Multitasking Integrated Metasurface for Electromagnetic Wave Modulation with Reflection, Transmission, and Absorption
Abstract
1. Introduction
2. Design, Methods, and Multitasking
3. Results and Discussions
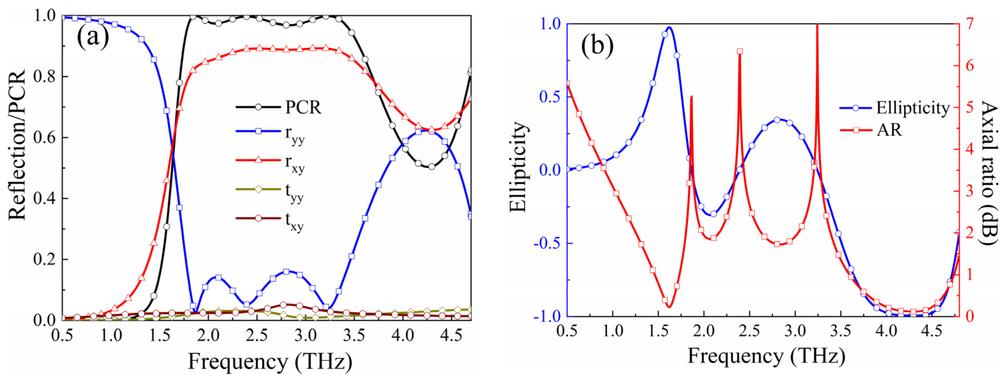
3.1. Multitasking Operating Modes
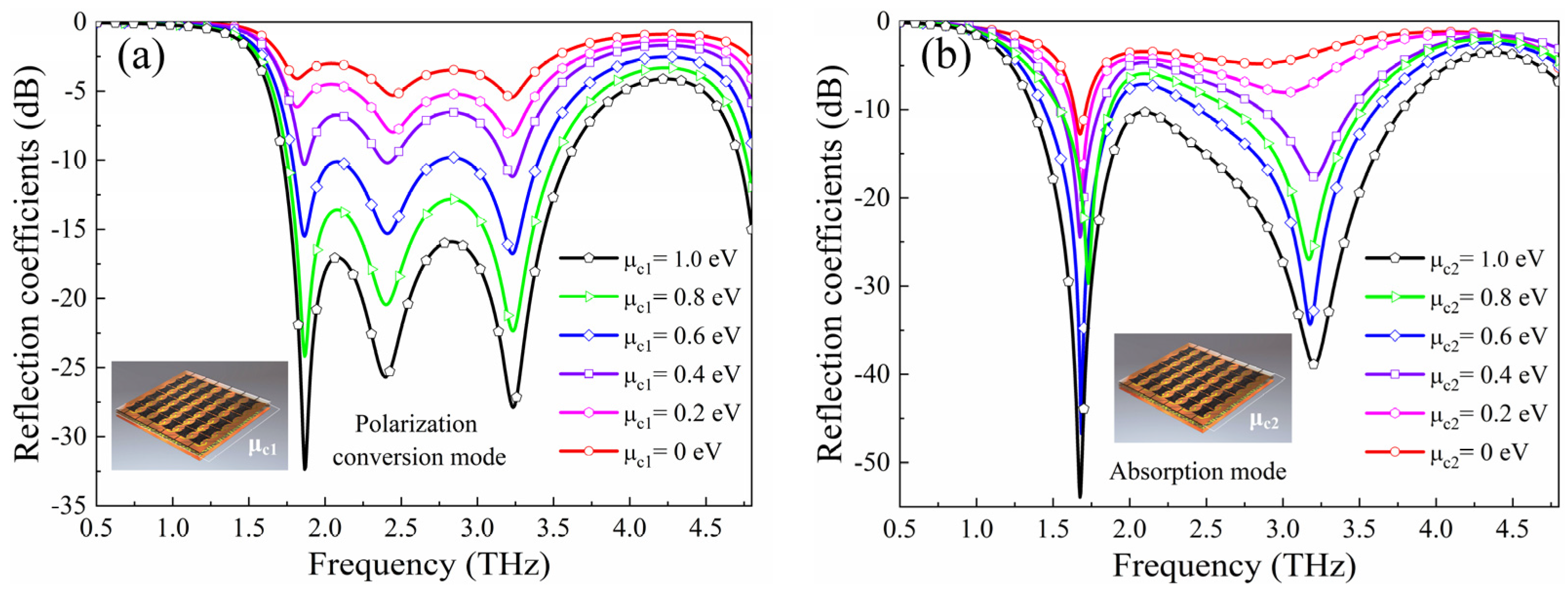
3.2. Performance Regulation
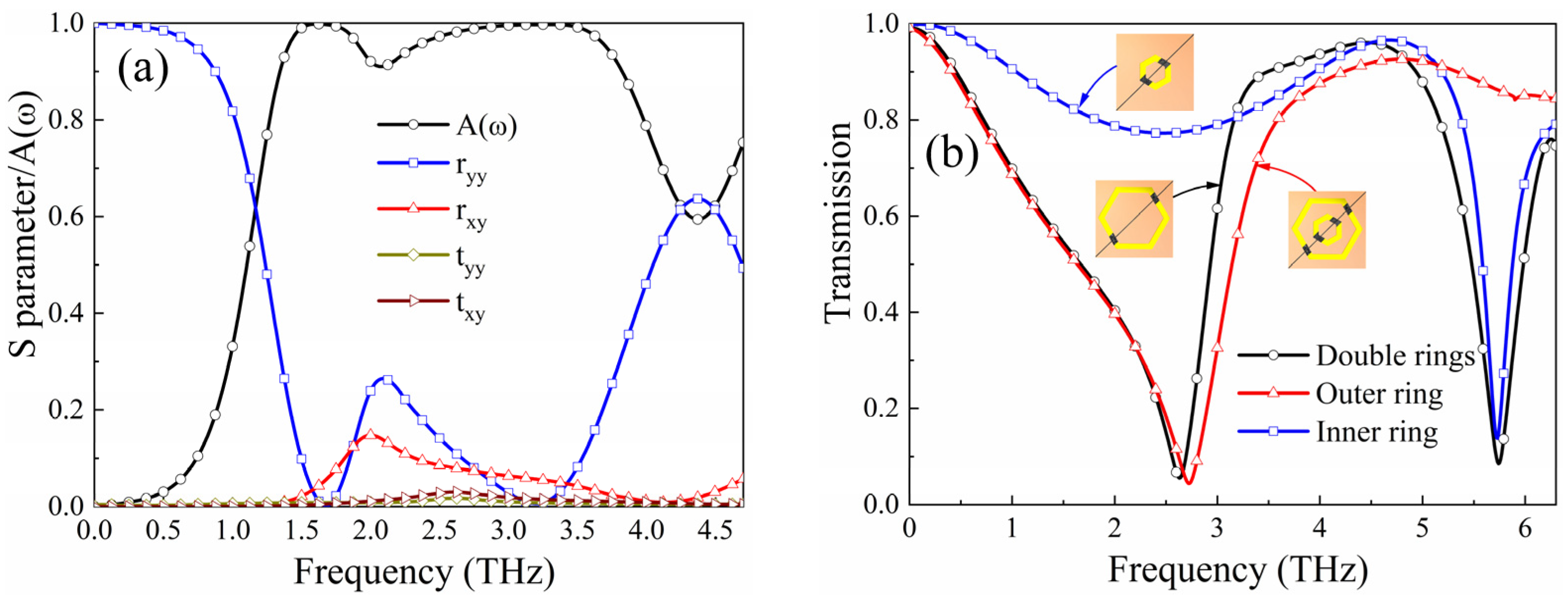
3.3. Operating Mechanism
4. Conclusions
Author Contributions
Funding
Data Availability Statement
Conflicts of Interest
References
- Tao, Y.H.; Fitzgerald, A.J.; Wallace, V.P. Non-contact, non-destructive testing in various industrial sectors with terahertz technology. Sensors 2020, 20, 712. [Google Scholar] [CrossRef] [PubMed]
- Tuniz, A. Nanoscale nonlinear plasmonics in photonic waveguides and circuits. Riv. Nuovo Cimento 2021, 44, 193–249. [Google Scholar] [CrossRef]
- Zhu, H.Y.; Song, Z.Y. Switchable wavefront of mid-infrared wave using GeSbTe metasurfaces. IEEE Photonics J. 2022, 14, 2237405. [Google Scholar] [CrossRef]
- Wang, L. Terahertz imaging for breast cancer detection. Sensors 2021, 21, 6465. [Google Scholar] [CrossRef] [PubMed]
- Hafez, H.A.; Chai, X.; Ibrahim, A.; Mondal, S.; Férachou, D.; Ropagnol, X.; Ozaki, T. Intense terahertz radiation and their applications. J. Opt. 2016, 18, 093004. [Google Scholar] [CrossRef]
- Cui, T.J.; Wu, H.T.; Liu, S. Research progress of information metamaterials. Acta Phys. Sin. 2020, 69, 158101. [Google Scholar] [CrossRef]
- Wang, J.Y.; Yang, R.C.; Ma, R.B.; Tian, J.P.; Zhang, W.M. Reconfigurable multifunctional metasurface for broadband polarization conversion and perfect absorption. IEEE Access 2020, 8, 105815–105823. [Google Scholar] [CrossRef]
- Zhang, Q.; Zhang, G.M.; Che, Z.E.; Zhu, J.C.; Feng, Y.H.; Qiu, R. Polarization-insensitive electromagnetically induced transparency-like and dual-band absorption based on graphene and vanadium dioxide metamaterials. Opt. Commun. 2023, 530, 129164. [Google Scholar] [CrossRef]
- Liu, X.D.; Hao, X.J.; Xue, B.; Tai, B.; Zhou, H.C. Two-dimensional flame temperature and emissivity distribution measurement based on element doping and energy spectrum analysis. IEEE Access 2020, 8, 200863–200874. [Google Scholar] [CrossRef]
- Tan, Q.Z.; Zheng, B.; Cai, T.; Qian, C.; Zhu, R.R.; Li, X.F.; Chen, H.S. Broadband spin-locked metasurface retroreflector. Adv. Sci. 2022, 9, 2201397. [Google Scholar] [CrossRef]
