Study on Single Event Effects of Enhanced GaN HEMT Devices under Various Conditions
Abstract
1. Introduction
2. Experimental Condition
3. Experimental Result
3.1. Influence of Different Stress Conditions before Radiation on SEE of Device
3.2. Influence of Different LET Values on SEE of Devices
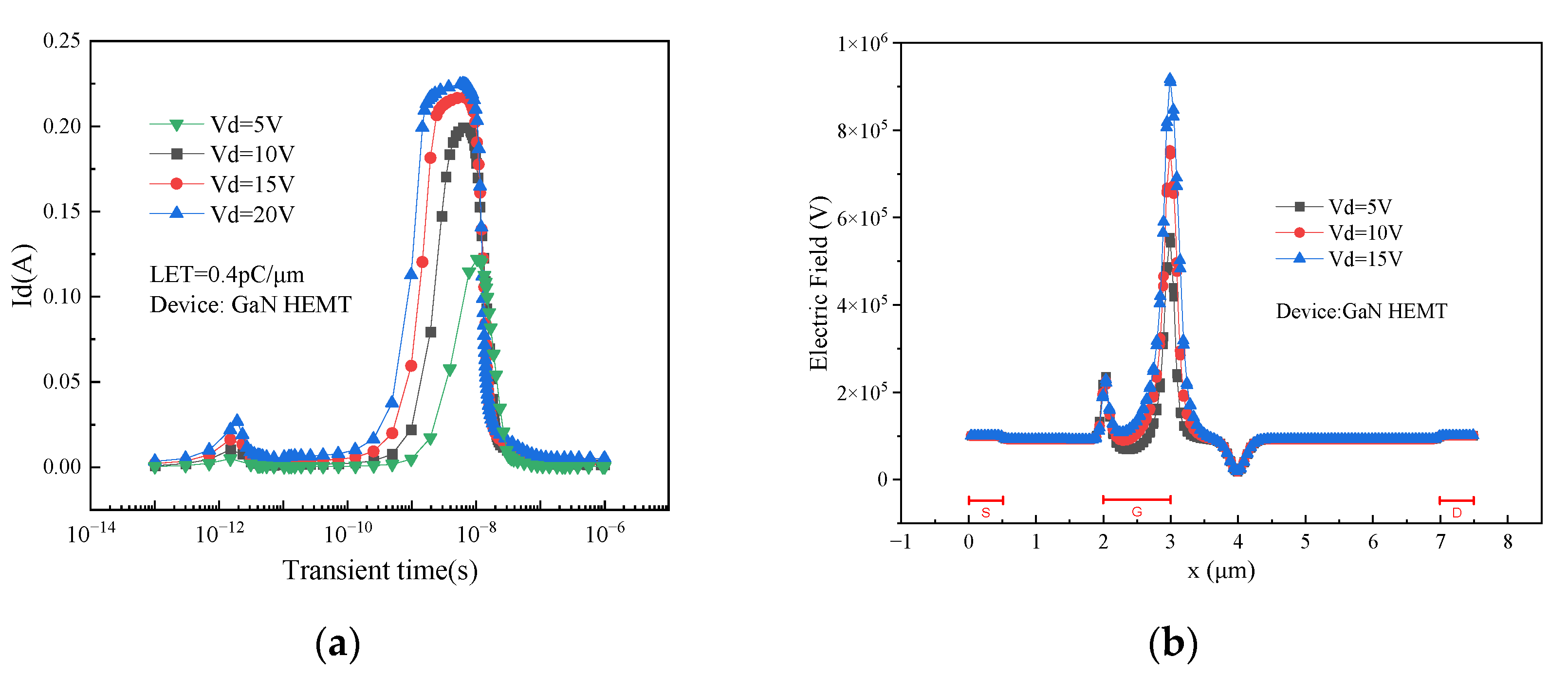
3.3. Influence of Different Gate Voltages on SEE of Devices
4. Conclusions
Author Contributions
Funding
Data Availability Statement
Conflicts of Interest
References
- Kumar, V.; Kumar, S.; Maan, A.S.; Akhtar, J. Interfacial and structural analysis of MeV heavy ion irradiated SiC. Appl. Nanosci. 2023, 13, 3181–3188. [Google Scholar] [CrossRef]
- Mao, B.; Zhao, G.; Lv, X.; Wang, X.; Wei, W.; Liu, G.; Liu, J.; Liu, L. Nondestructive Spectroscopic Investigation of N-Type 4H-SiC Defects Irradiated With Low Fluence 16.5 MeV/u Ta Ions. IEEE Trans. Nucl. Sci. 2024, 71, 154–159. [Google Scholar] [CrossRef]
- Kumar, V.; Maan, A.S.; Akhtar, J. Tailoring Surface and Electrical Properties of Ni/4H-nSiC Schottky Barrier Diodes via Selective Swift Heavy Ion Irradiation. Phys. Status Solidi A 2018, 215, 1700555. [Google Scholar] [CrossRef]
- Zainutdinov, D.I.; Borodin, V.A.; Gorbunov, S.A.; Medvedev, N.; Rymzhanov, R.A.; Sorokin, M.V.; Voronkov, R.A.; Volkov, A.E. High-temperature threshold of damage of SiC by swift heavy ions. arXiv, 2024; arXiv:2406.07963. [Google Scholar]
- Ueda, T.; Tanaka, T.; Ueda, D. Current status on GaN-based RF-power devices. In Proceedings of the 2011 Proceedings of the European Solid-State Device Research Conference (ESSDERC), Helsinki, Finland, 12–16 September 2011; pp. 36–41.
- Zhang, Y.; Huang, S.; Wei, K.; Zhang, S.; Wang, X.; Zheng, Y.; Liu, G.; Chen, X.; Li, Y.; Liu, X. Millimeter-Wave AlGaN/GaN HEMTs with 43.6% Power-Added-Efficiency at 40 GHz Fabricated by Atomic Layer Etching Gate Recess. IEEE Electron Device Lett. 2020, 5, 701–704. [Google Scholar] [CrossRef]
- Wang, W.; Yu, X.; Zhou, J.; Chen, D.; Zhang, K.; Kong, C.; Kong, Y.; Li, Z.; Chen, T. Improvement of Power Performance of GaN HEMT by Using Quaternary InAlGaN Barrier. IEEE J. Electron Devices Soc. 2018, 6, 360–364. [Google Scholar] [CrossRef]
