Development of Visibly Opaque Polyolefin Sheets While Preserving Infrared-Light Transparency
Abstract
1. Introduction
2. Materials and Methods
2.1. Materials
2.2. Methods
2.2.1. Sample Fabrication
2.2.2. Characterization
Tensile Strength
Fourier Transform Infrared Spectroscopy Analysis
Infrared Radiation Analysis
Ultraviolet–Visible Spectroscopy Analysis
3. Results
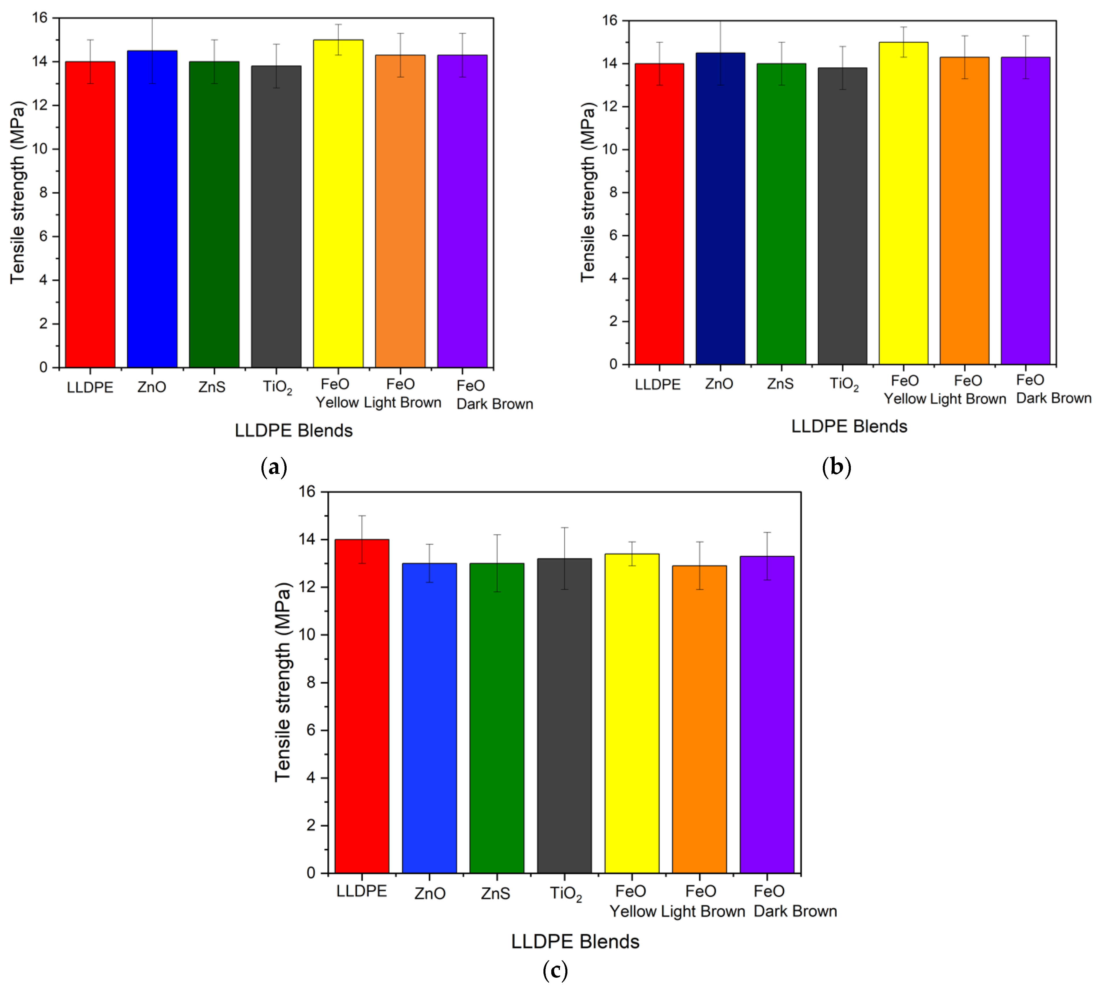
3.1. Mechanical Performance
3.2. IR Transmission Properties
3.2.1. FTIR Spectroscopy Analysis
3.2.2. IR Transparency
3.2.3. IR Emittance
3.3. Visible Opacity Performance
3.4. Effect of Surface Micro-Texturing
4. Discussion
5. Conclusions
Supplementary Materials
Author Contributions
Funding
Data Availability Statement
Acknowledgments
Conflicts of Interest
References
- Posch, W. Polyolefins. In Applied Plastics Engineering Handbook; Kutz, M., Ed.; Elsevier: Amsterdam, The Netherlands, 2011; pp. 23–48. ISBN 978-1-4377-3514-7. [Google Scholar]
- Kaminsky, W. Trends in Polyolefin Chemistry. Macromol. Chem. Phys. 2008, 209, 459–466. [Google Scholar] [CrossRef]
- Olabisi, O. Polyolefins. In Handbook of Thermoplastics; Olabisi, O., Adewale, K., Eds.; CRC Press: Boca Raton, FL, USA, 2016; pp. 1–52. [Google Scholar]
- Gohil, J.M.; Choudhury, R.R. Introduction to Nanostructured and Nano-enhanced Polymeric Membranes: Preparation, Function, and Application for Water Purification. In Nanoscale Materials in Water Purification; Elsevier: Amsterdam, The Netherlands, 2019; pp. 25–57. [Google Scholar] [CrossRef]
- Zhao, B.Y.; Yi, X.W.; Li, R.Y.; Zhu, P.F.; Hu, K.A. Characterization to the weathering extent of LLDPE/LDPE thin film. J. Appl. Polym. Sci. 2003, 88, 12–16. [Google Scholar] [CrossRef]
- Khumkomgool, A.; Saneluksana, T.; Harnkarnsujarit, N. Active meat packaging from thermoplastic cassava starch containing sappan and cinnamon herbal extracts via LLDPE blown-film extrusion. Food Packag. Shelf Life 2020, 26, 100557. [Google Scholar] [CrossRef]
- Saral Sarojini, K.; Indumathi, M.P.; Rajarajeswari, G.R. Mahua oil-based polyurethane/chitosan/nano ZnO composite films for biodegradable food packaging applications. Int. J. Biol. Macromol. 2019, 124, 163–174. [Google Scholar] [CrossRef]
- Riaz, A.; Lagnika, C.; Luo, H.; Dai, Z.; Nie, M.; Hashim, M.M.; Liu, C.; Song, J.; Li, D. Chitosan-based biodegradable active food packaging film containing Chinese chive (Allium tuberosum) root extract for food application. Int. J. Biol. Macromol. 2020, 150, 595–604. [Google Scholar] [CrossRef]
