Next Article in Journal
Progression in Photocatalytic Materials for Efficient Performance
Next Article in Special Issue
Amide-Type Substrates in the Synthesis of N-Protected 1-Aminomethylphosphonium Salts
Previous Article in Journal
Catalytic Carbonylation Reactions
Previous Article in Special Issue
Direct Amide Synthesis over Composite Magnetic Catalysts in a Continuous Flow Reactor
 
 
Font Type:
Arial Georgia Verdana
Font Size:
Aa Aa Aa
Line Spacing:
Column Width:
Background:
Review

Enantioselective Catalytic C-H Amidations: An Highlight

by
Eleonora Tosi
,
Renata Marcia de Figueiredo
* and
Jean-Marc Campagne
*
ICGM, Univ Montpellier, CNRS, ENSCM, Montpellier, France
*
Authors to whom correspondence should be addressed.
Catalysts 2021, 11(4), 471; https://doi.org/10.3390/catal11040471
Submission received: 15 March 2021 / Revised: 30 March 2021 / Accepted: 2 April 2021 / Published: 6 April 2021
(This article belongs to the Special Issue Catalytic Approaches for Amide Synthesis)

Abstract

The crucial role played by compounds bearing amide functions, not only in biological processes but also in several fields of chemistry, life polymers and material sciences, has brought about many significant discoveries and innovative approaches for their chemical synthesis. Indeed, a plethora of strategies has been developed to reach such moieties. Amides within chiral molecules are often associated with biological activity especially in life sciences and medicinal chemistry. In most of these cases, their synthesis requires extensive rethinking methodologies. In the very last years (2019–2020), enantioselective C-H functionalization has appeared as a straightforward alternative to reach chiral amides. Therein, an overview on these transformations within this timeframe is going to be given.

Graphical Abstract

1. Introduction

Amides are ubiquitous and one of the most important functional groups in organic, medicinal, coordination and natural products chemistries, and in the fields of polymers, material and life sciences [1,2]. If several efforts have been devoted to finding new practical synthetic methods to allow their preparation through less conventional ways (i.e., avoiding amine-carboxylic acid couplings with activating agents) [3,4], the development of more “direct” strategies is still underdeveloped. Within this context, and following the development of C-H functionalization strategies, C-H amidation reactions have only recently emerged as valuable approaches for the construction of amide functions (Scheme 1). These methodologies have been successfully used for both C(sp2)- and C(sp3)-H activations and blossoming synthetic applications have appeared in the last few years.
The reasons for such tremendous developments rely on the following several key points:
A major breakthrough in C-H amidation reactions was the introduction by Chang in 2015 of dioxazolones 1 as acylnitrene precursors [5]. Dioxazolones are thermally stable and are easily obtained from the corresponding hydroxamic acid under green, mild and scalable conditions (Scheme 2) [6,7]. The acylnitrene transfer usually occurs under mild conditions, at room temperature or 40 °C, in the absence of any stoichiometric external oxidant [8,9]. By the way, to the best of our knowledge, all the enantioselective C-H amidations reported to date involve the use of dioxazolone as acylnitrene precursors.
If C-H amidation reactions were initially carried out in the presence of noble and expensive metals (Rh and Ir), the use of abundant, less toxic and cheap first row metal cobalt has been also developed [10]. Very recently, the use of (Phthalocyanine)FeIIICl under aerobic conditions was also described in intramolecular C(sp3)-H amidations with remarkable high turnovers [11]. A simplified mechanistic manifold for C(sp2)-H amidation is illustrated in Figure 1, but significant differences exist depending on the metal used [7,11,12].
In C(sp2)-H directed functionalizations, C-H amidations constitute interesting alternatives to Buchwald-Hartwig, Ullmann or Chan-Lam strategies particularly within the context of medicinal chemistry in which amide bonds associated with N-heterocyclic platforms are prevalent in drug candidates [13,14]. As a matter of illustration, Scheme 3 highlights a non-exhaustive collection of C-H amidation products described in the last two years [15,16,17,18,19,20,21,22,23,24].
The potential of C(sp2)-H functionalizations has been brilliantly illustrated by Ellman and Miller in the structural diversification of thiostrepton, a potent antibiotic peptide leading to analogs with maintained biological activities while increasing aqueous solubility (up to 28-fold) (Scheme 4) [25]. Thiostrepton presents three dehydroalanine (Dha) residues. A regioselective Co(III)-catalyzed C(sp2)-H amidation of a single Dha moiety provided an elegant entry to novel analogs with increased physicochemical properties. Undoubtedly, this work opens the door to future achievements on late-stage functionalization of other natural products.
Besides, intramolecular C(sp3)-H functionalizations, branch-selective allylic C-H amidation of terminal double bonds have been described [26,27,28,29]. Based on stoichiometric studies with TsNH2 and the isolation of an allyl-Ir(III) complex, an inner sphere nitrenoid insertion of an η3-allyl irididium intermediate is advocated in these reactions (Scheme 5) [26].
Thus, these notable pivotal achievements have set the stage to future advances on the field of C-H amidation reactions. Indeed, a new benchmark has now been achieved with the development of enantioselective C-H amidation reactions in both C(sp3)-H and C(sp2)-H functionalizations with the publication of about ten papers in the 2019–2020 period. This review intends to give to readers an overview of very recent (last two years) applications of enantioselective C-H functionalization for amidation reactions. Enantioselective aminocarbonylation, carbamoylation, sulfonamidation and hydroamidation strategies are beyond the scope of this review and will not be covered herein [7,30,31,32,33,34,35,36,37,38,39,40,41,42,43,44,45,46,47,48]. It is the authors’ intention to highlight the potential of such findings and inspire readers to explore them towards novel achievements in the field of enantioselective catalytic amidation reactions.

