Next Article in Journal
A Physical TCAD Mobility Model of Amorphous In-Ga-Zn-O (a-IGZO) Devices with Spatially Varying Mobility Edges, Band-Tails, and Enhanced Low-Temperature Convergence
Next Article in Special Issue
Advancing Lithium-Ion Batteries’ Electrochemical Performance: Ultrathin Alumina Coating on Li(Ni0.8Co0.1Mn0.1)O2 Cathode Materials
Previous Article in Journal
Purification of Spherical Graphite as Anode for Li-Ion Battery: A Comparative Study on the Purifying Approaches
Previous Article in Special Issue
Advances in Host-Free White Organic Light-Emitting Diodes Utilizing Thermally Activated Delayed Fluorescence: A Comprehensive Review
 
 
Font Type:
Arial Georgia Verdana
Font Size:
Aa Aa Aa
Line Spacing:
Column Width:
Background:
Article

ZnMn2O4/V2CTx Composites Prepared as an Anode Material via High-Temperature Calcination Method for Optimized Li-Ion Batteries

1
Key Laboratory of Functional Materials Physics and Chemistry of the Ministry of Education, Jilin Normal University, Changchun 130103, China
2
Joint Laboratory of MXene Materials, Jilin Normal University, Changchun 130103, China
3
State Key Laboratory of Superhard Materials, College of Physics, Jilin University, Changchun 130012, China
*
Authors to whom correspondence should be addressed.
Micromachines 2024, 15(7), 828; https://doi.org/10.3390/mi15070828
Submission received: 11 June 2024 / Revised: 24 June 2024 / Accepted: 24 June 2024 / Published: 27 June 2024
(This article belongs to the Special Issue Energy Conversion Materials/Devices and Their Applications)

Abstract

The ZnMn2O4/V2CTx composites with a lamellar rod-like bond structure were successfully synthesized through high-temperature calcination at 300 °C, aiming to enhance the Li storage properties of spinel-type ZnMn2O4 anode materials for lithium-ion batteries. Moreover, even though the electrode of the composites obtained at 300 °C had a nominal specific capacity of 100 mAh g−1, it exhibited an impressive specific discharge capacity of 163 mAh g−1 after undergoing 100 cycles. This represents an approximate increase of 64% compared to that observed in the pure ZnMn2O4 electrode (99.5 mAh g−1). The remarkable performance of the composite can be credited to the collaborative impact between ZnMn2O4 and V2CTx, leading to a substantial improvement in its lithium ion storage capacity. Therefore, this study offers valuable insights into developing cost-effective, safe, and easily prepared anode materials.

1. Introduction

Recently, human society has witnessed a remarkable surge in progress, which has been accompanied by two significant challenges in the energy and environmental sectors that present major obstacles to the formulation of a national economic strategy [1,2]. Lithium-ion batteries (LIBs) have become widely used in various industries due to their exceptional characteristics, including a high capacity for storing energy, a minimal loss of charge over time, a lightweight construction, and an environmentally friendly nature. They play an indispensable role as vital energy storage devices that drive technological advancements and foster sustainable development [3,4,5]. Although LIBs exhibit exceptional performance in various aspects, they also possess certain drawbacks such as safety concerns, limited cycle life, temperature sensitivity, and capacity decay. Nevertheless, through continuous advancements in science and technology, along with technological enhancements, diligent efforts are being made to overcome these challenges. The ultimate goal is to further enhance the performance and safety of LIBs while promoting their extensive utilization across diverse fields [6,7,8].
Mixed transition metal oxides (MTMOs), exhibiting a spinel structure AB2O4, where A denotes divalent metal ions, such as Cu2+, Zn2+, Mn2+, and Mg2+, and B represents trivalent metal ions, including Fe3+, Al3+, Co3+, etc., have garnered significant attention owing to their remarkable electrochemical properties [9], being conversion anode materials exhibiting a theoretical capacity ranging from 700 to 1000 mAh g−1, involving the transfer of at least eight moles of electrons during the initial discharge process. Among the various MTMOs, ZnMn2O4 exhibits two distinct lithium intercalation mechanisms (conversion and alloying), allowing it to achieve an initial discharge treatment with a theoretical capacity of 1008 mAh g−1, surpassing other MTMOs without zinc [10,11]. In comparison to most Co- or Fe-based oxides, ZnMn2O4 operates within a voltage range of only 1.2–1.5 V (vs. Li+/Li), thereby expanding its potential window to battery applications [12]. Moreover, its abundant raw material sources, cost-effectiveness, and near-non-toxicity contribute to its suitability for large-scale utilization [13]. However, the inevitable volume changes during charge and discharge pose challenges in practical applications by causing structural collapse and comminution of the anode material, as well as reducing its capacity [14]. Additionally, similar to other MTMOs, ZnMn2O4 exhibits low electronic conductivity, which further hampers its performance. To address these limitations effectively, various strategies involve combining ZnMn2O4 with auxiliary materials, such as carbon nanotubes (CNTs) or graphene, that facilitate electron and ion transport while mitigating adverse effects associated with volumetric changes occurring throughout battery cycling [15,16].
The MXene material is a two-dimensional (2D) layered material characterized by its highly conductive core and exceptional dispersibility in aqueous solutions owing to its hydrophilic surface [17]. Its unique nature makes fleck-like 2D MXene commonly used for constructing high-level structures for LiBs [18,19]. In this study, V2CTx MXene was utilized to enhance the low conductivity, slow ion diffusion, and volume expansion of ZnMn2O4. An effective method for synthesizing a ZnMn2O4/V2CTx composite electrode is reported, aiming to (1) develop a simple and applicable approach for preparing composite materials and (2) characterize the correlation between the morphology, structure, and electrochemical characteristics of ZnMn2O4/V2CTx. Additionally, rational energy storage mechanisms have been proposed based on cyclic voltammetry tests. This work provides valuable data supporting the enhancement of the electrochemical properties of ZnMn2O4.

