Effects of Fumed and Mesoporous Silica Nanoparticles on the Properties of Sylgard 184 Polydimethylsiloxane
Abstract
:1. Introduction
2. Experimental Section
2.1. Materials
| The Type | SSA (m2/g) | Particle size (nm) | Pore diameter (nm) | Pore volume (cm3/g) |
|---|---|---|---|---|
| A380 | ~380 | ~7 | - | - |
| MCM-41 | ~800 | ~300 | 3.5–4 | 0.8–0.9 |
2.2. Fabrication of PDMS/Silica Nanocomposites
2.3. Characterization


3. Results and Discussion
3.1. The CTE of PDMS/Silica Nanocomposites

3.2. The Elastic Modulus of PDMS/Silica Nanocomposites

3.3. Swelling of PDMS/Silica Nanocomposites

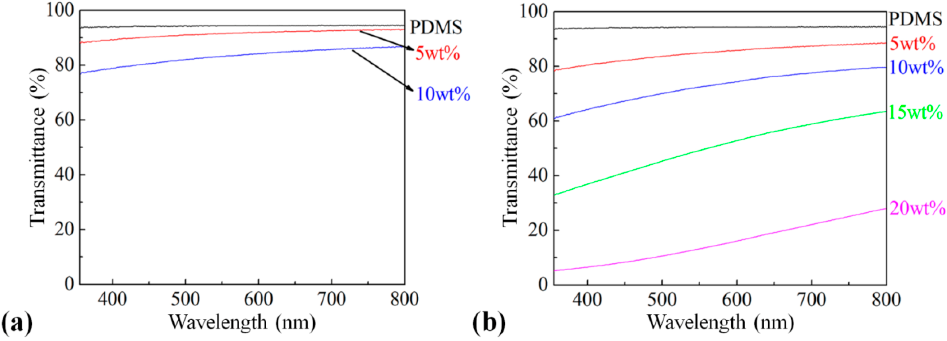
3.4. Transparency of PDMS/Silica Nanocomposites

