Abstract
In September 2015, a massive occurrence of the Ostreopsis species was recorded in central Adriatic Kaštela Bay. In order to taxonomically identify the Ostreopsis species responsible for this event and determine their toxin profile, cells collected in seawater and from benthic macroalgae were analyzed. Conservative taxonomic methods (light microscopy and SEM) and molecular methods (PCR-based assay) allowed the identification of the species Ostreopsis cf. ovata associated with Coolia monotis. The abundance of O. cf. ovata reached 2.9 × 104 cells L−1 in seawater, while on macroalgae, it was estimated to be up to 2.67 × 106 cells g−1 of macroalgae fresh weight and 14.4 × 106 cells g−1 of macroalgae dry weight. An indirect sandwich immunoenzymatic assay (ELISA) and liquid chromatography–high-resolution mass spectrometry (LC-HRMS) were used to determine the toxin profile. The ELISA assay revealed the presence of 5.6 pg palytoxin (PLTX) equivalents per O. cf. ovata cell. LC-HRMS was used for further characterization of the toxin profile, which showed that there were 6.3 pg of the sum of ovatoxins (OVTXs) and isobaric PLTX per O. cf. ovata cell, with a prevalence of OVTXs (6.2 pg cell−1), while the isobaric PLTX concentration was very low (0.1 pg cell−1). Among OVTXs, the highest concentration was recorded for OVTX-a (3.6 pg cell−1), followed by OVTX-b (1.3 pg cell−1), OVTX-d (1.1 pg cell−1), and OVTX-c (0.2 pg cell−1).
Key Contribution:
In this manuscript, Ostreopsis cf. ovata was identified for the first time in the eastern central Adriatic community of benthic dinoflagellates by relevant morphology obtained through light and electron microscopy, coupled with molecular confirmation and toxicological and chemical analyses.
1. Introduction
In the last two decades, massive occurrences of the benthic dinoflagellate Ostreopsis species in different parts of the Mediterranean Sea have been well documented (Table 1). Three Ostreopsis species have been recorded so far in various Mediterranean regions: Ostreopsis cf. ovata, Ostreopsis cf. siamensis [1,2,3,4,5,6,7], and Ostreopsis fattorussoi [8].
Table 1.
Overview of temporal and spatial distribution of Ostreopsis species with recorded abundances in the water column (cells L−1) and on macrophyte (cells g−1) in the Mediterranean Sea obtained from literature.
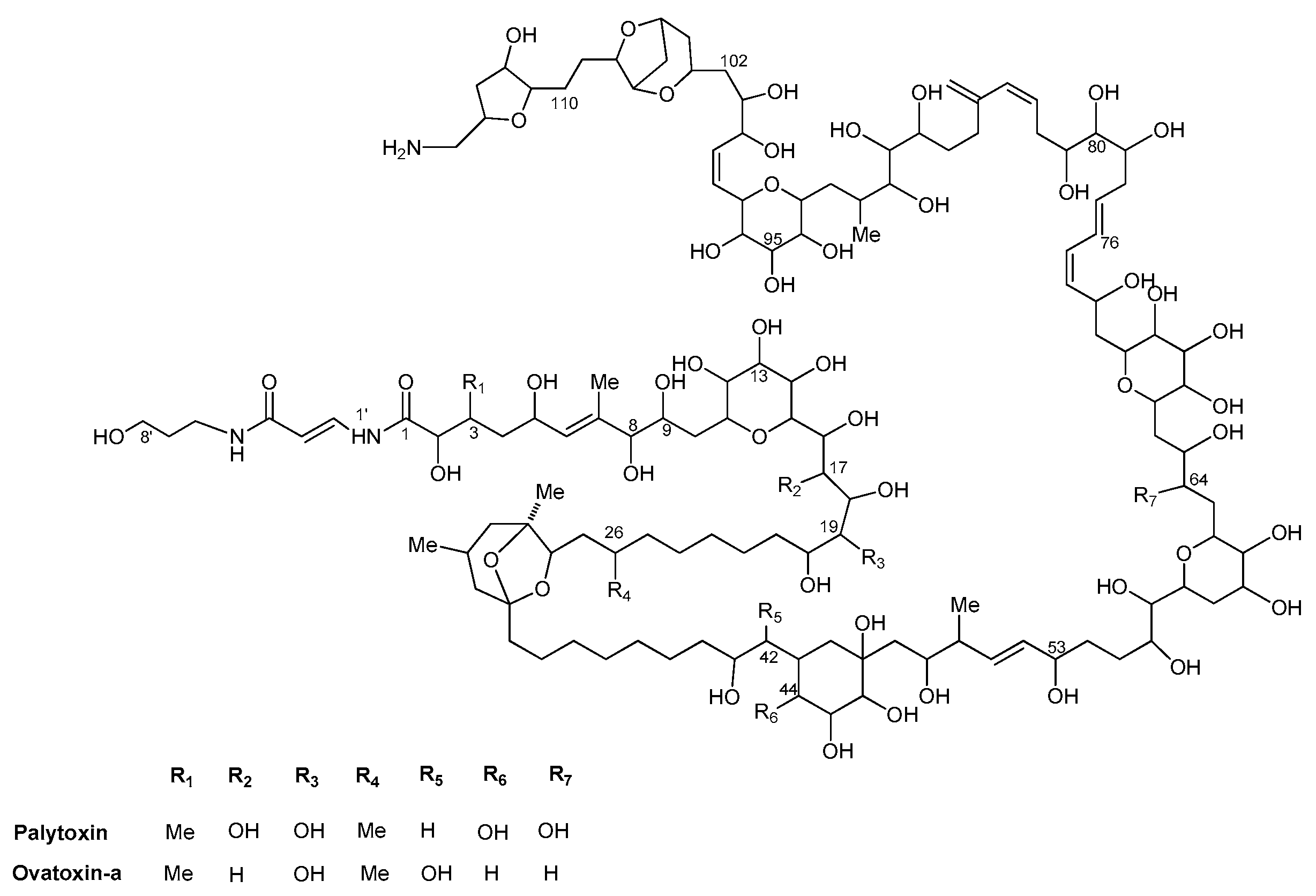
Ostreopsis blooms in the Mediterranean Sea are commonly accompanied by respiratory problems and skin irritation in humans exposed to marine aerosol containing algal toxins and/or cells debris and seawater [9,10,11,12] due to ability of some Ostreopsis species to produce toxins. Most of these toxins belong to the palytoxin (PLTX) group. PLTX and its analogs may affect human health by ingestion of contaminated seafood, skin contact with seawater, and inhalation of marine aerosols containing Ostreopsis cell debris and/or their toxins [12,13,14]. So far, human poisonings ascribed to ingestion of PLTX-contaminated seafood have been recorded in the Pacific and Indian Oceans following consumption of fish [13,15,16,17,18,19] and crabs [20,21], while in the Mediterranean Sea, no cases have been reported so far. Chemical studies of the Mediterranean strains of O. cf. ovata showed the presence of small quantities of an isobaric PLTX [22,23] and larger amounts of structural PLTX congeners called ovatoxins (OVTXs), with a high prevalence of OVTX-a (Figure 1) [24,25,26,27]. According to Funari et al. [28], the lack of toxicity in humans via food chain transfer during O. cf. ovata blooms in the Mediterranean area could be explained by the lower oral toxicity of OVTXs in comparison with that of PLTXs. This hypothesis has been supported by the in vitro cytotoxicity characterization of OVTX-a in relation to the reference compound PLTX, which revealed less toxic effect compared with PLTX, displaying lower cytotoxicity as well as lower hemolytic activity on human erythrocytes [29].
Figure 1.
Chemical structures of palytoxin and ovatoxin-a, the latter being found in Mediterranean Ostreopsis cf. ovata strains.
According to literature (Table 1) the most abundant and widely distributed Ostreopsis species in the Adriatic Sea is the Atlantic/Mediterranean ribotype O. cf. ovata [7]. The first identification of O. cf. ovata in Croatian waters was from the central Adriatic Kaštela Bay in 1984 [30]. Thereafter, this species was not reported in Kaštela Bay, but it is possible that it remained undetected due to the absence of visible blooms and the lack of noted negative impacts on human health. Ostreopsis cf. ovata has been reported along the Italian coasts since the late 1990s and, with a few exceptions, almost all Italian regions are seasonally affected by O. cf. ovata blooms [28]. Cases of respiratory problems and skin irritations in humans associated with massive blooms of O. cf. ovata in Croatian waters were reported for the first time in the northern Adriatic Sea in 2010 [31]. In 2015, complaints of similar signs and symptoms came from the beaches along the Kaštela Bay coasts, indicating the development of another O. cf. ovata bloom, this time in the central part of the Adriatic Sea.
Based on this event, the aim of this study is: (1) Taxonomical identification of the Ostreopsis species that cause massive blooms and affect human health; (2) determination of the toxin profile of these species; (3) reporting a new site where blooms occur to improve global mapping of the genus Ostreopsis; and (4) raising awareness about the necessity of introducing targeted monitoring of Ostreopsis species by reporting its occurrence.
2. Results
2.1. Microscopy Analyses
Microscopic analyses of field samples showed an intensive bloom of Ostreopsis species (Figure 2A–C). Ostreopsis cf. ovata was identified on the basis of its specific cellular shape (like a pumpkin seed with an expanded oval dorsal side and a narrowed ventral part), morphological characteristics, and the ratio of dorsoventral (DV) and anteroposterior (AP) diameter (Table 2). The ventral portion is characterized by a protrusion which is usually less pigmented due to mucus material.
Figure 2.
Ostreopsis cf. ovata: (A,B) Live samples under light microscope, (C) nucleus dyed with SYBR Green 1, (D) antapical view with plate tabulation, (E) epifluorescence observation of cell after Calcofluor White staining, and (F) apical pore (Po) detail under SEM. Scale bars for (A–E) are 20 µm, and scale bar for (F) is 2 µm.