2. Experimental Methods

2.1. Materials

The V2AlC powder was supplied by 11 technology Co., Ltd. (China). Zinc sulfate heptahydrate (ZnSO4·7H2O), anhydrous oxalic acid (C2H2O4), and hydrochloric acid (HCl) were supplied by Shanghai Aladdin Biochemical Technology Co., Ltd. (China). Ammonium fluoride (NH4F) and polyethylene glycol 400 (H(OCH2CH2)n OH) were supplied by Sinopharm Chemical Reagent Co., Ltd. (China). Manganese chloride (MnCl2·4H2O) was supplied by Tianjin Damao Chemical Reagent Factory. All chemicals and reagents utilized in the research are analyzed-grade or higher purity, obviating the need for addition purification.

2.2. Preparation Methods

2.2.1. Preparation of ZnMn2O4 Micron Rods

The mixture of 20 mL anhydrous ethanol, 10 mL polyethylene glycol 400, and 10 mL deionized water was supplemented with 0.18 g of anhydrous oxalic acid (C2H2O4). Subsequently, the solution was further enriched with 0.144 g of zinc sulfate heptahydrate (ZnSO4·7H2O) and 0.198 g of manganese chloride (MnCl2·4H2O), followed by stirring at a temperature of 300 K for a period of 6 h. After being subjected to centrifugation at a speed of 5000 rpm for 5 min, the resulting precipitates underwent three washes with pure water and two washes with ethanol. Subsequently, they were dried in a preheated oven maintained at a temperature of 60 °C for up to 12 h to obtain precursor materials in the form of rods. The obtained precursor underwent calcination in a muffle furnace starting from room temperature until reaching a final temperature of 400 °C at an increment rate of 5 °C/min, followed by holding it steady for two hours prior to a natural cooling process, resulting in the formation of ZnMn2O4 micron rods labeled as the ZMO sample.

2.2.2. Preparation of V2CTx MXene by Hydrochloric Acid and Ammonium Fluoride Etching Method

The plastic beaker with a capacity of 50 mL was filled by combining 20 mL of hydrochloric acid and an equal volume of deionized water, and NH4F powder particles weighing 2.0 g were introduced into the mixture. The solution underwent magnetic stirring for a duration of 0.5 h at a temperature of 300 K. Subsequently, 2.0 g of V2AlC powder was gently added to the beaker and stirred for an additional 5 min. The mixture obtained was subsequently transferred into a 100 mL autoclave lined with Teflon and underwent hydrothermal treatment at a temperature of 120 °C for a period of 24 h. Afterwards, the remaining black sediment underwent several rinses with deionized water until the liquid above it had a pH value of ≥5. This was followed by an extra wash using alcohol. The damp black sediment produced from this procedure underwent filtration at a speed of 4500 rpm for 5 min, followed by dehydration in a vacuum oven set to 60 °C for a period of 12 h, resulting in the acquisition of the V2CTx MXene specimen.

2.2.3. Preparation of ZnMn2O4/V2CTx Composite by High Temperature Calcination Method

In this method, 1.0 g ZnMn2O4 and 1.0 g V2CTx MXene were ground together in a grinder until achieving homogeneity. The resulting mixture was divided into thirds: one portion remained uncalcined and labeled as the ZMO/V2CTx sample; while the other two portions were calcined by air in the muffle furnace at heating rates of 5 °C/min, and the temperature reached 300 °C and 400 °C, respectively, and was kept for 2 h before natural cooling. The corresponding samples were designated as ZMO/V2CTx-300 and ZMO/V2CTx-400.

