Numerical Investigation of Enhanced Heat Transfer with Micro Pin Fins in Heat Exchangers
Abstract
1. Introduction
2. Geometrical and Numerical Models
2.1. Geometrical Model
2.2. Governing Equations
2.3. Computational Domain and Boundary Conditions
2.4. Solution Methods
2.5. Parameter Definitions
2.6. Grid Independence Study
2.7. Model Validation
3. Results and Discussion
3.1. Flow and Temperature Fields in Micro-Pin-Fin Arrays
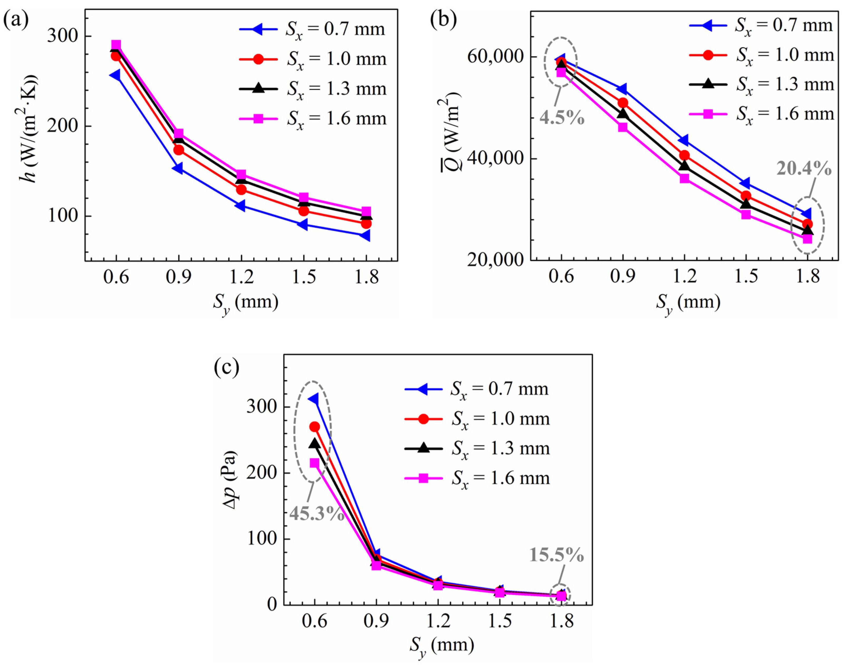
3.2. Effects of Streamwise and Transverse Pin Pitches
3.3. Comparison of the Overall Performance between Pin Fins and Louvered Fins
4. Conclusions
- (1)
- Pin pitch significantly affects the airflow near the pin and the local heat transfer capacity. Increasing the streamwise pin pitch reduces the disturbance from low-velocity wake vortices caused by boundary layer separation on downstream pins, thereby increasing the heat transfer in front of these pins due to larger local temperature gradients.
- (2)
- For all pin diameters, reducing the streamwise and transverse pin pitch increases both the heat transfer rate per unit frontal area and the pressure drop under constant flow velocity conditions. Notably, the variation in pressure drop is more pronounced at smaller transverse pitches, indicating a decrease in overall performance and suggesting that smaller streamwise pitches are less effective under these conditions.
- (3)
- Optimal configurations for micro pin fins with diameters of 0.1 mm, 0.2 mm, and 0.3 mm were identified at the four fan power levels. These optimal configurations are characterized by a uniform streamwise pitch of 0.7 mm and varying transverse pitches of 0.8 mm, 1.0 mm, and 1.2 mm, respectively, with the ratio of transverse pitch to pin diameter increasing as the pin diameter decreases.
- (4)
- Among the optimal configurations, the 0.2 mm pin-diameter configuration consistently outperformed the other diameters at all fan power levels. Compared to louvered fins, this configuration offers satisfactory heat transfer efficiency with lower fin consumption and a more uniform structure, making it particularly suitable for use in evaporator applications.
