Performance Enhancement for Indium-Free Metal Oxide Thin-Film Transistors with Double-Active-Layers by Magnetron Sputtering at Room Temperature
Abstract
1. Introduction
2. Materials and Methods
2.1. Preparation of TFT Devices
2.2. Characterization
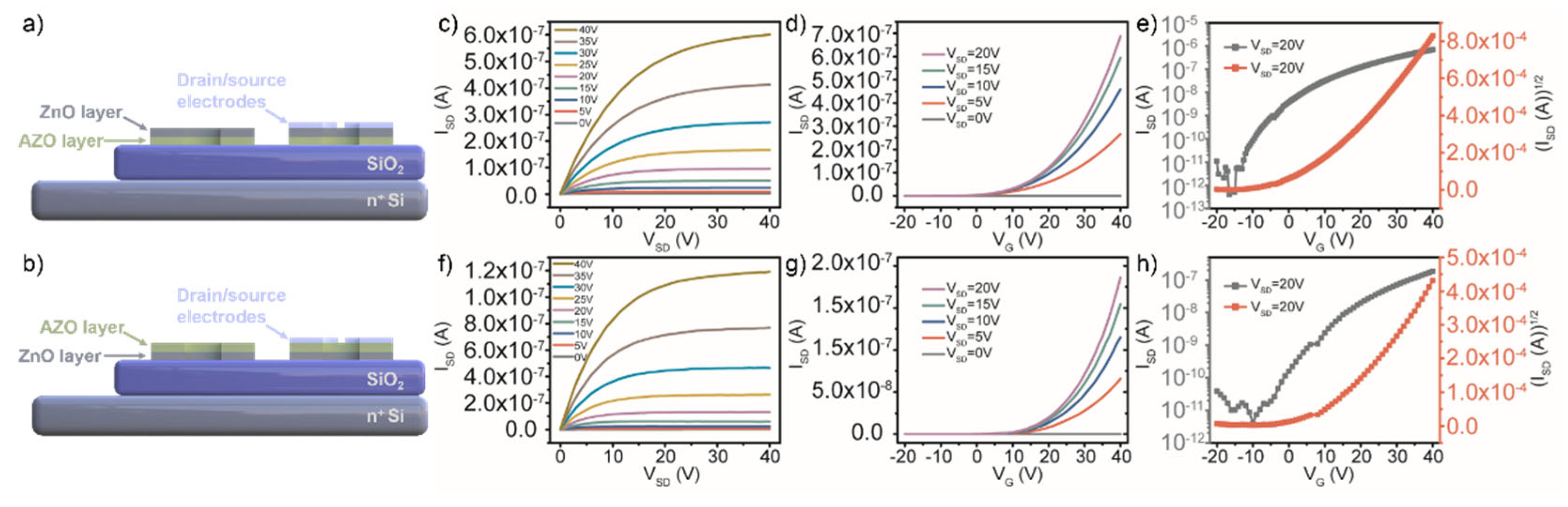
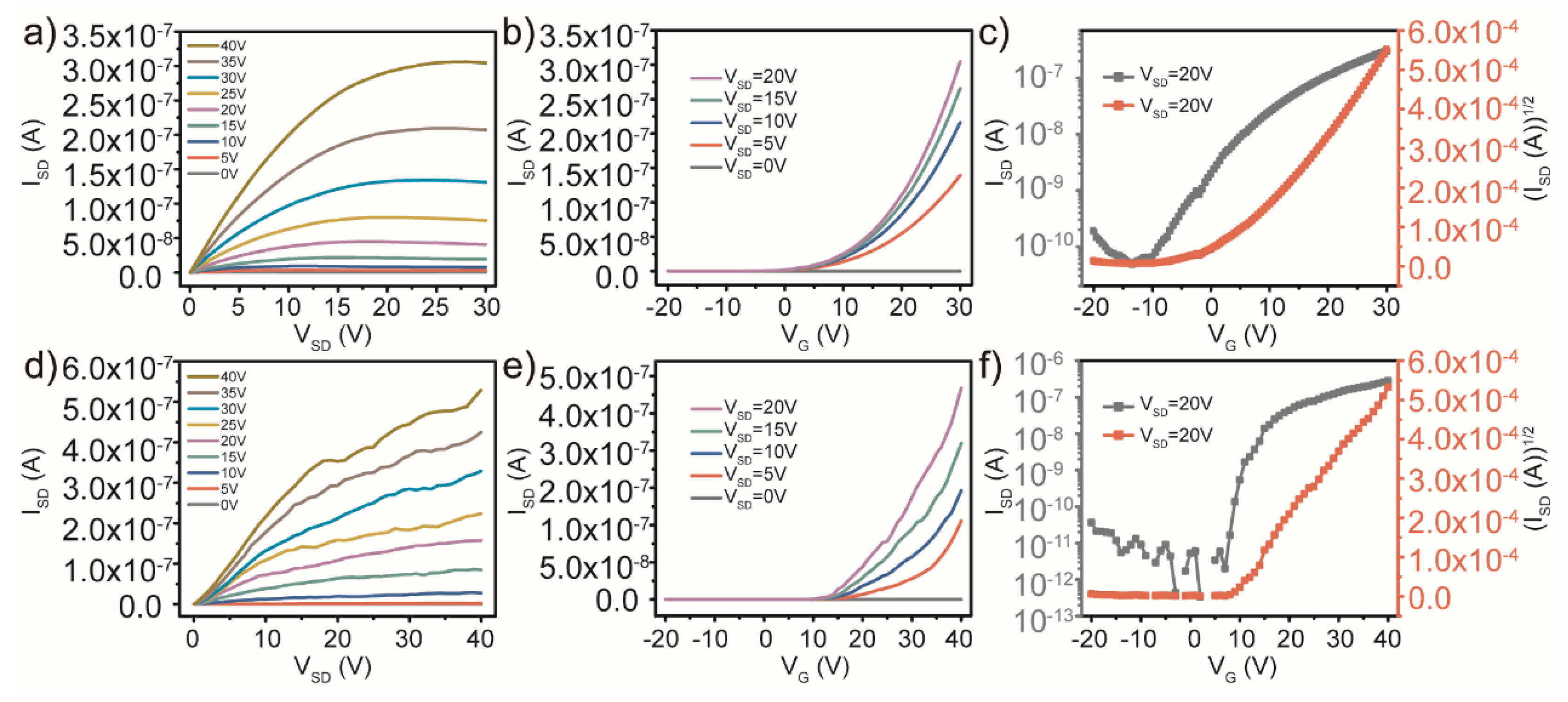
3. Results and Discussion
4. Conclusions
Author Contributions
Funding
Conflicts of Interest
References
- Nomura, K.; Ohta, H.; Ueda, K.; Kamiya, T.; Hirano, M.; Hosono, H. Thin-film transistor fabricated in single-crystalline transparent oxide semiconductor. Science 2003, 300, 1269–1272. [Google Scholar] [CrossRef] [PubMed]
- Gelinck, G.; Huitema, H.; Veenendaal, E.; Cantatore, E.; Schrijnemakers, L.; Putten, J.; Geuns, T.; Beenhakkers, M.; Giesbers, J.; Huisman, B.; et al. Flexible active-matrix displays and shift registers based on solution-processed organic transistors. Nat. Mater. 2004, 3, 106–110. [Google Scholar] [CrossRef] [PubMed]
- Street, R.A. Thin-film transistors. Adv. Mater. 2009, 21, 2007–2022. [Google Scholar] [CrossRef]
- Hoffman, R.L.; Norris, B.J.; Wager, J.F. ZnO-based transparent thin-film transistors. Appl. Phys. Lett. 2003, 82, 733–735. [Google Scholar] [CrossRef]
- Fortunato, E.; Barquinha, P.; Pimentel, A.; Goncalves, A.; Marque, A.; Pereira, L.; Martins, R. Wide-Bandgap High-Mobility ZnO Thin-Film Transistors Produced at Room Temperature. Appl. Phys. Lett. 2004, 85, 2541–2543. [Google Scholar] [CrossRef]
- Dimitrakopoulos, C.D.; Purushothaman, S.; Kymissis, J.; Callegari, A.; Shaw, J.M. Low-Voltage Organic Transistors on Plastic Comprising High-Dielectric Constant Gate Insulators. Science 1999, 283, 822–824. [Google Scholar] [CrossRef]
- Crone, B.; Dodabalapur, A.; Lin, Y.Y.; Filas, R.W.; Bao, Z.; LaDuca, A.; Sarpeshkar, R.; Katz, H.E.; Li, W. Large-Scale Complementary Integrated Circuits based on Organic Transistors. Nature 2000, 403, 521–523. [Google Scholar] [CrossRef]
- Yuan, Y.; Giri, G.; Ayzner, A.L.; Zoombelt, A.P.; Mannsfeld, S.C.; Chen, J.; Nordlund, D.; Toney, M.F.; Huang, J.; Bao, Z. Ultra-high mobility transparent organic thin film transistors grown by an off-centre spin-coating method. Nat. Commun. 2014, 5, 3005. [Google Scholar] [CrossRef] [PubMed]