Table 2.
Morphological characteristics of O. cf. ovata cells. Average values (Av) ± standard deviation (SD) of dorsoventral diameter (DV), anteroposterior diameter (AP), and ratio DV/AP, with minimum (min) and maximum (max) (n = 58).
Epifluorescence and SEM microscopy showed a plate pattern Po 3’7’’5’’’2’’’’ (Figure 2D,E and Figure 3A,B,D,E) that fit well with the original description. The average DV/AP ratio was 2.17 (±0.20), ranging from 1.57 to 2.54. The apical pore plate (Po) average length was 8.59 μm (±0.70), ranging from 6.72 to 10.05 μm (n = 65) (Figure 2F and Figure 3F). Thecal plates were smooth with small pores (0.16–0.24 μm) scattered over their surface (Figure 3C). The nucleus, with an average width of 8.70 µm (±1.31) (n = 56), occupied a dorsal position in the cell (Figure 2C).
Figure 3.
Ostreopsis cf. ovata: (A) Hypotheca and epitheca observed by epifluorescence microscopy after staining with Calcofluor White M2R, (B) epithecae showing pore plate Po (arrow) observed by epifluorescence microscopy after staining with Calcofluor White M2R, and (C) thecal plates observed by scanning electron microscopy. The surface appears smooth and perforated by many small pores; scale bar is 1 µm. (D) Hypotheca observed by scanning electron microscopy; scale bar is 3 µm. (E) Epitheca ventral view showing the ventral opening (vo): Filamentous material appears to be discharged through it, confirming its role in mucilage release; scale bar is 10 µm. (F) Epitheca view showing the apical pore plate (Po); scale bar is 10 µm.
2.2. Molecular Analyses
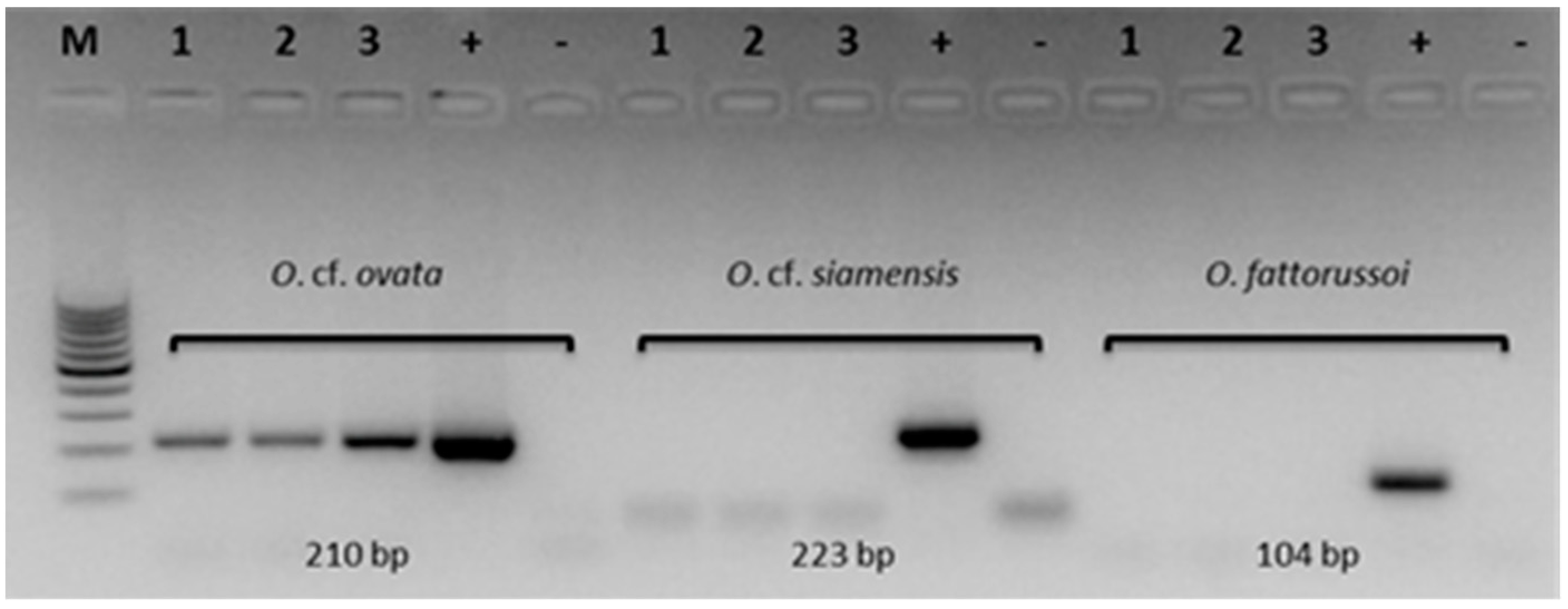
The molecular PCR amplifications were carried out on field samples to detect the presence of the species O. cf. ovata together with O. cf. siamensis and O. fattorussoi. All these Ostreopsis species are present along the coast of the Mediterranean Sea [7,80,81]. These environmental samples contained mixed microphytobenthic assemblages including target taxa. Only the PCR amplified products of expected sizes of O. cf. ovata (210 bp) were detectable in the environmental samples containing Ostreopsis spp. cells. A PCR-based assay identified only O. cf. ovata in the environmental samples, for which species-specific identification of Ostreopsis cells proved quite difficult using LM or needed taxonomical identification confirmation with negative PCR amplification for O. cf. siamensis and O. fattorussoi (Figure 4).
Figure 4.
Species-specific PCR amplification of O. cf. ovata, O. cf. siamensis, and O. fattorussoi on filter samples (1, 2, and 3,) from Kaštela Bay using species-specific primers designed on ITS-5.8S rDNA; positive control of clonal culture O. cf. ovata CBA 3041, O. cf. siamensis CBA CNR-T5, and O. fattorussoi CBA L1000 (+); negative control with sterile water (−). M, 100 bp DNA Ladder molecular size marker.
2.3. Ostreopsis cf. ovata Abundance and Phytoplankton Community Composition
The abundance of O. cf. ovata in seawater in September ranged from 1.5 × 104 to 2.9 × 104 cells L−1. Epiphytic cells recorded on macroalgae ranged from 2.25 × 106 to 2.67 × 106 cells g−1 of fresh weight of macroalgae and 11.4 × 106 to 14.4 × 106 cells g−1 of dry weight of macroalgae. The analysis of the benthic macroalgal assemblage showed the prevalence of the red macroalga Spyridia filamentosa (Wulfen) Harvey (1833) in the sampling area. The maximum abundance of O. cf. ovata was recorded in September during calm weather and with a surface seawater temperature of 23.4 °C. At the beginning of October, with the surface seawater temperature decreasing to 20.8 °C and SE winds of 2 Bf, the abundance of O. cf. ovata decreased by an order of magnitude, with abundances in seawater from 1.28 × 103 to 1.92 × 103 cells L−1. Abundances of epiphytic cells of O. cf. ovata on macroalgae also decreased by an order of magnitude and ranged from 1.66 × 105 to 4.29 × 105 cells g−1 of fresh weight of macroalgae and 6.99 × 105 to 2.66 × 106 cells g−1 of dry weight of macroalgae.
In September, the phytoplankton community in the seawater was dominated by the diatoms Pseudo-nitzschia spp.; Chaetoceros sp.; Guinardia delicatula (Cleve) Hasle, 1997; G. striata (Stolterfoth) Hasle, 1996; Leptocilyndrus danicus Cleve, 1889; Navicula sp.; and Pleurosigma sp. (Table 3). The contribution of O. cf. ovata cells in the water column (2.9 × 104 cells L−1) in September represented up to 10% of the total phytoplankton community, decreasing to less than 1% in October with abundances up to 1.9 × 103 cells L−1. October was also characterized by a strong prevalence of diatoms in the phytoplankton community.
Table 3.
Phytoplankton abundance and community composition in the water column during Ostreopsis bloom in Kaštela Bay in 2015. The table provides the abundances recorded in replicates with maximal abundances of O. cf. ovata.
Ostreopsis cf. ovata was accompanied by the epiphytic dinoflagellate Coolia monotis. Taxonomical identification of C. monotis was based on size and morphological features obtained by SEM (Figure 5). Tabulation was determined according to Balech [82]. Plate 7’’ is characterized by the ratio of width and length of approximately 1. Plate 1’ is placed left of the center. While the abundances of C. monotis in seawater were lower than those of Ostreopsis cells, they were of the same order of magnitude throughout the sampling period. In September, abundances in seawater ranged from 3.20 × 102 to 1.12 × 103 cells L−1. Epiphytic cells recorded on macroalgae ranged from unrecorded to 2.67 × 105 cells g−1 of fresh weight of macroalgae and unrecorded to 1.15 × 106 cells g−1 of dry weight of macroalgae. In October, abundances of C. monotis in seawater ranged from 4.80 × 102 to 1.6 × 103 cells L−1. Epiphytic cells recorded on macroalgae ranged from 2.68 × 104 to 1.35 × 105 cells g−1 of fresh weight of macroalgae and 1.12 × 105 to 8.35 × 105 cells g−1 of dry weight of macroalgae.
Figure 5.
SEM micrographs of Coolia monotis with plate tabulation: (A,D,E) Apical view, (B,C) antapical view, and (F) apical pore (Po) detail. Scale bars for (A,B,D,E) are 10 µm; scale bars for (C,F) are 2 µm.
