Novel Ge-Based Plasma TFET with High Rectification Efficiency for 2.45 GHz Microwave Wireless Weak Energy Transmission
Abstract
1. Introduction
2. Novel Ge-Based Plasma TFET Design
2.1. Basic Working Mechanism
2.2. Plasma Mechanism
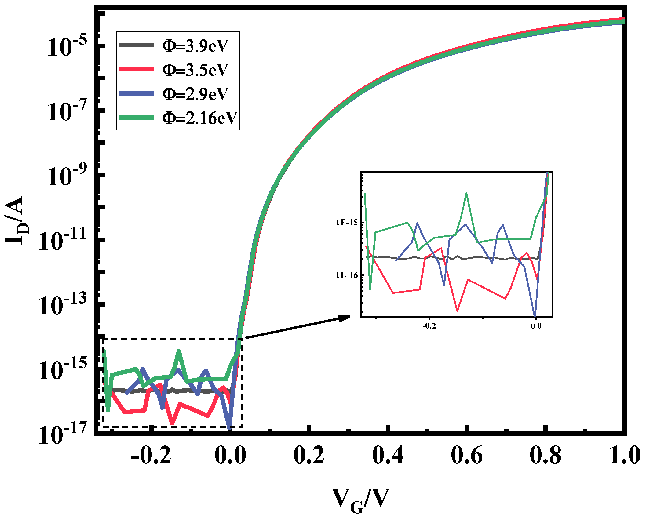
2.3. Device Structure Design and Parameter Optimisation Simulation
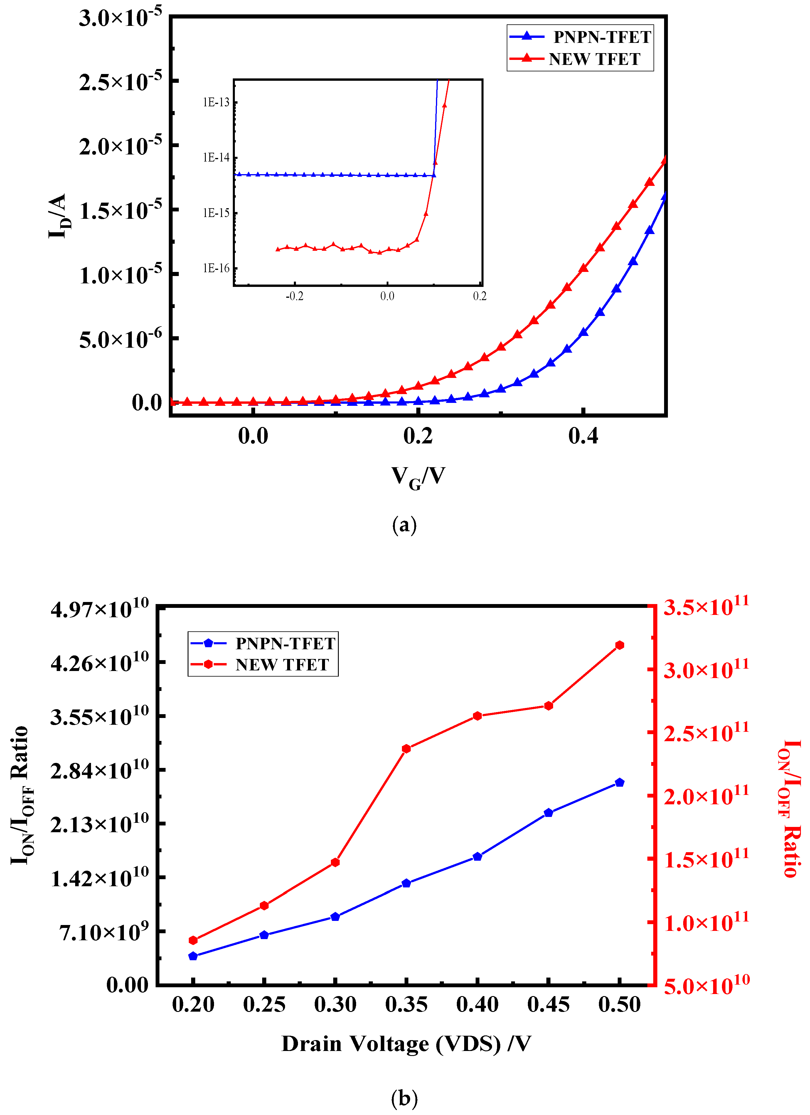
3. Rectifier Circuit Design and Simulation
3.1. Half-Wave Rectifier Circuit Construction
3.2. Transient Simulation
4. Conclusions
Author Contributions
Funding
Data Availability Statement
Conflicts of Interest
References
- Li, S.; Mi, C.C. Wireless Power Transfer for Electric Vehicle Applications. IEEE J. Emerg. Sel. Top. Power Electron. 2015, 3, 4–17. [Google Scholar]
- Lu, F.; Zhang, H.; Mi, C. A two-plate capacitive wireless power transfer system for electric vehicle charging applications. IEEE Trans. Power Electron 2018, 33, 964–969. [Google Scholar] [CrossRef]
- Talla, V.; Kellogg, B.; Gollakota, S.; Smith, J.R. Battery-free cellphone. ACM Interact. Mob. Wearable Ubiquitous Technol. 2017, 1, 1–20. [Google Scholar] [CrossRef]
- Sun, L.; Wan, L.; Liu, K.; Wang, X. Cooperative-evolution-based WPT resource allocation for large-scale cognitive industrial IoT. IEEE Trans. Ind. Inform. 2019, 16, 5401–5411. [Google Scholar] [CrossRef]
- Basar, R.; Ahmad, M.Y.; Cho, J.; Ibrahim, F. Stable and high-efficiency wireless power transfer system for robotic capsule using a modified Helmholtz coil. IEEE Trans. Ind. Electron. 2016, 64, 1113–1122. [Google Scholar] [CrossRef]
- Kim, J.; Gutruf, P.; Chiarelli, A.M.; Heo, S.Y.; Cho, K.; Xie, Z.; Banks, A.; Han, S.; Jang, K.; Lee, J.W.; et al. Miniaturized battery-free wireless systems for wearable pulse oximetry. Adv. Funct. Mater. 2017, 27, 1604373. [Google Scholar] [CrossRef]
- Hwang, S.J.; Kim, S.G.; Lee, Y.G. Developing high altitude long endurance (HALE) solar-powered unmanned aerial vehicle (UAV). J. Aerosp. Syst. Eng. 2016, 10, 59–65. [Google Scholar] [CrossRef][Green Version]
- Eteng, A.A.; Goh, H.H.; Rahim, S.K.A.; Alomainy, A. A review of metasurfaces for microwave energy transmission and harvesting in wireless powered networks. IEEE Access 2021, 9, 27518–27539. [Google Scholar] [CrossRef]
- Ullah, A.; Keshavarz, R.; Abolhasan, M.; Lipman, J.; Esselle, K.P.; Shariati, N. A review on antenna technologies for ambient RF energy harvesting and wireless power transfer: Designs, challenges and applications. IEEE Access 2022, 10, 17231–17267. [Google Scholar] [CrossRef]
- Haerinia, M.; Shadid, R. Wireless power transfer approaches for medical implants: A review. Signals 2020, 1, 209–229. [Google Scholar] [CrossRef]
