: The Physicians' Health Study II Randomized Controlled Trial. JAMA 2008, 300, 2123–2133. [Google Scholar]
- Dietrich, M.; Jacques, P.F.; Pencina, M.J.; Lanier, K.; Keyes, M.J.; Kaur, G.; Wolf, P.A.; D'Agostino, R.B.; Vasan, R.S. VItamin E supplement use and the incidence of cardiovascular disease and all-cause mortality in the Framingham Heart Study: Does the underlying health status play a role? Atherosclerosis 2009, 205, 549–553. [Google Scholar] [CrossRef] [PubMed]
- Hodis, H.N.; Mack, W.J.; LaBree, L.; Mahrer, P.R.; Sevanian, A.; Liu, C.R.; Liu, C.H.; Hwang, J.; Selzer, R.H.; Azen, S.P. Alpha-tocopherol supplementation in healthy individuals reduces low-density lipoprotein oxidation but not atherosclerosis: The Vitamin E Atherosclerosis Prevention Study (VEAPS). Circulation 2002, 106, 1453–1459. [Google Scholar]
- Steinhubl, S.R. Why have antioxidants failed in clinical trials? Am. J. Cardiol. 2008, 10, 14–19. [Google Scholar] [CrossRef]
- Linchtenstein, A.H. Nutrient supplements and cardiovascular disease: a heartbreaking story. J. Lipid Res. 2009, 50, S429–S433. [Google Scholar]
- Nakamura, Y.K.; Omaye, S.T. Vitamin E-modulated gene expression associated with ROS generation. J. Funct. Foods 2009, 1, 241–252. [Google Scholar]
- Bhattacharya, A.; Banu, J.; Rahman, M.; Causey, J.; Fernandes, G. Biological effects of conjugated linoleic acids in health and disease. J. Nutr. Biochem. 2006, 17, 789–810. [Google Scholar]
- Kuniyasu, H. The roles of dietary PPARgamma ligands for metastasis in colorectal cancer. PPAR Res. 2008, 2008, 529720. [Google Scholar]
- Wendel, A.A.; Purushotham, A.; Liu, L.F.; Belury, M.A. Conjugated linoleic acid induces uncoupling protein 1 in white adipose tissue of ob/ob mice. Lipids 2009, 44, 975–982. [Google Scholar]
- Lee, Y.; Thompson, J.T.; Vanden Heuvel, J.P.V. 9E, 11E-Conjugated linoleic acid increases expression of the endogenous antiinflammatory factor, interleukin-1 receptor antagonist, in RAW 264.7 cells. J. Nutr. 2009, 139, 1861–1866. [Google Scholar] [CrossRef] [PubMed]
- Kennedy, A.; Martinez, K.; Schmidt, S.; Mandrup, S.; Lapoint, K.; McIntosh, M.K. Antiobesity mechanisms of action of conjugated linoleic acid. J. Nutr. Biochem. 2010, 21, 171–179. [Google Scholar]
- Lee, Y.; Vanden Heuvel, J.P.V. Inihibition of macrophage adhesion activity by 9trans, 11trans-conjugated linoleic acid. J. Nutr. Biochem. 2010, 21, 490–497. [Google Scholar]
- Halade, G.V.; Rahman, M.M.; Fernandes, G. Effect of CLA isomers and their mixture on aging C57Bl/6J mice. Eur. J. Nutr. 2009, 48, 409–418. [Google Scholar]
- Belury, M.A. Dietary conjugated linoleic acid in health: physiological effects and mechanisms of action. Annu. Rev. Nutr. 2002, 22, 505–531. [Google Scholar]
- Bassaganya-Riera, J.; Hontecillas, R. CLA and n-3 PUFA differentially modulate clinical activity and colonic PPAR-responsive gene expression in a pig model of experimental IBD. Clin. Nutr. 2006, 25, 454–465. [Google Scholar]
- Eder, K.; Ringseis, R. Metabolism and actions of conjugated linoleic acids on atherosclerosis-related events in vascular endothelial cells and smooth muscle cells. Mol. Nutr. Food Res. 2010, 54, 17–36. [Google Scholar]