2. Enantioselective C(sp3)-H Amidations

Early 2019, Matsunaga and Yoshino have described the first example of an intermolecular C(sp3)-H enantioselective amidation of thioamides [49,50]. In the presence of an achiral Co(III) catalyst, and a bulky chiral carboxylic acid derived from tert-Leucine, β-amino thiocarbonyl derivatives bearing an α-quaternary center were obtained in high enantioselectivities (Scheme 6).
The enantio-discrimination step is an enantioselective concerted metalation deprotonation (CMD) step with the bulky chiral carboxylic acid (Scheme 7). Based on previously published DFT studies on an achiral version of the reaction [51] and mechanistic studies (H/D exchange), an irreversible C-H enantioselective deprotonation to give cyclo-cobalt complex B is advocated in these enantioselective C(sp3)-H amidations.
Quasi simultaneously [52], Chang described the Ir-catalyzed enantioselective intramolecular benzylic C-H amidation allowing the formation of γ-lactams in high yields and enantioselectivities [53,54]. The chiral diamine ligands employed in these transformations are commercially available, easily affording the Ir-based chiral catalysts. The reaction is very general being well suited with a broad range of substrates bearing prochiral Csp3-H bonds. High yields and very good selectivities were reached with substituted benzylic and aliphatic C-H bonds. Allylic and propargylic C-H bonds are also compatible albeit lower yields and selectivities are generally observed, alike when ortho substituted phenyl moieties were used (Scheme 8).
Beyond prochiral substrates, achiral substrates bearing a chirotopic carbon have also been used in desymmetrization intramolecular C-H amidations. Within this context, four compounds bearing two new and contiguous stereogenic centers were synthesized in high yields, dia- and enantioselectivities (two of them bearing a quaternary center) (Scheme 9).
Mechanistically, two points deserve comments. The first one is about the need of N,N′-bidentate ligands to suppress the formation of isocyanate byproduct [55]. DFT calculations have also highlighted the crucial role of an intramolecular hydrogen bond in the enantiodiscrimination step (Scheme 10).
Chang, He and Chen next described the use of bulky N,N-bidentate aminoquinoline (AQ) α-amino-acid-based chiral ligands 2 leading to the δ-lactams at 20 °C in a HFIP/H2O mixture. (Scheme 11) [56]. With chiral ligand 2b, exceptional levels of selectivities have been observed with a wide range of substrates (benzylic, allylic, propargylic, alkyl, etc.). As illustrated in Scheme 11, the presence of the phthalimido-group (Phth) is crucial to ascertain high enantioselectivities. DFT studies have established that the Cp*, AQ and Phth groups are forming a pretty well defined hydrophobic chiral pocket fostering transition state organization in the aqueous polar solvent. Interestingly, the ligand 2b was obtained through a γ-C-H arylation from the corresponding tert-Leucine parent residue 2a.