Author Contributions
Funding
Data Availability Statement
Conflicts of Interest
Nomenclature
| A | area, m2 |
| Ao | total heat transfer area, m2 |
| cp | specific heat, J/(kg·K) |
| d | pin diameter, m |
| dp | pressure difference between the leading and trailing edges of a pin, Pa |
| Fd | flow depth, m |
| Fh | fin height, m |
| Fp | fin pitch of the louvered fin, m |
| h | heat transfer coefficient, W/(m2·K) |
| k | thermal conductivity, W/(m·K) |
| fan power per unit frontal area, W/m2 | |
| p | pressure, Pa |
| Δp | pressure drop, Pa |
| heat transfer rate per unit frontal area, W/m2 | |
| Q | heat transfer rate, W |
| Re | Reynolds number |
| Sx | streamwise pin pitch, m |
| Sy | transverse pin pitch, m |
| Δs | size of the first layer element on fin surface, m |
| T | temperature, K |
| ΔTm | logarithmic mean temperature difference, K |
| Tw | tube wall temperature, K |
| U | velocity, m/s |
| u | velocity vector, m/s |
| Subscripts | |
| a | air |
| c | cross-section with minimal flow area |
| in | inlet |
| N | streamwise position number |
| out | outlet |
| f | fin |
| Superscripts | |
| L | leading edge of the pin |
| T | trailing edge of the pin |
| Greek symbols | |
| μ | dynamic viscosity, kg/(m·s) |
| ρ | density, kg/m3 |
| Abbreviations | |
| CFD | computational fluid dynamics |
| LFFTHXs | louvered-fin and flat-tube heat exchangers |
| PFFTHXs | pin-fin and flat-tube heat exchangers |
References
- Qi, Z. Water retention and drainage on air side of heat exchangers—A review. Renew. Sustain. Energy Rev. 2013, 28, 1–10. [Google Scholar] [CrossRef]
- Xiong, T.; Ying, Y.; Han, B.; Yan, G.; Yu, J. Comparison of energy supplies and consumptions in heat pump systems using finned tube and microchannel heat exchangers during defrosting. Int. J. Refrig. 2021, 132, 222–232. [Google Scholar] [CrossRef]
- Effendy, M.; Yao, Y.; Yao, J.; Marchant, D.R. Pin-fin shape and orientation effects on wall heat transfer predictions of gas turbine blade. In Proceedings of the 5th International Conference on Engineering, Technology, and Industrial Application (ICETIA) 2018, Surakarta, Indonesia, 12–13 December 2018. [Google Scholar] [CrossRef]
- Xie, G.N.; Sundén, B.; Utriainen, E.; Wang, L. Computational Analysis of Pin-Fin Arrays Effects on Internal Heat Transfer Enhancement of a Blade Tip Wall. J. Heat Transf. Trans. ASME 2010, 132, 031901. [Google Scholar] [CrossRef]
- Yan, Y.; Zhao, T.; He, Z.; Yang, Z.; Zhang, L. Numerical investigation on the characteristics of flow and heat transfer enhancement by micro pin-fin array heat sink with fin-shaped strips. Chem. Eng. Process. 2021, 160, 108273. [Google Scholar] [CrossRef]
- Markowski, P.M.; Gierczak, M.; Dziedzic, A. Modelling of the temperature difference sensors to control the temperature distribution in processor heat sink. Micromachines 2019, 10, 556. [Google Scholar] [CrossRef] [PubMed]
- Manjunath, M.S.; Karanth, K.V.; Sharma, N.Y. Numerical Analysis of Flat Plate Solar Air Heater Integrated With an Array of Pin Fins on Absorber Plate for Enhancement in Thermal Performance. J. Sol. Energy Eng. Trans.-ASME 2019, 141, 051008. [Google Scholar] [CrossRef]
- Arunkumar, H.; Kumar, S.; Karanth, K.V. Analysis of a solar air heater for augmented thermohydraulic performance using helicoidal spring shaped fins-A numerical study. Renew. Energy 2020, 160, 297–311. [Google Scholar] [CrossRef]
- Pandit, J.; Thompson, M.; Ekkad, S.V.; Huxtable, S.T. Effect of pin fin to channel height ratio and pin fin geometry on heat transfer performance for flow in rectangular channels. Int. J. Heat Mass Transf. 2014, 77, 359–368. [Google Scholar] [CrossRef]
