Dehydration of Xylose to Furfural over Imidazolium-Based Ionic Liquid with Phase Separation
Abstract
:1. Introduction
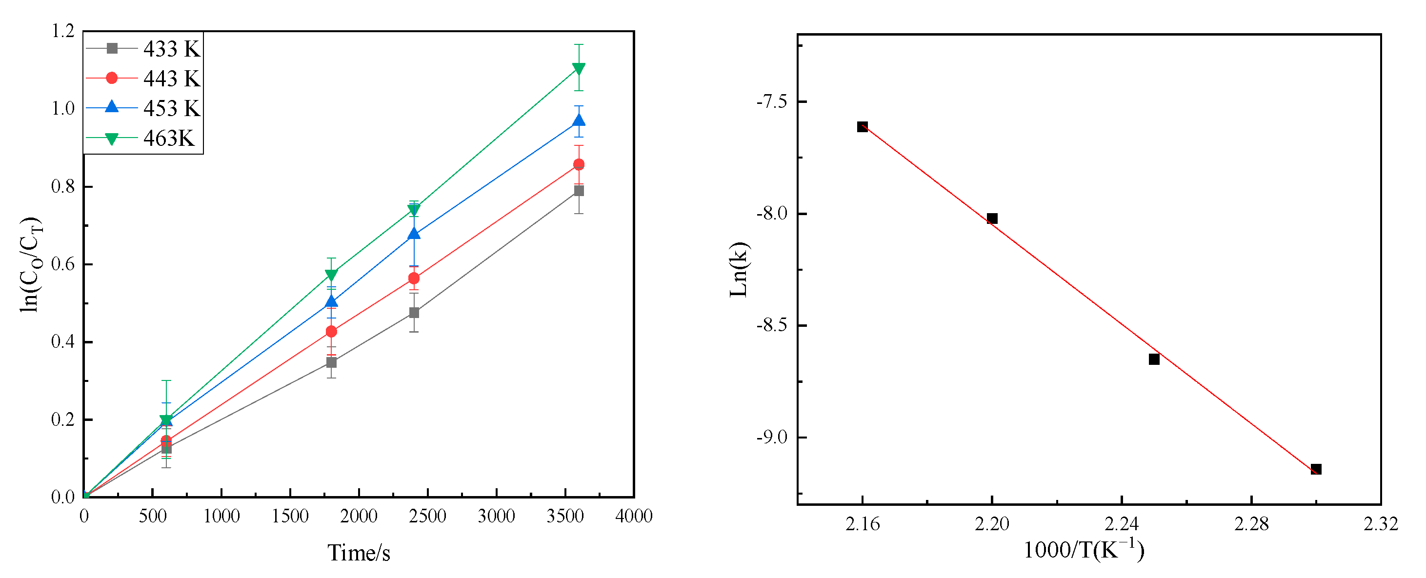
2. Results and Discussion
3. Materials and Methods
3.1. Materials
3.2. Instruments
3.3. Synthesis of Catalysts
3.4. Reactions
4. Conclusions
Author Contributions
Funding
Institutional Review Board Statement
Informed Consent Statement
Data Availability Statement
Conflicts of Interest
References
- Xiao, S.; Liu, B.; Wang, Y.; Fang, Z.; Zhang, Z. Efficient conversion of cellulose into biofuel precursor 5-hydroxymethylfurfural in dimethyl sulfoxide–ionic liquid mixtures. Bioresour. Technol. 2014, 151, 361–366. [Google Scholar] [CrossRef]
- O’Neill, R.E.; Vanoye, L.; De Bellefon, C.; Aiouache, F. Aldol-condensation of furfural by activated dolomite catalyst. Appl. Catal. B Environ. 2014, 144, 46–56. [Google Scholar] [CrossRef]
- Gómez Millán, G.; Hellsten, S.; Llorca, J.; Luque, R.; Sixta, H.; Balu, A.M. Recent Advances in the Catalytic Production of Platform Chemicals from Holocellulosic Biomass. ChemCatChem 2019, 11, 2022–2042. [Google Scholar] [CrossRef]
- Hua, D.; Li, P.; Wu, Y.; Chen, Y.; Yang, M.; Dang, J.; Xie, Q.; Liu, J.; Sun, X.-Y. Preparation of solid acid catalyst packing AAO/SBA-15-SO3H and application for dehydration of xylose to furfural. J. Ind. Eng. Chem. 2013, 19, 1395–1399. [Google Scholar] [CrossRef]
- Li, Q.; Hu, Y.; Tao, Y.-Y.; Zhang, P.-Q.; Ma, C.-L.; Zhou, Y.-J.; He, Y.-C. Improving Biocatalytic Synthesis of Furfuryl Alcohol by Effective Conversion of D-Xylose into Furfural with Tin-Loaded Sulfonated Carbon Nanotube in Cyclopentylmethyl Ether-Water Media. Catal. Lett. 2021, 151, 3189–3196. [Google Scholar] [CrossRef]
- De Lima, L.F.; Lima, J.L.M.; Jorqueira, D.S.S.; Landers, R.; Moya, S.F.; Suppino, R.S. Use of amorphous Nb2O5 and Nb2O5/Al2O3 as acid catalysts for the dehydration of xylose to furfural. React. Kinet. Mech. Catal. 2021, 132, 73–92. [Google Scholar] [CrossRef]
- Wang, R.; Liang, X.; Shen, F.; Qiu, M.; Yang, J.; Qi, X. Mechanochemical Synthesis of Sulfonated Palygorskite Solid Acid Catalysts for Selective Catalytic Conversion of Xylose to Furfural. ACS Sustain. Chem. Eng. 2020, 8, 1163–1170. [Google Scholar] [CrossRef]
- Mérida-Morales, S.; García-Sancho, C.; Oregui-Bengoechea, M.; Ginés-Molina, M.J.; Cecilia, J.A.; Arias, P.L.; Moreno-Tost, R.; Maireles-Torres, P. Influence of morphology of zirconium-doped mesoporous silicas on 5-hydroxymethylfurfural production from mono-, di- and polysaccharides. Catal. Today 2021, 367, 297–309. [Google Scholar] [CrossRef]
- Gómez Millán, G.; Bangalore Ashok, R.P.; Oinas, P.; Llorca, J.; Sixta, H. Furfural production from xylose and birch hydrolysate liquor in a biphasic system and techno-economic analysis. Biomass Convers. Biorefinery 2021, 11, 2095–2106. [Google Scholar] [CrossRef] [Green Version]
- Clough, M.T.; Geyer, K.; Hunt, P.A.; Son, S.; Vagt, U.; Welton, T. Ionic liquids: Not always innocent solvents forcellulose. Green Chem. 2015, 17, 231–243. [Google Scholar] [CrossRef] [Green Version]