- Goñi, M.L.; Gañán, N.A.; Strumia, M.C.; Martini, R.E. Eugenol-loaded LLDPE films with antioxidant activity by supercritical carbon dioxide impregnation. J. Supercrit. Fluids 2016, 111, 28–35. [Google Scholar] [CrossRef]
- Sam, S.T.; Nuradibah, M.A.; Ismail, H.; Noriman, N.Z.; Ragunathan, S. Recent Advances in Polyolefins/Natural Polymer Blends Used for Packaging Application. Polym. Plast. Technol. Eng. 2014, 53, 631–644. [Google Scholar] [CrossRef]
- Bumbudsanpharoke, N.; Wongphan, P.; Promhuad, K.; Leelaphiwat, P.; Harnkarnsujarit, N. Morphology and permeability of bio-based poly(butylene adipate-co-terephthalate) (PBAT), poly(butylene succinate) (PBS) and linear low-density polyethylene (LLDPE) blend films control shelf-life of packaged bread. Food Control 2022, 132, 108541. [Google Scholar] [CrossRef]
- Busu, W.N.W.; Yusof, M.J.M.; Bakar, M.S.A.; Akbar, A.; Chen, R.S.; Shahdan, D.; Zailan, F.D.; Ahmad, S. Enhanced tensile and barrier properties of modified LLDPE with rubbery materials and graphene nanoplatelets for packaging application. J. Appl. Polym. Sci. 2023, 140, e53810. [Google Scholar] [CrossRef]
- Dadbin, S.; Noferesti, M.; Frounchi, M. Oxygen Barrier LDPE/LLDPE/Organoclay Nano-Composite Films for Food Packaging. Macromol. Symp. 2008, 274, 22–27. [Google Scholar] [CrossRef]
- Panrong, T.; Karbowiak, T.; Harnkarnsujarit, N. Thermoplastic starch and green tea blends with LLDPE films for active packaging of meat and oil-based products. Food Packag. Shelf Life 2019, 21, 100331. [Google Scholar] [CrossRef]
- Porfyris, A.D.; Luyt, A.S.; Gasmi, S.; Malik, S.S.; Aljindi, R.M.; Ouederni, M.; Vouyiouka, S.N.; Pfaendner, R.; Papaspyrides, C.D. Enhancing the UV/heat stability of LLDPE irrigation pipes via different stabilizer formulations. SPE Polym. 2021, 2, 336–350. [Google Scholar] [CrossRef]
- Seven, S.A.; Tastan, Ö.F.; Tas, C.E.; Ünal, H.; Ince, İ.A.; Menceloglu, Y.Z. Insecticide-releasing LLDPE films as greenhouse cover materials. Mater. Today Commun. 2019, 19, 170–176. [Google Scholar] [CrossRef]
- Xu, H.; Dun, M.; Zhang, Z.; Zhang, L.; Shan, W.; Wang, W. A New Process of Preparing Rice Straw-Reinforced LLDPE Composite. Polymers 2022, 14, 2243. [Google Scholar] [CrossRef]
- Yang, S.; Wang, H.; Sun, X.; Yang, F.; Li, X.; Li, W.; Yao, Z. Synthesis of a dripping agent based on lauric acid diethanolamide and delaying its migration in LLDPE films. Polym. Technol. Mater. 2020, 59, 1100–1108. [Google Scholar] [CrossRef]
- Korol, J.; Hejna, A.; Wypiór, K.; Mijalski, K.; Chmielnicka, E. Wastes from Agricultural Silage Film Recycling Line as a Potential Polymer Materials. Polymers 2021, 13, 1383. [Google Scholar] [CrossRef]
