An Improved Cubature Kalman Filter for GNSS-Denied and System-Noise-Varying INS/GNSS Navigation
Abstract
1. Introduction
2. Problem Formulation
- (1)
- Time Update
- (2)
- Measurement Update
3. Improved Cubature Kalman Filter Based on MUF and ML Principle
3.1. Design of the Proposed Algorithm
- (1)
- Initialize the Cubature Points
- (2)
- Time Update
- (3)
- Measurement Update
- (4)
- Cubature Points Update and Process Noise Covariance Update
3.2. Stability of the Proposed Algorithm
- (1)
- There are positive real constants , , , , , , , , , , and that satisfy the following relationship for :
- (2)
- There are real constants , , and that satisfy the following boundary conditions:
3.3. Computational Complexity Analysis
4. Experimental Results and Discussion
4.1. Filter Model of INS/GNSS
4.2. Simulations and Analysis
- (1)
- Error Covariance Variation Rate: The Frobenius norm of the change in the predicted error covariance matrix between consecutive time steps, defined as , was computed. As depicted in Figure 11a, remains at a low level (<0.1) for the vast majority of the simulation, indicating that the filtering process is predominantly stable. A moderate increase in is observed during the GNSS outage period (30–90 s), which is expected due to the lack of measurement updates. Crucially, the variation rate remains bounded and does not exhibit divergent behavior.
- (2)
- Whiteness Test of the Innovation Sequence: The stability and optimality of a filter can be assessed by checking if its innovation sequence is a white-noise process. The autocorrelation function (ACF) of the innovation sequence from the same simulation is plotted in Figure 11b. The results show that almost all autocorrelation values at non-zero lags lie within the 95% confidence bounds (red dashed lines). This confirms that the innovation sequence is essentially uncorrelated, satisfying the whiteness property and indicating that the filter is operating consistently and near-optimally.
- (3)
- Robustness Under Intentional Disturbance: To stress-test the algorithm, an additional period of aggressive maneuver (200–250 s) was introduced into the simulation to intentionally disrupt the filter’s stability. Figure 11c shows the resulting . As expected, the covariance variation rate spikes significantly during this maneuver. However, the ICKF algorithm demonstrates strong robustness, as quickly converges back to its nominal low level after the maneuver ends, showcasing the algorithm’s ability to recover from transient periods of instability.
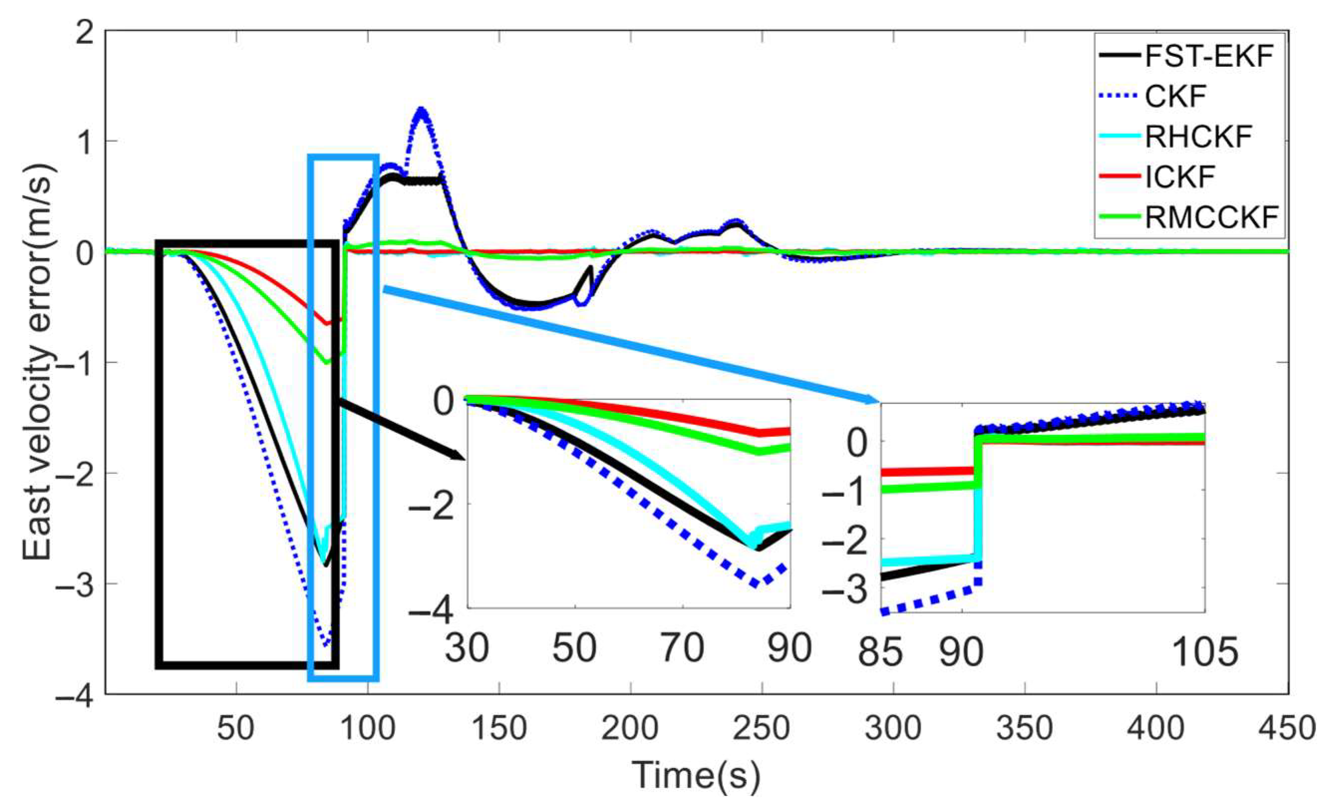
4.3. Experiments and Analysis
5. Conclusions
Author Contributions
Funding
Data Availability Statement
Conflicts of Interest
References
- Xu, Y.; Wan, D.; Shmaliy, Y.S.; Chen, X.Y.; Shen, T.; Bi, S.H. Dual free-size LS-SVM assisted maximum correntropy Kalman filtering for seamless INS-based integrated drone localization. IEEE Trans. Ind. Electron. 2024, 71, 9845–9854. [Google Scholar] [CrossRef]
- Huang, H.Q.; Wei, J.Y.; Wang, D.; Zhang, L.; Wang, B. In-motion initial alignment method based on vector observation and truncated vectorized K-matrix for SINS. IEEE Trans. Instrum. Meas. 2022, 71, 3000415. [Google Scholar] [CrossRef]