2.4. Concentration and Characterization of Ostreopsis Toxins
An indirect sandwich immunoenzymatic assay (ELISA) for palytoxin detection carried out on field microalgal samples showed 5.6 pg PLTX equivalents per Ostreopsis cell. A parallel investigation of the detailed toxin profile of O. cf. ovata was carried out by LC-HRMS and quantitative results were compared. Extracted ion chromatograms (XICs) for all the known PLTX congeners revealed the presence of OVTX-a–e and isobaric palytoxin (Figure 6), the identity of which was ascertained by: (i) Comparison of the retention times of individual compounds with those of ovatoxins contained in a reference sample available at the University of Naples Federico II; (ii) the diagnostic ion profile of ovatoxins and palytoxin analogs contained in full HRMS spectra (mass range m/z 800–1400) of each molecule, which represents a fingerprint for this class of molecules (Figure 7); and (iii) elemental formula assigned to the monoisotopic ion peak of each ion (mass tolerance < 3 ppm) and isotopic pattern. The total toxin content measured by LC-HRMS was 6.3 pg cell−1 (Table 4) with OVTX-a being the major component, accounting for 57.1% of the total toxin content, followed by OVTX-b (20.6%), OVTX-d/e (17.5%), OVTX-c (3.2%), and isobaric PLTX (1.6%).
Figure 6.
Extracted ion chromatograms (XICs) of all the palytoxin (PLTX) congeners (ovatoxin (OVTX)-a to -e and isobaric PLTX) identified in the analyzed Ostreopsis cf. ovata extract obtained by selecting the most abundant peak of [M+H+Ca]3+ ion (mass tolerance = 5 ppm) of each toxin, namely: OVTX-a m/z 896.1572, OVTX-b m/z 910.8318, OVTX-c m/z 916.1628, OVTX-d/e m/z 901.4884, and isobaric PLTX m/z 906.8167.
Figure 7.
Liquid chromatography–high-resolution mass spectrometry (LC-HRMS) spectrum of ovatoxin-a, the main component of the O. cf. ovata profile. The spectrum is dominated by the triply charged calcium adduct ion and contains a number of doubly charged ions.
Table 4.
Individual and total toxin concentration measured in O. cf. ovata cells by LC-HRMS (pg cell−1) and total toxin content measured by the indirect sandwich ELISA (pg PLTX eq cell−1).
3. Discussion
For the first time, the benthic dinoflagellates O. cf. ovata and C. monotis from Kaštela Bay were morphologically characterized. Both species were identified on the basis of morphological features, including thecal plate pattern, shape, and size. The thecal plate tabulation of O. cf. ovata cells described in this study (Po 3’7’’5’’’2’’’’) fit well with the original description by Fukuyo [83]. The designation of the thecal plates of O. cf. ovata have changed and been reinterpreted over time. Besada et al. [84] redetermined the first precingular plate determined by Fukuyo [83] as the first apical plate and completed the formula with sulcal and cingular plates (Po 4’6’’6C8S5’’’2’’’’). This new designation that considered the homology of the plates more than the relationship with the apical pore was supported by Fraga et al. [85] and Escalara et al. [86]. In this study, we adopted the original tabulation by Fukuyo [83], which is in accordance with Kofoidean plate nomenclature and accepted by most authors with slight modifications [6,87,88,89]. The identification of O. cf. ovata was further confirmed by the DV/AP ratio, which is for O. siamensis either higher than 4 according to Penna et al. [6] or about 3 according to Aligizaki and Nikolaidis [43], as opposed to the congeneric species O. cf. ovata, which is characterized by a DV/AP ratio lower than 2. In Kaštela Bay, O. cf. ovata was accompanied by C. monotis as it has been observed in other Mediterranean areas [1,4,34,43,53,67,90,91] where O. cf. ovata appeared in association with other benthic dinoflagellates, such as C. monotis and Prorocentrum lima.
In addition, the identification of O. cf. ovata was confirmed by molecular PCR amplification using species-specific primers. In fact, due to the morphological plasticity and variability of Ostreopsis cells with consequent difficulty of species-specific identification, a PCR-based assay was applied to field samples in order to accurately identify the Ostreopsis species, which confirmed the microscopy analysis [69,92,93]. The molecular PCR assay is widely and successfully used because it is accurate, rapid, and reliable when applied to environmental samples [3,94]. It was found that only O. cf. ovata was present in the analyzed samples.
In order to determine the toxin profile of the Ostreopsis species found in Kaštela Bay, we used an indirect sandwich immunoenzymatic assay (ELISA) and LC-HRMS. While ELISA allowed us to measure the total toxin content (5.6 pg PLTXeq cell-1), LC-HRMS analyses provided the individual and total toxin contents. As a result, 6.3 pg of the sum of OVTXs and isobaric PLTX per Ostreopsis cell was measured, showing a prevalence of OVTX-a (3.6 pg cell−1). A comparison between the measurements made by the two approaches (LC-HRMS and ELISA) points to a toxin content of the same order of magnitude. However, due to a lack of replicates, no actual correlation can be extrapolated from the data. These toxin concentrations are similar to those recorded in Ostreopsis cells from the Ligurian Sea [24] but significantly lower than those recorded in the algal cells from the Conero Riviera (NW Adriatic), Catalan Sea, and NE Adriatic Sea [31,67,68] or those obtained from cultured Ostreopsis cells [95]. The absence of human poisoning associated with seafood consumption during O. cf. ovata blooms in the Mediterranean area could be tentatively related to the lower oral toxicity of ovatoxins (mainly OVTX-a) with respect to that of PLTX, as suggested by in vitro studies showing that OVTX-a cytotoxicity is about 100-fold lower than that of PLTX and also has lower hemolytic potency [29]. Nevertheless, the toxin content in O. cf. ovata cells recorded in Kaštela Bay could be related to the health problems recorded in humans exposed to marine aerosol and/or directly to seawater concomitantly with Ostreopsis bloom.
In the last two decades, Ostreopsis blooms have become common in the Mediterranean Sea, regularly occurring during the summer–autumn period (Table 1). According to the available literature, the highest abundances of Ostreopsis species in the Mediterranean Sea were recorded in the Ligurian Sea, along the Marche and Apulia coasts in the Adriatic Sea, the Balearic Sea, and the Catalan Sea. The highest abundances of Ostreopsis cells on macroalgae were reported in 2008 and 2009, while the highest abundances in seawater were reported in 2006, 2010, and 2016. It is interesting to note that all the reported maximal abundances of Ostreopsis species listed in Table 1, occurred during the negative phase of the North Atlantic Oscillation (NAO) index. The exception was in 2016, when blooms occurred during the positive phase of the NAO index, but this was preceded by a strong negative phase. A negative phase of the NAO index is characterized by a reduced pressure gradient, resulting in fewer and weaker winter storms that bring moist air into the Mediterranean. The analysis of precipitation data along the Croatian coast has shown a significant negative correlation with the NAO index [96].
In comparison with previously reported Ostreopsis occurrence in the Mediterranean Sea (Table 1) the abundance of epiphytic cells of O. cf. ovata recorded in this study was one of the highest recorded abundances and was accompanied by citizen complaints. At the same time, in the summer of 2015, a massive occurrence of Ostreopsis species in the northern Adriatic near Rovinj, Croatia was recorded by a scientist from the Ruđer Bošković. Many complaints from citizens on a Facebook page that was opened regarding that event were received. Several years ago, there was a mass appearance of Ostreopsis species in the same area in the vicinity of Rovinj [31]. These findings point to the importance of introducing beach monitoring regarding the presence of Ostreopsis bloom along the Croatian coast, as is already done along the Italian coast [79].
Since Ostreopsis sp. bloom events are commonly associated with summer periods, some authors have proposed global warming as being the determining influence on Ostreopsis events [97,98]. The reported bloom of O. cf. ovata in Kaštela Bay in 2015 was associated with a trend of increasing sea surface temperatures in the bay. A linear trend analysis of sea surface temperature in the area of the eastern middle Adriatic shows the existence of an upward summer sea surface temperature trend (July–September) (Figure 8). In the last few decades (1979–2015), a positive trend has been observed in the entire Eastern Adriatic Sea [99], with several records of extreme sea surface temperatures in the warming season as a result of heat waves passing over Europe. Those heat waves hit Europe, North Africa, and the Middle East in the late spring and summer, where many new temperature records were measured. The heat continued in September, spreading across Eastern Europe. Modeling experiments suggest that anthropogenic forcing was a major factor in setting the conditions for the development of the 2015 heat wave [100]. According to the Croatian National Meteorological and Hydrological Service (DHMZ), the summer of 2015 in the middle Adriatic was generally dry, except for a rainy August, compared with the climatological average (http://meteo.hr/index_en.php).
Figure 8.
(A) Time series of the SST values for the summer period (JAS) and (B) associated linear trends at the Split coastal station according to Grbec et al. [99].
In contrast, some studies have shown that the growth of this species is not exclusively related to temperature [2]. These results are supported by the fact that in various parts of the Mediterranean, blooms of Ostreopsis appeared in different seasons contrary to the expectations regarding to the summer temperature of sea water [2,4]. Namely, according to the previous studies and the results of this research, the bloom in the Adriatic occurred in September, while in the Ligurian and Tyrrhenian Seas highest cell abundances are reported to occur earlier, in midsummer (July and August) [22,48,62] although summer temperatures are higher in the Adriatic Sea [2]. Based on these findings Mangalajo et al. [2] hypothesized that threshold temperature is required for Ostreopsis proliferation and maximal abundance is site specific related beside the temperature with others environmental factors as nutrients, substrate characteristic including macroalgal communities, biotic interactions as well as waves and currents. Hydrodynamics is an important factor involved in the ending of Ostreopsis bloom as demonstrated by earlier reports and results of this study. The observed intense bloom of O. cf. ovata in Kaštela Bay occurred during calm weather in September and decreased by an order of magnitude over a 12-day period, with lower temperatures and windy weather in October, confirming the importance of specific hydrodynamic conditions for the dynamics of Ostreopsis blooms previously reported by Accoroni and Totti [81]. The significant effect of hydrodynamics for Ostreopsis cells in seawater was confirmed by an investigation in the Ligurian Sea, while benthic stocks seem much more resistant to wave motion [101]. The benthic stock in this study also decreased by an order of magnitude but still remained high.