4. Conclusions
Acknowledgments
Author Contributions
Conflicts of Interest
References
- Xia, Y.N.; Whitesides, G.M. Soft lithography. Angew. Chem. Int. Ed. 1998, 37, 550–575. [Google Scholar] [CrossRef]
- McDonald, J.C.; Whitesides, G.M. Poly(dimethylsiloxane) as a material for fabricating microfluidic devices. Accounts Chem. Res. 2002, 35, 491–499. [Google Scholar] [CrossRef]
- Bonk, S.M.; Oldorf, P.; Peters, R.; Baumann, W.; Gimsa, J. Fast prototyping of sensorized cell culture chips and microfluidic systems with ultrashort laser pulses. Micromachines 2015, 6, 364–374. [Google Scholar] [CrossRef]
- Pinto, E.; Faustino, V.; Rodrigues, R.O.; Pinho, D.; Garcia, V.; Miranda, J.M.; Lima, R. A rapid and low-cost nonlithographic method to fabricate biomedical microdevices for blood flow analysis. Micromachines 2015, 6, 121–135. [Google Scholar] [CrossRef]
- Yu, Z.; Amirouche, F. An electromagnetically-actuated all-PDMS valveless micropump for drug delivery. Micromachines 2011, 2, 345–355. [Google Scholar]
- Wu, W.Y.; Zhong, X.; Wang, W.; Miao, Q.A.; Zhu, J.J. Flexible PDMS-based three-electrode sensor. Electrochem. Commun. 2010, 12, 1600–1604. [Google Scholar] [CrossRef]
- Guo, L.; DeWeerth, S.P. An effective lift-off method for patterning high-density gold interconnects on an elastomeric substrate. Small 2010, 6, 2847–2852. [Google Scholar] [CrossRef] [PubMed]
- Graudejus, O.; Goerrn, P.; Wagner, S. Controlling the morphology of gold films on poly(dimethylsiloxane). ACS Appl. Mater. Interfaces 2010, 2, 1927–1933. [Google Scholar] [CrossRef] [PubMed]
- Bowden, N.; Brittain, S.; Evans, A.G.; Hutchinson, J.W.; Whitesides, G.M. Spontaneous formation of ordered structures in thin films of metals supported on an elastomeric polymer. Nature 1998, 393, 146–149. [Google Scholar]
- Kim, B.Y.; Hong, L.Y.; Chung, Y.M.; Kim, D.P.; Lee, C.S. Solvent-resistant PDMS microfluidic devices with hybrid inorganic/organic polymer coatings. Adv. Funct. Mater. 2009, 19, 3796–3803. [Google Scholar] [CrossRef]
- Lee, J.N.; Park, C.; Whitesides, G.M. Solvent compatibility of poly(dimethylsiloxane)-based microfluidic devices. Anal. Chem. 2003, 75, 6544–6554. [Google Scholar] [CrossRef] [PubMed]
- Koh, K.S.; Chin, J.; Chia, J.; Chiang, C.L. Quantitative studies on PDMS-PDMS interface bonding with piranha solution and its swelling effect. Micromachines 2012, 3, 427–441. [Google Scholar] [CrossRef]
- Wu, C.L.; Lin, H.C.; Hsu, J.S.; Yip, M.C.; Fang, W. Static and dynamic mechanical properties of polydimethylsiloxane/carbon nanotube nanocomposites. Thin Solid Films 2009, 517, 4895–4901. [Google Scholar] [CrossRef]
- Vast, L.; Carpentier, L.; Lallemand, F.; Colomer, J.F.; van Tendeloo, G.; Fonseca, A.; Delhalle, J. Multiwalled carbon nanotubes functionalized with 7-octenyltrichlorosilane and n-octyltrichlorosilane: Dispersion in Sylgard® 184 silicone and Young’s modulus. J. Mater. Sci. 2009, 44, 3476–3482. [Google Scholar] [CrossRef]
- Chen, L.; Liu, C.; Liu, K.; Meng, C.; Hu, C.; Wang, J.; Fan, S. High-performance, low-voltage, and easy-operable bending actuator based on aligned carbon nanotube/polymer composites. ACS Nano 2011, 5, 1588–1593. [Google Scholar] [CrossRef] [PubMed]
- Camenzind, A.; Schweizer, T.; Sztucki, M.; Pratsinis, S.E. Structure & strength of silica-PDMS nanocomposites. Polymer 2010, 51, 1796–1804. [Google Scholar]
- Suzuki, N.; Kiba, S.; Kamachi, Y.; Miyamoto, N.; Yamauchi, Y. Unusual reinforcement of silicone rubber compounds containing mesoporous silica particles as inorganic fillers. Phys. Chem. Chem. Phys. 2012, 14, 3400–3407. [Google Scholar] [CrossRef] [PubMed]
- Suzuki, N.; Kamachi, Y.; Takai, K.; Kiba, S.; Sakka, Y.; Miyamoto, N.; Yamauchi, Y. Effective use of mesoporous silica filler: Comparative study on thermal stability and transparency of silicone rubbers loaded with various kinds of silica particles. Eur. J. Inorg. Chem. 2014, 2014, 2773–2778. [Google Scholar] [CrossRef]