- Qin, H.M.; Wang, Y.; Wang, G.C.; Qin, X.H.; Bian, Y.G. GSCV-XGBoost based information reconstruction and fusion method for SINS/DVL integrated navigation system. Meas. Sci. Technol. 2023, 34, 035105. [Google Scholar] [CrossRef]
- Qu, C.Y.; Li, J.L.; Zhang, W. Improved integrated navigation method of micro position and orientation system based on installation error angle calibration. Meas. Sci. Technol. 2022, 33, 095020. [Google Scholar] [CrossRef]
- Liu, Y.H.; Ning, X.L.; Li, J.L.; Ye, W.; Wang, B.; Ma, X. Adaptive central difference Kalman filter with unknown measurement noise covariance and its application to airborne POS. IEEE Sens. J. 2021, 21, 9927–9936. [Google Scholar] [CrossRef]
- Li, J.L.; Zou, S.Y.; Li, Y.Q. A nonlinear two-filter smoothing estimation method based on DD2 filter for land vehicle POS. Meas. Sci. Technol. 2019, 30, 015014. [Google Scholar] [CrossRef]
- Liu, D.; Chen, X.Y.; Xu, Y.; Liu, X.; Shi, C.F. Maximum correntropy generalized high-degree cubature Kalman filter with application to the attitude determination system of missile. Aerosp. Sci. Technol. 2019, 95, 105441. [Google Scholar] [CrossRef]
- Ning, X.L.; Gui, M.Z.; Fang, J.C.; Liu, G. Differential X-ray pulsar aided celestial navigation for Mars exploration. Aerosp. Sci. Technol. 2017, 62, 36–45. [Google Scholar] [CrossRef]
- Wang, D.; Wang, B.; Huang, H.Q.; Zhang, H.X. A SINS/DVL navigation method based on hierarchical water velocity estimation. Meas. Sci. Technol. 2024, 35, 015116. [Google Scholar] [CrossRef]
- Huang, H.Q.; Tang, J.C.; Liu, C.; Zhang, B.; Wang, B. Variational Bayesian-based filter for inaccurate input in underwater navigation. IEEE Trans. Veh. Technol. 2021, 70, 8441–8452. [Google Scholar] [CrossRef]
- Gao, B.B.; Hu, G.G.; Zhong, Y.M.; Zhu, X.H. Distributed state fusion using sparse-grid quadrature filter with application to INS/CNS/GNSS integration. IEEE Sens. J. 2022, 22, 3430–3441. [Google Scholar] [CrossRef]
- Song, L.H.; Song, L.J. Estimation of navigation receiver clock bias utilizing wavelet transform and long short-term memory network models: A clock-aided positioning algorithm with validation of results using GPS data. Measurement 2025, 249, 116913. [Google Scholar] [CrossRef]
- Guo, X.T.; Shen, C.; Tang, J.; Li, J.; Liu, J. A fusion strategy for reliable attitude measurement using MEMS gyroscope and camera during discontinuous vision observations. Mech. Syst. Signal Process. 2021, 157, 107772. [Google Scholar] [CrossRef]
- Xu, Y.; Yu, J.W.; Wang, X.P.; Li, T.; Sun, M.X. Dual foot-mounted localisation scheme employing a minimum-distance-constraint Kalman filter under coloured measurement noise. Micromachines 2024, 15, 1346. [Google Scholar] [CrossRef]
- Liu, F.Y.; Sun, X.H.; Xiong, Y.F.; Huang, H.Q.; Guo, X.T.; Zhang, Y.; Shen, C. Combination of iterated cubature Kalman filter and neural networks for GPS/INS during GPS outages. Rev. Sci. Instrum. 2019, 90, 125005. [Google Scholar] [CrossRef] [PubMed]
