Examination of the Catalytic Role of the Axial Cystine Ligand in the Co-Type Nitrile Hydratase from Pseudonocardia thermophila JCM 3095
Abstract
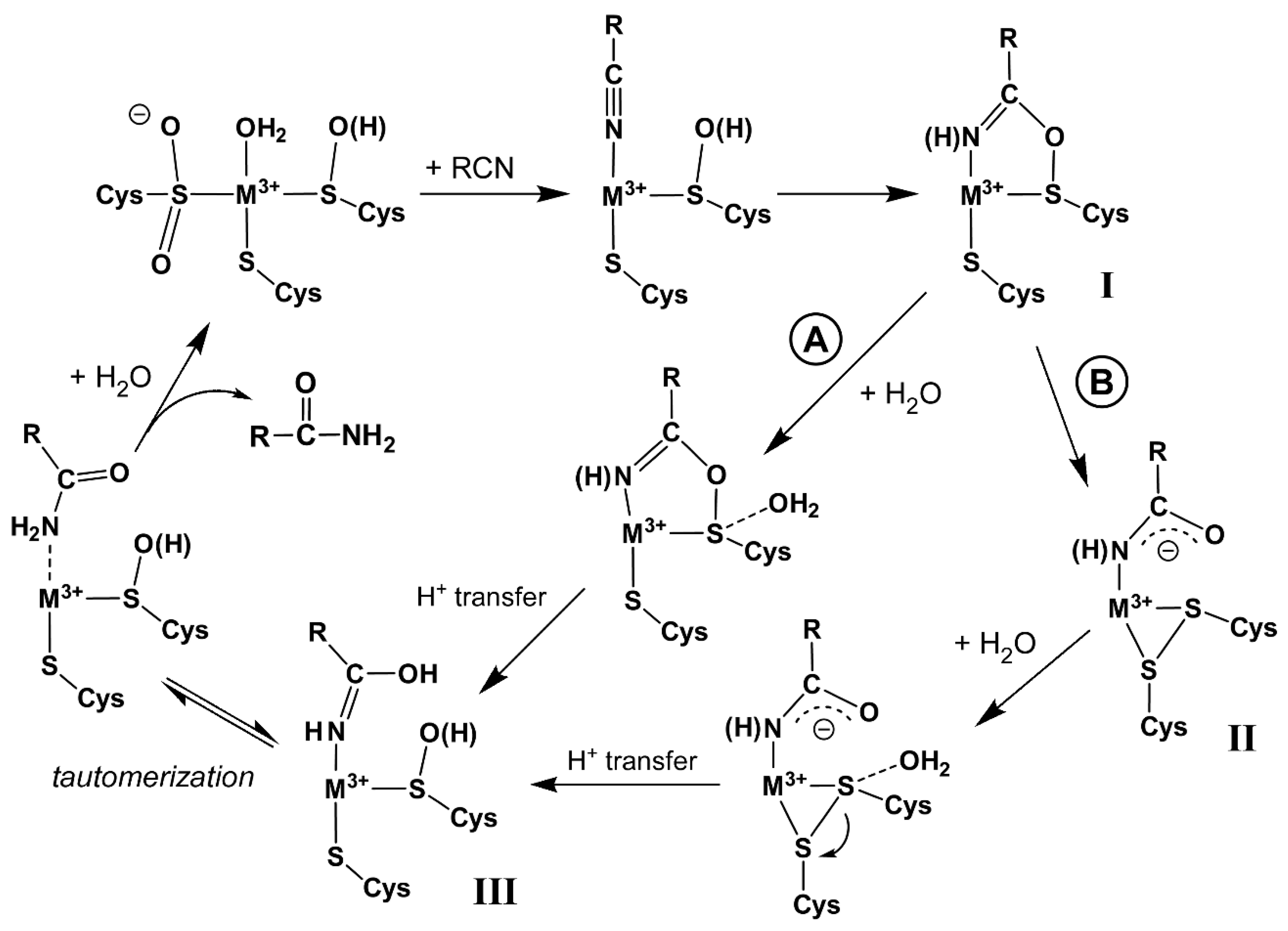
:1. Introduction
2. Results and Discussion
2.1. PtNHase αSer162Ala Mutant Enzyme: Purification and Kinetic Characterization
2.2. Metal Analysis and Spectral Characterization of αSerA and αSerB Forms of αSer162Ala Mutant Enzymes
2.3. Crystal Structure of αSerA (apo-αSer162Ala) PtNHase Mutant Enzyme
2.4. PtNHase αCys108Ser, αCys108Met, and αCys108His Mutant Enzymes: Purification and Kinetic Characterization
2.5. Metal Analysis and Spectrophotometric Characterization of αCys108Ser, αCys108Met, and αCys108His Mutant Enzymes
3. Material and Methods
3.1. Materials
3.2. Mutagenesis
- 5′GGAGATCAAGGTCTGGGACgccAGCTCCGAGATCC3′ PtNHase αS162A
- 5′CCACGTCGTCGTGatgACGCTCTGCTCCTGC 3′ PtNHase αC108M
- 5′CGTCGTCGTGcaCACGCTCTGCTCCTGC 3′ PtNHase αC108H
- 5′CCACGTCGTCGTGaGCACGCTCTGCTC-3′ PtNHase αC108S
3.3. Transformation, Growth, Harvesting, and Storage
3.4. Purification of WT/Mutant PtNHase
3.5. Steady-State Kinetic Assays
3.6. Metal Analysis and UV–Vis Spectroscopy
3.7. Crystallization and Data Collection of apo-PtNHase αSer162Ala
4. Conclusions
Supplementary Materials
Author Contributions
Funding
Conflicts of Interest
References
- Yamada, H.; Kobayashi, M. Nitrile hydratase and its application to industrial production of acrylamide. Biosci. Biotechnol. Biochem. 1996, 60, 1391–1400. [Google Scholar] [CrossRef]
- Brady, D.; Beeton, A.; Zeevaart, J.; Kgaje, C.; Rantwijk, F.; Sheldon, R.A. Characterisation of nitrilase and nitrile hydratase biocatalytic systems. Appl. Microbiol. Biotechnol. 2004, 64, 76–85. [Google Scholar] [CrossRef]
- Howden, A.J.; Preston, G.M. Nitrilase enzymes and their role in plant-microbe interactions. Microb. Biotechnol. 2009, 2, 441–451. [Google Scholar] [CrossRef] [Green Version]
- Mathew, C.; Nagasawa, T.; Kobayashi, M.; Yamada, H. Nitrilase catalyzed production of nicotinic acid from 3-cyanopyridine in Rhodococcus rhodochrous J1. Appl. Environ. Microbiol. 1988, 54, 1030–1032. [Google Scholar] [CrossRef] [PubMed] [Green Version]
- Mylerova, V.; Martinkova, L. Synthetic applications of nitrile-converting enzymes. Curr. Org. Chem. 2003, 7, 1279–1295. [Google Scholar] [CrossRef]