- Hu, J.; Bandyopadhyay, S.; Liu, Y.H.; Shao, L.Y. A review on metasurface: From principle to smart metadevices. Front. Phys. 2021, 8, 586087. [Google Scholar] [CrossRef]
- Sui, S.; Ma, H.; Wang, J.; Pang, Y.; Feng, M.; Xu, Z.; Qu, S. Absorptive coding metasurface for further radar cross section reduction. J. Phys. D-Appl. Phys. 2018, 51, 065603. [Google Scholar] [CrossRef]
- Meng, C.; Trane, P.C.V.; Ding, F.; Gjessing, J.; Thomaschewski, M.; Wu, C.; Dirdal, C.; Bozhevolnyi, S.I. Dynamic piezoelectric MEMS-based optical metasurfaces. Sci. Adv. 2021, 7, eabg5639. [Google Scholar] [CrossRef] [PubMed]
- Taravati, S.; Khan, B.A.; Gupta, S.; Achouri, K.; Caloz, C. Nonreciprocal nongyrotropic magnetless metasurface. IEEE Trans. Antennas Propag. 2017, 65, 3589–3597. [Google Scholar] [CrossRef]
- Guo, Q.; Hao, F.; Qu, M.; Su, J.; Li, Z. Multiband multifunctional polarization converter based on reconfigurable metasurface. IEEE Antennas Wirel. Propag. Lett. 2024, 23, 1241–1245. [Google Scholar] [CrossRef]
- Gao, X.; Yang, W.L.; Ma, H.F.; Cheng, Q.; Yu, X.H.; Cui, T.J. A reconfigurable broadband polarization converter based on an active metasurface. IEEE Trans. Antennas Propag. 2018, 66, 6086–6095. [Google Scholar] [CrossRef]
- Kindness, S.J.; Almond, N.W.; Michailow, W.; Wei, B.B.; Jakob, L.A.; Delfanazari, K.; Weimer, P.B.; Hofmann, S.; Beere, H.E.; Ritchie, D.A.; et al. Graphene-integrated metamaterial device for all-electrical polarization control of rerahertz quantum cascade lasers. ACS Photonics 2019, 6, 1547–1555. [Google Scholar] [CrossRef]
- Shrestha, V.R.; Craig, B.; Meng, J.J.; Bullock, J.; Javey, A.; Crozier, K.B. Mid- to long-wave infrared computational spectroscopy with a graphene metasurface modulator. Sci Rep. 2020, 10, 5377. [Google Scholar] [CrossRef]
- Cheng, H.; Chen, S.Q.; Yu, P.; Li, J.X.; Xie, B.Y.; Li, Z.C.; Tian, J.G. Dynamically tunable broadband mid-infrared cross polarization converter based on graphene metamaterial. Appl. Phys. Lett. 2013, 103, 223102. [Google Scholar] [CrossRef]
- Xia, S.-X.; Zhang, D.; Zhai, X.; Wang, L.-L.; Wen, S.-C. Phase-controlled topological plasmons in 1D graphene nanoribbon array. App. Phys. Lett. 2023, 123, 101102. [Google Scholar] [CrossRef]
- Zhang, Y.; Feng, Y.; Zhao, J. Graphene-enabled tunable phase gradient metasurface for broadband dispersion manipulation of terahertz wave. Micromachines 2023, 14, 2006. [Google Scholar] [CrossRef]