- Subharaj, C.; Logesh, M.; Abdul Munaf, A.; Srinivas, J.; Joe Patrick Gnanaraj, S. Sustainable approach on cement mortar incorporating silica fume, LLDPE and sisal fiber. Mater. Today Proc. 2022, 68, 1342–1348. [Google Scholar] [CrossRef]
- Okhotnikova, E.S.; Ganeeva, Y.M.; Frolov, I.N.; Yusupova, T.N.; Fazylzyanova, G.R. Structural characterization and application of bitumen modified by recycled polyethylenes. Constr. Build. Mater. 2022, 316, 126118. [Google Scholar] [CrossRef]
- Panda, S.; Mishra, S.P.; Mohanty, M. Effect of Blended Waste LDPE/LLDPE on Properties of Bitumen for Rural Roads. In Sustainable Development in Energy and Environment: Select Proceedings of ICSDEE; Springer: Berlin/Heidelberg, Germany, 2020; pp. 197–215. [Google Scholar] [CrossRef]
- Alqahtani, F.K.; Abotaleb, I.S.; ElMenshawy, M. Life cycle cost analysis of lightweight green concrete utilizing recycled plastic aggregates. J. Build. Eng. 2021, 40, 102670. [Google Scholar] [CrossRef]
- Nizamuddin, S.; Jamal, M.; Gravina, R.; Giustozzi, F. Recycled plastic as bitumen modifier: The role of recycled linear low-density polyethylene in the modification of physical, chemical and rheological properties of bitumen. J. Clean. Prod. 2020, 266, 121988. [Google Scholar] [CrossRef]
- Alqahtani, F.K.; Abotaleb, I.S.; Harb, S. LEED Assessment of Green Lightweight Concrete Containing Plastic Based Aggregates in Construction. In Proceedings of the Construction Research Congress 2022: Project Management and Delivery, Controls, and Design and Materials—Selected Papers from Construction Research Congress 2022, Arlington, VA, USA, 9–12 March 2022; American Society of Civil Engineers: Reston, VA, USA, 2022; Volume 3–C, pp. 696–705. [Google Scholar]
- Benimam, S.; Bentchikou, M.; Debieb, F.; Kenai, S.; Guendouz, M. Physical and mechanical properties of cement mortar with LLDPE powder and PET fiber wastes. Adv. Concr. Constr. 2021, 12, 461–467. [Google Scholar] [CrossRef]
- Alqahtani, F.K.; Abotaleb, I.S.; Harb, S. LEED Study of Green Lightweight Aggregates in Construction. Sustainability 2021, 13, 1395. [Google Scholar] [CrossRef]
- Bekhit, M.; El-Sabbagh, S.H.; Mohamed, R.M.; El-Sayyad, G.S.; Sokary, R. Mechanical, Thermal and Antimicrobial Properties of LLDPE/EVA/MMT/Ag Nanocomposites Films Synthesized by Gamma Irradiation. J. Inorg. Organomet. Polym. Mater. 2022, 32, 631–645. [Google Scholar] [CrossRef]