- Baxter, J.; Cummings, S.P. The current and future applications of microorganism in the bioremediation of cyanide contamination. Antonie Leeuwenhoek 2006, 90, 1–17. [Google Scholar] [CrossRef]
- Kovacs, J.A. Synthetic analogues of cysteinate-ligated non-heme iron and non-corrinoid cobalt enzymes. Chem. Rev. 2004, 104, 825–848. [Google Scholar] [CrossRef] [Green Version]
- Harrop, T.C.; Mascharak, P.K. Fe(III) and Co(III) centers with carboxamido nitrogen and modified sulfur coordination: Lessons learned from nitrile hydratase. Acc. Chem. Res. 2004, 37, 253–260. [Google Scholar] [CrossRef] [PubMed]
- Jin, H.; Turner, J.I.M.; Nelson, M.J.; Gurbiel, R.J.; Doan, P.E.; Hoffman, B.M. Coordination Sphere of the Ferric Ion in Nitrile Hydratase’. J. Am. Chem. Soc. 1993, 115, 5290–5291. [Google Scholar] [CrossRef]
- Nishiyama, M.; Horinouchi, S.; Kobayashi, M.; Nagasawa, T.; Yamada, H.; Beppu, T. Cloning and characterization of genes responsible for metabolism of nitrile compounds from Pseudomonas chlororaphis B23. J. Bacteriol. 1991, 173, 2465–2472. [Google Scholar] [CrossRef] [PubMed] [Green Version]
- Hashimoto, Y.N.M.; Horinouchi, S.; Beppu, T. Nitrile hydratase gene from Rhodococcus sp. N-774 requirement for its downstream region for efficient expression. Biosci. Biotechnol. Biochem. 1994, 58, 1859–1869. [Google Scholar] [CrossRef] [PubMed]
- Nojiri, M.; Yohda, M.; Odaka, M.; Matsushita, Y.; Tsujimura, M.; Yoshida, T.; Dohmae, N.; Takio, K.; Endo, I. Functional Expression of Nitrile Hydratase in Escherichia coli: Requirement of a Nitrile Hydratase Activator and Post-Translational Modification of a Ligand Cysteine. J. Biochem. 1999, 125, 696–704. [Google Scholar] [CrossRef]
- Tsujimura, M.; Odaka, M.; Nakayama, H.; Dohmae, N.; Koshino, H.; Asami, T.; Hoshino, M.; Takio, K.; Yoshida, S.; Maeda, M.; et al. A novel inhibitor for Fe-type nitrile hydratase: 2-cyano-2-propyl hydroperoxide. J. Am. Chem. Soc. 2003, 125, 11532–11538. [Google Scholar] [CrossRef] [PubMed]
- Light, K.M.; Yamanaka, Y.; Odaka, M.; Solomon, E.I. Spectroscopic and Computational Studies of Nitrile Hydratase: Insights into Geometric and Electronic Structure and the Mechanism of Amide Synthesis. Chem. Sci. (R. Soc. Chem. 2010) 2015, 6, 6280–6294. [Google Scholar] [CrossRef] [Green Version]