4. Conclusions
Ostreopsis species are generally occurred in tropical waters, but its occurrence spread world-wide and its massive occurrence is well documented in the Mediterranean Sea (Table 1). Kaštela Bay is reported as a new site where O. cf. ovata blooms occurred causing the brown floating aggregate appeared in shallow parts. Since a massive occurrence of this species was recorded in the northern Adriatic Sea (near Rovinj) in the same year that this bloom occurred, as well as a few years ago, a monitoring program of toxic Ostreopsis species along the eastern Adriatic coast should be introduced to prevent health problems. OVTX-a was found to be the dominant toxin in the toxin profile, accounting for 57.1% of the total toxin content followed by OVTX-b (20.6%), OVTX-d/e (17.5%), OVTX-c (3.2%), and isobaric PLTX (1.6%), which was in good agreement with the toxin profile identified in the frame of a previous study on a number of different Mediterranean O. cf. ovata strains [102].
5. Materials and Methods
5.1. Sampling
Based on complaints of citizens about adverse effects associated with the bloom of Ostreopsis, sampling of phytoplankton and the macroalgal community was performed in September and October 2015 near the beach in Kaštela Bay (Figure 9). Seawater samples were taken by a Niskin sampler to determine the abundance of Ostreopsis spp. cells. Substrate macroalgae at a 1-m depth were scraped from stones using a rectangular frame (20 × 20 cm) and shaken in 6 L of seawater. Seawater samples and substrate macroalgae were taken in triplicates with about a 3-m distance, making a total of 12 samples. Two subsamples of each final shake were fixed for the taxonomical identification of Ostreopsis, using both light and electron microscopes. The rest of the final shake was filtered by gravity on a 0.45-μm filter (Millipore membrane filters) to separate algal cells from the seawater. Pellets on the filter were frozen at −20 °C for subsequent toxin analyses and taxonomic identification by molecular analyses.
Figure 9.
Central Adriatic shoreline with the location of the recorded Ostreopsis bloom.
5.2. Microscopy Determinations
Phytoplankton community composition and abundance were analyzed according to the Utermöhl method [103]. Taxonomic identification of Ostreopsis species was performed using epifluorescence microscopy after Calcofluor treatment and SEM. For epifluorescence microscopy, cells were fixed with 2% EM-grade glutaraldehyde dissolved in filtered seawater, stained with Calcofluor White M2R (Sigma-Aldrich, St. Louis, MO, USA) and SYBR Green (Lonza, Rockland, ME, USA)), and observed at 400× magnification using the epifluorescence microscope Zeiss AxioObserver Z1 (Carl Zeiss AG, Oberkochen, Germany) with Zeiss Filter Set 34 (excitation: 379–401 nm, emission: 435–485 nm, and beam splitter: 420 nm) and image acquisition by a Zeiss AxioCam MR M3 camera and epifluorescence microscope Leica DMI4000 B (Leica Microsystems; Wetzlar, Germany). For SEM observations, samples were preserved with 2% EM-grade glutaraldehyde, which was dissolved in filtered seawater. Subsequently, the samples were washed in 1:1 seawater/distilled water and then in distilled water. After that, samples were dehydrated in a gradual series of ethanol solutions and then critical-point dried with liquid carbon dioxide. Finally, samples were sputter-coated with gold and observed with LEICA STEREOSCAN 430i (Leica Microsystems; Wetzlar, Germany), FEI Quanta 200 (FEI, Thermo Fisher Scientific, Hillisbo, OR, USA), and MIRA 3 (Tescan, Brno, Czech Republic) scanning electron microscopes.
5.3. Molecular Analyses
Filter samples containing Ostreopsis cells were rinsed with sterile filtered seawater, the recovered volume (4 mL) was centrifuged at 4000× g for 10 min, and the supernatant was discharged. A second rinse with 1 mL of sterile filtered seawater was performed and the suspension was centrifuged at 1000× g for 10 min. Total genomic DNA was extracted from the obtained cell pellets using the DNeasy Plant Kit, and species-specific PCR assays for O. cf. ovata, O. cf. siamensis, and O. fattorussoi were carried out by amplifying 1 ng of genomic DNA according the protocols described by Battocchi et al. [3] and Vassalli et al. [104]. Expected amplicon size were 210, 223, and 104 base pair (bp) for O. cf. ovata, O. cf. siamensis, and O. fattorussoi, respectively. The PCR products were resolved on a 1.8% (w/v) agarose gel, 1× TAE buffer gel and were visualized by GelRed staining under UV light.
5.4. Chemical and Immunoenzymatic Analyses
5.4.1. Extraction
A cell pellet was added to 3 mL of methanol/water (1:1, v/v) and extraction was performed by pulse sonication for 10 min in an ice bath. Centrifugation (6500 rpm for 1 min) was carried out to separate the supernatant from the residue. The extraction procedure was repeated twice on the pellet with 2 mL of methanol/water, combining the extracts to a final volume of 7 mL. The extract was analyzed by an indirect sandwich immunoenzymatic assay and liquid chromatography–high-resolution mass spectrometry.
5.4.2. Indirect Sandwich Immunoenzymatic Assay (ELISA)
The microalgal extract was analyzed by an indirect sandwich ELISA, as described by Boscolo et al. [105]. Briefly, ELISA multiwell strips were coated with the capture antibody by overnight incubation with 100 μL well−1 of mouse monoclonal anti-PLTX 73D3 antibody (20 μg mL−1) at 4 °C. Then, the wells were blocked with 200 μL of 2% skimmed milk (w/v) dissolved in PBS containing 0.1% Tween 20 (PBS-Tw) for 1 h at room temperature (RT) and incubated for 2 h at RT with 100 μL of PLTX solution (at different PLTX concentrations to obtain a calibration curve) or the microalgal extract solution in PBS-Tw (1:10). The wells were washed and incubated with the secondary antibody (100 μL well−1 of purified rabbit polyclonal anti-PLTX antibodies, 0.17 μg mL−1) for 2 h at RT. After washings, each well was incubated with the detection antibody (100 μL of horseradish peroxidase-conjugated goat anti-rabbit polyclonal antibodies, 1:2000) for 1 h at RT. After washings, the substrate and chromogen solution (3,3’,5,5’-tetramethylbenzidine, 60 μL) was added to each well and the colorimetric reaction was stopped after 30 min by 30 μL of 1 M H2SO4. The absorbance of each well solution was measured at 450 nm (Spectra photometer; Tecan Italia; Milan, Italy). PLTX equivalents in the microalgal extract were determined by translating the absorbance into concentration by extrapolation from a PLTX calibration curve and are reported as mean of three independent experiments performed in triplicate.
5.4.3. Liquid Chromatography–High-Resolution Multiple Stage Mass Spectrometry (LC-HRMSn)
A hybrid linear ion trap LTQ Orbitrap XLTM Fourier transform MS (FTMS) with an ESI ION MAXTM source (Thermo-Fisher, San Josè, CA, USA) system coupled to a Dionex Ultimate 3000 quaternary system was used for analyzing the crude algal extract (injection volume = 5 µL). A Poroshell 120 EC-C18 (2.7 μm, 2.1 × 100 mm) (Agilent, USA) column kept at room temperature was used eluted with mobile phases (A = water and B = 95% acetonitrile/water), both added of 30 mM acetic acid. Flow was set at 0.2 mL min-1. A good chromatographic separation among most PLTX congeners was obtained by using a slow gradient elution: 28–29% B over 5 min, 29–30% B over 10 min, 30–100% B in 1 min, and held for 5 min [23].
Positive ion HR full scan MS experiments were acquired in the range m/z 800–1400 at a resolving power of 60,000 (FWHM at m/z 400). Ionization source parameters were the followings: Spray voltage = 4.8 kV, capillary temperature = 290 °C, capillary voltage = 17 V, sheath gas = 32 and auxiliary gas = 4 (arbitrary units), and tube lens voltage = 145 V. HR collision-induced dissociation (CID) MS2 experiments were acquired at a resolving power of 60,000 using a collision energy of 35%, isolation width of 4.0 Da, activation Q of 0.250, and activation time of 30 ms. The most intense peaks of the [M + H + Ca]3+ ion cluster of isobaric palytoxin and individual ovatoxins were used as precursors. The monoisotopic peak of each ion cluster was used for calculating elemental composition (Xcalibur software v2.0.7 at a mass tolerance constraint of 5 ppm). The isotopic pattern of each ion cluster was considered in ion assignment.
Extracted ion chromatograms of the [M + H + Ca]3+ ion of each known PLTX congener were used for quantitation. A not certified PLTX standard was used to prepare a calibration curve at five levels of concentration (100, 50, 25, 12.5, and 6.25 ng mL−1), which was used for OVTX and isobaric PLTX determination in the crude extract by assuming that their molar responses were similar to that of PLTX. Calibration curve equation was y = 31657x − 211166 and its linearity was expressed by R2 = 0.9987.
Author Contributions
Conceptualization and writing the original draft manuscript, Ž.N.G.; Taxonomy determination based on electron microscopy, writing review and editing, corresponding, J.A.; Molecular analysis, S.C.; Writing methodology and results of molecular analysis, writing review and editing, A.P.; Taxonomy determination based on electron microscopy, writing review and editing, SEM image creation, G.H.; Indirect sandwich immunoenzymatic assay for toxins determination, writing review and editing, V.B.; Immunoenzymatic analyses, M.P.; Acquisition and interpretation of LC-HRMS analyses, writing review and editing, L.T.; Sample preparation for chemical analyses, writing review and editing, S.S. (Silvio Sosa); Interpretation and writing of LC-HRMS results, writing review and editing, C.D.; Indirect sandwich immunoenzymatic assay (ELISA), A.T.; Sampling, the analysis of the benthic macroalgal assemblage, drawing sampling chart, A.Ž.; Collecting and analyzing sea temperature data in Kaštela Bay, B.G.; Review of literature and collecting information about the appearance of Ostreopsis species, M.Č.; Creating and editing SEM images, administrator, M.B.; Sampling of seawater, determination based on light microscopy, images creation, A.B.; Review of literature and collecting information about the appearance of Ostreopsis species, S.S (Sanda Skejić).