- Harun, N.H.; Mydin, R.B.S.M.N.; Sreekantan, S.; Saharudin, K.A.; Basiron, N.; Seeni, A. The bactericidal potential of LLDPE with TiO2/ZnO nanocomposites against multidrug resistant pathogens associated with hospital acquired infections. J. Biomater. Sci. Polym. Ed. 2020, 31, 1757–1769. [Google Scholar] [CrossRef] [PubMed]
- Luo, H.; Yang, M.; Guo, J.; Zou, W.; Xu, J.; Zhao, N. UV-cured coatings for highly efficient passive all-day radiative cooling. Res. Sq. 2022. [Google Scholar] [CrossRef]
- Alberghini, M.; Hong, S.; Lozano, L.M.; Korolovych, V.; Huang, Y.; Signorato, F.; Zandavi, S.H.; Fucetola, C.; Uluturk, I.; Tolstorukov, M.Y.; et al. Sustainable polyethylene fabrics with engineered moisture transport for passive cooling. Nat. Sustain. 2021, 4, 715–724. [Google Scholar] [CrossRef]
- Chavan, S.; Gumtapure, V.; Arumuga Perumal, D. Numerical and experimental analysis on thermal energy storage of polyethylene/functionalized graphene composite phase change materials. J. Energy Storage 2020, 27, 101045. [Google Scholar] [CrossRef]
- Guo, Y.; Wu, H.; Du, K.; Huang, G.; Xu, X. Experimental study on radiant cooling with double-skin infrared-transparent membranes. Energy Build. 2023, 278, 112654. [Google Scholar] [CrossRef]
- Guo, X.; Feng, J. Facilely prepare passive thermal management materials by foaming phase change materials to achieve long-duration thermal insulation performance. Compos. Part B Eng. 2022, 245, 110203. [Google Scholar] [CrossRef]
- Huttunen, E.; Nykänen, M.T.; Alexandersen, J. Material extrusion additive manufacturing and experimental testing of topology-optimised passive heat sinks using a thermally-conductive plastic filament. Addit. Manuf. 2022, 59, 103123. [Google Scholar] [CrossRef]
- Zhang, M.; Yan, T.; Wang, W.; Jia, X.; Wang, J.; Klemeš, J.J. Energy-saving design and control strategy towards modern sustainable greenhouse: A review. Renew. Sustain. Energy Rev. 2022, 164, 112602. [Google Scholar] [CrossRef]
- Štěpánová, V.; Šrámková, P.; Sihelník, S.; Zemánek, M.; Jurmanová, J.; Stupavská, M.; Kováčik, D. Adhesion improvement on the inner side of LLDPE/PA tubular film exposed to DCSBD roll-to-roll plasma system from the outer side of the film. Plasma Process. Polym. 2023, 20, 2200226. [Google Scholar] [CrossRef]
- Peng, Y.; Chen, J.; Song, A.Y.; Catrysse, P.B.; Hsu, P.C.; Cai, L.; Liu, B.; Zhu, Y.; Zhou, G.; Wu, D.S.; et al. Nanoporous polyethylene microfibres for large-scale radiative cooling fabric. Nat. Sustain. 2018, 1, 105–112. [Google Scholar] [CrossRef]
- Zhang, L.; Xu, H.; Wang, W. Performance of Straw/Linear Low Density Polyethylene Composite Prepared with Film-Roll Hot Pressing. Polymers 2020, 12, 860. [Google Scholar] [CrossRef] [PubMed]