- Hopmann, K.H. Full Reaction Mechanism of Nitrile Hydratase: A Cyclic Intermediate and an Unexpected Disulfide Switch. Inorg. Chem. 2014, 53, 2760–2762. [Google Scholar] [CrossRef]
- Kayanuma, M.; Shoji, M.; Yohda, M.; Odaka, M.; Shigeta, Y. Catalytic Mechanism of Nitrile Hydratase Subsequent to Cyclic Intermediate Formation: A QM/MM Study. J. Phys. Chem. B 2016, 120, 3259–3266. [Google Scholar] [CrossRef]
- Miyanaga, A.; Fushinobu, S.; Ito, K.; Wakagi, T. Crystal structure of cobalt-containing nitrile hydratase. Biochem. Biophys. Res. Commun. 2001, 288, 1169–1174. [Google Scholar] [CrossRef] [PubMed]
- Miyanaga, A.; Fushinobu, S.; Ito, K.; Shoun, H.; Wakagi, T. Mutational and structural analysis of cobalt-containing nitrile hydratase on substrate and metal binding. Eur. J. Biochem. 2004, 271, 429–438. [Google Scholar] [CrossRef]
- Shearer, J.; Jackson, H.L.; Schweitzer, D.; Rittenberg, D.K.; Leavy, T.M.; Kaminsky, W.; Scarrow, R.C.; Kovacs, J.A. The first example of a nitrile hydratase model complex that reversibly binds nitriles. J. Am. Chem. Soc. 2002, 124, 11417–11428. [Google Scholar] [CrossRef] [PubMed] [Green Version]
- Shearer, J.; Kung, I.Y.; Lovell, S.; Kaminsky, W.; Kovacs, J.A. Why is there an “inert” metal center in the active site of nitrile hydratase? Reactivity and ligand dissociation from a five-coordinate Co(III) nitrile hydratase model. J. Am. Chem. Soc. 2001, 123, 463–468. [Google Scholar] [CrossRef]
- Arakawa, T.; Kawano, Y.; Katayama, Y.; Nakayama, H.; Dohmae, N.; Yohda, M.; Odaka, M. Structural Basis for Catalytic Activation of Thiocyanate Hydrolase Involving Metal-Ligated Cysteine Modification. J. Am. Chem. Soc. 2009, 131, 14838–14843. [Google Scholar] [CrossRef] [PubMed]
- Martinez, S.; Yang, X.H.; Bennett, B.; Holz, R.C. A cobalt-containing eukaryotic nitrile hydratase. BBA-Proteins Proteom 2017, 1865, 107–112. [Google Scholar] [CrossRef] [PubMed] [Green Version]
- Martinez, S.; Wu, R.; Sanishvili, R.; Liu, D.; Holz, R. The Active Site Sulfenic Acid Ligand in Nitrile Hydratases Can Function as a Nucleophile. J. Am. Chem. Soc. 2014, 136, 1186–1189. [Google Scholar] [CrossRef]
- Vetter, S.W.; Terentis, A.C.; Osborne, R.L.; Dawson, J.H.; Goodin, D.B. Replacement of the axial histidine heme ligand with cysteine in nitrophorin 1: Spectroscopic and crystallographic characterization. J. Bio. Inorg. Chem. 2009, 14, 179–191. [Google Scholar] [CrossRef] [Green Version]