- Arie, M.; Hymas, D.; Singer, F.; Shooshtari, A.; Ohadi, M. Performance characterization of a novel cross-media composite heat exchanger for air-to-liquid applications. In Proceedings of the 2019 18th IEEE Intersociety Conference on Thermal and Thermomechanical Phenomena in Electronic Systems (ITherm), Las Vegas, NV, USA, 28–31 May 2019. [Google Scholar] [CrossRef]
- Arie, M.; Hymas, D.; Singer, F.; Shooshtari, A.; Ohadi, M. An additively manufactured novel polymer composite heat exchanger for dry cooling applications. Int. J. Heat Mass Transf. 2020, 147, 118889. [Google Scholar] [CrossRef]
- Fugmann, H.; Di Lauro, P.; Sawant, A.; Schnabel, L. Development of Heat Transfer Surface Area Enhancements: A Test Facility for New Heat Exchanger Designs. Energies 2018, 11, 1322. [Google Scholar] [CrossRef]
- Sahiti, N. Interrelation between pin length and heat exchanger performance. Appl. Therm. Eng. 2015, 91, 946–952. [Google Scholar] [CrossRef]
- Ravanji, A.; Lee, A.; Mohammadpour, J.; Cheng, S. Critical review on thermohydraulic performance enhancement in channel flows: A comparative study of pin fins. Renew. Sustain. Energy Rev. 2023, 188, 113793. [Google Scholar] [CrossRef]
- Bhandari, P.; Rawat, K.S.; Prajapati, Y.K.; Padalia, D.; Ranakoti, L.; Singh, T. Design modifications in micro pin fin configuration of microchannel heat sink for single phase liquid flow: A review. J. Energy Storage 2023, 66, 107548. [Google Scholar] [CrossRef]
- Xu, J.; Yao, J.; Su, P.; Lei, J.; Wu, J.; Gao, T. Heat transfer and pressure loss characteristics of pin-fins with different shapes in a wide channel. In Proceedings of the Turbo Expo: Power for Land, Sea, and Air, Charlotte, NC, USA, 26–30 June 2017. [Google Scholar] [CrossRef]
- Choudhary, V.; Kumar, M.; Patil, A.K. Experimental investigation of enhanced performance of pin fin heat sink with wings. Appl. Therm. Eng. 2019, 155, 546–562. [Google Scholar] [CrossRef]
- Narato, P.; Wae-hayee, M.; Kaewchoothong, N.; Nuntadusit, C. Heat transfer enhancement and flow characteristics in a rectangular channel having inclined pin arrays mounted on the endwall surface. Int. Commun. Heat Mass Transf. 2021, 122, 105162. [Google Scholar] [CrossRef]
- Kishore, H.; Pal, M.; Nirala, C.K.; Agrawal, A. Thermal performance evaluation of Micro pin–fin heat exchangers: Part I—Geometrical Design parameters optimization. Int. J. Precis. Eng. Manuf. 2024, 25, 245–254. [Google Scholar] [CrossRef]
- Kishore, H.; Pal, M.; Nirala, C.K.; Agrawal, A. Thermal performance evaluation of Micro pin–fin heat exchangers: Part II—Numerical Simulation and Fabrication demonstration. Int. J. Precis. Eng. Manuf. 2024, 25, 255–269. [Google Scholar] [CrossRef]
- Zhang, J.; Wu, J.; Xie, Z.; Lu, Z.; Guan, X.; Ge, Y. Suitability of Embedded Liquid Cooling and Heat Generation for Chips. Micromachines 2023, 15, 9. [Google Scholar] [CrossRef]
- Li, P.; Fan, X.; Chen, Z. Numerical study on the heat transfer of micro elliptic pin fins in a rectangular minichannel. Numer. Heat Transf. A-Appl. 2016, 70, 1242–1252. [Google Scholar] [CrossRef]
- Fugmann, H.; Oltersdorf, T.; Schnabel, L. Metal Wire Structures as Heat Transfer Surface Area Enlargement—Design Study and Potential Analysis for Air-to-Water Heat Pumps. In Proceedings of the 12th IEA Heat Pump Conference, Rotterdam, The Netherlands, 15–18 May 2017. [Google Scholar]
- Fugmann, H.; Schnabel, L.; Frohnapfel, B. Heat transfer and pressure drop correlations for laminar flow in an in-line and staggered array of circular cylinders. Numer. Heat Transf. A-Appl. 2019, 75, 1–20. [Google Scholar] [CrossRef]
