The Simulation of Mode Control for a Photonic Lantern Adaptive Amplifier
Abstract
1. Introduction
2. Materials and Methods
3. Results and Discussions
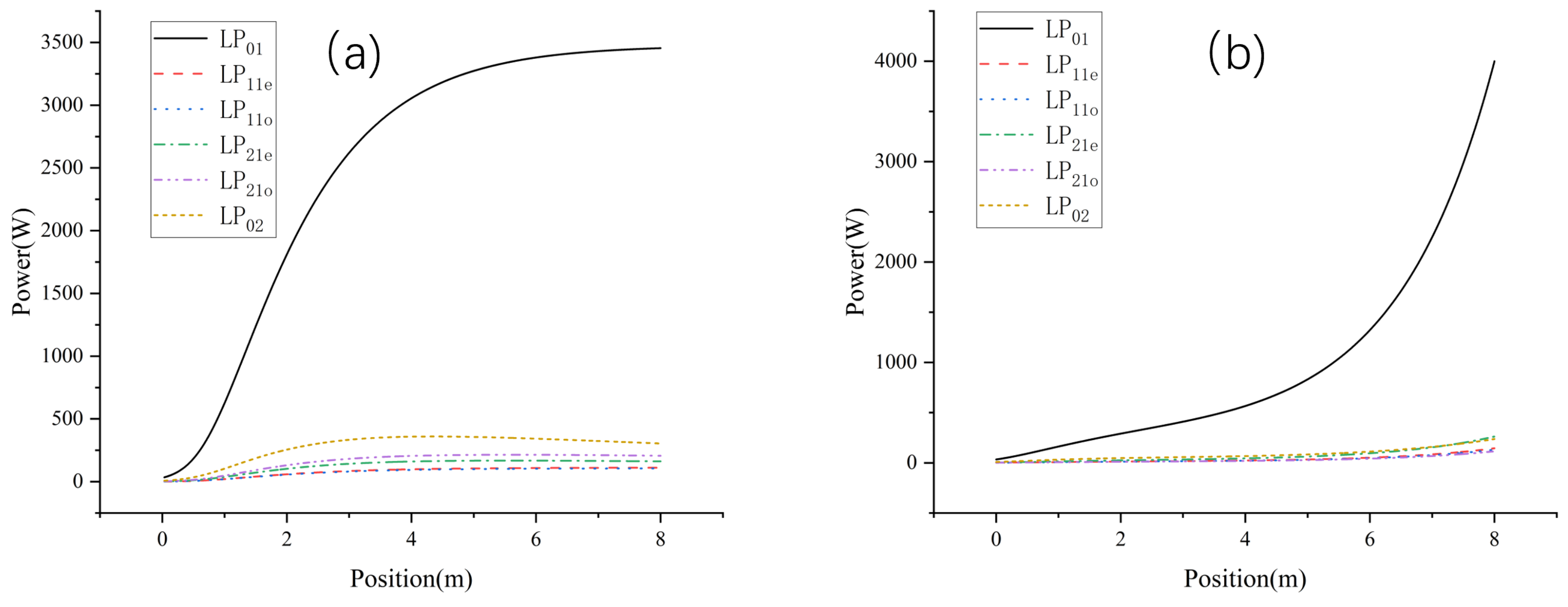
3.1. The Effect of Mode Competition Within the Gain Fiber on Mode Control Results
3.2. The Influence of Gain Fiber Length on the Control Effect
3.3. The Influence of Pumping Methods on the Control Effect
3.4. The Influence of Gain Fiber Pumping Power on the Control Effect
4. Conclusions
Author Contributions
Funding
Data Availability Statement
Conflicts of Interest
References
- Richardson, D.J.; Nilsson, J.; Clarkson, W.A. High power fiber lasers: Current status and future perspectives. J. Opt. Soc. Am. Opt. Phys. 2010, 27, B63. [Google Scholar] [CrossRef]
- Jauregui, C.; Limpert, J.; Tünnermann, A. High-power fibre lasers. Nat. Photonics 2013, 7, 861. [Google Scholar] [CrossRef]
- Zervas, M.N.; Codemard, C.A. High Power Fiber Lasers: A Review. IEEE J. Sel. Top. Quantum Electron. 2014, 20, 219. [Google Scholar] [CrossRef]
- Taverner, D.; Galvanauskas, A.; Harter, D.; Richardson, D.; Dong, L. Generation of high-energy pulses using a large-mode-area erbium-doped fiber amplifier. In Proceedings of the Summaries of Papers Presented at the Conference on Lasers and Electro-Optics, Anaheim, CA, USA, 2–7 June 1996; IEEE: Piscataway, NJ, USA, 1996; p. 496. [Google Scholar]
- Paschotta, R.; Nilsson, J.; Tropper, A.C.; Hanna, D.C. Ytterbium-doped fiber amplifiers. IEEE J. Quantum Electron. 1997, 33, 1049. [Google Scholar] [CrossRef]
- Naderi, S.; Dajani, I.; Madden, T.; Robin, C. Investigations of modal instabilities in fiber amplifiers through detailed numerical simulations. Opt. Express 2013, 21, 16111. [Google Scholar] [CrossRef] [PubMed]
- Smith, A.V.; Smith, J.J. Raising the mode instability thresholds of fiber amplifiers. In Proceedings of the Fiber Lasers XI: Technology, Systems, and Applications, San Francisco, CA, USA, 3–6 February 2014; Ramachandran, S., Ed.; International Society for Optics and Photonics, SPIE: Bellingham, WA, USA, 2014; Volume 8961, p. 89611S. [Google Scholar] [CrossRef]
- Beier, F.; Hupel, C.; Nold, J.; Kuhn, S.; Hein, S.; Ihring, J.; Sattler, B.; Haarlammert, N.; Schreiber, T.; Eberhardt, R.; et al. Narrow linewidth, single mode 3 kW average power from a directly diode pumped ytterbium-doped low NA fiber amplifier. Opt. Express 2016, 24, 6011. [Google Scholar] [CrossRef] [PubMed]
- Beier, F.; Möller, F.; Sattler, B.; Nold, J.; Liem, A.; Hupel, C.; Kuhn, S.; Hein, S.; Haarlammert, N.; Schreiber, T.; et al. Experimental investigations on the TMI thresholds of low-NA Yb-doped single-mode fibers. Opt. Lett. 2018, 43, 1291. [Google Scholar] [CrossRef] [PubMed]