- Lugo-Mas, P.; Dey, A.; Xu, L.; Davin, S.D.; Benedict, J.; Kaminsky, W.; Hodgson, K.O.; Hedman, B.; Solomon, E.I.; Kovacs, J.A. How does single oxygen atom addition affect the properties of an Fe-nitrile hydratase analogue? The compensatory role of the unmodified thiolate. J. Am. Chem. Soc. 2006, 128, 11211–11221. [Google Scholar] [CrossRef] [Green Version]
- Yamanaka, Y.; Hashimoto, K.; Ohtaki, A.; Noguchi, K.; Yohda, M.; Odaka, M. Kinetic and structural studies on roles of the serine ligand and a strictly conserved tyrosine residue in nitrile hydratase. J. Biol. Inorg. Chem. 2010, 15, 655–665. [Google Scholar] [CrossRef]
- Odaka, M.; Kohda, D.; Lax, I.; Schlessinger, J.; Inagaki, F. Ligand-binding enhances the affinity of dimerization of the extracellular domain of the epidermal growth factor receptor. J. Biochem. 1997, 122, 116–121. [Google Scholar] [CrossRef] [PubMed]
- Otwinowski, Z.; Minor, W. Processing of X-ray diffraction data collected in oscillation mode. Methods Enzymol. 1997, 276, 307–326. [Google Scholar]
- Murshudov, G.N.; Vagin, A.A.; Dodson, E.J. Refinement of macromolecular structures by the maximum-likelihood method. Acta Crystallogr. D Biol. Crystallogr. 1997, 53, 240–255. [Google Scholar] [CrossRef]
- Emsley, P.; Cowtan, K. Coot: Model-building tools for molecular graphics. Acta Crystallogr. D Biol. Crystallogr. 2004, 60, 2126–2132. [Google Scholar] [CrossRef] [Green Version]







| kcat (s−1) | Km (mM) | Co Content | |
|---|---|---|---|
| WT PtNHase | 1790 ± 50 | 3.0 ± 0.4 | 1.8 ± 0.3 |
| PtNHase αSerA | a ND | - | <0.1 ± 0.2 |
| PtNHase αSerB | 63.4 ± 3.2 | 35.0 ± 4.2 | 1.8 ± 0.3 |
| PtNHase αC108M | 14 ± 1 | 3.1 ± 0.5 | 0.8 ± 0.2 |
| PtNHase αC108S | 29 ± 3 | 1.8 ± 0.7 | 0.9 ± 0.2 |
| PtNHase αC108H | 120 ± 6 | 2.6 ± 0.6 | 1.0 ± 0.2 |
| PDB ID: 7SJZ | |
|---|---|
| Space group | P32 2 1 |
| Cell Dimensions | |
| α, β, γ (°) | 90.0, 90.0, 120.0 |
| a, b, c (Å) | 65.91, 65.91,186.23 |
| Resolution range (Å) | 48.66–1.85 (1.92–1.85) |
| Redundancy | 8.55 (6.84) |
| Completeness (%) | 98.3 (98.6) |
| Unique reflections | 40335 |
| Rmerge | 0.055 (0.098) |
| Average I/σ | 23.9 (12.5) |
| Refinement: | |
| Resolution range (Å) | 42.05–1.85 |
| Rwork | 0.164 (0.172) |
| Rfree | 0.211 (0.218) |
| Number of nonsolvent atoms | 3447 |
| Number of water molecules | 516 |