- Shen, C.; Xiong, Y.F.; Zhao, D.H.; Wang, C.G.; Cao, H.L.; Song, X.; Tang, J.; Liu, J. Multi-rate strong tracking square-root cubature Kalman filter for MEMS-INS/GPS/polarization compass integrated navigation system. Mech. Syst. Signal Process. 2022, 163, 108146. [Google Scholar] [CrossRef]
- Gao, B.B.; Hu, G.G.; Zhong, Y.M.; Zhu, X.H. Cubature rule-based distributed optimal fusion with identification and prediction of kinematic model error for integrated UAV navigation. Aerosp. Sci. Technol. 2021, 109, 106447. [Google Scholar] [CrossRef]
- Wang, G.C.; Xu, X.S.; Zhang, T. M-M estimation-based robust cubature Kalman filter for INS/GPS integrated navigation system. IEEE Trans. Instrum. Meas. 2020, 70, 9501511. [Google Scholar] [CrossRef]
- Hu, G.G.; Gao, B.B.; Zhong, Y.M.; Gu, C.F. Unscented kalman filter with process noise covariance estimation for vehicular ins/gps integration system. Inf. Fusion 2020, 64, 194–204. [Google Scholar] [CrossRef]
- Meng, Y.; Gao, S.S.; Zhong, Y.M.; Hu, G.G.; Subicc, A. Covariance matching based adaptive unscented Kalman filter for direct filtering in INS/GNSS integration. Acta Astronaut. 2016, 120, 171–181. [Google Scholar] [CrossRef]
- Xiong, Y.F.; Zhang, Y.; Guo, X.T.; Wang, C.G.; Shen, C.; Li, J.; Tang, J.; Liu, J. Seamless global positioning system/inertial navigation system navigation method based on square-root cubature Kalman filter and random forest regression. Rev. Sci. Instrum. 2019, 90, 015101. [Google Scholar] [CrossRef]
- Zhang, Y.X. A fusion methodology to bridge GPS outages for INS/GPS integrated navigation system. IEEE access 2019, 7, 61296–61306. [Google Scholar] [CrossRef]
- Wu, Q.D.; Li, C.X.; Shen, T.; Xu, Y. Improved adaptive iterated extended Kalman filter for GNSS/INS/UWB-integrated fixed-point positioning. CMES-Comput. Model. Eng. Sci. 2023, 134, 1761–1772. [Google Scholar] [CrossRef]
- Zhang, Y.X.; Wang, L.H. A hybrid intelligent algorithm DGP-MLP for GNSS/INS integration during GNSS outages. J. Navig. 2019, 72, 375–388. [Google Scholar] [CrossRef]
- Ye, W.; Li, J.L.; Fang, J.C.; Yuan, X.Z. EGP-CDKF for performance improvement of the SINS/GNSS integrated system. IEEE Trans. Ind. Electron. 2018, 65, 3601–3609. [Google Scholar] [CrossRef]
- Chen, W.; Li, X.; Song, X.; Li, B.; Song, X.H.; Xu, Q.M. A novel fusion methodology to bridge GPS outages for land vehicle positioning. Meas. Sci. Technol. 2015, 26, 075001. [Google Scholar] [CrossRef]
- Li, X.; Xu, Q.M. A reliable fusion positioning strategy for land vehicles in GPS-denied environments based on low-cost sensors. IEEE Trans. Ind. Electron. 2017, 64, 3205–3215. [Google Scholar] [CrossRef]
- Chen, L.Z.T.; Fang, J.C. A hybrid prediction method for bridging GPS outages in high-precision POS application. IEEE Trans. Instrum. Meas. 2014, 63, 1656–1665. [Google Scholar] [CrossRef]
- Shen, C.; Zhang, Y.; Tang, J.; Cao, H.L.; Liu, J. Dual-optimization for a MEMS-INS/GPS system during GPS outages based on the cubature Kalman filter and neural networks. Mech. Syst. Signal Process. 2019, 133, 106222. [Google Scholar] [CrossRef]
- Doostdar, P.; Keighobadi, J.; Hamed, M.A. INS/GNSS integration using recurrent fuzzy wavelet neural networks. GPS Solutions 2019, 24, 29. [Google Scholar] [CrossRef]