- Reynolds, C.M.; Draper, E.; Keogh, B.; Rahman, A.; Moloney, A.P.; Mills, K.H.; Loscher, C.E.; Roche, H.M. A conjugated linoleic acid-enriched beef diet attenuates lipopolysaccharide-induced inflammation in mice in part through PPARgamma-mediated suppression of toll-like receptor 4. J. Nutr. 2009, 139, 2351–2357. [Google Scholar]
- Wang, L.S.; Huang, Y.M.; Liu, S.; Yan, P.; Lin, Y.C. Conjugated linoleic acid induces apoptosis through estrogen receptor alpha in human breast tissue. BMC Cancer 2008, 8, 208. [Google Scholar]
- Sikorski, A.M.; Hebert, N.; Swain, R.A. Coujugated linoleic acid (CLA) inhibits new vessel growth in the mammalian brain. Brain Res. 2008, 1213, 35–40. [Google Scholar]
- Lawson, R.E.; Moss, A.R.; Givens, D.I. The role of dairy products in supplying conjugated linoleic acid to man’s diet: a review. Nutr. Res. Rev. 2001, 14, 153–172. [Google Scholar]
- Campbell, W.; Drake, M.A.; Larick, D.K. The impact of fortification with conjugated linoleic acid (CLA) on the quality of fluid milk. J. Dairy Sci. 2003, 86, 43–51. [Google Scholar]
- Subbaiah, P.V.; Sircar, D.; Aizezi, B.; Mintzer, E. Differential effects of conjugated linoleic acid isomers on the biophysical and biochemical properties of model membranes. Biochem. Biophys. Acta 2010, 1798, 506–514. [Google Scholar]
- Whigham, L.D.; Watras, A.C.; Schoeller, D.A. Efficacy of conjugated linoleic acid for reducing fat mass: a meta-analysis in humans. Am. J. Clin. Nutr. 2007, 85, 1203–1211. [Google Scholar]
- Schoeller, D.A.; Watras, A.C.; Whigham, L.D. A meta-analysis of the effects f conjugated linoleic acid on fat-free mass in humans. Appl. Physiol. Nutr. Metab. 2009, 34, 975–978. [Google Scholar]
- Kritchevsky, D.; Tepper, S.A.; Wright, S.; Tso, P.; Czarnecki, S.K. Influence of conjugated linoleic acid (CLA) on establishment and progression of atherosclerosis in rabbits. J. Am. Coll. Nutr. 2000, 19, 472S–477S. [Google Scholar]
- Gaullier, J.M.; Halse, J.; Hoye, K.; Kristiansen, K.; Fagertun, H.; Vik, H.; Gudmundsen, O. Conjugated linoleic acid supplementation for 1y reduces body fat mass in healthy overweight humans. Am. J. Clin. Nutr. 2004, 79, 1118–1125. [Google Scholar]
- Gaullier, J.M.; Halse, J.; Hoye, K.; Kristiansen, K.; Fagertun, H.; Vik, H.; Gudmundsen, O. Supplementation with conjugated linoleic acid for 24 month is well tolerated by and reduces body fat mass in healthy, overweight human. J. Nutr. 2005, 135, 778–784. [Google Scholar]
- Mullen, A.; Moloney, F.; Nugent, A.P.; Doyle, L.; Cashman, K.D.; Roche, H.M. Conjugated linoleic acid supplementation reduces peripheral blood mononuclear cell interleukin-2 production in healthy middle-aged males. J. Nutr. Biochem. 2007, 8, 658–666. [Google Scholar]
- Moloney, F.; Yeow, T.P.; Mullen, A.; Nolan, J.J.; Roche, H.M. Conjugated linoleic acid supplementation, insulin sensitivity, and lipoprotein metabolism in patients with type 2 diabetes mellitus. Am. J. Clin. Nutr. 2004, 80, 887–895. [Google Scholar]
- Tricon, S.; Burdge, G.C.; Kew, S.; Banerjee, T.; Russell, J.J.; Grimble, R.F.; Williams, C.M.; Calder, P.C.; Yaqoob, P. Effects of cis-9, trans-11 and trans-10, cis-12 conjugated linoleic acid on immune cell function in healthy human. Am. J. Clin. Nutr. 2004, 80, 1626–1633. [Google Scholar]
