Adsorption of Deoxynivalenol (DON) from Corn Steep Liquor (CSL) by the Microsphere Adsorbent SA/CMC Loaded with Calcium
Abstract
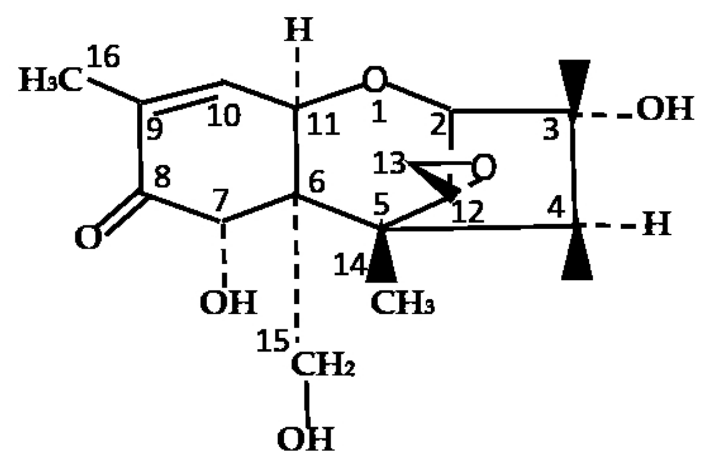
1. Introduction
2. Results
2.1. Microsphere DON Adsorption Test
2.2. The Effect of CSL Volumes
2.3. The Effect of Reaction Times
2.4. The Effect of Time for Desorption
2.5. Detoxification of DON in Microsphere Cleaning Water
2.6. Microsphere Recyclability
2.7. SEM Analysis
2.8. Adsorption Mechanism
3. Discussion
4. Conclusions
5. Materials and Methods
5.1. Chemicals
5.2. Preparation of Microspheres
5.3. DON Extraction and HPLC Detection
5.4. Microsphere DON Adsorption Test
5.5. The Effect of CSL Volumes
5.6. The Effect of Reaction Times
5.7. The Effect of Time for Desorption
5.8. Detoxification of DON in Microsphere Cleaning Water
5.9. Microspheres Recyclability Process
5.10. SEM Analysis
5.11. FTIR Analysis
5.12. Statistical Analysis
Author Contributions
Funding
Acknowledgments
Conflicts of Interest
References
- Betina, V. Structure-activity relationships among mycotoxins. Chem. Biol. Interact. 1989, 71, 105–146. [Google Scholar] [CrossRef]
- Zain, M.E. Impact of mycotoxins on humans and animals. J. Saudi Chem. Soc. 2011, 15, 129–144. [Google Scholar] [CrossRef]
- Alshannaq, A.; Yu, J.-H. Occurrence, toxicity, and analysis of major mycotoxins in food. Int. J. Environ. Res. Public Health 2017, 14, 632. [Google Scholar] [CrossRef] [PubMed]
- Waśkiewicz, A.; Beszterda, M.; Kostecki, M.; Zielonka, Ł.; Goliński, P.; Gajecki, M. Deoxynivalenol in the gastrointestinal tract of immature gilts under per os toxin application. Toxins 2014, 6, 973–987. [Google Scholar]
- Pierron, A.; Alassane-Kpembi, I.; Oswald, I.P. Impact of two mycotoxins deoxynivalenol and fumonisin on pig intestinal health. Porc. Health Manag. 2016, 2, 21. [Google Scholar] [CrossRef]
- Turner, P. Deoxynivalenol and nivalenol occurrence and exposure assessment. World Mycotoxin J. 2010, 3, 315–321. [Google Scholar] [CrossRef]
- Karlovsky, P.; Suman, M.; Berthiller, F.; De Meester, J.; Eisenbrand, G.; Perrin, I.; Oswald, I.P.; Speijers, G.; Chiodini, A.; Recker, T.; et al. Impact of food processing and detoxification treatments on mycotoxin contamination. Mycotoxin Res. 2016, 32, 179–205. [Google Scholar] [CrossRef]
- Neme, K.; Mohammed, A. Mycotoxin occurrence in grains and the role of postharvest management as a mitigation strategies. A review. Food Control 2017, 78, 412–425. [Google Scholar] [CrossRef]
- Wegulo, S.N.; Baenziger, P.S.; Nopsa, J.H.; Bockus, W.W.; Hallen-Adams, H. Management of Fusarium head blight of wheat and barley. Crop Prot. 2015, 73, 100–107. [Google Scholar] [CrossRef]
- Yuen, G.Y.; Schoneweis, S.D. Strategies for managing Fusarium head blight and deoxynivalenol accumulation in wheat. Int. J. Food Microbiol. 2007, 119, 126–130. [Google Scholar] [CrossRef]
- Huwig, A.; Freimund, S.; Käppeli, O.; Dutler, H. Mycotoxin detoxication of animal feed by different adsorbents. Toxicol. Lett. 2001, 122, 179–188. [Google Scholar] [CrossRef]
- Bočarov-Stančić, A.; Adamović, M.; Salma, N.; Bodroža-Solarov, M.; Vučković, J.; Pantić, V. In vitro efficacy of mycotoxins adsorption by natural mineral adsorbents. Biotechnol. Anim. Husb. 2011, 27, 1241–1251. [Google Scholar] [CrossRef]