- Yao, Y.Q.; Xu, X.S.; Zhu, C.C.; Chan, C.Y. A hybrid fusion algorithm for GPS/INS integration during GPS outages. Measurement 2017, 103, 42–51. [Google Scholar] [CrossRef]
- Wang, G.W.; Cui, B.B.; Tang, C.Y. Robust cubature Kalman filter based on maximum correntropy and resampling-free sigma-point update framework. Digital Signal Process. 2022, 126, 103495. [Google Scholar] [CrossRef]
- Wang, J.; Zhang, T.; Xu, X.; Li, Y. A variational Bayesian based strong tracking interpolatory cubature Kalman filter for maneuvering target tracking. IEEE Access 2018, 6, 52544–52560. [Google Scholar] [CrossRef]
- Chen, Z.H.; Liu, Y.X.; Liu, S.G.; Wang, S.L.; Yang, L. An improved fading factor-based adaptive robust filtering algorithm for SINS/GNSS integration with dynamic disturbance suppression. Remote Sens. 2025, 17, 1449. [Google Scholar] [CrossRef]
- Sage, A.P.; Husa, G.W. Adaptive Filtering with Unknown Prior Statistics. In Proceedings of the 1969 IEEE Conference on Decision and Control, Miami Beach, FL, USA, 17–19 December 1969; pp. 760–769. [Google Scholar]
- Sahl, S.; Song, E.B.; Niu, D.B. Robust cubature Kalman filter for moving-target tracking with missing measurements. Sensors 2024, 24, 392. [Google Scholar] [CrossRef]
- Cui, B.B.; Wei, X.H.; Chen, X.Y.; Wang, A.C. Improved high-degree cubature Kalman filter based on resampling-free sigma-point update framework and its application for inertial navigation system-based integrated navigation. Aerosp. Sci. Technol. 2021, 117, 106905. [Google Scholar] [CrossRef]
- Li, L.; Xia, Y.Q. Stochastic stability of the unscented Kalman filter with intermittent observations. Automatica 2012, 48, 978–981. [Google Scholar] [CrossRef]
- He, K.H.; Dong, C.Y. A fuzzy strong tracking extended Kalman filter for UAV navigation considering interruption of GPS signal. In Proceedings of the IEEE International Conference on Power, Intelligent Computing and Systems, Shenyang, China, 12–14 July 2019; pp. 254–259. [Google Scholar]


















| Parameter | Value | Parameter | Value |
|---|---|---|---|
| Constant drift of gyro | Noise of gyro | ||
| Bias of accelerometer | 1 mg | Noise of accelerometer | 0.1 |
| Equivalent pseudo-range error of GNSS | 10 km | Equivalent pseudo-range rate error of GNSS | 100 |
| Initial attitude error | Update rate of GNSS | 2 Hz | |
| Update rate of INS | 100 Hz | Type of aircraft | fighter plane |
| The geometric characteristics of the aircraft | 9.96 m (wing span), 3.56 (aspect ratio), 27.87 (wing area), 2.8 m (mean chord), (sweep angle), 15.06 m (Length) | The weight characteristics of the aircraft | 19,200 kg (max takeoff weight), 9500 kg (empty weight), 5000 kg (max fuel weight), 1.05 (thrust-to-weight) |
| The aerodynamic characteristics of the aircraft | 1.8 (maximum lift coefficient), 0.02 (zero-lift drag coefficient), 0.04 (drag coefficient varies with lift coefficient), 2 (maximum Mach number), 670 m/s (maximum flight speed) | The stability derivatives of the aircraft | −0.3 (roll damping derivative), 0.2 (roll rate derivative), −0.5 (pitch damping derivative), −0.8 (angle of attack derivative), −0.4 (yaw damping derivative), 0.1 (yaw coupling derivative) |