- Kotadia, D.A.; Soni, S.S. Symmetrical and unsymmetrical Bronsted acidic ionic liquids for the effective conversion of fructose to 5-hydroxymethyl furfural. Catal. Sci. Technol. 2013, 3, 469–474. [Google Scholar] [CrossRef]
- Li, H.; Zhang, Q.; Liu, X.; Chang, F.; Hu, D.; Zhang, Y.; Xue, W.; Yang, S. InCl3-ionic liquid catalytic system for efficient and selective conversion of cellulose into 5-hydroxymethylfurfural. RSC Adv. 2013, 3, 3648–3654. [Google Scholar] [CrossRef]
- Zhang, L.; Yu, H.; Wang, P. Solid acids as catalysts for the conversion of d-xylose, xylan and lignocellulosics into furfural in ionic liquid. Bioresour. Technol. 2013, 136, 515–521. [Google Scholar] [CrossRef] [PubMed]
- Serrano-Ruiz, J.C.; Campelo, J.M.; Francavilla, M.; Romero, A.A.; Luque, R.; Menendez-Vazquez, C.; Garcia, A.B.; Garcia-Suarez, E.J. Efficient microwave-assisted production of furfural from C5 sugars in aqueous media catalysed by Bronsted acidic ionic liquids. Catal. Sci. Technol. 2012, 2, 1828–1832. [Google Scholar] [CrossRef]
- Qi, X.; Watanabe, M.; Aida, T.M.; Smith, R.L. Synergistic conversion of glucose into 5-hydroxymethylfurfural in ionic liquid-water mixtures. Bioresour. Technol. 2012, 109, 224–228. [Google Scholar] [CrossRef] [PubMed]
- Li, Y.; Liu, H.; Song, C.; Gu, X.; Li, H.; Zhu, W.; Yin, S.; Han, C. The dehydration of fructose to 5-hydroxymethylfurfural efficiently catalyzed by acidic ion-exchange resin in ionic liquid. Bioresour. Technol. 2013, 133, 347–353. [Google Scholar] [CrossRef]
- Zhou, L.; Liang, R.; Ma, Z.; Wu, T.; Wu, Y. Conversion of cellulose to HMF in ionic liquid catalyzed by bifunctional ionic liquids. Bioresour. Technol. 2013, 129, 450–455. [Google Scholar] [CrossRef]
- Shi, J.; Yang, Y.; Wang, N.; Song, Z.; Gao, H.; Xia, Y.; Li, W.; Wang, H. Catalytic conversion of fructose and sucrose to 5-hydroxymethylfurfural using simple ionic liquid/DMF binary reaction media. Catal. Commun. 2013, 42, 89–92. [Google Scholar] [CrossRef]
- Shi, J.; Gao, H.; Xia, Y.; Li, W.; Wang, H.; Zheng, C. Efficient process for the direct transformation of cellulose and carbohydrates to 5-(hydroxymenthyl)furfural with dual-core sulfonic acid ionic liquids and co-catalysts. RSC Adv. 2013, 3, 7782–7790. [Google Scholar] [CrossRef]
- Koukabi, N.; Kolvari, E.; Zolfigol, M.A.; Khazaei, A.; Shaghasemi, B.S.; Fasahati, B. A Magnetic Particle-Supported Sulfonic Acid Catalyst: Tuning Catalytic Activity between Homogeneous and Heterogeneous Catalysis. Adv. Synth. Catal. 2012, 354, 2001–2008. [Google Scholar] [CrossRef]
- Pawar, H.S. Sulfonic Acid Anchored Heterogeneous Acid-Catalyst DICAT-3 for Conversion of Xylose into Furfural in Biphasic Solvent System. ChemistrySelect 2020, 5, 916–923. [Google Scholar] [CrossRef]
- Rong, C.; Ding, X.; Zhu, Y.; Li, Y.; Wang, L.; Qu, Y.; Ma, X.; Wang, Z. Production of furfural from xylose at atmospheric pressure by dilute sulfuric acid and inorganic salts. Carbohydr. Res. 2012, 350, 77–80. [Google Scholar] [CrossRef] [PubMed]