2.3. Characterization

The XRD patterns were acquired utilizing a Rigaku D/Max-2500 X-ray diffractometer (Japan) within the range of 5–65°. Raman spectroscopic investigations were conducted employing a Renishaw in Via RFS100/S micro-Raman spectrometer (Britain) with an excitation wavelength of 514 nm. Fourier transform infrared (FTIR) spectroscopy analysis was performed using a Thermo Scientific Nicolet iS50 spectrophotometer (USA). The surface morphology and composition analysis were carried out utilizing a JEOL JSM-7800F scanning electron microscope (SEM) (Japan). The surface composition was determined through X-ray photoelectron spectroscopy (XPS) using an Escalab 250Xi spectrometer (USA).

2.4. Electrochemical Tests

The electrochemical performance of the prepared samples was investigated employing the 2032 button battery technique, wherein a copper sheet was utilized as the substrate for coating the sample to create an anode, while lithium ions were employed as the reference electrode.
The active ingredient (sample obtained), conductive material (acetylene black), and binder (PVDF) were combined in a ratio of 8:1:1 by weight and dissolved in N-methyl pyrrolidone (NMP) solvent to create a slurry. This slurry was then applied onto circular copper sheets with a radius of 6 mm, followed by vacuum drying at 60 °C for 12 h. The electrochemical performance of the prepared electrodes was examined using cyclic voltammetry (CV) and constant current charge–discharge (GCD) measurements, conducted on electrochemical workstations (Chenhua CHI660E and Metrohm Autolab PGSTAT302N) (Switzerland), as well as a battery test system NEWARE CT-4008T (China). All electrochemical experiments utilized approximately 1 mg of active ingredients, and the mass loading of the active materials in the electrode was 1 mg/cm2.

3. Results and Discussion

3.1. Structural Characterization

In Figure 1a, an anode composed of ZnMn2O4/V2CTx and a reference electrode consisting of a lithium sheet were utilized to fabricate LIBs. The two parallel electrodes were separated by a filter paper.
Figure 1b clearly illustrates the diffraction peaks of ZMO, which match well with standard PDF#71-2499. After etching V2AlC (PDF#29-0101) with NH4F+HCl, the characteristic diffraction peak at approximately 9.16° can be attributed to the (002) plane of V2CTx MXene. The results demonstrate successful fabrication of pure ZnMn2O4 and V2CTx MXene materials. For the ZMO/V2CTx sample, observed peaks correspond to crystal planes for both ZnMn2O4 and V2CTx MXene without any significant impurity peak detected. It is noteworthy that compared to V2CTx alone, in the ZMO/V2CTx composite material, there is a slight shift in position from 9.16° to 9.24° for peak (002), indicating a more compact and stacked structure resulting from the grinding process on V2CTx MXene. Upon calcination at 300 °C, the XRD pattern shows no apparent changes except for a gradual decrease in diffraction peak intensity of V2CTx MXene, suggesting structural breakdown at high temperatures. However, when the temperature reaches 400 °C, the characteristic peaks strength of ZnMn2O4 gradually increases, along with the appearance of MnV7O14 phase (PDF#89-0484). As shown in Figure 1c, the Raman spectroscopy tests demonstrate that the 321 cm−1 Raman peak observed in the ZMO electrode is a result of the vibration of the Zn-O bond within the tetrahedral structure of ZnFe2O4. Additionally, it can be inferred from the presence of a 635 cm−1 Raman peak that there are symmetric stretching vibrations occurring in MnO6 groups, indicating the existence of a spinel phase. The peak at around 138 cm−1 represents a characteristic feature of V2CTx MXene, confirming successful preparation of the ZnMn2O4/V2CTx composite sample. Additionally, a characteristic peak near 844 cm−1 confirms the synthesis of Mn2V2O7 for ZMO/V2CTx-400 and is consistent with the XRD results. The FTIR spectra for synthesized ZMO and ZnMn2O4/V2CTx are plotted over a range spanning from 400 to 4000 cm−1 and are shown in Figure 1d. In terms of pure ZMO (as seen in figure), an observed peak appears between regions ranging from 500 to 700 cm−1, which may be due to M-O-M (where M = Zn, Mn) bonding; weak bands at approximately 1001.84 cm−1 correspond to -OH vibrations; strong absorption around 1613 cm−1 arises from C-O stretching vibrations; and finally, the peak located at 3436 cm−1 corresponds to -OH stretching vibrations. The FTIR spectra for ZMO/V2CTx, ZMO/V2CTx-300, and ZMO/V2CTx-400 are generally consistent with those obtained for pure ZMO, except for the overall weaker intensity.
The morphology of ZMO and ZnMn2O4/V2CTx composites is depicted in Figure 2, revealing the binding between the micrometer rods of ZMO and the lamellae of V2CTx MXene. As the temperature increases, the bonding becomes more pronounced, leading to a spherical structure at 400 °C, with severe aggregation phenomena observed. The presence of Zn, Mn, O, V, and C elements on the sample surface is confirmed through elemental mapping (Figure 3).
The change in the valence state of ZMO/V2CTx-300 was investigated using XPS. The obtained spectra from the investigation (Figure 4a) indicate the presence of elements, including zinc (Zn), manganese (Mn), oxygen (O), vanadium (V), and carbon (C).
In Figure 4b, the observed peaks corresponding to energy levels of 1022.1 and 1045.05 eV can be assigned to the Zn 2p 3/2 and Zn 2p 1/2 orbitals, respectively. Similarly, in Figure 4c, the Mn 2p spectra exhibit two separate peaks at energies around 641.65 and 653.95 eV, suggesting the presence of distinct states corresponding to Mn 2p 3/2 and Mn 2p 1/2. In particular, it is worth noting that the peak corresponding to Mn3+ can be further resolved into four distinct peaks at approximate binding energies of around 641.6 eV (653.4 eV) and around binding energies of approximately 642.95 eV (654.8 5eV), which are attributed to different oxidation states: Mn3+ and Mn4+. The analysis of the O1s spectrum (Figure 4d) exhibited three separate peaks at binding energies of 530.15, 530.65, and 531.95 eV, respectively, suggesting the existence of diverse oxygen components on the surface. These peaks correspond to Mn-bonded lattice oxygen (OL), oxygen vacancy sites (Ov), and surface-absorbed hydroxyl groups (-OH). The oxygen vacancies act as adsorption sites for various oxygen species like O, O2−, and Mn-OH. The presence of adsorbed surface oxygen components is responsible for the observed peak at 530.65 eV, which affects the oxygen vacancy state of the active substance. The V 2p spectrum depicted in Figure 4e displays two distinct peaks at approximately 517.45 and 525.25 eV, representing the binding energies of V 2p 3/2 and V 2p 1/2, respectively. Specifically, the V 2p spectrum can be accurately modeled with four peaks: V4+ at around 525.4 and 517.85 eV, as well as the coexisting V5+ at approximately 524.5 and 517.25 eV. Furthermore, the C1s spectra (Figure 4f) were fitted using a three-peak model with assignments made for C=O, C-O, and C-C at energies of about 286.55, 285, and 284.6 eV, respectively. The XPS results confirm the successful synthesis of the ZMO/V2CTx-300 composite.