- Guo, E.; Xing, S.; Dollinger, F.; Hubner, R.; Wang, S.J.; Wu, Z.; Leo, K.; Kleemann, H. Integrated complementary inverters and ring oscillators based on vertical-channel dual-base organic thin-film transistors. Nat. Electron. 2021, 4, 588–594. [Google Scholar] [CrossRef]
- Nomura, K.; Ohta, H.; Takagi, A.; Kamiya, T.; Hirano, M.; Hosono, H. Room-Temperature Fabrication of Transparent Flexible Thin-Film Transistors Using Amorphous Oxide Semiconductors. Nature 2004, 432, 488–492. [Google Scholar] [CrossRef]
- Fortunato, E.; Barquinha, P.; Martins, R. Oxide Semiconductor Thin-Film Transistors: A Review of Recent Advances. Adv. Mater. 2012, 24, 2945–2986. [Google Scholar] [CrossRef] [PubMed]
- Banger, K.K.; Yamashita, Y.; Mori, K.; Peterson, R.L.; Leedham, T.; Rickard, J.; Sirringhaus, H. Low-temperature, high-performance solution-processed metal oxide thin-film transistors formed by a ‘sol–gel on chip’ process. Nat. Mater. 2011, 10, 45–50. [Google Scholar] [CrossRef] [PubMed]
- Islam, M.M.; Saha, J.K.; Hasan, M.M.; Kim, J.; Bukke, R.N.; Ali, A.; Jang, J. Spray-Pyrolyzed High-k Zirconium-Aluminum-Oxide Dielectric for High Performance Metal-Oxide Thin-Film Transistors for Low Power Displays. Adv. Mater. Interfaces 2021, 8, 2100600. [Google Scholar] [CrossRef]
- Ozer, E.; Kufel, J.; Myers, J.; Biggs, J.; Brown, G.; Rana, A.; Sou, A.; Ramsdale, C.; White, S. A hardwired machine learning processing engine fabricated with submicron metal-oxide thin-film transistors on a flexible substrate. Nat. Electron. 2020, 3, 419–425. [Google Scholar] [CrossRef]
- Kuribara, K.; Wang, H.; Uchiyama, N.; Fukuda, K.; Yokota, T.; Zschieschang, U.; Jaye, C.; Fischer, D.; Klauk, H.; Yamamoto, T.; et al. Organic transistors with high thermal stability for medical applications. Nat. Commun. 2012, 3, 723. [Google Scholar] [CrossRef] [PubMed]
- Rim, Y.S.; Chen, H.; Kou, X.; Duan, H.S.; Zhou, H.; Cai, M.; Kim, H.J.; Yang, Y. Boost Up Mobility of Solution-Processed Metal Oxide Thin-Film Transistors via Confining Structure on Electron Pathways. Adv. Mater. 2014, 26, 4273–4278. [Google Scholar] [CrossRef] [PubMed]
- Yarali, E.; Koutsiaki, C.; Faber, H.; Tetzner, K.; Yengel, E.; Patsalas, P.; Kalfagiannis, N.; Koutsogeorgis, D.C.; Anthopoulos, T.D. Recent Progress in Photonic Processing of Metal-Oxide Transistors. Adv. Funct. Mater. 2020, 30, 1906022. [Google Scholar] [CrossRef]