Shortly after the publication of the seminal Chang’s paper, Yu and coworkers disclosed a related Ru-catalyzed intramolecular C-H amidation reaction in the presence of common chiral Noyori’s dpen (diphenylethylene diamine) ligands bearing electron-withdrawing aromatic groups [57]. As illustrated in Scheme 12, a collection of benzylic, allylic, propargylic and aliphatic C-H amidation products were obtained in moderate to high enantioselectivities.
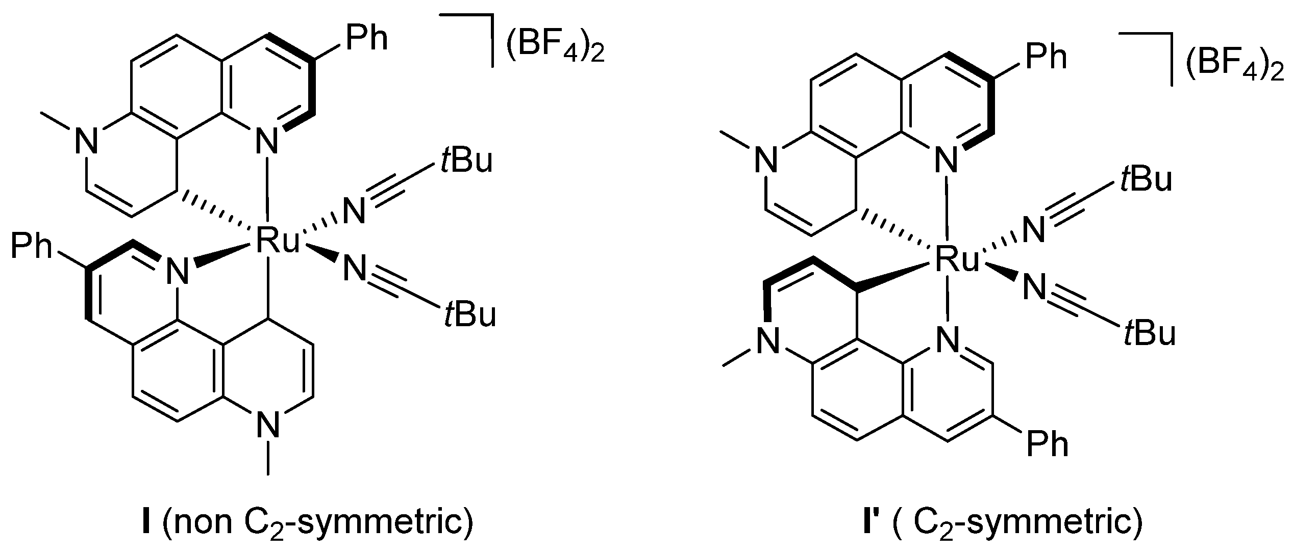
Finally, Meggers described the same type of Ru-catalyzed enantioselective intramolecular C-H amidations (Scheme 13). In this case, no chiral ligand or chiral carboxylic acid was employed to induce chirality but a chiral-at-metal ruthenium complex (for its structure, see Figure 2). Using non-C2-symmetric ruthenium catalyst I bearing remote NHC ligands, γ-lactams could be obtained in good yields and enantioselectivities at very low catalyst loading (0.1 mol%) [58,59].
Interestingly, with the corresponding C2-symmetric diastereomer catalyst I’, a Curtius rearrangement occurs to give the corresponding undesired isocyanate as the major product (Figure 2). DFT studies conducted to understand such a striking different behavior have highlighted that both high strong electron-donating NHC ligand and the non-C2-symmetric structure of the catalyst account for the formation of an electron-rich nitrenoid-Ru intermediate, essential in the C-H amidation process.
Following their work on intermolecular C(sp3)-H enantioselective amidation of thioamides (vide supra), Matsunaga and Yoshino next described intermolecular C-H amidations via the differentiation of enantiotopic benzylic methylene C(sp3)-H bonds [60]. In this reaction, an achiral Cp*Rh(III) associated with a binaphtyl-based chiral carboxylic acid proved to be the best catalytic system to promote these intermolecular enantioselective C-H amidation reactions (Scheme 14). As previously observed and based on H/D exchange experiments, a carboxylate-assisted C-H activation is postulated to account for the observed enantioselectivities (see also Scheme 7).
Enantioselective C(sp3)-H amidations have been recently implemented by Blakey who described Rh-catalyzed regio- and enantioselective intermolecular allylic C-H amidation reactions (Scheme 15) [61]. The methodology proposed was based on the development and use of an original indenyl chiral rhodium ligand in charge of good regio- and enantioselectivities. Contrary to Cp/Cp* ligands that mainly acts through steric factors, the planar chiral indenyl ligand is believed to induce electronic asymmetry in the catalyst, playing on the ability of the indenyl ligand to open-up a different metal coordination by switching from η5- to η3-coordination [62]. The reaction displayed a quite broad scope concerning both dioxazolone and olefin substrates. DFT studies and the isolation of key intermediates have unveiled some key mechanistic details: (i) the reaction operates via the formation of a π-allyl complex and not through the direct C-H insertion of a Rh-nitrenoid species, (ii) the formation of the π-allyl rhodium complex is the rate- and enantio-determining step whereas (iii) the reductive C-N coupling from the nitrenoid rhodium intermediate appears to be the regio-determining step.