3.2. Electrochemical Performance

The cyclic behavior of the ZMO and ZnMn2O4/V2CTx electrodes is depicted in Figure 5a. The ZMO/V2CTx-300 electrode demonstrates superior cycling performance compared to ZMO, exhibiting a remarkable reversible capacity of 163 mAh g−1 after undergoing 100 cycles. In contrast, the capacity achieved by the ZMO electrode is lower at 99.5 mAh g−1. It is important to mention that the Coulombic efficiency of the ZMO/V2CTx-300 electrode remains consistently close to 100% throughout continuous cycling, providing additional evidence supporting the electrochemical stability of this composite. The distinct advantages can be ascribed to the composite nature of the material and its calcination process, which enhance ion diffusion pathways and afford a greater abundance of active sites. Figure 5b illustrates the average discharge capacities at various current rates, where the values of 212.9, 169.4, 129.1, 72.4, and 29.7 mAh g−1 correspond to current rates of 0.5, 1, 2, 5, and 10 C, respectively. Furthermore, after undergoing cycling at different current densities, electrodes demonstrated discharge capacities around approximately 167.99 and 216.3 mAh g−1 when operated at rates of 1 and 0.5 C, respectively. The electrochemical charge–discharge curve shown in Figure 5c depicts the performance of ZMO/V2CTx-300 electrodes when discharged and charged at a rate of 1 C. In the second cycle, these electrodes exhibited a discharge capacity of 396.7 mAh g−1, which remained consistent at a specific capacity of 163 mAh g−1, even after undergoing 100 cycles. Additionally, it is worth noting that the charge–discharge curves have maintained their shape since the second cycle, indicating remarkable periodic electrochemical properties of the material.
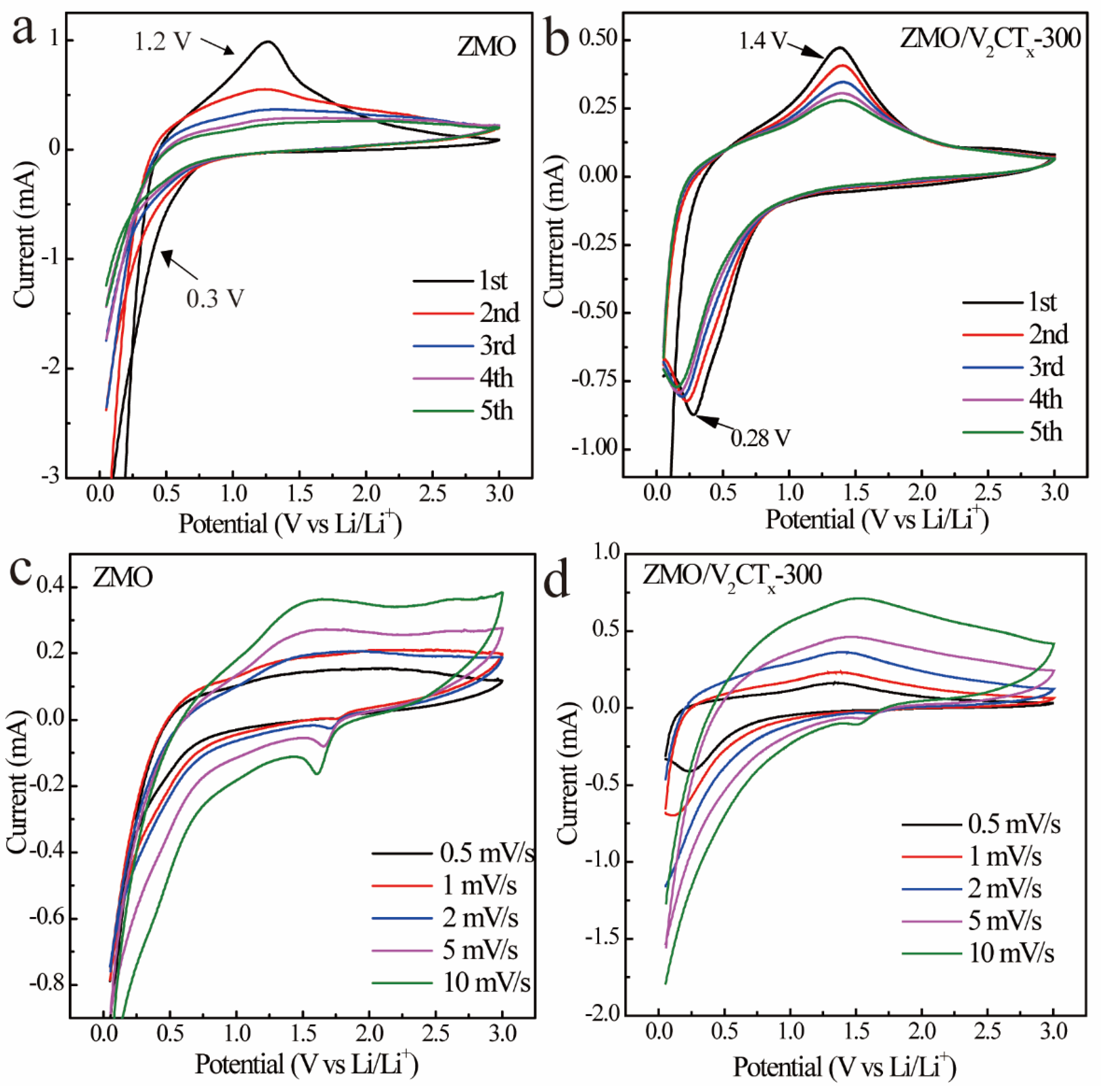
The CV analysis was conducted on the ZMO and ZMO/V2CTx-300 cells to investigate the underlying reaction mechanism and chemical kinetics. Figure 6a,b illustrate the CV curves of the ZMO and ZMO/V2CTx-300 electrodes, respectively, using a scanning rate of 1 mV s−1. It can be observed that the maximum point observed at around 1.2 V in the cyclotron voltammetry curve of ZMO corresponds to the conversion of Mn3+ into Mn2+. Similarly, the peak at approximately 0.3 V corresponds to the transformation of both Mn2+ and Zn2+ ions into elemental forms of Mn and Zn, respectively, resulting in the subsequent creation of the Li-Zn alloy at this specific potential. This can be represented by Equation [20]:
ZnMn2O4 + 8Li+ + 8e ↔ Zn + 2Mn + 4Li2O,
Zn + xLi+ + xe ↔ LixZn (0 < x< 1).
The subsequent similarity of the curves demonstrates the robustness of the ZMO electrochemical properties. In comparison to Figure 6a,b exhibits certain alterations, such as a shift in its oxidation peak from 1.2 to 1.4 V, which aligns more closely with the oxidation peak position observed for V2CTx. The corresponding reaction equations for this transformation are provided below [21]:
V2C/V2CY2 + xLi+ + xe ↔ V2CLix/V2CY2Lix (Y = F/OH).
The chemical kinetics of the cell were investigated using cyclovoltammetry at various scan rates (0.5, 1, 2, 5, and 10 mV s−1), as depicted in Figure 6c,d. It was noted in the CV spectrum that a higher scanning rate led to a displacement of the oxidation peak towards higher potential, a movement of the reduction peak towards lower potential, and an enlargement of the current area due to Li+ polarization during continuous insertion and extraction processes.