- Sabater-Vilar, M.; Malekinejad, H.; Selman, M.H.J.; der Doelen, M.A.M.; Fink-Gremmels, J. In vitro assessment of adsorbents aiming to prevent deoxynivalenol and zearalenone mycotoxicoses. Mycopathologia 2007, 163, 81. [Google Scholar] [CrossRef] [PubMed]
- De Souza, A.F.; Borsato, D.; Lofrano, A.D.; De Oliveira, A.S.; Ono, M.A.; Bordini, J.G.; Hirozawa, M.T.; Yabe, M.J.S.; Ono, E.Y.S. In vitro removal of deoxynivalenol by a mixture of organic and inorganic adsorbents. World Mycotoxin J. 2014, 8, 113–119. [Google Scholar] [CrossRef]
- Shehata, S.; Richter, W.I.F.; Schuster, M.; Scholz, W.; Nowar, M.S. Adsorption of ochratoxin A, deoxynivalenol and zearalenonein vitro at different pH and adsorbents. Mycotoxin Res. 2000, 16, 136–140. [Google Scholar] [CrossRef] [PubMed]
- Viswanathan, S.; Nallamuthu, T. Extraction of sodium alginate from selected seaweeds and their physiochemical and biochemical properties. Extraction 2014, 3, 10998–11003. [Google Scholar]
- Papageorgiou, S.K.; Katsaros, F.K.; Favvas, E.P.; Romanos, G.E.; Athanasekou, C.P.; Beltsios, K.G.; Tzialla, O.I.; Falaras, P. Alginate fibers as photocatalyst immobilizing agents applied in hybrid photocatalytic/ultrafiltration water treatment processes. Water Res. 2012, 46, 1858–1872. [Google Scholar] [CrossRef]
- Mandal, B.; Ray, S.K. Synthesis of interpenetrating network hydrogel from poly (acrylic acid-co-hydroxyethyl methacrylate) and sodium alginate: Modeling and kinetics study for removal of synthetic dyes from water. Carbohydr. Polym. 2013, 98, 257–269. [Google Scholar] [CrossRef]
- Thakur, V.K.; Thakur, M.K. Processing and characterization of natural cellulose fibers/thermoset polymer composites. Carbohydr. Polym. 2014, 109, 102–117. [Google Scholar] [CrossRef]
- Benhalima, T.; Ferfera-Harrar, H.; Lerari, D. Optimization of carboxymethyl cellulose hydrogels beads generated by an anionic surfactant micelle templating for cationic dye uptake: Swelling, sorption and reusability studies. Int. J. Biol. Macromol. 2017, 105, 1025–1042. [Google Scholar] [CrossRef]
- Wang, X.; Liu, L.; Xia, S.; Muhoza, B.; Cai, J.; Zhang, X.; Duhoranimana, E.; Su, J. Sodium carboxymethyl cellulose modulates the stability of cinnamaldehyde-loaded liposomes at high ionic strength. Food Hydrocoll. 2019, 93, 10–18. [Google Scholar] [CrossRef]
- Nan, C.; Fitrah, N.; Zainuddin, N.; Ahmad, M. Preparation and Swelling Study of CMC Hydrogel as Potential Superabsorbent. Pertanika J. Sci. Technol. 2019, 27, 489–498. [Google Scholar]
- Sriamornsak, P.; Nunthanid, J.; Luangtana-Anan, M.; Weerapol, Y.; Puttipipatkhachorn, S. Alginate-based pellets prepared by extrusion/spheronization: Effect of the amount and type of sodium alginate and calcium salts. Eur. J. Pharm. Biopharm. 2008, 69, 274–284. [Google Scholar] [CrossRef] [PubMed]
- Wan, L.S.C.; Heng, P.W.S.; Chan, L.W. Drug encapsulation in alginate microspheres by emulsification. J. Microencapsul. 1992, 9, 309–316. [Google Scholar] [CrossRef] [PubMed]
- Wu, L.; Lin, X.; Zhou, X.; Luo, X. Removal of uranium and fluorine from wastewater by double-functional microsphere adsorbent of SA/CMC loaded with calcium and aluminum. Appl. Surf. Sci. 2016, 384, 466–479. [Google Scholar] [CrossRef]
- De Lima, C.J.B.; Coelho, L.F.; Blanco, K.C.; Contiero, J. Response surface optimization of D (-)-lactic acid production by Lactobacillus SMI8 using corn steep liquor and yeast autolysate as an alternative nitrogen source. Afr. J. Biotechnol. 2009, 8, 5842–5846. [Google Scholar]