- Tricon, S.; Burdge, G.C.; Kew, S.; Banerjee, T.; Russell, J.J.; Jones, E.L.; Grimble, R.F.; Williams, C.M.; Yaqoob, P.; Calader, P.C. Opposing effects of cis-9, trans-11 and trans-10, cis-12 conjugated linoleic acid on blood lipids in healthy human. Am. J. Clin. Nutr. 2004, 80, 614–620. [Google Scholar]
- Riserus, U.; Vessby, B.; Arner, P.; Zethelius, B. Supplemetation with trans10cis12-conjugated linoleic acid induces hyperproinsulinaemia in obese men: close association with impaired insulin sensitivity. Diabetologia 2004, 47, 1016–1019. [Google Scholar]
- Nakamura, Y.K.; Omaye, S.T. Conjugated linoleic acid isomers' roles in the regulation of PPARγ and NF-κB DNA binding and subsequent expression of antioxidant enzymes in human umbilical vein endothelial cells. Nutrition 2009, 25, 800–811. [Google Scholar]
- Lass, A.; Sohal, R.S. Effect of coenzymes Q10 and alpha-tocopherol content of mitochondria on the production of superoxide anion radicals. FASEB J. 2000, 14, 87–94. [Google Scholar]
- Sen, C.K.; Khanna, S.; Rink, C.; Roy, S. Tocotrienols: the emerging face of natural vitamin E. Vitam. Horm. 2007, 76, 203–261. [Google Scholar]
- Khanna, S.K.; Roy, S.; Ryu, H.; Bahadduri, P.; Swaan, P.W.; Ratan, R.R.; Sen, C.K. Molecular basis of vitamin E action: Tocotrienol modulates 12-lipoxygenase, a key mediator of glutamate-induced neurodegeneration. J. Biol. Chem. 2003, 278, 43508–43515. [Google Scholar]
- Kinlay, S.; Behrendt, D.; Fang, J.C.; Delagrange, D.; Morrow, J.; Witztum, J.L.; Rifai, N.; Selwyn, A.P.; Creager, M. A.; Ganz, P. Long-term effect of combined vitamins E and C on coronary and peripheral endothelial function. J. Am. Coll. Nutr. 2004, 43, 629–634. [Google Scholar]
- Burnett-Hartman, A.N.; Fitzpatrick, A.L.; Gao, K.; Jackson, S.A.; Schreiner, P.J. Supplement use contributes to meeting recommended dietary intakes for calcium, magnesium, and vitamin C in four ethnicities of middle-aged and older Americans: the multi-ethnic study of atheroslerosis. J. Am. Diet. Assoc. 2008, 109, 422–429. [Google Scholar]
- Omaye, S.T. Safety facets of antioxidant supplements. Top. Clin. Nutr. 1998, 14, 26–41. [Google Scholar]
- Nakamura, Y.K.; Omaye, S.T. Age-related changes of serum lipoprotein oxidation in rats. Life Sci. 2004, 74, 1265–1275. [Google Scholar]
- Nakamura, Y.K.; Read, M.H.; Elias, J.W.; Omaye, S.T. Oxidation of serum low-density lipoprotein (LDL) and antioxidant status in young and elderly humans. Arch. Gerontol. Geriatr. 2006, 42, 265–276. [Google Scholar]
- Campbell, S.E.; Stone, W.L.; Whaley, S.G.; Qui, M.; Krishnan, K. Gamma tocopherol upregulates peroxisome proliferator activated receptor (PPAR) gamma expression in SW 480 human colon cancer cell lines. BMC Cancer 2003, 3, 25. [Google Scholar]
- Nakamura, Y.K.; Omaye, S.T. Alpha-tocopherol modulates human umbilical vein endothelial cell expression of Cu/Zn superoxide dismutase and catalse and lipid peroxidation in a concentration dependent manner. Nutr. Res. 2008, 28, 671–680. [Google Scholar]
- Okuno, Y.; Matsuda, M.; Miyata, Y.; Fukuhara, A.; Komoro, R.; Shimabukuro, M.; Shimomura, I. Human catalase gene is regulated by peroxisome proliferator-activated receptor-gamma through a response element distinct from that of mouse. Endocr. J. 2010, 57, 303–309. [Google Scholar]