4. Conclusions

In summary, ZnMn2O4/V2CTx composites were synthesized through high-temperature calcination. The results demonstrate that the structure and morphology of the ZnMn2O4/V2CTx material undergo alterations upon different temperature treatments. At 400 °C, the Mn2V2O7 phase emerges, leading to a transformation in the morphology of the ZnMn2O4/V2CT material from rod-like bonds to spherical structures and subsequently scaffold-like structures. Despite undergoing 100 cycles at a nominal specific capacity of 100 mAh g−1, the ZMO/V2CTx-300 electrode exhibits an enduring specific discharge capacity of 163 mAh g−1. This signifies an estimated surge of around 64% in contrast to the discharge capability (99.5 mAh g−1) witnessed in the electrode composed solely of ZnMn2O4. These findings suggest that recombination and calcination processes effectively enhance both ionic transport capacity and conductivity within ZnMn2O4 materials. This research offers valuable perspectives on the effective utilization of AB2O4-based materials and MXene materials as electrodes with exceptional performance.

Author Contributions

Conceptualization, M.L. and L.W.; methodology, J.L., Y.W. and X.P.; software, C.Z.; validation, Q.Z. and W.H.; formal analysis, M.L.; investigation, J.L.; resources, L.W.; data curation, J.L.; writing—original draft preparation, J.L.; writing—review and editing, L.W.; visualization, M.L.; supervision, M.L.; project administration, L.W.; funding acquisition, L.W. All authors have read and agreed to the published version of the manuscript.

Funding

The authors gratefully acknowledge the financial support provided by the Development Plan of Science and Technology of Jilin Province (20230101281JC) and the Science and Technology Research Project of Education Department of Jilin Province (JJKH20230513KJ, JJKH20230492KJ).

Data Availability Statement

The raw/processed data required to reproduce these findings cannot be shared at this time as the data also forms part of an ongoing study.

Conflicts of Interest

The authors declare that there are no conflict of interest.