- Shahzad, M.; Sarwar, M.; Nisa, M.U.; Sharif, M. Corn steep liquor, a potential substitute of urea for growing lambs. Egy. J. Sheep Goats Sci. 2010, 5, 1–14. [Google Scholar]
- Park, J.; Kim, D.-H.; Moon, J.-Y.; An, J.-A.; Kim, Y.-W.; Chung, S.-H.; Lee, C. Distribution Analysis of Twelve Mycotoxins in Corn and Corn-Derived Products by LC-MS/MS to Evaluate the Carry-Over Ratio during Wet-Milling. Toxins 2018, 10, 319. [Google Scholar] [CrossRef]
- Lauren, D.R.; Ringrose, M.A. Determination of the fate of three Fusarium mycotoxins through wet-milling of maize using an improved HPLC analytical technique. Food Addit. Contam. 1997, 14, 435–443. [Google Scholar] [CrossRef]
- Ren, H.; Gao, Z.; Wu, D.; Jiang, J.; Sun, Y.; Luo, C. Efficient Pb (II) removal using sodium alginate—Carboxymethyl cellulose gel beads: Preparation, characterization, and adsorption mechanism. Carbohydr. Polym. 2016, 137, 402–409. [Google Scholar] [CrossRef]
- Laus, R.; Costa, T.G.; Szpoganicz, B.; Fávere, V.T. Adsorption and desorption of Cu (II), Cd (II) and Pb (II) ions using chitosan crosslinked with epichlorohydrin-triphosphate as the adsorbent. J. Hazard. Mater. 2010, 183, 233–241. [Google Scholar] [CrossRef] [PubMed]
- Aljebori, A.M.K.; Alshirifi, A.N. Effect of different parameters on the adsorption of textile dye maxilon blue GRL from aqueous solution by using white marble. Asian J. Chem. 2012, 24, 5813. [Google Scholar]
- Nguyen, K.M.; Nguyen, B.Q.; Nguyen, H.T.; Nguyen, H.T.H. Adsorption of arsenic and heavy metals from solutions by unmodified iron-ore sludge. Appl. Sci. 2019, 9, 619. [Google Scholar] [CrossRef]
- Manju, G.N.; Raji, C.; Anirudhan, T.S. Evaluation of coconut husk carbon for the removal of arsenic from water. Water Res. 1998, 32, 3062–3070. [Google Scholar] [CrossRef]
- Gupta, S.; Babu, B. V Experimental, kinetic, equilibrium and regeneration studies for adsorption of Cr (VI) from aqueous solutions using low cost adsorbent (activated flyash). Desalin. Water Treat. 2010, 20, 168–178. [Google Scholar] [CrossRef]
- Iqbal, M.; Saeed, A.; Akhtar, N. Petiolar felt-sheath of palm: A new biosorbent for the removal of heavy metals from contaminated water. Bioresour. Technol. 2002, 81, 151–153. [Google Scholar] [CrossRef]
- Young, J.C.; Blackwell, B.A.; ApSimon, J.W. Alkaline degradation of the mycotoxin 4-deoxynivalenol. Tetrahedron Lett. 1986, 27, 1019–1022. [Google Scholar] [CrossRef]
- Abbas, H.K.; Mirocha, C.J.; Rosiles, R.; Carvajal, M. Decomposition of zearalenone and deoxynivalenol in the process of making tortillas from corn. Cereal Chem. 1988, 65, 15–19. [Google Scholar]
- Greenhalgh, R.; Gilbert, J.; King, R.R.; Blackwell, B.A.; Startin, J.R.; Shepherd, M.J. Synthesis, characterization, and occurrence in bread and cereal products of an isomer of 4-deoxynivalenol (vomitoxin). J. Agric. Food Chem. 1984, 32, 1416–1420. [Google Scholar] [CrossRef]
- Grove, J.F. Phytotoxic compounds produced by Fusarium equiseti. Part 7. Reactions and rearrangement of the 7-hydroxy-12, 13-epoxytrichothec-9-en-8-one skeleton. J. Chem. Soc. Perkin Trans. 1985, 1, 1731–1736. [Google Scholar] [CrossRef]
- Bretz, M.; Beyer, M.; Cramer, B.; Knecht, A.; Humpf, H.-U. Thermal degradation of the Fusarium mycotoxin deoxynivalenol. J. Agric. Food Chem. 2006, 54, 6445–6451. [Google Scholar] [CrossRef] [PubMed]