- Carcia, P.F.; McLean, R.S.; Reilly, M.H.; Nunes, G. Transparent ZnO thin-film transistor fabricated by rf magnetron sputtering. Appl. Phys. Lett. 2003, 82, 1117–1119. [Google Scholar] [CrossRef]
- Saha, J.K.; Billah, M.M.; Jang, J. Triple-Stack ZnO/AlZnO/YZnO Heterojunction Oxide Thin-Film Transistors by Spray Pyrolysis for High Mobility and Excellent Stability. ACS Appl. Mater. Interfaces 2021, 13, 37350–37362. [Google Scholar] [CrossRef]
- Hasan, M.M.; Bae, M.J.; Tokumitsu, E.; Chu, H.Y.; Kim, S.C.; Jang, J. High performance ferroelectric ZnO thin film transistor using AlOx/HfZrO/ZrOx gate insulator by spray pyrolysis. Appl. Phys. Lett. 2021, 119, 093502. [Google Scholar] [CrossRef]
- Yagliolu, B.; Yeom, H.Y.; Beresford, R.; Paine, D.C. High-mobility amorphous In2O3-10 wt% ZnO thin film transistors. Appl. Phys. Lett. 2006, 89, 062103. [Google Scholar] [CrossRef]
- Chiang, H.Q.; Wager, J.H.; Hoffman, R.L.; Jeong, J.; Keszler, D.A. High mobility thin-film transistors with amorphous zinc tin oxide channel layer. Appl. Phys. Lett. 2005, 86, 013503. [Google Scholar] [CrossRef]
- Jackson, W.B.; Hoffman, R.L.; Herman, G.S. High-performance flexible zinc tin oxide field-effect transistors. Appl. Phys. Lett. 2005, 87, 193503. [Google Scholar] [CrossRef]
- Jeong, S.; Ha, Y.G.; Moon, J.; Facchetti, A.; Marks, T.J. Role of Gallium Doping in Dramatically Lowering Amorphous-Oxide Processing Temperatures for Solution-Derived Indium Zinc Oxide Thin-Film Transistors. Adv. Mater. 2010, 22, 1346–1350. [Google Scholar] [CrossRef] [PubMed]
- Yabuta, H.; Sano, M.; Abe, K.; Aiba, T.; Den, T.; Kumomi, H.; Nomura, K.; Kamiya, T.; Hosono, H. High-mobility thin-film transistor with amorphous InGaZnO4 channel fabricated by room temperature rf-magnetron sputtering. Appl. Phys. Lett. 2006, 89, 112123. [Google Scholar] [CrossRef]
- Zhao, Y.; Wang, Z.; Xu, G.; Cai, L.; Han, T.H.; Zhang, A.; Wu, Q.; Wang, R.; Huang, T.; Cheng, P.; et al. High Performance Indium-Gallium-Zinc Oxide Thin Film Transistor via Interface Engineering. Adv. Funct. Mater. 2020, 30, 2003285. [Google Scholar] [CrossRef]
- Lee, M.; Jo, J.W.; Kim, Y.J.; Choi, S.; Kwon, S.M.; Jeon, S.P.; Facchetti, A.; Kim, Y.H.; Park, S.K. Corrugated Heterojunction Metal-Oxide Thin-Film Transistors with High Electron Mobility via Vertical Interface Manipulation. Adv. Mater. 2018, 30, 1804120. [Google Scholar] [CrossRef]