- Divakaran, S.K.; Krishna, D.D. RF energy harvesting systems: An overview and design issues. Int. J. RF Microw. Comput.-Aided Eng. 2019, 29, e21633. [Google Scholar] [CrossRef]
- Jian-Jun, S.; Long-Qiang, Z.; Lei, C.; Liang, Z.; Lei, S.; Jun-Feng, L.; Chu-Hao, X.; Jia-Hao, L. A Ge-based Schottky diode for 2.45 G weak energy microwave wireless energy transmission based on crystal orientation optimization and Sn alloying technology. Acta Phys. Sin. 2021, 70, 108401. (In Chinese) [Google Scholar]
- Li, Y.C.; Chen, H.Y.; Song, J.J. Ge Schottky diode for improving energy conversion efficiency of the receiver of microwave wireless power transfer. Acta Phys. Sin. 2020, 69, 108401. (In Chinese) [Google Scholar] [CrossRef]
- Ramalingam, L.; Mariappan, S.; Parameswaran, P.; Rajendran, J.; Nitesh, R.S.; Kumar, N.; Nathan, A.; Yarman, B.S. The advancement of radio frequency energy harvesters (RFEHs) as a revolutionary approach for solving energy crisis in wireless communication devices: A review. IEEE Access 2021, 9, 106107–106139. [Google Scholar] [CrossRef]
- Turkane, S.M.; Kureshi, A.K. Review of tunnel field effect transistor (TFET). Int. J. Appl. Eng. Res. 2016, 11, 4922–4929. [Google Scholar]
- Qin, W.; Lv, Y.; Xia, Z.; Liao, L.; Jiang, C. Van der Waals heterostructure tunnel FET with potential modulation beyond junction region. Sci. China Inf. Sci. 2022, 65, 209401. [Google Scholar] [CrossRef]
- Baruah, K.; Baishya, S. Numerical assessment of dielectrically-modulated short-double-gate PNPN TFET-based label-free biosensor. Microelectron. J. 2023, 133, 105717. [Google Scholar] [CrossRef]
- Kumari, T.; Saha, P.; Dash, D.K.; Sarkar, S.K. Modeling of dual gate material hetero-dielectric strained PNPN TFET for improved ON current. J. Mater. Eng. Perform. 2018, 27, 2747–2753. [Google Scholar] [CrossRef]
- Baruah, K.; Debnath, R.G.; Baishya, S. Study of noise behavior of heterojunction double-gate PNPN TFET for different parameter variations. In Micro and Nanoelectronics Devices, Circuits and Systems: Select Proceedings of MNDCS; Springer: Singapore, 2021; Volume 2022, pp. 91–97. [Google Scholar]
- Abdi, D.B.; Kumar, M.J. In-built N+ pocket pnpn tunnel field-effect transistor. IEEE Electron Device Lett. 2014, 35, 1170–1172. [Google Scholar] [CrossRef]
- Lal, K.; Verma, A.; Kumar, P.; Kumar, N.; Amin, S.I.; Anand, S. Design and Performance Enhancement of Gate-on-Source PNPN Doping–Less Vertical Nanowire TFET. Silicon 2022, 14, 4375–4382. [Google Scholar] [CrossRef]
- Abdi, D.B.; Kumar, M.J. 2-D threshold voltage model for the double-gate pnpn TFET with localized charges. IEEE Trans. Electron Devices 2016, 63, 3663–3668. [Google Scholar] [CrossRef]