| Algorithm | Environment 1 (m) | Environment 2 (m) | Environment 3 (m) |
|---|---|---|---|
| FST-EKF | 96.03 | 377.63 | 1001.59 |
| CKF | 119.53 | 457.93 | 1198.53 |
| RHCKF | 59.10 | 221.80 | 620.86 |
| ICKF | 12.21 | 54.20 | 169.44 |
| RMCCKF | 24.14 | 92.26 | 286.26 |
| Algorithm | Environment 1 (m) | Environment 2 (m) | Environment 3 (m) |
|---|---|---|---|
| FST-EKF | 245.73 | 957.56 | 1256.16 |
| CKF | 306.89 | 1211.53 | 1665.34 |
| RHCKF | 169.88 | 436.54 | 1108.95 |
| ICKF | 30.45 | 87.32 | 268.72 |
| RMCCKF | 45.98 | 195.81 | 477.26 |
| Algorithm | East Position (%) | North Position (%) | Yaw Angle (%) | Average (%) |
|---|---|---|---|---|
| FST-EKF | 78.3 | 76.9 | 79.1 | 78.1 |
| CKF | 72.6 | 70.8 | 74.3 | 72.6 |
| RHCKF | 85.2 | 83.7 | 86.1 | 85.0 |
| ICKF | 96.8 | 95.2 | 97.1 | 96.4 |
| RMCCKF | 89.7 | 88.4 | 90.2 | 89.4 |
| Algorithm | Environment 1 (m) | Environment 2 (m) | Environment 3 (m) |
|---|---|---|---|
| FST-EKF | 266.54 | 981.12 | 1380.31 |
| CKF | 300.21 | 1221.45 | 1718.96 |
| RHCKF | 156.32 | 412.84 | 1055.45 |
| ICKF | 68.69 | 182.31 | 599.61 |
| RMCCKF | 103.71 | 288.73 | 865.56 |
| Algorithm | Attitude (°) | Velocity (m/s) | Position (m) | |||
|---|---|---|---|---|---|---|
| Yaw Angle | Pitch Angle | East | North | East | North | |
| FST-EKF | 2.20 | 1.13 | 0.79 | 0.85 | 6.40 | 6.83 |
| CKF | 2.78 | 1.48 | 0.98 | 1.09 | 8.39 | 8.62 |
| RHCKF | 0.43 | 0.08 | 0.47 | 0.21 | 3.48 | 2.66 |
| ICKF | 0.27 | 0.03 | 0.06 | 0.04 | 0.91 | 0.51 |
| RMCCKF | 0.66 | 0.35 | 0.36 | 0.33 | 4.04 | 3.56 |
Disclaimer/Publisher’s Note: The statements, opinions and data contained in all publications are solely those of the individual author(s) and contributor(s) and not of MDPI and/or the editor(s). MDPI and/or the editor(s) disclaim responsibility for any injury to people or property resulting from any ideas, methods, instructions or products referred to in the content. |
© 2025 by the authors. Licensee MDPI, Basel, Switzerland. This article is an open access article distributed under the terms and conditions of the Creative Commons Attribution (CC BY) license (https://creativecommons.org/licenses/by/4.0/).
Share and Cite
Liu, D.; Chen, X.; Cui, B. An Improved Cubature Kalman Filter for GNSS-Denied and System-Noise-Varying INS/GNSS Navigation. Micromachines 2025, 16, 1116. https://doi.org/10.3390/mi16101116
Liu D, Chen X, Cui B. An Improved Cubature Kalman Filter for GNSS-Denied and System-Noise-Varying INS/GNSS Navigation. Micromachines. 2025; 16(10):1116. https://doi.org/10.3390/mi16101116
Chicago/Turabian StyleLiu, Di, Xiyuan Chen, and Bingbo Cui. 2025. "An Improved Cubature Kalman Filter for GNSS-Denied and System-Noise-Varying INS/GNSS Navigation" Micromachines 16, no. 10: 1116. https://doi.org/10.3390/mi16101116
APA StyleLiu, D., Chen, X., & Cui, B. (2025). An Improved Cubature Kalman Filter for GNSS-Denied and System-Noise-Varying INS/GNSS Navigation. Micromachines, 16(10), 1116. https://doi.org/10.3390/mi16101116