- Zou, H.; Zhou, L.; Huang, Z.; Liu, Z.; Luo, T. Characteristics of equilibrium and kinetic for U (VI) adsorption using novel diamine-functionalized hollow silica microspheres. J. Radioanal. Nucl. Chem. 2017, 311, 269–278. [Google Scholar] [CrossRef]
- Chen, A.-H.; Yang, C.-Y.; Chen, C.-Y.; Chen, C.-Y.; Chen, C.-W. The chemically crosslinked metal-complexed chitosans for comparative adsorptions of Cu (II), Zn (II), Ni (II) and Pb (II) ions in aqueous medium. J. Hazard. Mater. 2009, 163, 1068–1075. [Google Scholar] [CrossRef]
- Chauhan, D.; Sankararamakrishnan, N. Highly enhanced adsorption for decontamination of lead ions from battery wastewaters using chitosan functionalized with xanthate. Bioresour. Technol. 2008, 99, 9021–9024. [Google Scholar] [CrossRef] [PubMed]
- Kolev, S.K.; Petkov, P.S.; Rangelov, M.A.; Vayssilov, G.N. Density functional study of hydrogen bond formation between methanol and organic molecules containing Cl, F, NH2, OH, and COOH functional groups. J. Phys. Chem. A 2011, 115, 14054–14068. [Google Scholar] [CrossRef] [PubMed]
- Hecht, H.; Srebnik, S. Structural characterization of sodium alginate and calcium alginate. Biomacromolecules 2016, 17, 2160–2167. [Google Scholar] [CrossRef] [PubMed]
- Fukuda, H. Polyelectrolyte complexes of chitosan with sodium carboxymethylcellulose. Bull. Chem. Soc. Jpn. 1980, 53, 837–840. [Google Scholar] [CrossRef]
- Song, H.; Yu, W.; Gao, M.; Liu, X.; Ma, X. Microencapsulated probiotics using emulsification technique coupled with internal or external gelation process. Carbohydr. Polym. 2013, 96, 181–189. [Google Scholar] [CrossRef]
- Cahill, L.M.; Kruger, S.C.; McAlice, B.T.; Ramsey, C.S.; Prioli, R.; Kohn, B. Quantification of deoxynivalenol in wheat using an immunoaffinity column and liquid chromatography. J. Chromatogr. A 1999, 859, 23–28. [Google Scholar] [CrossRef]












© 2020 by the authors. Licensee MDPI, Basel, Switzerland. This article is an open access article distributed under the terms and conditions of the Creative Commons Attribution (CC BY) license (http://creativecommons.org/licenses/by/4.0/).
Share and Cite
Shalapy, A.; Zhao, S.; Zhang, C.; Li, Y.; Geng, H.; Ullah, S.; Wang, G.; Huang, S.; Liu, Y. Adsorption of Deoxynivalenol (DON) from Corn Steep Liquor (CSL) by the Microsphere Adsorbent SA/CMC Loaded with Calcium. Toxins 2020, 12, 208. https://doi.org/10.3390/toxins12040208
Shalapy A, Zhao S, Zhang C, Li Y, Geng H, Ullah S, Wang G, Huang S, Liu Y. Adsorption of Deoxynivalenol (DON) from Corn Steep Liquor (CSL) by the Microsphere Adsorbent SA/CMC Loaded with Calcium. Toxins. 2020; 12(4):208. https://doi.org/10.3390/toxins12040208
Chicago/Turabian StyleShalapy, Ahmed, Shuangqing Zhao, Chenxi Zhang, Yifei Li, Hairong Geng, Sana Ullah, Gang Wang, Shujian Huang, and Yang Liu. 2020. "Adsorption of Deoxynivalenol (DON) from Corn Steep Liquor (CSL) by the Microsphere Adsorbent SA/CMC Loaded with Calcium" Toxins 12, no. 4: 208. https://doi.org/10.3390/toxins12040208
APA StyleShalapy, A., Zhao, S., Zhang, C., Li, Y., Geng, H., Ullah, S., Wang, G., Huang, S., & Liu, Y. (2020). Adsorption of Deoxynivalenol (DON) from Corn Steep Liquor (CSL) by the Microsphere Adsorbent SA/CMC Loaded with Calcium. Toxins, 12(4), 208. https://doi.org/10.3390/toxins12040208