- Albright, C.D.; Klem, E.; Shah, A.A.; Gallagher, P. Breast cancer cell-targeted oxidative stress: Enhancement of cancer cell upake of conjugated linoleic acid, activation of p53, and inhibition of proliferation. Exp. Mol. Pathol. 2005, 79, 118–125. [Google Scholar]
- O'Shea, M.; Stanton, C.; Devery, R. Antioxidant enzyme defense responses of human MCF-7 and SW480 cancer cells to conjugated linoleic acid. Anticancer Res. 1999, 19, 1953–1960. [Google Scholar]
- Torres-Duarte, A.P.; Vanderhoek, J.Y. Conjugated linoleic acid exhibits stimulatory and inhibitory effects on prostanoid production in human endothelial cells and platelet. Biochem. Biophys. Acta 2003, 1640, 69–76. [Google Scholar]
- Smedman, A.; Vessby, B.; Basu, S. Isomer-specific effects of conjugated linoleic acid on lipid peroxidation in humans: regulation by alpha-tocopherol and cyclo-oxigenase-2 inhibitor. Clin. Sci. (Lond) 2004, 106, 67–73. [Google Scholar] [CrossRef] [PubMed]
- Li, G.; Barnes, D.; Butz, D.; Bjorling, D.; Cook, M.E. 10t, 12c-conjugated linoleic acid inhibits lipopolysaccharide-induced cyclooxygenase expression in vitro and in vivo. J. Lipid Res. 2005, 46, 2134–2142. [Google Scholar]
- Winterbone, M.S.; Sampson, M.J.; Saha, S.; Hughes, J.C.; Hughes, D.A. Pro-oxidant effect of α-tocopherol in patients with type 2 diabetes after an oral glucoese tolelance test - a randomised controlled trial. Cardiovasc. Diabetol. 2007, 6, 8. [Google Scholar]
- Wu, D.; Liu, L.; Meydani, M.; Meydani, S.N. Vitamin E increases production of vasodilator prostanoids in human aortic endothelial cells through opposing effects on cycloxygenase-2 and phopholipase A2. J. Nutr. 2005, 135, 1847–1853. [Google Scholar]
- Jiang, Q.; Elson-Schwab, I.; Courtemanche, C.; Ames, B.N. Gamma-tocopherol and its major metabolite, in contrast to alpha-tocopherol, inhibit cyclooxygenase activity in macrophages and epithelial cell. Proc. Natl. Acad. Sci. USA. 2000, 97, 11494–11499. [Google Scholar]
- Jiang, Q.; Ames, B.N. Tocopherol, but not α-tocopherol, decreases proinflammatory eicosanoids and inflammation damage in rat. FASEB J. 2003, 17, 816–822. [Google Scholar]
- Ahn, K.S.; Sethi, G.; Krishnan, K.; Aggarwal, B.B. Tocotrienol inhibits nuclear factor-κB signaling pathway through inhibition of receptor-interacting protein and TAK1 leading to suppression of antiapoptotic gene products and potentiation of apoptosis. J. Biol. Chem. 2007, 282, 809–820. [Google Scholar]
- Shah, S.J.; Sylvester, P.W. γ-Tocotrienol inhibits neoplastic mammary epithelial cell proliferation by decreasing Akt and nuclear factor κB activity. Exp. Biol. Med. (Maywood) 2005, 230, 235–241. [Google Scholar] [PubMed]
- Matthews, J.R.; Kaszubska, W.; Turcatti, G.; Wells, T.N.C.; Hay, R.T. Role of cycteine62 in DNA recognition by the p50 subunit of NF-kappaB. Nucleic Acids Res. 1993, 21, 1727–1734. [Google Scholar]
- Muller, C.W.; Rey, F.A.; Sodeoka, M.; Verdine, G.L.; Harrison, S.C. Structure of the NF-kappaB p50 homodimer bound to DNA. Nature 1995, 373, 311–317. [Google Scholar]
- Cao, S.; Zhang, X.; Edwards, J.P.; Mosser, D.M. NF-kB1 (p50) homodimers differentially regulate pro- and anti-inflammatory cytokines in macrophages. J. Biol. Chem. 2006, 281, 26041–26050. [Google Scholar]
- Yashin, A.I. Hormesis against aging and diseases: using properties of biological adaptation for health and survival improvement. Dose Response 2010, 8, 41–47. [Google Scholar]