- Durmus, A.; Kaşgöz, A.; Macosko, C.W. Mechanical Properties of Linear Low-density Polyethylene (LLDPE)/clay Nanocomposites: Estimation of Aspect Ratio and İnterfacial Strength by Composite Models. J. Macromol. Sci. Part B Phys. 2008, 47, 608–619. [Google Scholar] [CrossRef]
- Wade, A.E.; Maclaren, F.H. High Tensile Strength Wax. US2127668A, 23 August 1934. [Google Scholar]
- Djoković, V.; Mtshali, T.N.; Luyt, A.S. The influence of wax content on the physical properties of low-density polyethylene–wax blends. Polym. Int. 2003, 52, 999–1004. [Google Scholar] [CrossRef]
- Ragaert, K.; Delva, L.; Van Damme, N.; Kuzmanovic, M.; Hubo, S.; Cardon, L. Microstructural foundations of the strength and resilience of LLDPE artificial turf yarn. J. Appl. Polym. Sci. 2016, 133, 44080. [Google Scholar] [CrossRef]
- Cozzi, A.C.; Briasco, B.; Salvarani, E.; Mannucci, B.; Fangarezzi, F.; Perugini, P. Evaluation of Mechanical Properties and Volatile Organic Extractable to Investigate LLDPE and LDPE Polymers on Final Packaging for Semisolid Formulation. Pharmaceutics 2018, 10, 113. [Google Scholar] [CrossRef]
- Fu, S.Y.; Feng, X.Q.; Lauke, B.; Mai, Y.W. Effects of particle size, particle/matrix interface adhesion and particle loading on mechanical properties of particulate–polymer composites. Compos. Part B Eng. 2008, 39, 933–961. [Google Scholar] [CrossRef]
- Zanchin, G.; Leone, G. Polyolefin thermoplastic elastomers from polymerization catalysis: Advantages, pitfalls and future challenges. Prog. Polym. Sci. 2021, 113, 101342. [Google Scholar] [CrossRef]
- Ignatov, I.; Mosin, O.; Drossinakis, C. Infrared Thermal Field Emitted from Human Body. Thermovision. J. Med. Physiol. Biophys. 2014, 1, 1–12. [Google Scholar]
- Smith, B.C. The Infrared Spectra of Polymers II: Polyethylene. Spectroscopy 2021, 36, 24–29. [Google Scholar] [CrossRef]
- Al-Salem, S.M.; Behbehani, M.H.; Al-Hazza’a, A.; Arnold, J.C.; Alston, S.M.; Al-Rowaih, A.A.; Asiri, F.; Al-Rowaih, S.F.; Karam, H. Study of the degradation profile for virgin linear low-density polyethylene (LLDPE) and polyolefin (PO) plastic waste blends. J. Mater. Cycles Waste Manag. 2019, 21, 1106–1122. [Google Scholar] [CrossRef]
- Saki, T.A.; Sweah, Z.J.; Bahili, M.A. Effect of Maleated Polyethylene Wax on Mechanical and Rheological Properties of LDPE/Starch Blends. Trop. J. Nat. Prod. Res. 2021, 5, 1060–1065. [Google Scholar] [CrossRef]
- Zhang, Z.Y.; Xiong, H.M. Photoluminescent ZnO Nanoparticles and Their Biological Applications. Materials 2015, 8, 3101. [Google Scholar] [CrossRef]