- Kumaran, S.; Liu, M.T.; Lee, K.Y.; Tai, Y. The Impact of Solvents on the Performances of Solution-Processed Indium Gallium Zinc Oxide Thin-Film Transistors Using Nitrate Ligands. Adv. Eng. Mater. 2020, 22, 1901053. [Google Scholar] [CrossRef]
- Ding, X.; Zhang, H.; Ding, H.; Zhang, J.; Huang, C.; Shi, W.; Li, J.; Jiang, X.; Zhang, Z. Growth of IZO/IGZO dual-active-layer for low-voltage-drive and high-mobility thin film transistors based on an ALD grown Al2O3 gate insulator. Superlattices Microstruct. 2014, 76, 156–162. [Google Scholar] [CrossRef]
- Kim, S.I.; Kim, C.J.; Park, J.C.; Song, I.; Kim, S.W.; Yin, H.; Lee, E.; Lee, J.C.; Park, Y. High Performance Oxide Thin Film Transistors with Double Active Layers. In Proceedings of the 2008 IEEE International Electron Devices Meeting, San Francisco, CA, USA, 15–17 December 2008; Volume 1, pp. 73–76. [Google Scholar] [CrossRef]
- Kim, D.J.; Kim, D.L.; Rim, Y.S.; Kim, C.H.; Jeong, W.H.; Lim, H.S.; Kim, H.J. Improved Electrical Performance of an Oxide Thin-Film Transistor Having Multistacked Active Layers Using a Solution Process. ACS Appl. Mater. Interfaces 2012, 4, 4001–4005. [Google Scholar] [CrossRef]
- Huo, W.; Liang, H.; Lu, Y.; Han, Z.; Zhu, R.; Sui, Y.; Wang, T.; Mei, Z. Dual-active-layer InGaZnO high-voltage thin-film transistors. Semicond. Sci. Technol. 2021, 36, 065021. [Google Scholar] [CrossRef]
- Kim, S.J.; Jeon, H.J.; Oh, S.J.; Lee, S.S.; Choi, Y.; Park, J.S.; Jeong, S. Formamide Mediated, Air-Brush Printable, Indium-Free Soluble Zn-Sn-O Semiconductors for Thin-Film Transistor Applications. ACS Appl. Mater. Interfaces 2014, 6, 18429–18434. [Google Scholar] [CrossRef] [PubMed]
- Liu, A.; Guo, Z.; Liu, G.; Zhu, C.; Zhu, H.; Shin, B.; Fortunato, E.; Martins, R.; Shan, F. Redox Chloride Elimination Reaction: Facile Solution Route for Indium-Free, Low-Voltage, and High-Performance Transistors. Adv. Electron. Mater. 2017, 3, 1600513. [Google Scholar] [CrossRef]
- He, Z.; Asare-Yeboah, K.; Zhang, Z.; Bi, S. Manipulate organic crystal morphology and charge transport. Org. Electron. 2022, 103, 106448. [Google Scholar] [CrossRef]
- He, Z.; Chen, J.; Li, D. Polymer additive controlled morphology for high performance organic thin film transistors. Soft Matter 2019, 15, 5790–5803. [Google Scholar] [CrossRef]