- Zheng, X.F.; Wang, A.C.; Hou, X.H.; Wang, Y.Z.; Wen, H.Y.; Wang, C.; Lu, Y.; Mao, W.; Ma, X.H.; Hao, Y. Influence of the Diamond Layer on the Electrical Characteristics of AlGaN/GaN High-Electron-Mobility Transistors. Chin. Phys. Lett. 2017, 34, 98–101. [Google Scholar] [CrossRef]
- Adams, J.H.; Gelman, A. The Effects of Solar Flares on Single Event Upset Rates. IEEE Trans. Nucl. Sci. 1984, 6, 1212–1216. [Google Scholar] [CrossRef]
- Poling, B.S.; Via, G.D.; Bole, K.D.; Johnson, E.E.; McDermott, J.M. Commercial-off-the-shelf algan/gan hemt device reliability study after exposure to heavy ion radiation. Microelectron. Reliab. 2017, 68, 13–20. [Google Scholar] [CrossRef]
- Fleury, C.; Zhytnytska, R.; Bychikhin, S.; Cappriotti, M.; Hilt, O.; Visalli, D.; Meneghesso, G.; Zanoni, E.; Würfl, J.; Derluyn, J.; et al. Statistics and localisation of vertical breakdown in AlGaN/GaN HEMTs on SiC and Si substrates for power applications. Microelectron. Reliab. 2013, 53, 1444–1449. [Google Scholar] [CrossRef]
- Martinez, M.J.; King, M.P.; Baca, A.G.; Allerman, A.A.; Armstrong, A.A.; Klein, B.A.; Douglas, E.A.; Kaplar, R.J.; Swanson, S.E. Radiation Response of AlGaN-Channel HEMTs. IEEE Trans. Nucl. Sci. 2019, 1, 344–351. [Google Scholar] [CrossRef]
- Zheng, X.; Feng, S.; Peng, C.; Lin, G.; Bai, L.; Li, X.; Yang, Y.; Pan, S.; Hu, Z.; Li, X.; et al. Evidence of GaN HEMT Schottky Gate Degradation After Gamma Irradiation. IEEE Trans. Electron Devices 2019, 66, 3784–3788. [Google Scholar] [CrossRef]
- Pearton, S.J.; Hwang, Y.S.; Ren, F. Radiation effects in GaN-based High Electron Mobility Transistors. JOM 2015, 67, 1601–1611. [Google Scholar] [CrossRef]
- Bazzoli, S.; Girard, S.; Ferlet-Cavrois, V.; Baggio, J.; Paillet, P.; Duhamel, O. SEE sensitivity of a COTS GaN transistor and silicon MOSFETs. In Proceedings of the 9th European Conference on Radiation and Its Effects on Components and Systems, Deauville, France, 10–14 September 2007; pp. 1–5. [Google Scholar]
- Kuboyama, S.; Maru, A.; Shindou, H.; Ikeda, N.; Hirao, T.; Abe, H.; Tamura, T. Single-Event Damages Caused by Heavy Ions Observed in AlGaN/GaN HEMTs. IEEE Trans. Nucl. Sci. 2011, 58, 2734–2738. [Google Scholar] [CrossRef]