- Hale, L.L.; Jung, H.; Gennaro, S.D.; Briscoe, J.; Harris, C.T.; Luk, T.S.; Addamane, S.J.; Reno, J.L.; Brener, I.; Mitrofanov, O. Terahertz pulse generation from GaAs metasurfaces. ACS Photonics 2022, 9, 1136–1142. [Google Scholar] [CrossRef] [PubMed]
- Tian, Y.; Han, L.; Yan, L.; Wang, J.; Zhang, B.; Jiao, Z. Optically-controlled terahertz multifunctional polarization conversion metasurface with reflection and transmission modes. Micromachines 2022, 13, 1387. [Google Scholar] [CrossRef]
- Zhou, Q.; Ma, W.; Wu, T.; Li, Y.; Qiu, Q.; Duan, J.; Li, J.; Jiang, L.; Zhou, W.; Gao, Y.; et al. Metasurface terahertz perfect absorber with strong multi-frequency selectivity. ACS Omega 2022, 7, 36712–36727. [Google Scholar] [CrossRef] [PubMed]
- Liao, S.Y.; Sui, J.Y.; Zhang, H.F. Switchable ultra-broadband absorption and polarization conversion metastructure controlled by light. Opt. Express 2022, 30, 34172–34187. [Google Scholar] [CrossRef]
- Zheng, Z.P.; Zheng, Y.; Luo, Y.; Yi, Z.; Zhang, J.G.; Liu, Z.M.; Yang, W.X.; Yu, Y.; Wu, X.W.; Wu, P.H. A switchable terahertz device combining ultra-wideband absorption and ultra-wideband complete reflection. Phys. Chem. Chem. Phys. 2022, 24, 2527–2533. [Google Scholar] [CrossRef] [PubMed]
- Wang, X.Y.; Chen, M.; Zhao, W.L.; Shi, X.Y.; Han, W.H.; Li, R.J.; Liu, J.B.; Teng, C.X.; Deng, S.J.; Cheng, Y.; et al. Terahertz broadband tunable chiral metamirror based on VO2-metal hybrid structure. Opt. Express 2023, 31, 22144–22156. [Google Scholar] [CrossRef] [PubMed]
- Xiao, B.G.; Wei, Z.H.; Ge, P.P.; Wang, X.Y.; Xiao, L.H.; Qin, J.Y.; Zhang, D.P.; Mi, H.M.; Yu, J.B. Multifunctional 2-bit coded reconfigurable metasurface based on graphene-vanadium dioxide. Appl. Opt. 2024, 63, 2882–2891. [Google Scholar] [CrossRef]
- Li, Y.F.; Qin, Y.; Wang, Q.F.; Li, M.X.; Cai, C.X. Multi-frequency terahertz coding metasurfaces based on vanadium dioxide. Opt. Eng. 2024, 63, 028101. [Google Scholar] [CrossRef]
- King, J.; Wan, C.H.; Park, T.J.; Deshpande, S.; Zhang, Z.; Ramanathan, S.; Kats, M.A. Electrically tunable VO2-metal metasurface for mid-infrared switching, limiting, and nonlinear isolation. Nat. Photonics 2024, 18, 74–80. [Google Scholar] [CrossRef]