- Cai, D.; Chen, H.; Zhang, C.; Teng, X.; Li, X.; Si, Z.; Li, G.; Yang, S.; Wang, G.; Qin, P. Carbonized core-shell diatomite for efficient catalytic furfural production from corn cob. J. Clean. Prod. 2021, 283, 125410. [Google Scholar] [CrossRef]
- Qi, Z.; Wang, Q.; Liang, C.; Yue, J.; Liu, S.; Ma, S.; Wang, X.; Wang, Z.; Li, Z.; Qi, W. Highly Efficient Conversion of Xylose to Furfural in a Water–MIBK System Catalyzed by Magnetic Carbon-Based Solid Acid. Ind. Eng. Chem. Res. 2020, 59, 17046–17056. [Google Scholar] [CrossRef]
- Weingarten, R.; Cho, J.; Conner, J.W.C.; Huber, G.W. Kinetics of furfural production by dehydration of xylose in a biphasic reactor with microwave heating. Green Chem. 2010, 12, 1423. [Google Scholar] [CrossRef] [Green Version]
- Kim, S.B.; Lee, M.R.; Park, E.D.; Lee, S.M.; Lee, H.; Park, K.H.; Park, M.-J. Kinetic study of the dehydration of d-xylose in high temperature water. React. Kinet. Mech. Catal. 2011, 103, 267–277. [Google Scholar] [CrossRef]
- Root, D.F.; Saeman, J.F.; Harris, J.F.; Neill, W.K. Kinetics of the acid-catalyzed conversion of xylose to furfural. For. Prod. J. 1959, 9, 158–165. [Google Scholar]







| T/K | K/(mol·L)·s−1 | E/kJ·mol | K0/(mol·L) s−1 |
|---|---|---|---|
| 433 | 1.09 × 10−4 | 92.4 | 1.52 × 106 |
| 443 | 1.75 × 10−4 | ||
| 453 | 2.75 × 10−4 | ||
| 463 | 5.00 × 10−4 |
| No. | Chemical Shift/δ | Identification for the Hydrogen Spectra | Peak Profile | Integral Area |
|---|---|---|---|---|
| 1 | 0.84–0.87 | -CH3 | T | 3.33 |
| 2 | 1.24 | (-CH2-)13 | M | 27.76 |
| 3 | 1.55–1.61 | -CH2- | M | 2.06 |
| 4 | 2.62 | -CH3 | S | 2.99 |
| 5 | 4.07–4.14 | H2C-N | M | 5.00 |
| 6 | 7.69 | HC= | S | 2.00 |
Publisher’s Note: MDPI stays neutral with regard to jurisdictional claims in published maps and institutional affiliations. |
© 2021 by the authors. Licensee MDPI, Basel, Switzerland. This article is an open access article distributed under the terms and conditions of the Creative Commons Attribution (CC BY) license (https://creativecommons.org/licenses/by/4.0/).
Share and Cite
Hua, D.; Ding, H.; Liu, Y.; Li, J.; Han, B. Dehydration of Xylose to Furfural over Imidazolium-Based Ionic Liquid with Phase Separation. Catalysts 2021, 11, 1552. https://doi.org/10.3390/catal11121552
Hua D, Ding H, Liu Y, Li J, Han B. Dehydration of Xylose to Furfural over Imidazolium-Based Ionic Liquid with Phase Separation. Catalysts. 2021; 11(12):1552. https://doi.org/10.3390/catal11121552
Chicago/Turabian StyleHua, Derun, Hao Ding, Yunfeng Liu, Jian Li, and Baojun Han. 2021. "Dehydration of Xylose to Furfural over Imidazolium-Based Ionic Liquid with Phase Separation" Catalysts 11, no. 12: 1552. https://doi.org/10.3390/catal11121552
APA StyleHua, D., Ding, H., Liu, Y., Li, J., & Han, B. (2021). Dehydration of Xylose to Furfural over Imidazolium-Based Ionic Liquid with Phase Separation. Catalysts, 11(12), 1552. https://doi.org/10.3390/catal11121552