- Tao, R.; Su, R.; Ma, P.; Wang, X.; Zhou, P. Suppressing mode instabilities by optimizing the fiber coiling methods. Laser Phys. Lett. 2016, 14, 025101. [Google Scholar] [CrossRef]
- Leon-Saval, S.G.; Argyros, A.; Bland-Hawthorn, J. Photonic lanterns: A study of light propagation in multimode to single-mode converters. Opt. Express 2010, 18, 8430. [Google Scholar] [CrossRef] [PubMed]
- Leon-Saval, S.G.; Argyros, A.; Bland-Hawthorn, J. Photonic lanterns. Nanophotonics 2013, 2, 429. [Google Scholar] [CrossRef]
- Noordegraaf, D.; Skovgaard, P.M.; Maack, M.D.; Bland-Hawthorn, J.; Lægsgaard, J. Multi-mode to single-mode conversion in a 61 port Photonic Lantern. Opt. Express 2010, 18, 4673. [Google Scholar] [CrossRef] [PubMed]
- Birks, T.A.; Gris-Sánchez, I.; Yerolatsitis, S.; Leon-Saval, S.; Thomson, R.R. The photonic lantern. Adv. Opt. Photonics 2015, 7, 107. [Google Scholar] [CrossRef]
- Bland-Hawthorn, J.; Ellis, S.; Leon-Saval, S.; Haynes, R.; Roth, M.M.; Löhmannsröben, H.G.; Horton, A.; Cuby, J.G.; Birks, T.A.; Lawrence, J.; et al. A complex multi-notch astronomical filter to suppress the bright infrared sky. Nat. Commun. 2011, 2, 581. [Google Scholar] [CrossRef] [PubMed]
- Lu, Y.; Chen, Z.; Liu, W.; Jiang, M.; Yang, J.; Zhou, Q.; Zhang, J.; Chai, J.; Jiang, Z. Stable single transverse mode excitation in 50 μm core fiber using a photonic-lantern-based adaptive control system. Opt. Express 2022, 30, 22435. [Google Scholar] [CrossRef] [PubMed]
- Zhou, Q.; Lu, Y.; Li, C.; Chai, J.; Zhang, D.; Liu, P.; Zhang, J.; Jiang, Z.; Liu, W. Transmission Matrix-Inspired Optimization for Mode Control in a 6 × 1 Photonic Lantern-Based Fiber Laser. Photonics 2023, 10, 390. [Google Scholar] [CrossRef]
- Ze, Y.; Liu, P.; Zhang, H.; Hu, Y.; Ding, L.; Yan, B.; Zhang, J.; Zhou, Q.; Liu, W. Realizing a kilowatt-level fiber amplifier with a 42 μm core diameter fiber for improved multi-mode performance towards single mode operation output through adaptive spatial mode control utilizing a 3× 1 photonic lantern. Opt. Express 2024, 32, 35794–35805. [Google Scholar] [CrossRef]
- Montoya, J.; Aleshire, C.; Hwang, C.; Fontaine, N.K.; Velázquez-Benítez, A.; Martz, D.H.; Fan, T.Y.; Ripin, D. Photonic lantern adaptive spatial mode control in LMA fiber amplifiers. Opt. Express 2016, 24, 3405. [Google Scholar] [CrossRef] [PubMed]
- Vorontsov, M.; Riker, J.; Carhart, G.; Gudimetla, V.S.R.; Beresnev, L.; Weyrauch, T.; Roberts, L.C. Deep turbulence effects compensation experiments with a cascaded adaptive optics system using a 3.63 m telescope. Appl. Opt. 2009, 48, A47–A57. [Google Scholar] [CrossRef] [PubMed]