- Li, J.; Liu, Y.F.; Chen, Y.; Chen, W.Q.; Guo, H.L.; Wu, Q.N.; Li, M.W. Tunable broadband-narrowband and dual-broadband terahertz absorber based on a hybrid metamaterial vanadium dioxide and graphene. Micromachines 2023, 14, 201. [Google Scholar] [CrossRef] [PubMed]
- Liao, S.Y.; Qiao, Z.; Sui, J.Y.; Zhang, H.F. Multifunctional device for circular to linear polarization conversion and absorption. Ann. Phys. 2023, 535, 2300195. [Google Scholar] [CrossRef]
- Lai, R.; Shi, P.; Yi, Z.; Li, H.; Yi, Y. Triple-band surface plasmon resonance metamaterial absorber based on open-ended prohibited sign type monolayer graphene. Micromachines 2023, 14, 953. [Google Scholar]
- Qi, Y.P.; Wen, Y.J.; Chen, H.W.; Wang, X.X. Dynamically tunable terahertz quadruple-function absorber based on a hybrid configuration of graphene and vanadium dioxide. Nanotechnology 2024, 35, 095202. [Google Scholar] [CrossRef]
- Lian, X.; Ma, M.; Tian, J.; Yang, R. Study on a bifunctional switchable metasurface with perfect absorption and polarization conversion based on VO2 and graphene in THz region. Diam. Relat. Mater. 2023, 136, 110060. [Google Scholar] [CrossRef]
- Chen, W.Y.; Li, C.; Wang, D.; Gao, S.; Zhang, C.W.; Guo, H.J.; An, W.; Guo, S.J.; Wu, G.Z. A dual ultra-broadband switchable high-performance terahertz absorber based on hybrid graphene and vanadium dioxide. Phys. Chem. Chem. Phys. 2023, 25, 20414–20421. [Google Scholar] [CrossRef] [PubMed]
- Qi, H.N.; Tang, B. An active tunable terahertz functional metamaterial based on hybrid-graphene vanadium dioxide. Phys. Chem. Chem. Phys. 2023, 25, 7825–7831. [Google Scholar] [CrossRef] [PubMed]
- Chen, Z.; Tang, H.W.; Chen, Z.H.; Shen, T.; Zhang, H. Multifunctional terahertz absorber based on graphene-VO2 metamaterial with linear dichroism and tunable circular dichroism. J. Electron. Mater. 2024, 53, 2676–2685. [Google Scholar] [CrossRef]
- Zhang, Y.; Ma, S.J.; Fu, W.T.; Huang, S.; Zhu, Y.F.; Luo, X.F. Vanadium dioxide-based terahertz metasurface device with switchable broadband absorption and beam steering functions. Opt. Commun. 2024, 560, 130486. [Google Scholar] [CrossRef]
- Han, Y.; Zhu, L.; Chang, Y.M.; Li, B. Dual-polarized bandpass and band-notched frequency-selective absorbers under multimode resonance. IEEE Trans. Antennas Propag. 2018, 66, 7449–7454. [Google Scholar] [CrossRef]