- Hueting, R.J.; Rajasekharan, B.; Salm, C.; Schmitz, J. The charge plasma PN diode. IEEE Electron Device Lett. 2008, 29, 1367–1369. [Google Scholar] [CrossRef]
- Rajasekharan, B.; Hueting, R.J.E.; Salm, C.; van Hemert, T.; Wolters, R.A.M.; Schmitz, J. Fabrication and characterization of the charge-plasma diode. IEEE Electron Device Lett. 2010, 31, 528–530. [Google Scholar] [CrossRef]
- Zhai, X.; Song, J.; Chen, H.; Dai, X.; Zhao, T. High Electron Mobility Ge1−x Snx (x > 10%) Folding Space Charge Zone Schottky Diode for Microwave Wireless Power Transfer. IEEE Access 2019, 7, 127438–127452. [Google Scholar] [CrossRef]
- Xue, X.H. Research on High Rectification Efficiency MOSFET for 2.45G Weak Energy Wireless Harvesting. Master’s Thesis, Xidian University, Xi’an, China, 2021. [Google Scholar]
















| Parameter | Value |
|---|---|
| Ge body material thickness (nm) | 10 |
| Source metal length (nm) | 27 |
| Drain metal length (nm) | 27 |
| Gate length (nm) | 40 |
| Oxide layer thickness (nm) | 1.5 |
| Source gate pitch (nm) | 3 |
| Drain gate pitch (nm) | 3 |
| Source metal work function (eV) | 5 |
| Drain metal work function (eV) | 3.9 |
Disclaimer/Publisher’s Note: The statements, opinions and data contained in all publications are solely those of the individual author(s) and contributor(s) and not of MDPI and/or the editor(s). MDPI and/or the editor(s) disclaim responsibility for any injury to people or property resulting from any ideas, methods, instructions or products referred to in the content. |
© 2024 by the authors. Licensee MDPI, Basel, Switzerland. This article is an open access article distributed under the terms and conditions of the Creative Commons Attribution (CC BY) license (https://creativecommons.org/licenses/by/4.0/).
Share and Cite
Liu, W.; Bi, S.; Song, J. Novel Ge-Based Plasma TFET with High Rectification Efficiency for 2.45 GHz Microwave Wireless Weak Energy Transmission. Micromachines 2024, 15, 117. https://doi.org/10.3390/mi15010117
Liu W, Bi S, Song J. Novel Ge-Based Plasma TFET with High Rectification Efficiency for 2.45 GHz Microwave Wireless Weak Energy Transmission. Micromachines. 2024; 15(1):117. https://doi.org/10.3390/mi15010117
Chicago/Turabian StyleLiu, Weifeng, Sihan Bi, and Jianjun Song. 2024. "Novel Ge-Based Plasma TFET with High Rectification Efficiency for 2.45 GHz Microwave Wireless Weak Energy Transmission" Micromachines 15, no. 1: 117. https://doi.org/10.3390/mi15010117
APA StyleLiu, W., Bi, S., & Song, J. (2024). Novel Ge-Based Plasma TFET with High Rectification Efficiency for 2.45 GHz Microwave Wireless Weak Energy Transmission. Micromachines, 15(1), 117. https://doi.org/10.3390/mi15010117