References

  1. Zhu, L.; Li, F.; Yao, T.; Liu, T.; Wang, J.; Li, Y.; Lu, H.; Qian, R.; Liu, Y.; Wang, H. Electrospun MnCo2O4 Nanotubes as High-Performance Anode Materials for Lithium-Ion Batteries. Energy Fuels 2020, 34, 11574–11580. [Google Scholar] [CrossRef]
  2. Deng, Z.; He, M.; Feng, Y.; Xiong, D. A fluorine-doped MnFe2O4 nanorod/carbon composite as an anode material for high-performance lithium-ion batteries. Int. J. Electrochem. Sci. 2020, 15, 4203–4217. [Google Scholar] [CrossRef]
  3. Liang, C.; Chen, J.; Yu, K.; Jin, W. ZnMn2O4 spheres anchored on jute porous carbon for use as a high-performance anode material in lithium-ion batteries. J. Alloys Compd. 2021, 878, 160445. [Google Scholar] [CrossRef]
  4. Rajoba, S.J.; Kale, R.D.; Kulkarni, S.B.; Parale, V.G.; Patil, R.; Olin, H.; Park, H.-H.; Dhavale, R.P.; Phadatare, M. Synthesis and Electrochemical Performance of Mesoporous NiMn2O4 Nanoparticles as an Anode for Lithium-Ion Battery. J. Compos. Sci. 2021, 5, 69. [Google Scholar] [CrossRef]
  5. Lu, H.; Qian, R.; Zhu, L.; Yao, T.; Li, C.; Li, L.; Wang, H. Phase structure engineering of MnCo2Ox within electrospun carbon nanofibers towards high-performance lithium-ion batteries. J. Colloid Interface Sci. 2022, 607, 171–180. [Google Scholar] [CrossRef]
  6. Zhang, F.; Jia, Z.; Wang, C.; Feng, A.; Wang, K.; Hou, T.; Liu, J.; Zhang, Y.; Wu, G. Sandwich-like silicon/Ti3C2Tx MXene composite by electrostatic self-assembly for high performance lithium ion battery. Energy 2020, 195, 117047. [Google Scholar] [CrossRef]
  7. Fan, P.; Liu, H.; Marosz, V.; Samuels, N.T.; Suib, S.L.; Sun, L.; Liao, L. High Performance Composite Polymer Electrolytes for Lithium-Ion Batteries. Adv. Funct. Mater. 2021, 31, 2101380. [Google Scholar] [CrossRef]
  8. Li, P.; Kim, H.; Myung, S.-T.; Sun, Y.-K. Diverting Exploration of Silicon Anode into Practical Way: A Review Focused on Silicon-Graphite Composite for Lithium Ion Batteries. Energy Storage Mater. 2021, 35, 550–576. [Google Scholar] [CrossRef]
  9. Dong, L.; Hao, J.; Liu, H.; Shi, W.; Yang, J.; Lian, J. Three-Dimensional ZnMn2O4 Nanoparticles/Carbon Cloth Anodes for High-Performance Flexible Lithium-Ion Batteries. ChemistrySelect 2020, 5, 2372–2378. [Google Scholar] [CrossRef]
  10. Chen, Y.; Xu, Y.; Li, Z.; Zhang, W.; Zheng, M.; Zhang, H. Biomass-mediated synthesis of carbon-supported ZnMn2O4 nanoparticles as high-performance anode materials for lithium-ion batteries. Colloids Surf. A Physicochem. Eng. Asp. 2020, 600, 2738–2745. [Google Scholar] [CrossRef]
  11. Min, X.; Zhang, Y.; Yu, M.; Wang, Y.; Yuan, A.; Xu, J. A hierarchical dual-carbon supported ZnMn2O4/C composite as an anode material for Li-ion batteries. J. Alloys Compd. 2021, 877, 160242. [Google Scholar] [CrossRef]
  12. Chen, S.; Yao, M.; Wang, F.; Wang, J.; Zhang, Y.; Wang, Y. Facile microemulsion synthesis of mesoporous ZnMn2O4 submicrocubes as high-rate and long-life anodes for lithium ion batteries. Ceram. Int. 2019, 45, 5594–5600. [Google Scholar] [CrossRef]
  13. Pang, F.; Hou, S.; Wang, P.; Liu, M.; Luo, Y.; Zhao, L. β-MnO2/Metal-Organic Framework Derived Nanoporous ZnMn2O4 Nanorods as Lithium-Ion Battery Anodes with Superior Lithium-Storage Performance. Chem. Eur. J. 2019, 25, 5043–5050. [Google Scholar] [CrossRef] [PubMed]
  14. Sun, M.; Li, S.; Zou, J.; Cui, Z.; Zhang, Q.; Schiettekatte, F.; Barba, D.; Liu, B.; Wang, Y. Graphene-Wrapped ZnMn2O4 Nanoparticles with Enhanced Performance as Lithium-Ion Battery Anode Materials. Nano 2020, 15, 2050117. [Google Scholar] [CrossRef]
  15. Tang, Q.; Shi, Y.; Ding, Z.; Wu, T.; Wu, J.; Mattick, V.; Yuan, Q.; Yu, H.; Huang, K. Three-dimensional hierarchical graphene and CNT-coated spinel ZnMn2O4 as a high-stability anode for lithium-ion batteries. Electrochim. Acta 2020, 338, 135853. [Google Scholar] [CrossRef]