- Hwang, J.S.; Jung, K.Y. Effect of calcination temperature and Ti substitution on optical properties of (Fe,Cr)2O3 cool black pigment prepared by spray pyrolysis. RSC Adv. 2021, 12, 72. [Google Scholar] [CrossRef]
- Firdaus, V.; Shirodkar, P.P. LLDPE Films with Improved Optical Properties. US5210167A, 2 November 1991. [Google Scholar]
- Rosen-Kligvasser, J.; Suckeveriene, R.Y.; Tchoudakov, R.; Narkis, M. LLDPE films containing monoester of oleic acid grafted to silica particles as durable antifog additives. Polym. Adv. Technol. 2017, 28, 931–939. [Google Scholar] [CrossRef]
- Singh, G.; Bhunia, H.; Rajor, A.; Choudhary, V. Thermal properties and degradation characteristics of polylactide, linear low density polyethylene, and their blends. Polym. Bull. 2011, 66, 939–953. [Google Scholar] [CrossRef]
- Sorensen, C.M. Light Scattering and Absorption by Particles; IOP Publishing: Bristol, UK, 2022. [Google Scholar]
- Pisavadia, H.; Asad, A.; Sameoto, D.; Dolez, P.; Hogan, J.D. Design of micro- and macro-scale polymeric metamaterial solutions for passive and active thermal camouflaging applications. Nano Sel. 2023, 4, 263–270. [Google Scholar] [CrossRef]
- Deshmukh, K.; Kovářík, T.; Muzaffar, A.; Ahamed, M.B.; Pasha, S.K. Mechanical analysis of polymers. In Polymer Science and Innovative Applications; Elsevier: Amsterdam, The Netherlands, 2020; pp. 117–152. [Google Scholar]
- Asbeck, W.K.; Loo, M.V. Critical pigment volume relationships. Ind. Eng. Chem. 1949, 41, 1470–1475. [Google Scholar] [CrossRef]
- Diebold, M.; Backer, S.D.; Niedenzu, P.M.; Hester, B.R.; Vanhecke, F. Light Scattering 1—The Physics of Light Scattering. In Pigments, Extenders, and Particles in Surface Coatings and Plastics: Fundamentals and Applications to Coatings, Plastics and Paper Laminate Formulation; Springer International Publishing: Berlin/Heidelberg, Germany, 2022; pp. 81–99. [Google Scholar]
















| Sample Code | Concentration Levels (wt%) | ||
|---|---|---|---|
| Pigment | Polymer Wax | LLDPE | |
| Pure LLDPE | 0 | 0 | 100 |
| 1 wt% ZnO-LLDPE | 1 | 1 | 98 |
| 3 wt% ZnO-LLDPE | 3 | 3 | 95 |
| 5 wt% ZnO-LLDPE | 5 | 5 | 90 |
| 1 wt% ZnS-LLDPE | 1 | 1 | 98 |
| 3 wt% ZnS-LLDPE | 3 | 3 | 95 |
| 5 wt% ZnS-LLDPE | 5 | 5 | 90 |
| 1 wt% TiO2-LLDPE | 1 | 1 | 98 |
| 3 wt% TiO2-LLDPE | 3 | 3 | 95 |
| 5 wt% TiO2-LLDPE | 5 | 5 | 90 |
| 1 wt% FeO Yellow–LLDPE | 1 | 1 | 98 |
| 3 wt% FeO Yellow–LLDPE | 3 | 3 | 95 |
| 5 wt% FeO Yellow–LLDPE | 5 | 5 | 90 |
| 1 wt% FeO Light Brown–LLDPE | 1 | 1 | 98 |
| 3 wt% FeO Light Brown–LLDPE | 3 | 3 | 95 |