| Wilson B values (Å2) | 17.7 |
| Average B factor | 18.7 |
| Protein | 17.4 |
| Solvent | 28.5 |
| Ramachandran (%) | |
| Favored | 98.3 |
| Allowed | 1.7 |
| Disallowed | 0.0 |
| Outlier (%) | 0.0 |
| r m s bond deviations | |
| Bond length (Å) | 0.011 |
| Bond angle (°) | 1.642 |
| Crystal ID | Atom1 | Atom2 | Length (Å) |
|---|---|---|---|
| PtNHaseWT (PDB: 1IRE) | αCSY108(SG) | αCSD111(SG) | 3.28 |
| αCSO113(SG) | αCSD111(SG) | 3.16 | |
| αCSY108(SG) | αCSO113(SG) | 3.09 | |
| Apo-PtNHaseWT (PDB: 1UGQ) | αCYS108(SG) | αCYS111(SG) | 3.27 |
| αCYS113(SG) | αCYS111(SG) | 4.28 | |
| αCYS108(SG) | αCYS113(SG) | 2.03 | |
| PtNHase αSerA | αCYS108(SG) | αCSD111(SG)A | 3.68 |
| αCSO113(SG) | αCSD111(SG)A | 3.81 | |
| αCSO113(SG) | αCYS108(SG) | 3.61 | |
| αCYS108(SG) | αCSO113(SG)B | 3.89 | |
| αCYS108(SG) | αCSD111(SG)B | 5.05 |
Publisher’s Note: MDPI stays neutral with regard to jurisdictional claims in published maps and institutional affiliations. |
© 2021 by the authors. Licensee MDPI, Basel, Switzerland. This article is an open access article distributed under the terms and conditions of the Creative Commons Attribution (CC BY) license (https://creativecommons.org/licenses/by/4.0/).
Share and Cite
Ogutu, I.R.A.M.; St. Maurice, M.; Bennett, B.; Holz, R.C. Examination of the Catalytic Role of the Axial Cystine Ligand in the Co-Type Nitrile Hydratase from Pseudonocardia thermophila JCM 3095. Catalysts 2021, 11, 1381. https://doi.org/10.3390/catal11111381
Ogutu IRAM, St. Maurice M, Bennett B, Holz RC. Examination of the Catalytic Role of the Axial Cystine Ligand in the Co-Type Nitrile Hydratase from Pseudonocardia thermophila JCM 3095. Catalysts. 2021; 11(11):1381. https://doi.org/10.3390/catal11111381
Chicago/Turabian StyleOgutu, Irene R. A. M., Martin St. Maurice, Brian Bennett, and Richard C. Holz. 2021. "Examination of the Catalytic Role of the Axial Cystine Ligand in the Co-Type Nitrile Hydratase from Pseudonocardia thermophila JCM 3095" Catalysts 11, no. 11: 1381. https://doi.org/10.3390/catal11111381
APA StyleOgutu, I. R. A. M., St. Maurice, M., Bennett, B., & Holz, R. C. (2021). Examination of the Catalytic Role of the Axial Cystine Ligand in the Co-Type Nitrile Hydratase from Pseudonocardia thermophila JCM 3095. Catalysts, 11(11), 1381. https://doi.org/10.3390/catal11111381