- Calabrese, E.J. Hormesis and medicine. Br. J. Clin. Pharmacol. 2008, 66, 594–617. [Google Scholar]
- Hayes, D.P. Nutrition hormesis. European Journal of Clinical Nutrition 2007, 61, 147–159. [Google Scholar]
- Kritchevsky, D. Diet and atherosclerosis. J. Nutr. Health Aging 2001, 5, 155–159. [Google Scholar]
- Wong, S.W.; Kwon, M.; Choi, A.M.K.; Kim, H.; Nakahira, K.; Hwang, D.H. Fatty acids modulate toll-like receptor 4 activation through regulation of receptor dimerization and recruitment into lipid rafts in a reactive oxygen species-depedent manner. J. Biol. Chem. 2009, 284, 27384–27392. [Google Scholar]
- Ziouzenkova, O.; Plutzky, J. Retinoid metabolism and nuclear receptor responses: New insights into coordinated regulation of the PPAR-RXR complex. FEBS Lett. 2008, 582, 32–38. [Google Scholar]
- Wood, R.J. Vitamin D and adipogenesis: new molecular insights. Nutr. Rev. 2008, 66, 40–46. [Google Scholar]
- Deb, D.K.; Chen, Y.; Zhang, Z.; Zhang, Y.; Szeto, F.L.; Wong, K.E.; Kong, J.; Li, Y.C. 1, 25-Dihydroxyvitamin D3 suppresses high glucose-induced angiotensinogen expression in kidney cells by blocking the NF-kappa B pathway. Am. J. Physiol. Renal Physiol. 2009, 296, F1212–F1218. [Google Scholar]
- Peehl, D.M.; Feldman, D. Interaction of nuclear receptor ligands with the vitamin D signaling pathway in prostate cancer. J. Steroid Biochem. Mol. Biol. 2004, 92, 307–315. [Google Scholar]
- Pavan, B.; Biondi, C.; Dalpiaz, A. Nuclear retinoic acid receptor beta as a tool in chemoprevetion trials. Curr. Med. Chem. 2006, 13, 3553–3563. [Google Scholar]
- Bassaganya-Riera, J.; Reynolds, K.; Martino-Catt, S.; Cui, Y.; Hennighausen, L.; Gonzalez, F.; Rohrer, J.; Benninghoff, A.U.; Hontecillas, R. Activation of PPARgamma and delta by conjugated linoleic acid mediates protection from experimental inflammatory bowel disease. Gastroenterology 2004, 127, 777–791. [Google Scholar]
- Zingg, J.M.; Azzi, A.; Meydani, M. Genetic polymorphisms as determinants for disease-preventive effects of vitamin E. Nutr. Rev. 2008, 66, 406–414. [Google Scholar]
- Borel, P.; Moussa, M.; Reboul, E.; Lyan, B.; Defoort, C.; Vincent-Baudry, S.; Maillot, M.; Gastaldi, M.; Darmon, M.; Portugal, H.; Planells, R.; Lairon, D. Human plasma levels of vitamin E and carotinoids are associated with genetic polymorphisms in genes involved in lipid metabolism. J. Nutr. 2007, 137, 2653–2659. [Google Scholar]
- Eck, P.; Christian Erichsen, H.; Taylor, J.G.; Corpe, C.; Chanock, S.J.; Levine, M. Genomic and fuctional analysis of the sodium-dependent vitamin C transporter SLC23A1-SVCT1. Genes Nutr. 2007, 2, 143–145. [Google Scholar]
- Malerba, G.; Schaeffer, L.; Xumerle, L.; Klopp, N.; Trabetti, E.; Biscuola, M.; Cavallari, U.; Galavotti, R.; Martinelli, N.; Guarini, P.; Girelli, D.; Olivieri, O.; Corrocher, R.; Heinrich, J.; Pignatti, P.F.; Illig, T. SNPs of the FADS gene cluster are associated with polyunsaturated fatty acids in a cohort of patients with cardiovascular disease. Lipids 2008, 43, 289–299. [Google Scholar]
© 2010 by the authors; licensee MDPI, Basel, Switzerland This article is an open-access article distributed under the terms and conditions of the Creative Commons Attribution license (http://creativecommons.org/licenses/by/3.0/).