- Kamiya, T.; Hosono, H. Material characteristics and applications of transparent amorphous oxide semiconductors. NPG Asia Mater. 2010, 2, 15–22. [Google Scholar] [CrossRef]
- Hong, D.; Wager, J.F. Passivation of zinc-tin-oxide thin-film transistors. J. Vac. Sci. Technol. B 2005, 23, L25–L27. [Google Scholar] [CrossRef]




| Type | Threshold Voltage (V) | On/Off Ratio | 
|---|---|---|
| AZO/ZnO/SiO2/Si | 14.3 | 2.5 × 104 | 
| ZnO/AZO/SiO2/Si | 9.5 | 6.3 × 104 | 
| After annealing in vacuum | 2.9 | 6.8 × 105 | 
| After annealing in air | 9.1 | 1.4 × 105 | 
| Publisher’s Note: MDPI stays neutral with regard to jurisdictional claims in published maps and institutional affiliations. | 
© 2022 by the authors. Licensee MDPI, Basel, Switzerland. This article is an open access article distributed under the terms and conditions of the Creative Commons Attribution (CC BY) license (https://creativecommons.org/licenses/by/4.0/).
Share and Cite
Yan, X.; Song, K.; Li, B.; Zhang, Y.; Yang, F.; Wang, Y.; Wang, C.; Chi, Y.; Yang, X. Performance Enhancement for Indium-Free Metal Oxide Thin-Film Transistors with Double-Active-Layers by Magnetron Sputtering at Room Temperature. Micromachines 2022, 13, 2024. https://doi.org/10.3390/mi13112024
Yan X, Song K, Li B, Zhang Y, Yang F, Wang Y, Wang C, Chi Y, Yang X. Performance Enhancement for Indium-Free Metal Oxide Thin-Film Transistors with Double-Active-Layers by Magnetron Sputtering at Room Temperature. Micromachines. 2022; 13(11):2024. https://doi.org/10.3390/mi13112024
Chicago/Turabian StyleYan, Xingzhen, Kaian Song, Bo Li, Yiqiang Zhang, Fan Yang, Yanjie Wang, Chao Wang, Yaodan Chi, and Xiaotian Yang. 2022. "Performance Enhancement for Indium-Free Metal Oxide Thin-Film Transistors with Double-Active-Layers by Magnetron Sputtering at Room Temperature" Micromachines 13, no. 11: 2024. https://doi.org/10.3390/mi13112024
APA StyleYan, X., Song, K., Li, B., Zhang, Y., Yang, F., Wang, Y., Wang, C., Chi, Y., & Yang, X. (2022). Performance Enhancement for Indium-Free Metal Oxide Thin-Film Transistors with Double-Active-Layers by Magnetron Sputtering at Room Temperature. Micromachines, 13(11), 2024. https://doi.org/10.3390/mi13112024
 
         
                                                

 
       