- Ozbas, B.; O’Neill, C.D.; Register, R.A. Multifunctional elastomer nanocomposites with functionalized graphene single sheets. J. Polym. Sci. B Polym. Phys. 2012, 50, 910–916. [Google Scholar] [CrossRef]
- Johnston, I.D.; McCluskey, D.K.; Tan, C.K.L.; Tracey, M.C. Mechanical characterization of bulk Sylgard 184 for microfluidics and microengineering. J. Micromech. Microeng. 2014, 24, 035017. [Google Scholar] [CrossRef]
- Liu, C.X.; Choi, J.W. Patterning conductive PDMS nanocomposite in an elastomer using microcontact printing. J. Micromech. Microeng. 2009, 19, 085019. [Google Scholar] [CrossRef]
- Kong, K.T.S.; Mariatti, M.; Rashid, A.A.; Busfield, J.J.C. Enhanced conductivity behavior of polydimethylsiloxane (PDMS) hybrid composites containing exfoliated graphite nanoplatelets and carbon nanotubes. Compos. Part B Eng. 2014, 58, 457–462. [Google Scholar] [CrossRef]
- Liu, J.; Xu, F.; Wang, S.; Chen, Z.; Pan, J.; Ma, X.; Jiao, X.; Xu, Z.; Liu, C.; Wang, L. A polydimethylsiloxane electrophoresis microchip with a thickness controllable insulating layer for capacitatively coupled contactless conductivity detection. Electrochem. Commun. 2012, 25, 147–150. [Google Scholar] [CrossRef]
- Lee, J.N.; Jiang, X.; Ryan, D.; Whitesides, G.M. Compatibility of mammalian cells on surfaces of poly(dimethylsiloxane). Langmuir 2004, 20, 11684–11691. [Google Scholar] [CrossRef] [PubMed]
- Duwe, S.; Arlt, C.; Aranda, S. A detailed thermal analysis of nanocomposites filled with SiO2, AlN or boehmite at varied contents and a review of selected rules of mixture. Compos. Sci. Technol. 2012, 72, 1324–1330. [Google Scholar] [CrossRef]
- Kaneko, M.L.Q.A.; Yoshida, I.V.P. Effect of natural and organically modified montmorillonite clays on the properties of polydimethylsiloxane rubber. J. Appl. Polym. Sci. 2008, 108, 2587–2596. [Google Scholar] [CrossRef]
- Horn, R.G.; Hirz, S.J.; Hadziioannou, G.; Frank, C.W.; Catala, J.M. A reevaluation of forces measured across thin polymer films: Nonequilibrium and pinning effects. J. Chem. Phys. 1989, 90, 6767–6774. [Google Scholar] [CrossRef]
- Suzuki, N.; Kiba, S.; Yamauchi, Y. Bimodal filler system consisting of mesoporous silica particles and silica nanoparticles toward efficient suppression of thermal expansion in silica/epoxy composites. J. Mater. Chem. 2011, 21, 14941–14947. [Google Scholar] [CrossRef]
- Shim, S.E.; Isayev, A.I. Rheology and structure of precipitated silica and poly(dimethyl siloxane) system. Rheol. Acta 2004, 43, 127–136. [Google Scholar] [CrossRef]
- Flory, P.J.; Rehner, J., Jr. Statistical mechanics of cross-linked polymer networks II. Swelling. J. Chem. Phys. 1943, 11, 521–526. [Google Scholar] [CrossRef]
- Novak, B.M. Hybrid nanocomposite materials-between inorganic glasses and organic polymers. Adv. Mater. 1993, 5, 422–433. [Google Scholar] [CrossRef]
© 2015 by the authors; licensee MDPI, Basel, Switzerland. This article is an open access article distributed under the terms and conditions of the Creative Commons Attribution license (http://creativecommons.org/licenses/by/4.0/).
Share and Cite
Liu, J.; Zong, G.; He, L.; Zhang, Y.; Liu, C.; Wang, L. Effects of Fumed and Mesoporous Silica Nanoparticles on the Properties of Sylgard 184 Polydimethylsiloxane. Micromachines 2015, 6, 855-864. https://doi.org/10.3390/mi6070855
Liu J, Zong G, He L, Zhang Y, Liu C, Wang L. Effects of Fumed and Mesoporous Silica Nanoparticles on the Properties of Sylgard 184 Polydimethylsiloxane. Micromachines. 2015; 6(7):855-864. https://doi.org/10.3390/mi6070855
Chicago/Turabian StyleLiu, Junshan, Guoge Zong, Licheng He, Yangyang Zhang, Chong Liu, and Liding Wang. 2015. "Effects of Fumed and Mesoporous Silica Nanoparticles on the Properties of Sylgard 184 Polydimethylsiloxane" Micromachines 6, no. 7: 855-864. https://doi.org/10.3390/mi6070855
APA StyleLiu, J., Zong, G., He, L., Zhang, Y., Liu, C., & Wang, L. (2015). Effects of Fumed and Mesoporous Silica Nanoparticles on the Properties of Sylgard 184 Polydimethylsiloxane. Micromachines, 6(7), 855-864. https://doi.org/10.3390/mi6070855