- Pan, H.; Zhang, H.F. Broadband polarization-insensitive coherent rasorber in terahertz metamaterial with enhanced anapole response and coupled toroidal dipole modes. Adv. Opt. Mater. 2022, 10, 2101688. [Google Scholar] [CrossRef]
- Wang, L.S.; Fu, Q.H.; Wen, F.S.; Zhou, X.; Ding, X.Y.; Wang, Y. A thermally controlled multifunctional metamaterial absorber with switchable wideband absorption and transmission at THz band. Materials 2023, 16, 846. [Google Scholar] [CrossRef]
- Wang, S.; Kang, L.; Werner, D.H. Hybrid resonators and highly tunable terahertz metamaterials enabled by vanadium dioxide (VO2). Sci. Rep. 2017, 7, 8. [Google Scholar] [CrossRef] [PubMed]
- Kou, W.; Shi, W.; Zhang, Y.; Yang, Z.; Chen, T.; Gu, J.; Zhang, X.; Shi, Q.; Liang, S.; Lan, F.; et al. Terahertz switchable focusing planar lens with a nanoscale vanadium dioxide integrated metasurface. IEEE Trans. Terahertz Sci. Technol. 2022, 12, 13–22. [Google Scholar] [CrossRef]
- Huang, X.; He, W.; Yang, F.; Ran, J.; Gao, B.; Zhang, W.-L. Polarization-independent and angle-insensitive broadband absorber with a target-patterned graphene layer in the terahertz regime. Opt. Express 2018, 26, 25558–25566. [Google Scholar] [CrossRef] [PubMed]
- Pierson, J.F.; Wiederkehr, D.; Billard, A. Reactive magnetron sputtering of copper, silver, and gold. Thin Solid Films 2005, 478, 196–205. [Google Scholar] [CrossRef]
- Cong, L.; Cao, W.; Zhang, X.; Tian, Z.; Gu, J.; Singh, R.; Han, J.; Zhang, W. A perfect metamaterial polarization rotator. Appl. Phys. Lett. 2013, 103, 171107. [Google Scholar] [CrossRef]
- Smith, D.R.; Vier, D.C.; Koschny, T.; Ozturk, G. Electromagnetic parameter retrieval from inhomogeneous metamaterials. Phys. Rev. E 2005, 71, 036617. [Google Scholar] [CrossRef]
- Yahiaoui, R.; Burrow, J.A.; Mekonen, S.M.; Sarangan, A.; Mathews, J.; Agha, I.; Searles, T.A. Electromagnetically induced transparency control in terahertz metasurfaces based on bright-bright mode coupling. Phys. Rev. B 2018, 97, 155403. [Google Scholar] [CrossRef]











| Operating Mode | Excited Conditions | Frequency (in THz) |
|---|---|---|
| Polarization conversion | High temperature μc1 = 1 eV, μc2 = 1 eV | Co-planar to cross-polarization (LTL): 1.75–3.55 THz |
| Co-planar to circular polarization (RHCP): 3.60–4.69 THz | ||
| Absorption | High temperature μc1 = 0 eV, μc2 = 0 eV | 1.34–3.82 THz |
| EIT-like | Low temperature μc1 = 1 eV, μc2 = 0 eV | 3.48–4.93 THz |
| H1 | H2 | P | L1 | L2 | R1 | R2 | R3 | W1 | W2 |