- Jin, W.; Wu, J.; Jia, N.; Lei, J.; Ji, W.; Xie, G. Effect of shape and distribution of pin-fins on the flow and heat transfer characteristics in the rectangular cooling channel. Int. J. Therm. Sci. 2021, 161, 106758. [Google Scholar] [CrossRef]
- Zhou, Q.; Wang, H.; Liu, S.; Wei, H.; Hu, G. Assessment of the heat transfer efficiency of perforated louvered fins for improved drainage. Int. J. Heat Mass Transf. 2024, 228, 125654. [Google Scholar] [CrossRef]
- Saleem, A.; Kim, M.-H. CFD analysis on the air-side thermal-hydraulic performance of multi-louvered fin heat exchangers at low Reynolds numbers. Energies 2017, 10, 823. [Google Scholar] [CrossRef]
- Saleem, A.; Kim, M.-H. Air-side thermal hydraulic performance of microchannel heat exchangers with different fin configurations. Appl. Therm. Eng. 2017, 125, 780–789. [Google Scholar] [CrossRef]
- Saleem, A.; Kim, M.-H. Airside thermal performance of louvered fin flat-tube heat exchangers with different redirection louvers. Energies 2022, 15, 5904. [Google Scholar] [CrossRef]
- Bergelin, O.; Brown, G.; Doberstein, S. Heat transfer and fluid friction during flow across banks of tubes—IV: A study of the transition zone between viscous and turbulent flow. Trans. Am. Soc. Mech. Eng. 1952, 74, 953–959. [Google Scholar] [CrossRef]
- Fugmann, H.; Laurenz, E.; Schnabel, L. Wire Structure Heat Exchangers-New Designs for Efficient Heat Transfer. Energies 2017, 10, 1341. [Google Scholar] [CrossRef]
- Kailkhura, G.; Mandel, R.K.; Shooshtari, A.; Ohadi, M. Numerical and Experimental Study of a Novel Additively Manufactured Metal-Polymer Composite Heat-Exchanger for Liquid Cooling Electronics. Energies 2022, 15, 598. [Google Scholar] [CrossRef]













| d (mm) | Fh (mm) | Fd (mm) | Sx (mm) | Sy (mm) |
|---|---|---|---|---|
| 0.1 | 8 | 32 | 0.7, 1.0, 1.3, 1.6 | 0.4, 0.6, 0.8, 1.0, 1.2 |
| 0.2 | 8 | 32 | 0.7, 1.0, 1.3, 1.6 | 0.6, 0.8, 1.0, 1.2, 1.4 |
| 0.3 | 8 | 32 | 0.7, 1.0, 1.3, 1.6 | 0.6, 0.9, 1.2, 1.5, 1.8 |
| Type | Parameter | Value |
|---|---|---|
| Air | Thermal conductivity | 0.0247 W/(m·K) |
| Specific heat | 1007 J/(kg·K) | |
| Density | 1.225 kg/m3 | |
| Dynamic viscosity | 1.8 × 10–5 kg/(m·s) | |
| Aluminum fin | Thermal conductivity | 202.4 W/(m·K) |
Disclaimer/Publisher’s Note: The statements, opinions and data contained in all publications are solely those of the individual author(s) and contributor(s) and not of MDPI and/or the editor(s). MDPI and/or the editor(s) disclaim responsibility for any injury to people or property resulting from any ideas, methods, instructions or products referred to in the content. |
© 2024 by the authors. Licensee MDPI, Basel, Switzerland. This article is an open access article distributed under the terms and conditions of the Creative Commons Attribution (CC BY) license (https://creativecommons.org/licenses/by/4.0/).
Share and Cite
Zhou, Q.; Wang, H.; Wu, F.; Liu, S.; Wei, H.; Hu, G. Numerical Investigation of Enhanced Heat Transfer with Micro Pin Fins in Heat Exchangers. Micromachines 2024, 15, 1120. https://doi.org/10.3390/mi15091120
Zhou Q, Wang H, Wu F, Liu S, Wei H, Hu G. Numerical Investigation of Enhanced Heat Transfer with Micro Pin Fins in Heat Exchangers. Micromachines. 2024; 15(9):1120. https://doi.org/10.3390/mi15091120
Chicago/Turabian StyleZhou, Qin, Hongyan Wang, Fuyuan Wu, Shengfei Liu, Huafeng Wei, and Guoqing Hu. 2024. "Numerical Investigation of Enhanced Heat Transfer with Micro Pin Fins in Heat Exchangers" Micromachines 15, no. 9: 1120. https://doi.org/10.3390/mi15091120
APA StyleZhou, Q., Wang, H., Wu, F., Liu, S., Wei, H., & Hu, G. (2024). Numerical Investigation of Enhanced Heat Transfer with Micro Pin Fins in Heat Exchangers. Micromachines, 15(9), 1120. https://doi.org/10.3390/mi15091120