  16. Kommu, P.; Singh, G.; Chakra, C.S.; Jana, S.; Kumar, V.; Bhattacharyya, A. Preparation of ZnMn2O4 and ZnMn2O4/graphene nano composites by combustion synthesis for their electrochemical properties. Mater. Sci. Eng. B 2020, 261, 114647. [Google Scholar] [CrossRef]
  17. Lu, M.; Zhang, Y.; Chen, J.; Han, W.; Zhang, W.; Li, H.; Zhang, X.; Zhang, B. K+ alkalization promoted Ca2+ intercalation in V2CT MXene for enhanced Li storage. J. Energy Chem. 2020, 49, 358–364. [Google Scholar] [CrossRef]
  18. Liu, F.; Liu, Y.; Zhao, X.; Liu, K.; Yin, H.; Fan, L. Prelithiated V2C MXene: A High-Performance Electrode for Hybrid Magnesium/Lithium-Ion Batteries by Ion Cointercalation. Small 2020, 16, 1906076. [Google Scholar] [CrossRef] [PubMed]
  19. Zhang, R.; Xue, Z.; Qin, J.; Sawangphruk, M.; Zhang, X.; Liu, R. NiCo-LDH/Ti3C2 MXene hybrid materials for lithium ion battery with high-rate capability and long cycle life. J. Energy Chem. 2020, 50, 143–153. [Google Scholar] [CrossRef]
  20. Feng, C.; Wang, W.; Chen, X.; Wang, S.; Guo, Z. Synthesis and electrochemical properties of ZnMn2O4 anode for lithium-ion batteries. Electrochim. Acta 2015, 178, 847–855. [Google Scholar] [CrossRef]
  21. Hu, J.; Xu, B.; Ouyang, C.; Yang, S.A.; Yao, Y. Investigations on V2C and V2CX2 (X = F, OH) Monolayer as a Promising Anode Material for Li Ion Batteries from First-Principles Calculations. J. Phys. Chem. C 2014, 118, 24274–24281. [Google Scholar] [CrossRef]
Figure 1. Battery configuration diagram of ZnMn2O4/V2CTx (a); XRD pattern of V2CTx MXene, ZMO, and ZnMn2O4/V2CTx (b); Raman spectra of ZMO and ZnMn2O4/V2CTx (c); FTIR spectra of ZMO and ZnMn2O4/V2CTx (d).
Figure 1. Battery configuration diagram of ZnMn2O4/V2CTx (a); XRD pattern of V2CTx MXene, ZMO, and ZnMn2O4/V2CTx (b); Raman spectra of ZMO and ZnMn2O4/V2CTx (c); FTIR spectra of ZMO and ZnMn2O4/V2CTx (d).
Micromachines 15 00828 g001
Figure 2. SEM images of ZMO (a); ZMO/V2CTx (b); ZMO/V2CTx-300 (c); and ZMO/V2CTx-400 (d).
Figure 2. SEM images of ZMO (a); ZMO/V2CTx (b); ZMO/V2CTx-300 (c); and ZMO/V2CTx-400 (d).
Micromachines 15 00828 g002
Figure 3. Elemental mappings of ZMO/V2CTx (a); ZMO/V2CTx-300 (b); and ZMO/V2CTx-400 (c).
Figure 3. Elemental mappings of ZMO/V2CTx (a); ZMO/V2CTx-300 (b); and ZMO/V2CTx-400 (c).
Micromachines 15 00828 g003
Figure 4. XPS spectra of ZMO/V2CTx−300: XPS profiles (a); Zn 2p spectra (b); Mn 2p spectra (c); O 1s spectra (d); V 2p spectra (e); C 1s spectra (f). Black is the experimental curve, and red is the fitting line.
Figure 4. XPS spectra of ZMO/V2CTx−300: XPS profiles (a); Zn 2p spectra (b); Mn 2p spectra (c); O 1s spectra (d); V 2p spectra (e); C 1s spectra (f). Black is the experimental curve, and red is the fitting line.
Micromachines 15 00828 g004
Figure 5. Cycling performance of ZMO and ZnMn2O4/V2CTx electrodes (a); rate performance of ZMO and ZMO/V2CTx-300 electrodes (1C = 100 mAh/g) (b); GCD profiles of ZMO/V2CTx-300 electrode (c).
Figure 5. Cycling performance of ZMO and ZnMn2O4/V2CTx electrodes (a); rate performance of ZMO and ZMO/V2CTx-300 electrodes (1C = 100 mAh/g) (b); GCD profiles of ZMO/V2CTx-300 electrode (c).
Micromachines 15 00828 g005
Figure 6. CV curves of ZMO and ZMO/V2CTx-300 electrodes at 1 mV s−1 (a,b); CV curves of ZMO and ZMO/V2CTx-300 electrodes at different scan rates (c,d).
Figure 6. CV curves of ZMO and ZMO/V2CTx-300 electrodes at 1 mV s−1 (a,b); CV curves of ZMO and ZMO/V2CTx-300 electrodes at different scan rates (c,d).
Micromachines 15 00828 g006
Disclaimer/Publisher’s Note: The statements, opinions and data contained in all publications are solely those of the individual author(s) and contributor(s) and not of MDPI and/or the editor(s). MDPI and/or the editor(s) disclaim responsibility for any injury to people or property resulting from any ideas, methods, instructions or products referred to in the content.