3. Enantioselective C(sp2)-H Amidations

As aforementioned, C(sp2)-H amidation reaction can act as an alternative to cross-coupling reactions for the formation of biologically valuable C(sp2)-N bonds. However, if it can be a more direct alternative, it might be taken into consideration the need for a suitable directing group (DG) to achieve high regioselectivities [63]. Initially developed to control planar chirality, enantioselective C(sp2)-H amidations were next extended to the desymmetrization of a chirotopic achiral sulfoxide.
Shi and coworkers have described thioamide and amide directed enantioselective amidation of ferrocene derivatives [64,65]. As previously described (vide infra), introduction of chirality relies on the use of a chiral carboxylic acid, derived from a N-protected amino-acid, in the presence of an achiral source of Cp*Co(III) or Cp*Ir(III) salts. The Co(III)-catalyzed C-H amidation of thioamides was first described with however moderate enantioselectivities (up to 77.5:22.5 er) (Scheme 16).
The Ir-catalyzed amide-directed enantioselective C-H amidation was next described by the same authors. The reaction was performed under mild conditions (0 °C) and the scope was widely illustrated with the synthesis of more than 25 ferrocene carboxamides [65]. The use of a bulky carboxylic acid, derived from tert-leucine amino-acid and obtained through γ-C(sp3)-H arylation, was the key to achieve high enantioselectivities (Scheme 17). Interestingly, in the presence of Rh or Co catalysts no reaction was observed revealing the unique reactivity of the Ir catalyst in these reactions.
Beyond the control of planar chirality, He and coworkers have also described an elegant enantioselective synthesis of chiral sulfoxides through the desymetrization of an enantiotopic sulfoxide group [66,67]. In this transformation, the achiral starting sulfoxide plays the role of the directing group. Remarkable levels of enantioselectivity have been obtained using an achiral [Cp*tBuIrCl2]2 associated with a quaternary-proline derived carboxylic acid (Scheme 18). The reaction is quite general as a broad range of functionalized sulfoxide derivatives was obtained. In addition, the amide function could be further transformed into other potential sulfoxide chiral ligands.
Interestingly, starting from non-symmetric substrates bearing two differently substituted aromatic groups, amidation can take place at both aromatic rings by means of a parallel kinetic resolution (PKR) (Scheme 19). In this case, the starting material is racemic and both enantiomers enable the formation of a different enantiomeric enriched isomer. Based on kinetic isotope effect (KIE, KH/KD = 6.4) and DFT studies, the C-H bond cleavage appears to be the rate- and enantio-determinating step through a concerted metalation-deprotonation mechanism.

4. Conclusions

In just two years (2019–2020), enantioselective C-H amidation reactions have known tremendous developments with a large number of reactions involving both C(sp3)-H (with allylic, benzylic, propargylic and aliphatic C-H amidations) and C(sp2)-H (planar chirality control and desymmetrization of enantiotopic directing functional groups) functionalizations. Moreover, these reactions have been associated with a large range of metals (Co, Ru, Ir and Rh) and source of chirality (from classical chiral ligands or chiral carboxylic acids to chiral-at-metal complexes). Capitalizing on these seminal and remarkable achievements, challenges to be addressed now could be the development of enantioselective iron-catalyzed reactions [11], the development of reusable chiral catalysts [68], or the development of enantioselective C-H amidation in tandem processes [69]. To date, only dioxazolones have been reported as efficient substrates on these enantioselective transformations. Accordingly, alternative stable acylnitrene precursors warrant investigation. Another point that also deserves to be taken into consideration concerns the possibility to achieve C(sp2)-H amidation reactions bypassing the need for directing groups [21]. Indeed, the omnipresence of compounds associating both the amide function and aromatic/(hetero)aromatic groups in the field of medicinal chemistry instigate the search for alternative strategies, which might be more practical, atom economic and environmentally safe. C-H functionalization is undeniably one of the most powerful transformations that organic chemists own to selectively modify highly functionalized molecules to give ones that are even more complex. One can believe that, with the exponential growing of enantioselective C-H amidations, outstanding discoveries are going to be soon reported offering novel and valuable alternative tools within this field.