| 5 wt% FeO Light Brown–LLDPE | 5 | 5 | 90 |
| 1 wt% FeO Dark Brown–LLDPE | 1 | 1 | 98 |
| 3 wt% FeO Dark Brown–LLDPE | 3 | 3 | 95 |
| 5 wt% FeO Dark Brown–LLDPE | 5 | 5 | 90 |
| 1% | 3% | 5% | ||||
|---|---|---|---|---|---|---|
| Young Modulus (MPa) | Elongation at Break (%) | Young Modulus (MPa) | Elongation at Break (%) | Young Modulus (MPa) | Elongation at Break (%) | |
| Pure LLDPE | 145 ± 30 | 1200 ± 50 | 145 ± 30 | 1200 ± 50 | 145 ± 30 | 1200 ± 50 |
| ZnS | 140 ± 40 | 1240 ± 30 | 113 ± 30 | 1175 ± 35 | 90 ± 40 | 1055 ± 40 |
| TiO2 | 134 ± 25 | 1225 ± 30 | 115 ± 25 | 1155 ± 25 | 99 ± 25 | 1100 ± 30 |
| ZnO | 141 ± 40 | 1220 ± 25 | 120 ± 20 | 1170 ± 30 | 98.5 ± 30 | 1080 ± 25 |
| FeO Yellow | 143 ± 25 | 1230 ± 20 | 122 ± 25 | 1160 ± 30 | 95 ± 15 | 1070 ± 25 |
| FeO Light Brown | 146 ± 15 | 1165 ± 40 | 110 ± 20 | 1175 ± 40 | 90 ± 25 | 1040 ± 35 |
| FeO Dark Brown | 147 ± 20 | 1150 ± 50 | 110 ± 30 | 1190 ± 35 | 92 ± 35 | 1035 ± 30 |
Disclaimer/Publisher’s Note: The statements, opinions and data contained in all publications are solely those of the individual author(s) and contributor(s) and not of MDPI and/or the editor(s). MDPI and/or the editor(s) disclaim responsibility for any injury to people or property resulting from any ideas, methods, instructions or products referred to in the content. |
© 2025 by the authors. Licensee MDPI, Basel, Switzerland. This article is an open access article distributed under the terms and conditions of the Creative Commons Attribution (CC BY) license (https://creativecommons.org/licenses/by/4.0/).
Share and Cite
Hoque, M.S.; Ali, M.; Sun, X.; Asad, A.; Dolez, P.I.; Hogan, J.D.; Sameoto, D. Development of Visibly Opaque Polyolefin Sheets While Preserving Infrared-Light Transparency. Micromachines 2025, 16, 178. https://doi.org/10.3390/mi16020178
Hoque MS, Ali M, Sun X, Asad A, Dolez PI, Hogan JD, Sameoto D. Development of Visibly Opaque Polyolefin Sheets While Preserving Infrared-Light Transparency. Micromachines. 2025; 16(2):178. https://doi.org/10.3390/mi16020178
Chicago/Turabian StyleHoque, Md. Saiful, Mehnab Ali, Xiaoruo Sun, Asad Asad, Patricia I. Dolez, James David Hogan, and Dan Sameoto. 2025. "Development of Visibly Opaque Polyolefin Sheets While Preserving Infrared-Light Transparency" Micromachines 16, no. 2: 178. https://doi.org/10.3390/mi16020178
APA StyleHoque, M. S., Ali, M., Sun, X., Asad, A., Dolez, P. I., Hogan, J. D., & Sameoto, D. (2025). Development of Visibly Opaque Polyolefin Sheets While Preserving Infrared-Light Transparency. Micromachines, 16(2), 178. https://doi.org/10.3390/mi16020178