Funding
This research was fully funded by the Croatian Science Foundation under the project (IP-2014-09-3606), MARIPLAN.
Acknowledgments
This work has been fully supported by Croatian Science Foundation under the project (IP-2014-09-3606), MARIPLAN. The authors are grateful to the anonymous reviewers for their valuable comments and Ms. Srđana Rožić and Mr. Helio Prelesnik for their contribution in field work.
Conflicts of Interest
The authors declare no conflict of interest.
References
- Vila, M.; Garcés, E.; Masó, M. Potentially toxic epiphytic dinoflagellates assemblages on macroalgae in the NW Mediterranean. Aquat. Microb. Ecol. 2001, 26, 51–60. [Google Scholar] [CrossRef]
- Mangialajo, L.; Ganzin, N.; Accoroni, S.; Asnaghi, V.; Blanfuné, A.; Cabrini, M.; Cattaneo-Vietti, R.; Chavanon, F.; Chiantore, M.; Cohu, S.; et al. Trends in Ostreopsis proliferation along the Northern Mediterranean coasts. Toxicon 2011, 57, 408–420. [Google Scholar] [CrossRef] [PubMed]
- Battocchi, C.; Totti, C.; Vila, M.; Masó, M.; Capellacci, S.; Accoroni, S.; Reñé, A.; Scardi, M.; Penna, A. Monitoring toxic microalgae Ostreopsis (dinoflagellate) species in coastal waters of the Mediterranean Sea using molecular PCR-based assay combined with light microscopy. Mar. Pollut. Bull. 2010, 60, 1074–1084. [Google Scholar] [CrossRef]
- Totti, C.; Accoroni, S.; Cerino, F.; Cucchiari, E.; Romagnoli, T. Ostreopsis ovata bloom along the Conero Riviera (northern Adriatic Sea): Relationships with environmental conditions and substrata. Harmful Algae 2010, 9, 233–239. [Google Scholar] [CrossRef]
- Penna, A.; Fraga, S.; Battocchi, C.; Casabianca, S.; Perini, F.; Cappellacci, S.; Casabianca, A.; Riobó, P.; Giacobbe, M.G.; Totti, C.; et al. Genetic diversity of the genus Ostreopsis Schmidt: Phylogeographical considerations and molecular methodology applications for field detection in the Mediterranean Sea. Cryptogamie Algol. 2012, 33, 153–163. [Google Scholar] [CrossRef]
- Penna, A.; Vila, M.; Fraga, S.; Giacobbe, M.G.; Andreoni, F.; Riobó, P.; Vernesi, C. Characterization of Ostreopsis and Coolia (Dinophyceae) isolates in the Western Mediterranean Sea based on morphology, toxicity and internal transcribed spacer 5.8 S rDNA sequences. J. Phycol. 2005, 41, 212–225. [Google Scholar] [CrossRef]
- Penna, A.; Fraga, S.; Battocchi, C.; Casabianca, S.; Giacobbe, M.G.; Riobó, P.; Vernesi, C. A phylogeographical study of the toxic benthic dinoflagellate genus Ostreopsis Schmidt. J. Biogeogr. 2010, 37, 830–841. [Google Scholar] [CrossRef]
- Accoroni, S.; Romagnoli, T.; Penna, A.; Capellacci, S.; Ciminiello, P.; Dell’Aversano, C.; Tartaglione, L.; Abboud-Abi Saab, M.; Giussani, V.; Asnaghi, V.; et al. Ostreopsis fattorussoi sp. nov. (Dinophyceae), a new benthic toxic Ostreopsis species from the eastern Mediterranean Sea. J. Phycol. 2016, 52, 1064–1084. [Google Scholar] [CrossRef] [PubMed]
- Tichadou, L.; Glaizal, M.; Armengaud, A.; Grossel, H.; Lemée, R.; Kantin, R.; Lasalle, J.L.; Drouet, G.; Rambaud, L.; Malfait, P.; et al. Health impact of unicellular algae of the Ostreopsis genus blooms in the Mediterranean Sea: Experience of the French Mediterranean coast surveillance network from 2006 to 2009. Clin. Toxicol. 2010, 48, 839–844. [Google Scholar] [CrossRef] [PubMed]
- Durando, P.; Ansaldi, F.; Oreste, P.; Moscatelli, P.; Marensi, L.; Grillo, C.; Gasparini, R.; Icardi, G. Ostreopsis ovata and human health: Epidemiological and clinical features of respiratory syndrome outbreaks from a two year syndromic surveillance, 2005–2006, in northwest Italy. Euro Surveill. 2007, 12, 3212. [Google Scholar]
- Del Favero, G.; Sosa, S.; Pelin, M.; D’Orlando, E.; Florio, C.; Lorenzon, P.; Poli, M.; Tubaro, A. Sanitary problems related to the presence of Ostreopsis spp. in the Mediterranean Sea: A multidisciplinary scientific approach. Ann. Ist. Super. Sanita 2012, 48, 407–414. [Google Scholar] [CrossRef] [PubMed]
- Ciminiello, P.; Dell’Aversano, C.; Dello Iacovo, E.; Fattorusso, E.; Forino, M.; Tartaglione, L.; Benedettini, G.; Onorari, M.; Serena, F.; Battocchi, C.; Casabianca, S.; Penna, A. First finding of Ostreopsis cf. ovata toxins in marine aerosols. Environ. Sci. Technol. 2014, 48, 3532–3540. [Google Scholar] [CrossRef] [PubMed]
- Tubaro, A.; Durando, P.; Del Favero, G.; Ansaldi, F.; Icardi, G.; Deeds, J.R.; Sosa, S. Case definitions for human poisonings postulated to palytoxins exposure. Toxicon 2011, 57, 478–495. [Google Scholar] [CrossRef] [PubMed]
- Casabianca, S.; Casabianca, A.; Riobó, P.; Franco, J.; Vila, M.; Penna, A. Quantification of the toxic dinoflagellate Ostreopsis spp. by qPCR assay in marine aerosol. Environ. Sci. Technol. 2013, 47, 3788–3795. [Google Scholar] [CrossRef] [PubMed]
- Fukui, M.; Murata, M.; Inoue, A.; Gawel, M.; Yasumoto, T. Occurrence of palytoxin in the trigger fish Melichtys vidua. Toxicon 1987, 25, 1121–1124. [Google Scholar] [CrossRef]
- Kodama, A.M.; Hokama, Y.; Yasumoto, T.; Fukui, M.; Manea, S.J.; Sutherland, N. Clinical and laboratory findings implicating palytoxin as cause of ciguatera poisoning due to Decapterus macrosoma (mackerel). Toxicon 1989, 27, 1051–1053. [Google Scholar] [CrossRef]
- Onuma, Y.; Satake, M.; Ukena, T.; Roux, J.; Chanteau, S.; Rasolofonirina, N.; Ratsimaloto, M.; Naoki, H.; Yasumoto, T. Identification of putative palytoxin as the cause of clupeotoxism. Toxicon 1999, 37, 55–65. [Google Scholar] [CrossRef]
- Taniyama, S.; Arakawa, O.; Terada, M.; Nishio, S.; Takatani, T.; Mahmud, Y.; Noguchi, T. Ostreopsis sp., a possible origin of palytoxin (PTX) in parrotfish Scarus ovifrons. Toxicon 2003, 42, 29–33. [Google Scholar] [CrossRef]
- Wu, M.L.; Yang, C.C.; Deng, J.F.; Wang, K.Y. Hyperkalemia, hyperphosphatemia, acute kidney injury, and fatal dysrhythmias after consumption of palytoxin-contaminated goldspot herring. Ann. Emerg. Med. 2014, 64, 633–636. [Google Scholar] [CrossRef]
- Yasumoto, T.; Yasumura, D.; Ohizumi, Y.; Takahashi, M.; Alcala, A.C.; Alcala, L.C. Palytoxin in two species of xanthid crab from the Philippines. Agric. Biol. Chem. 1986, 50, 163–167. [Google Scholar]
- Alcala, A.C.; Alcala, L.C.; Garth, J.S.; Yasumura, D.; Yasomoto, T. Human fatality due to ingestion of the crab Demania rynaudii that contained a palytoxin-like toxin. Toxicon 1988, 26, 105–107. [Google Scholar] [CrossRef]
- Ciminiello, P.; Dell’Aversano, C.; Fattorusso, E.; Forino, M.; Magno, G.S.; Tartaglione, L.; Grillo, C.; Melchiorre, N. The Genoa 2005 outbreak. Determination of Putative Palytoxin in Mediterranean Ostreopsis ovata by a New Liquid Chromatography Tandem Mass Spectrometry Method. Anal. Chem. 2006, 78, 6153–6159. [Google Scholar] [CrossRef] [PubMed]
- García-Altares, M.; Tartaglione, L.; Dell’Aversano, C.; Carnicer, O.; de la Iglesia, P.; Forino, M.; Diogéne, J.; Ciminiello, P. The Novel Ovatoxin-g and Isobaric Palytoxin (so far referred to as Putative Palytoxin) from Ostreopsis cf. ovata (NW Mediterranean Sea): Structural Insights by LC-High Resolution MSn. Anal. Bioanal. Chem. 2015, 407, 1191–1204. [Google Scholar]
- Ciminiello, P.; Dell’Aversano, C.; Fattorusso, E.; Forino, M.; Tartaglione, L.; Grillo, C.; Melchiorre, N. Putative palytoxin and its new analogue, ovatoxin-a, in Ostreopsis ovata collected along the Ligurian coasts during the 2006 toxic outbreak. J. Am. Soc. Mass Spectrom. 2008, 19, 111–120. [Google Scholar] [CrossRef]
- Ciminiello, P.; Dell’Aversano, C.; Dello Iacovo, E.; Fattorusso, E.; Forino, M.; Grauso, L.; Tartaglione, L.; Guerrini, F.; Pistocchi, R. Complex palytoxin-like profile of Ostreopsis ovata. Identification of four new ovatoxins by high-resolution liquid chromatography/mass spectrometry. Rapid Commun. Mass Sp. 2010, 24, 2735–2744. [Google Scholar] [CrossRef] [PubMed]