|---|---|---|---|---|---|---|---|---|---|
| 9.88 | 6.03 | 26.60 | 20.34 | 22.0 | 13.11 | 12.02 | 6.02 | 1.71 | 3.12 |
| Ref. | Functionality | Operation Mode | Excitation Material |
|---|---|---|---|
| [25] | LTL polarization conversion; Absorption | Reflection | Photoconductance Si |
| [34] | Single, dual, broadband, and ultra-broadband absorption | Reflection | VO2; Graphene |
| [35] | LTL polarization conversion; Absorption | Reflection | VO2; Graphene |
| [37] | LTL and LTC polarization conversion | Reflection | VO2; Graphene |
| [42] | Broadband absorption; Transmission | Absorption; Transmission | VO2 |
| This work | LTL and LTC polarization conversion; Absorption; EIT-like | Reflection; Absorption; Transmission | VO2; Graphene |
Disclaimer/Publisher’s Note: The statements, opinions and data contained in all publications are solely those of the individual author(s) and contributor(s) and not of MDPI and/or the editor(s). MDPI and/or the editor(s) disclaim responsibility for any injury to people or property resulting from any ideas, methods, instructions or products referred to in the content. |
© 2024 by the authors. Licensee MDPI, Basel, Switzerland. This article is an open access article distributed under the terms and conditions of the Creative Commons Attribution (CC BY) license (https://creativecommons.org/licenses/by/4.0/).
Share and Cite
Wang, J.; Niu, Y.; Zhao, Q.; Shang, Y.; Wang, Y. Multitasking Integrated Metasurface for Electromagnetic Wave Modulation with Reflection, Transmission, and Absorption. Micromachines 2024, 15, 965. https://doi.org/10.3390/mi15080965
Wang J, Niu Y, Zhao Q, Shang Y, Wang Y. Multitasking Integrated Metasurface for Electromagnetic Wave Modulation with Reflection, Transmission, and Absorption. Micromachines. 2024; 15(8):965. https://doi.org/10.3390/mi15080965
Chicago/Turabian StyleWang, Jiayun, Yuanyuan Niu, Qiang Zhao, Yuxue Shang, and Yuanhui Wang. 2024. "Multitasking Integrated Metasurface for Electromagnetic Wave Modulation with Reflection, Transmission, and Absorption" Micromachines 15, no. 8: 965. https://doi.org/10.3390/mi15080965
APA StyleWang, J., Niu, Y., Zhao, Q., Shang, Y., & Wang, Y. (2024). Multitasking Integrated Metasurface for Electromagnetic Wave Modulation with Reflection, Transmission, and Absorption. Micromachines, 15(8), 965. https://doi.org/10.3390/mi15080965