- Vorontsov, M.A.; Carhart, G.W. Adaptive wavefront control with asynchronous stochastic parallel gradient descent clusters. J. Opt. Soc. Am. Opt. Image Sci. Vis. 2006, 23, 2613–2622. [Google Scholar] [CrossRef] [PubMed][Green Version]









| Parameter | Value |
|---|---|
| Core radius, | 25 m |
| Inner cladding radius, | 200 m |
| Outer cladding radius, | 250 m |
| Doping concentration of Yb ion | /m3 |
| Pumping power | 5000 W |
| Signal light wavelength, | 1064 m |
| Pumping wavelength, | 976 m |
| Refractive index of fiber, | 1.4589 |
| Refractive index of inner cladding, | 1.4577 |
| Spontaneous lifetime, | 900 s |
| Pump absorption cross-section, | m2 |
| Pump emission cross-section, | m2 |
| Signal absorption cross-section, | m2 |
| Signal emission cross-section, | m2 |
| Gain Fiber Length | Pumping Efficiency | Fundamental Ratio | m2 Factor |
|---|---|---|---|
| 3 m | 53.5% | 66% | 1.6 |
| 4 m | 58.3% | 71.8% | 1.44 |
| 5 m | 64.8% | 73% | 1.3 |
| 6 m | 70.6% | 75% | 1.33 |
| 7 m | 72.4% | 76% | 1.33 |
| 8 m | 72.4% | 79% | 1.22 |
| 9 m | 73.1% | 74% | 1.34 |
| 10 m | 71% | 71% | 1.42 |
| 11 m | 70.6% | 71% | 1.43 |
| 12 m | 70.2% | 72% | 1.4 |
Disclaimer/Publisher’s Note: The statements, opinions and data contained in all publications are solely those of the individual author(s) and contributor(s) and not of MDPI and/or the editor(s). MDPI and/or the editor(s) disclaim responsibility for any injury to people or property resulting from any ideas, methods, instructions or products referred to in the content. |
© 2024 by the authors. Licensee MDPI, Basel, Switzerland. This article is an open access article distributed under the terms and conditions of the Creative Commons Attribution (CC BY) license (https://creativecommons.org/licenses/by/4.0/).
Share and Cite
Ze, Y.; Liu, P.; Zhang, H.; Hu, Y.; Ding, L.; Yan, B.; Zhang, J.; Zhou, Q.; Liu, W. The Simulation of Mode Control for a Photonic Lantern Adaptive Amplifier. Micromachines 2024, 15, 1342. https://doi.org/10.3390/mi15111342
Ze Y, Liu P, Zhang H, Hu Y, Ding L, Yan B, Zhang J, Zhou Q, Liu W. The Simulation of Mode Control for a Photonic Lantern Adaptive Amplifier. Micromachines. 2024; 15(11):1342. https://doi.org/10.3390/mi15111342
Chicago/Turabian StyleZe, Yuxuan, Pengfei Liu, Hanwei Zhang, Yanyang Hu, Lianchuang Ding, Baozhu Yan, Jiangbin Zhang, Qiong Zhou, and Wenguang Liu. 2024. "The Simulation of Mode Control for a Photonic Lantern Adaptive Amplifier" Micromachines 15, no. 11: 1342. https://doi.org/10.3390/mi15111342
APA StyleZe, Y., Liu, P., Zhang, H., Hu, Y., Ding, L., Yan, B., Zhang, J., Zhou, Q., & Liu, W. (2024). The Simulation of Mode Control for a Photonic Lantern Adaptive Amplifier. Micromachines, 15(11), 1342. https://doi.org/10.3390/mi15111342