- Ciminiello, P.; Dell’Aversano, C.; Dello Iacovo, E.; Fattorusso, E.; Forino, M.; Grauso, L.; Tartaglione, L.; Guerrini, F.; Pezzolesi, L.; Pistocchi, R.; et al. Isolation and structure elucidation of ovatoxin-a, the major toxin produced by Ostreopsis ovata. J. Am. Chem. Soc. 2012, 134, 1869–1875. [Google Scholar] [CrossRef]
- Rossi, R.; Castellano, V.; Scalco, E.; Serpe, L.; Zingone, A.; Soprano, V. New palytoxin-like molecules in Mediterranean Ostreopsis cf. ovata (dinoflagellates) and in Palythoa tuberculosa detected by liquid chromatography-electrospray ionization time-of-flight mass spectrometry. Toxicon 2010, 56, 1381–1387. [Google Scholar] [CrossRef] [PubMed]
- Funari, E.; Manganelli, M.; Testai, E. Ostreopsis cf. ovata blooms in coastal water: Italian guidelines to assess and manage the risk associated to bathing waters and recreational activities. Harmful Algae 2015, 50, 45–56. [Google Scholar] [CrossRef]
- Pelin, M.; Forino, M.; Brovedani, V.; Tartaglione, L.; Dell’Aversano, C.; Pistocchi, R.; Poli, M.; Sosa, S.; Florio, C.; Ciminiello, P.; et al. Ovatoxin-a, a palytoxin analogue isolated from Ostreopsis cf. ovata Fukuyo: Cytotoxic activity and ELISA detection. Environ. Sci. Technol. 2016, 50, 1544–1551. [Google Scholar] [CrossRef]
- Marasović, I. Proportion of dinoflagellates in the phytoplankton community of the Middle Adriatic with special regard to “red tide” and toxic species (in Croatian). Ph.D. Thesis, University of Zagreb, Zagreb, Croatia, May 1990. [Google Scholar]
- Pfannkuchen, M.; Godrijan, J.; Marić Pfannkuchen, D.; Iveša, L.; Kružić, P.; Ciminiello, P.; Dell’Aversano, C.; Dello Iacovo, E.; Fattorusso, E.; Forino, M.; et al. Toxin-producing Ostreopsis cf. ovata are likely to bloom undetected along Coastal Areas. Environ. Sci. Technol. 2012, 46, 5574–5582. [Google Scholar] [CrossRef] [PubMed]
- Zingone, A.; Siano, R.; Alelio, D.D.; Sarno, D. Potentially toxic and harmful microalgae from coastal waters of the Campania region (Tyrrhenian Sea, Mediterranean Sea). Harmful Algae 2006, 5, 321–337. [Google Scholar] [CrossRef]
- Abboud-Abi Saab, M. Les dinoflagellés des eaux côtières libanaises-espèces rares ou nouvelles du phytoplancton marin. Leban. Sci. Bull. 1989, 5, 5–16. [Google Scholar]
- Tognetto, L.; Bellato, S.; Moro, I.; Andreoli, C. Occurrence of Ostreopsis ovata (Dinophyceae) in the Tyrrhenian Sea during summer 1994. Bot. Mar. 1995, 38, 291–295. [Google Scholar] [CrossRef]
- Vila, M.; Camp, J.; Garcés, E.; Masó, M.; Delgado, M. High resolution spatial-temporal detection of HABs in confined waters of the NW Mediterranean. J. Plankton Res. 2001, 23, 497–514. [Google Scholar] [CrossRef]
- Vila, M.; Masó, M.; Sampedro, N.; Illoul, H.; Arin, L.; Garcés, E.; Giacobbe, M.G.; Alvarez, J.; Camp, J. The genus Ostreopsis in the recreational waters of the Catalan Coast and Balearic Islands (NW Mediterranean Sea): Is this the origin of human respiratory difficulties? In Proceedings of the 12th International Conference of Harmful Algae, Copenhagen, Denmark, 4–8 September 2006; International Society for the Study of Harmful Algae and Intergovernmental Oceanographic Commission of UNESCO: Copenhagen, Denmark, 2008; pp. 334–336. [Google Scholar]
- Sansoni, G.; Borghini, B.; Camici, G.; Casotti, M.; Righini, P.; Rustighi, C. Fioriture algali di Ostreopsis ovata (Gonyaulacales: Dinophyceae): Un problema emergente. Biologia Ambientale 2003, 17, 17–23. [Google Scholar]
- Turki, S.; Harzallah, A.; Sammari, C. Occurrence of harmful dinoflagellates in two different Tunisian ecosystems: The lake of Bizerte and the Gulf of Gabes. Cah. Biol. Mar. 2006, 47, 253–259. [Google Scholar]
- Abboud-Abi Saab, M.; Fakhri, M.; Kassab, M.T.; Matar, N. Seasonal and spatial variations of the dinoflagellate Ostreopsis siamensis in the Lebanese coastal waters (Eastern Mediterranean). Cryptogamie Algol. 2013, 34, 57–67. [Google Scholar] [CrossRef]
- Turki, S. Distribution of toxic dinoflagellates along the leaves of seagrass Posidonia oceanica and Cymodocea nodosa from the Gulf of Tunis. Cah. Biol. Mar. 2005, 46, 29–34. [Google Scholar]
- Simoni, F.; Gaddi, A.; Di Paolo, C.; Lepri, L. Harmful epiphytic dinoflagellates on Tyrrhenian Sea. Harmful Algae News 2003, 24, 13–14. [Google Scholar]
- Gallitelli, M.; Ungaro, N.; Addante, L.M.; Procacci, V.; Silver, N.G.; Sabbà, C. Respiratory illness as a reaction to tropical algal blooms occurring in a temperate climate. Jama 2005, 293, 2595–2600. [Google Scholar]
- Aligizaki, K.; Nikolaidis, G. The presence of the potentially toxic genera Ostreopsis and Coolia (Dinophyceae) in the North Aegean Sea, Greece. Harmful Algae 2006, 5, 717–730. [Google Scholar] [CrossRef]
- Aligizaki, K.; Katikou, P.; Nikolaidis, G.; Panou, A. First episode of shellfish contamination by palytoxin-like compounds from Ostreopsis species (Aegean Sea, Greece). Toxicon 2008, 51, 418–427. [Google Scholar] [CrossRef] [PubMed]
- Ismael, A.; Halim, Y. Potentially harmful Ostreopsis spp. in the coastal waters of Alexandria- Egypt. Medit. Mar. Sci. 2012, 13, 208–212. [Google Scholar] [CrossRef]
- Spatharis, S.; Dolapsakis, N.P.; Economou-Amilli, A.; Tsirtsis, G.; Danielidis, D.B. Dynamics of potentially harmful microalgae in a confined Mediterranean Gulf - Assessing the risk of bloom formation. Harmful Algae 2009, 8, 736–743. [Google Scholar] [CrossRef]
- Amzil, Z.; Sibat, M.; Chomerat, N.; Grossel, H.; Marco-Miralles, F.; Lemee, R.; Nezan, E.; Sechet, V. Ovatoxin-a and palytoxin accumulation in seafood in relation to Ostreopsis cf. ovata blooms on the French. Mar. Drugs 2012, 10, 477–496. [Google Scholar] [CrossRef] [PubMed]
- Mangialajo, L.; Bertolotto, R.; Cattaneo-Vietti, R.; Chaintore, M.; Grillo, C.; Lemee, R.; Melchiorre, N.; Moretto, P.; Povero, P.; Ruggieri, N. The toxic benthic dinoflagellate Ostreopsis ovata: Quantification of proliferation along the coastline of Genoa, Italy. Mar. Pollut. Bull. 2008, 56, 1209–1214. [Google Scholar] [CrossRef] [PubMed]
- Vila, M.; Arin, L.; Battocchi, C.; Bravo, I.; Fraga, S.; Penna, A.; Reñé, A.; Riobó, P.; Rodriguez, F.; Sala, M.M.; et al. Management of Ostreopsis blooms in recreational waters along the Catalan coast (NW Mediterranean Sea): Cooperation between a research project and a monitoring program. Cryptogamie Algol. 2012, 33, 143–152. [Google Scholar] [CrossRef]
- Turki, S.; Balti, N.; Aissaoui, A.; Armi, Z. Ostreopsis cf. siamensis proliferations in coastal water of Bizerte, Northern Tunisia. Harmful Algae News 2010, 42, 4–5. [Google Scholar]
- Abbate, M.; Bordone, A.; Cerrati, G.; Lisca, A.; Peirano, A. Variabilità della distribuzione e densità di Ostreopsis ovata nel Golfo della Spezia. Biol. Mar. Mediterr. 2007, 14, 286–287. [Google Scholar]
- Totti, C.; Cucchiari, E.; Romagnoli, T.; Penna, A. Bloom of Ostreopsis ovata on the Conero riviera (NW Adriatic Sea). Harmful Algae News 2007, 33, 12–13. [Google Scholar]
- Monti, M.; Minocci, M.; Beran, A.; Iveša, L. First record of Ostreopsis cfr. ovata on macroalgae in the Northern Adriatic Sea. Mar. Pollut. Bull. 2007, 54, 598–601. [Google Scholar] [CrossRef] [PubMed]
- Cohu, S.; Thibaut, T.; Mangialajo, L.; Labat, J.P.; Passafiume, O.; Blanfuné, A.; Simon, N.; Cottalorda, J.M.; Lemée, R. Occurrence of the toxic dinoflagellate Ostreopsis cf. ovata in relation with environmental factors in Monaco (NW Mediterranean). Mar. Pollut. Bull. 2011, 62, 2681–2691. [Google Scholar] [CrossRef]
- Halim, Y. First IOC/HANA workshop on harmful algal blooms in North Africa. Harmful Algae News 2007, 35, 1–2. [Google Scholar]
- Ungano, N.; Assennato, G.; Blonda, M.; Cudillo, B.; Petruzzelli, M.R.; Mariani, M.; Pastorelli, A.M.; Aliquò, M.R.; D’Angela, A.; Aiello, C.; et al. Occurrence of the potentially toxic dinoflagellate Ostreopsis ovata along the apulian coastal areas (Southern Italy) and relationship with anthropogenic pollution. Fresenius Environ. Bull. 2010, 19, 1813–1821. [Google Scholar]