Share and Cite

MDPI and ACS Style

Li, J.; Wang, Y.; Pei, X.; Zhou, C.; Zhao, Q.; Lu, M.; Han, W.; Wang, L. ZnMn2O4/V2CTx Composites Prepared as an Anode Material via High-Temperature Calcination Method for Optimized Li-Ion Batteries. Micromachines 2024, 15, 828. https://doi.org/10.3390/mi15070828

AMA Style

Li J, Wang Y, Pei X, Zhou C, Zhao Q, Lu M, Han W, Wang L. ZnMn2O4/V2CTx Composites Prepared as an Anode Material via High-Temperature Calcination Method for Optimized Li-Ion Batteries. Micromachines. 2024; 15(7):828. https://doi.org/10.3390/mi15070828

Chicago/Turabian Style

Li, Ji, Yu Wang, Xinyuan Pei, Chunhe Zhou, Qing Zhao, Ming Lu, Wenjuan Han, and Li Wang. 2024. "ZnMn2O4/V2CTx Composites Prepared as an Anode Material via High-Temperature Calcination Method for Optimized Li-Ion Batteries" Micromachines 15, no. 7: 828. https://doi.org/10.3390/mi15070828

APA Style

Li, J., Wang, Y., Pei, X., Zhou, C., Zhao, Q., Lu, M., Han, W., & Wang, L. (2024). ZnMn2O4/V2CTx Composites Prepared as an Anode Material via High-Temperature Calcination Method for Optimized Li-Ion Batteries. Micromachines, 15(7), 828. https://doi.org/10.3390/mi15070828

Note that from the first issue of 2016, this journal uses article numbers instead of page numbers. See further details here.

Article Metrics

Back to TopTop