- Abbate, C.; Busatto, G.; Iannuzzo, F.; Mattiazzo, S.; Sanseverino, A.; Silvestrin, L.; Tedesco, D.; Velardi, F. Experimental study of Single Event Effects induced by heavy ion irradiation in enhancement mode GaN power HEMT. Microelectron. Reliab. 2015, 55, 1496–1500. [Google Scholar] [CrossRef]
- Zerarka, M.; Austin, P.; Bensoussan, A.; Morancho, F.; Durier, A. TCAD simulation of the single event effects in normally-off GaN transistors after heavy ion radiation. IEEE Trans. Nucl. Sci. 2017, 64, 2242–2249. [Google Scholar] [CrossRef]
- Fleetwood, D.M.; Zhang, E.X.; Schrimpf, R.D.; Pantelides, S.T. Radiation effects in algan/gan hemts. IEEE Trans. Nucl. Sci. 2022, 69, 1105–1119. [Google Scholar] [CrossRef]
- Wang, Z.; Cao, Y.; Zhang, X.; Chen, C.; Wu, L.; Ma, M.; Lv, H.; Lv, L.; Zheng, X.; Tian, W.; et al. Simulation of Single-Event Transient Effect for GaN High-Electron-Mobility Transistor. Micromachines 2023, 14, 1948. [Google Scholar] [CrossRef] [PubMed]
- Bai, R.X.; Guo, H.X.; Zhang, H.; Wang, D.; Zhang, F.Q.; Pan, X.Y.; Ma, W.Y.; Hu, J.W.; Liu, Y.W.; Yang, Y.; et al. High-energy proton radiation effect of Gallium nitride power device with enhanced Cascode structure. Acta Phys. Sin. 2023, 72, 012401. [Google Scholar] [CrossRef]
- Mizuta, E.; Kuboyama, S.; Nakada, Y.; Takeyama, A.; Ohshima, T.; Iwata, Y.; Suzuki, K. Single-Event Damage Observed in GaN-on-Si HEMTs for Power Control Applications. IEEE Trans. Nucl. Sci. 2018, 8, 1956–1963. [Google Scholar] [CrossRef]
- Luo, X.; Wang, Y.; Hao, Y.; Cao, F.; Yu, C.H.; Fei, X.X. TCAD simulation of breakdown-enhanced AlGaN-/GaN-based MISFET with electrode-connected pin diode in buffer layer. IEEE Trans. Electron Devices 2017, 65, 476–482. [Google Scholar] [CrossRef]
- Luo, X.; Wang, Y.; Cao, F.; Yu, C.-H.; Fei, X.-X. A breakdown enhanced AlGaN/GaN MISFET with source connected P-buried layer. Superlattices Microstruct. 2017, 112, 517–527. [Google Scholar] [CrossRef]
- Chen, R.; Liang, Y.-N.; Han, J.-W.; Wang, X.; Yang, H.; Chen, Q.; Yuan, R.-J.; Ma, Y.-Q.; Shangguan, S.-P. Single event effect and total dose effect of GaN high electron mobility transistor using heavy ions and gamma rays. Acta Phys. Sin. 2021, 70, 116102. [Google Scholar] [CrossRef]