- Milandri, A.; Ceredi, A.; Riccardi, E.; Gasperetti, L.; Susini, F.; Casotti, M.; Faiman, L.; Pigozzi, S. Impact of Ostreopsis ovata on marine benthic communities: Accumulation of palytoxins in suffering mussels, sea urchins and octopuses from Italy. In Abstract Book of the 14th International Conference on Harmful Algae, Hersonissons-Crete, Greece, 1–5 November 2010; Pagou, K., Hallegraeff, G., Eds.; International Society for the Study of Harmful Algae and Intergovernmental Oceanographic Commission of UNESCO: Copenhagen, Denmark, 2013; p. 92. ISBN 978-87-990827-3-5. [Google Scholar]
- Ingarao, C.; Lanciani, G.; Teodori, A.; Pagliani, T. First presence of Ostreopsis cf. ovata (Dinophyceae) along Abruzzo coasts (W Adriatic Sea). Biol. Mar. Medit. 2009, 16, 172–173. [Google Scholar]
- Illoul, H.; Masó, M.; Demestre, M.; Fortuño, J.M.; De Juan, S. Harmful algae in Bou-Ismaïl Bay coastal waters during August 2008 cruise (Algerian coast). (AECI/ MESRS A/010153/07 Project). In Proceedings of the IOC/HANA Second workshop on Harmful Algal Blooms in North Africa, Alexandria, Egypt, 7–9 November 2009. [Google Scholar]
- Vila, M.; Riobó, P.; Bravo, I.; Masó, M.; Penna, A.; Reñé, A.; Sala, M.; Battocchi, C.; Fraga, S.; Rodriguez, F.; et al. A three-year time series of toxic Ostreopsis blooming in a NW Mediterranean coastal site: Preliminary results. In Proceedings of the 14th International Conference on Harmful Algae, Hersonissons-Crete, Greece, 1–5 November 2010; Pagou, K., Hallegraeff, G., Eds.; International Society for the Study of Harmful Algae and Intergovernmental Oceanographic Commission of UNESCO: Copenhagen, Denmark, 2013; pp. 102–104, ISBN 978-87-990827-3-5. [Google Scholar]
- Mabrouk, L.; Hamza, A.; Brahim, M.B.; Bradai, M.N. Temporal and depth distribution of microepiphytes on Posidonia oceanica (L.) Delile leaves in a meadow off Tunisia. Mar. Ecol. 2011, 32, 148–161. [Google Scholar] [CrossRef]
- Cohu, S.; Mangialajo, L.; Thibaut, T.; Blanfuné, A.; Marro, S.; Lemée, R. Proliferation of the toxic dinoflagellate Ostreopsis cf. ovata in relation to depth, biotic substrate and environmental factors in the North West Mediterranean Sea. Harmful Algae 2013, 24, 32–44. [Google Scholar] [CrossRef]
- Bushati, M.; Koni, E.; Miho, A.; Bregaj, M. Temporal distribution of potentially toxic algae (dinoflagellates and diatoms) in Butrinti lagoon. Nat. Montenegr. 2010, 9, 307–319. [Google Scholar]
- Pagliara, P.; Caroppo, C. Toxicity assessment of Amphidinium carterae, Coolia cfr. monotis and Ostreopsis cfr. ovata (Dinophyta) isolated from the northern Ionian Sea (Mediterranean Sea). Toxicon 2012, 60, 1203–1214. [Google Scholar] [CrossRef]
- Illoul, H.; Hernández, F.R.; Vila, M.; Adjas, N.; Younes, A.A.; Bournissa, M.; Koroghli, A.; Marouf, N.; Rabia, S.; Ameur, F.L.K. The genus Ostreopsis along the Algerian coastal waters (SW Mediterranean Sea) associated with a human respiratory intoxication episode. Cryptogamie Algol. 2012, 33, 209–217. [Google Scholar] [CrossRef]
- Blasutto, O.; Celio, M.; Honsell, G.; Suraci, C.; Venuti, M.; Zanolin, B.; Acquavita, A.; Mattassi, G. Gulf of Trieste, northern Adriatic Sea: First record of Ostreopsis ovata bloom. In Proceedings of the 14th International Conference on Harmful Algae, Hersonissons-Crete, Greece, 1–5 November 2010; Pagou, K., Hallegraeff, G., Eds.; International Society for the Study of Harmful Algae and Intergovernmental Oceanographic Commission of UNESCO: Copenhagen, Denmark, 2013; pp. 13–15, ISBN 978-87-990827-3-5. [Google Scholar]
- Honsell, G.; De Bortoli, M.; Boscolo, S.; Dell’Aversano, C.; Battocchi, C.; Fontanive, G.; Penna, A.; Berti, F.; Sosa, S.; Yasumoto, T.; et al. Harmful dinoflagellate Ostreopsis cf. ovata Fukuyo: Detection of ovatoxins in field samples and cell immunolocalization using antipalytoxin antibodies. Environ. Sci. Technol. 2011, 45, 7051–7059. [Google Scholar] [CrossRef] [PubMed]
- Accoroni, S.; Romagnoli, T.; Colombo, F.; Pennesi, C.; Gioia, C.; Camillo, D.; Marini, M.; Battocchi, C.; Ciminiello, P.; Dell, C.; et al. Ostreopsis cf. ovata bloom in the northern Adriatic Sea during summer 2009: Ecology, molecular characterization and toxin profile. Mar. Pollut. Bull. 2011, 62, 2512–2519. [Google Scholar] [CrossRef] [PubMed]
- Perini, F.; Casabianca, A.; Battocchi, C.; Accoroni, S.; Totti, C.; Penna, A. New approach using the real-time PCR method for estimation of the toxic marine dinoflagellate Ostreopsis cf. ovata in marine environment. PLoS ONE 2011, 6, e17699. [Google Scholar] [CrossRef] [PubMed]
- Accoroni, S.; Colombo, F.; Pichierri, S.; Romagnoli, T.; Marini, M.; Battocchi, C.; Penna, A.; Totti, C. Ecology of Ostreopsis cf. ovata blooms in the northwestern Adriatic Sea. Cryptogamie Algol. 2012, 33, 191–198. [Google Scholar] [CrossRef]
- Giussani, V.; Regionale, L.A.; Asnaghi, V. Management of harmful benthic dinoflagellates requires targeted sampling methods and alarm thresholds. Harmful Algae 2017, 68, 97–104. [Google Scholar] [CrossRef]
- Bizsel, N.; Aligizaki, K. Detection of Ostreopsis cf. ovata in coastal waters of Turkey (East Aegean Sea). In Proceedings of the International Conference on Ostreopsis Development, Villefranche-sur-Mer, France, 4–8 April 2011; Chiantore, M., Lemée, R., Mangialajo, L., Eds.; 2011; p. 53. [Google Scholar]
- Brissard, C.; Herrenknecht, C.; Séchet, V.; Hervé, F.; Pisapia, F.; Harcouet, J.; Lémée, R.; Chomérat, N.; Hess, P.; Amzil, Z. Complex toxin profile of French Mediterranean Ostreopsis cf. ovata strains, seafood accumulation and ovatoxins prepurification. Mar. Drugs 2014, 12, 2851–2876. [Google Scholar] [CrossRef]
- Abdennadher, M.; Zouari, A.B.; Sahnoun, W.F.; Alverca, E.; Penna, A.; Hamza, A. Ostreopsis cf. ovata in the Gulf of Gabès (south-eastern Mediterranean Sea): Morphological, molecular and ecological characterization. Harmful Algae 2017, 63, 56–67. [Google Scholar] [CrossRef] [PubMed]
- Satta, C.T.; Padedda, B.M.; Stacca, D.; Simeone, S.; De Falco, G.; Penna, A.; Capellacci, S.; Pulina, S.; Perilli, A.; Sechi, N.; et al. Assessment of harmful algal species using different approaches: The case study of the Sardinian coasts. AIOL 2014, 5, 60–78. [Google Scholar] [CrossRef]
- Vila, M.; Abós-Herràndiz, R.; Isern-Fontanet, J.; Àlvarez, J.; Berdalet, E. Establishing the link between Ostreopsis cf. ovata blooms and human health impacts using ecology and epidemiology. Sci. Mar. 2016, 80, 107–115. [Google Scholar] [CrossRef]
- Giussani, V.; Kletou, D.; Casabianca, S.; Cappellacci, S.; Asnaghi, V.; Penna, A.; Ciminiello, P.; Dell’Aversano, C.; Mazzeo, A.; Tartaglione, L.; et al. New Ostreopsis species recorded along Cyprus coasts: Toxic effect and preliminary characterization of chemical-molecular aspects. In Abstract book of 16th International Conference on Harmful Algae, Wellington, New Zealand, 27–31 October 2014; International Society for the Study of Harmful Algae and Intergovernmental Oceanographic Commission of UNESCO: Copenhagen, Denmark, 2014; p. 146. [Google Scholar]
- Ben-Gharbia, H.; Yahia, O.K.D.; Amzil, Z.; Chomérat, N.; Abadie, E.; Masseret, E.; Sibat, M.; Triki, H.Z.; Nouri, H.; Laabir, M. Toxicity and growth assessments of three thermophilic benthic dinoflagellates (Ostreopsis cf. ovata, Prorocentrum lima and Coolia monotis) developing in the Southern Mediterranean basin. Toxins 2016, 8, 297. [Google Scholar] [CrossRef]
- ISPRA 2017, Monitoraggio della microalga potenzialmente tossica Ostreopsis cf. ovata lungo le coste italiane. In Anno 2016; ISPRA Rapporti 275/2017; Istituto Superiore per la Protezione e la Ricerca Ambientale: Rome, Italy, 2017.
- Penna, A.; Battocchi, C.; Capellacci, S.; Fraga, S.; Aligizaki, K.; Lemée, R.; Vernesi, C. Mitochondrial, but not rDNA, genes fail to discriminate dinoflagellate species in the genus Ostreopsis. Harmful Algae 2014, 40, 40–50. [Google Scholar] [CrossRef]
- Accoroni, S.; Totti, C. The toxic benthic dinoflagellates of the genus Ostreopsis in temperate areas: A review. Adv. Oceanogr. Limnol. 2016, 7, 1–15. [Google Scholar] [CrossRef]
- Balech, E. E’tude des Dinoflagelle´s du sable de Roscoff. Rev. Algol. 1956, 2, 29–52. [Google Scholar]
- Fukuyo, Y. Taxonomical study on benthic dinoflagellates collected in coral reefs. Bull. Japan. Soc. Sci. Fish. 1981, 47, 967–978. [Google Scholar] [CrossRef]
- Besada, E.G.; Loeblich, L.A.; Loeblich, A.R., III. Observations on tropical, benthic dinoflagellates from ciguatera-endemic areas: Coolia, Gambierdiscus, and Ostreopsis. Bull. Mar. Sci. 1982, 32, 723–735. [Google Scholar]
- Fraga, S.; Rodríguez, F.; Caillaud, A.; Diogène, J.; Raho, N.; Zapata, M. Gambierdiscus excentricus sp. nov. (Dinophyceae), a benthic toxic dinoflagellate from the Canary Islands (NE Atlantic Ocean). Harmful Algae 2011, 11, 10–20. [Google Scholar] [CrossRef]
- Escalera, L.; Benvenuto, G.; Scalco, E.; Zingone, A.; Montresor, M. Ultrastructural Features of the Benthic Dinoflagellate Ostreopsis cf. ovata (Dinophyceae). Protist 2014, 165, 260–274. [Google Scholar] [CrossRef] [PubMed]
- Faust, M.A.; Morton, S.L.; Quod, J.P. Further study of marine dinoflagellates: The genus Ostreopsis (Dinophyceae). J. Phycol. 1996, 32, 1053–1065. [Google Scholar] [CrossRef]
- Sato, S.; Nishimura, T.; Uehara, K.; Sakanari, H.; Tawong, W.; Hariganeya, N.; Smith, K.; Rhodes, L.; Yasumoto, T.; Taira, Y.; et al. Phylogeography of Ostreopsis along West Pacific coast, with special reference to a novel clade from Japan. PLoS ONE 2011, 6, e27983. [Google Scholar] [CrossRef]
- Kang, N.S.; Jeong, H.J.; Lee, S.Y.; Lim, A.S.; Lee, M.J.; Kim, H.S.; Yih, W. Morphology and molecular characterization of the epiphytic benthic dinoflagellate Ostreopsis cf. ovata in the temperate waters off Jeju Island, Korea. Harmful Algae 2013, 27, 98–112. [Google Scholar] [CrossRef]
- Simoni, F.; Di Paolo, C.; Gori, L.; Lepri, L.; Mancino, A.; Falaschi, A. Further investigation on blooms of Ostreopsis ovata, Coolia monotis, Prorocentrum lima on the macroalgae of artificial and natural reefs in the Northern Tyrrhenian Sea. Harmful Algae News 2004, 26, 6–7. [Google Scholar]
- Congestri, R.; Penna, A.; Zingone, A. BENTOX-NET: A research and management initiative on Ostreopsis spp. and other benthic microalgal blooms along the Italian coast. Harmful Algae News 2006, 32, 11–12. [Google Scholar]
- Hariganeya, N.; Tanimoto, Y.; Yamaguchi, H.; Nishimura, T.; Tawong, W.; Sakanari, H.; Yoshimatsu, T.; Sato, S.; Preston, C.M.; Adachi, M. Quantitative PCR Method for Enumeration of Cells of Cryptic Species of the Toxic Marine Dinoflagellate Ostreopsis spp. in Coastal Waters of Japan. PLoS ONE 2013, 8, e57627. [Google Scholar] [CrossRef] [PubMed]
- Ramos, V.; Salvi, D.; Machado, J.P.; Vale, M.; Azevedo, J.; Vasconcelos, V. Culture-Independent Study of the Late-Stage of a Bloom of the Toxic Dinoflagellate Ostreopsis cf. ovata: Preliminary Findings Suggest Genetic Differences at the Sub-Species Level and Allow ITS2 Structure Characterization. Toxins 2015, 7, 2514–2533. [Google Scholar] [CrossRef] [PubMed]
- Casabianca, S.; Perini, F.; Casabianca, A.; Battocchi, C.; Giussani, V.; Chiantore, M.; Penna, A. Monitoring toxic Ostreopsis cf. ovata in recreational waters using a qPCR based assay. Mar. Pollut. Bull. 2014, 88, 102–109. [Google Scholar] [CrossRef]
- Guerrini, F.; Pezzolesi, L.; Feller, A.; Riccardi, M.; Ciminiello, P.; Dell’Aversano, C.; Tartaglione, L.; Dello Iacovo, E.; Fattorusso, E.; Forino, M.; et al. Comparative growth and toxin profile of cultured Ostreopsis ovata from the Tyrrhenian and Adriatic Seas. Toxicon 2010, 55, 211–220. [Google Scholar] [CrossRef] [PubMed]
- Grbec, B.; Morović, M.; Kušpilić, G.; Matijević, S.; Matić, F.; Beg Paklar, G.; Ninčević, Ž. The relationship between the atmospheric variability and productivity in the Adriatic Sea area. J. Mar. Biol. Assoc. UK 2009, 89, 1549–1558. [Google Scholar] [CrossRef]
- Occhipinti-Ambrogi, A. Global change and marine communities: Alien species and climate change. Mar. Pollut. Bull. 2007, 55, 342–352. [Google Scholar] [CrossRef]
- Granéli, E.; Vidyarathna, N.K.; Funari, E.; Cumaranatunga, P.R.T.; Scenati, R. Can increases in temperature stimulate blooms of the toxic benthic dinoflagellate Ostreopsis ovata? Harmful Algae 2011, 10, 165–172. [Google Scholar] [CrossRef]
- Grbec, B.; Matić, F.; Beg Paklar, G.; Morović, M.; Popović, R.; Vilibić, I. Long-Term Trends, Variability and Extremes of In Situ Sea Surface Temperature Measured Along the Eastern Adriatic Coast and its Relationship to Hemispheric Processes. Pure Appl. Geophys. 2018, 176, 1–16. [Google Scholar] [CrossRef]
- Herring, S.C.; Hoell, A.; Hoerling, M.P.; Kossin, J.P.; Schreck, C.J., III; Stott, P.A. (Eds.) Explaining Extreme Events of 2015 from a Climate Perspective. Bull. Am. Meteorol. Soc. 2016, 97, S1–S145. [Google Scholar]
- Meroni, L.; Chiantore, M.; Petrillo, M.; Asnaghi, V. Habitat effects on Ostreopsis cf. ovata bloom dynamics. Harmful Algae 2018, 80, 64–71. [Google Scholar] [CrossRef]
- Tartaglione, L.; Dello Iacovo, E.; Mazzeo, A.; Casabianca, S.; Ciminiello, P.; Penna, A.; Dell’Aversano, C. Variability in Toxin Profiles of the Mediterranean Ostreopsis cf. ovata and in Structural Features of the Produced Ovatoxins. Environ. Sci. Technol. 2017, 51, 13920–13928. [Google Scholar] [CrossRef]
- Utermöhl, H. Zur Vervollkommnung der quantitativen Phytoplankton Methodik. Mit. Int. Ver. Theor. Angew. Limnol. 1958, 9, 1–38. [Google Scholar] [CrossRef]
- Vassalli, M.; Penna, A.; Sbrana, F.; Casabianca, S.; Gjeci, N.; Capellacci, S.; Asnaghi, V.; Ottaviani, E.; Giussani, V.; Pugliese, L.; et al. Intercalibration of counting methods for Ostreopsis spp. blooms in the Mediterranean Sea. Ecol. Indic. 2018, 85, 1092–1100. [Google Scholar] [CrossRef]
- Boscolo, S.; Pelin, M.; De Bortoli, M.; Fontanive, G.; Barreras, A.; Berti, F.; Sosa, S.; Chaloin, O.; Bianco, A.; Yasumoto, T.; et al. Sandwich ELISA assay for the quantitation of palytoxin and its analogs in natural samples. Environ. Sci. Technol. 2013, 47, 2034–2042. [Google Scholar] [CrossRef]
© 2019 by the authors. Licensee MDPI, Basel, Switzerland. This article is an open access article distributed under the terms and conditions of the Creative Commons Attribution (CC BY) license (http://creativecommons.org/licenses/by/4.0/).