- Chang, C.-Y.; Douglas, E.A.; Kim, J.; Lu, L.; Lo, C.-F.; Chu, B.-H.; Cheney, D.J.; Gila, B.P.; Ren, F.; Via, G.D.; et al. Electric-Field-Driven Degradation in off-State Step-Stressed AlGaN/GaN High-Electron Mobility Transistors. IEEE Trans. Device Mater. Reliab. 2011, 11, 187–193. [Google Scholar] [CrossRef]
- Zanoni, E.; Meneghesso, G.; Verzellesi, G.; Danesin, F.; Meneghini, M.; Rampazzo, F.; Tazzoli, A.; Zanon, F. A review of failure modes and mechanisms of GaN-based HEMTs. In Proceedings of the 2007 IEEE International Electron Devices Meeting, Washington, DC, USA, 10–12 December 2007; pp. 381–384. [Google Scholar]














Disclaimer/Publisher’s Note: The statements, opinions and data contained in all publications are solely those of the individual author(s) and contributor(s) and not of MDPI and/or the editor(s). MDPI and/or the editor(s) disclaim responsibility for any injury to people or property resulting from any ideas, methods, instructions or products referred to in the content. |
© 2024 by the authors. Licensee MDPI, Basel, Switzerland. This article is an open access article distributed under the terms and conditions of the Creative Commons Attribution (CC BY) license (https://creativecommons.org/licenses/by/4.0/).
Share and Cite
Zhang, X.; Cao, Y.; Chen, C.; Wu, L.; Wang, Z.; Su, S.; Zhang, W.; Lv, L.; Zheng, X.; Tian, W.; et al. Study on Single Event Effects of Enhanced GaN HEMT Devices under Various Conditions. Micromachines 2024, 15, 950. https://doi.org/10.3390/mi15080950
Zhang X, Cao Y, Chen C, Wu L, Wang Z, Su S, Zhang W, Lv L, Zheng X, Tian W, et al. Study on Single Event Effects of Enhanced GaN HEMT Devices under Various Conditions. Micromachines. 2024; 15(8):950. https://doi.org/10.3390/mi15080950
Chicago/Turabian StyleZhang, Xinxiang, Yanrong Cao, Chuan Chen, Linshan Wu, Zhiheng Wang, Shuo Su, Weiwei Zhang, Ling Lv, Xuefeng Zheng, Wenchao Tian, and et al. 2024. "Study on Single Event Effects of Enhanced GaN HEMT Devices under Various Conditions" Micromachines 15, no. 8: 950. https://doi.org/10.3390/mi15080950
APA StyleZhang, X., Cao, Y., Chen, C., Wu, L., Wang, Z., Su, S., Zhang, W., Lv, L., Zheng, X., Tian, W., Ma, X., & Hao, Y. (2024). Study on Single Event Effects of Enhanced GaN HEMT Devices under Various Conditions. Micromachines, 15(8), 950. https://doi.org/10.3390/mi15080950