Author Contributions

Conceptualization, resources, writing—original draft preparation and writing—review and editing (E.T., R.M.d.F. and J.-M.C.). All authors have read and agreed to the submitted version of the manuscript.

Funding

This research was funded by ANR—Agence Nationale de la Recherche, project NOPS (ANR-18-CE07-0038-01).

Acknowledgments

The authors are grateful to the ANR for the financial support, and also to the ENSCM (Ecole Nationale Supérieure de Chimie de Montpellier) and to the CNRS (Centre National de la Recherche Scientifique).

Conflicts of Interest

The authors declare no conflict of interest.

References and Notes

  1. Greenberg, A.; Breneman, C.M.; Liebman, J.F. The Amide Linkage: Structural Significance in Chemistry, Biochemistry, and Materials Science; Wiley-Interscience: New York, NY, USA, 2000. [Google Scholar]
  2. Rajput, P.; Sharma, A. Synthesis and Biological Importance of Amide Analogues. J. Pharmacol. Med. Chem. 2018, 2, 22–31. [Google Scholar]
  3. de Figueiredo, R.M.; Suppo, J.-S.; Campagne, J.-M. Nonclassical Routes for Amide Bond Formation. Chem. Rev. 2016, 116, 12029–12122. [Google Scholar] [CrossRef]
  4. Ojeda-Porras, A.; Gamba-Sánchez, D. Recent Developments in Amide Synthesis Using Nonactivated Starting Materials. J. Org. Chem. 2016, 81, 11548–11555. [Google Scholar] [CrossRef] [PubMed]
  5. Park, Y.; Park, K.T.; Kim, J.G.; Chang, S. Mechanistic Studies on the Rh(III)-Mediated Amido Transfer Process Leading to Robust C-H Amination with a New Type of Amidating Reagent. J. Am. Chem. Soc. 2015, 137, 4534–4542. [Google Scholar] [CrossRef]
  6. Park, Y.; Jee, S.; Kim, J.G.; Chang, S. Study of Sustainability and Scalability in the Cp*Rh(III)-Catalyzed Direct C-H Amidation with 1,4,2-Dioxazol-5-Ones. Org. Process Res. Dev. 2015, 19, 1024–1029. [Google Scholar] [CrossRef]
  7. For a recent focus on dioxazolones, see: Van Vliet, K.M.; De Bruin, B. Dioxazolones: Stable Substrates for the Catalytic Transfer of Acyl Nitrenes. ACS Catal. 2020, 10, 4751–4769. [Google Scholar] [CrossRef]
  8. For an early example of C-H amidation using stoechiometric [O]: Tsang, W.C.P.; Zheng, N.; Buchwald, S.L. Combined C-H Functionalization/C-N Bond Formation Route to Carbazoles. J. Am. Chem. Soc. 2005, 127, 14560–14561. [Google Scholar] [CrossRef] [PubMed]
  9. For an early example of C-H amidation using stoechiometric [O]: Mei, T.S.; Wang, X.; Yu, J.Q. Pd(II)-Catalyzed Amination of C-H Bonds Using Single-Electron or Two-Electron Oxidants. J. Am. Chem. Soc. 2009, 131, 10806–10807. [Google Scholar] [CrossRef] [PubMed]
  10. Park, J.; Chang, S. Comparative Catalytic Activity of Group 9 [CpMIII] Complexes: Cobalt-Catalyzed C-H Amidation of Arenes with Dioxazolones as Amidating Reagents. Angew. Chem. Int. Ed. 2015, 54, 14103–14107. [Google Scholar] [CrossRef] [PubMed]
  11. Kweon, J.; Chang, S. Highly Robust Iron Catalyst System for Intramolecular C(sp3)−H Amidation Leading to γ-Lactams. Angew. Chem. Int. Ed. 2021, 60, 2909–2914. [Google Scholar] [CrossRef]
  12. Park, S.H.; Kwak, J.; Shin, K.; Ryu, J.; Park, Y.; Chang, S. Amination Reaction Using Azides as the Nitrogen Source. J. Am. Chem. Soc. 2014, 136, 2492–2502. [Google Scholar] [CrossRef]
  13. Carey, J.S.; Laffan, D.; Thomson, C.; Williams, M.T. Analysis of the Reactions Used for the Preparation of Drug Candidate Molecules. Org. Biomol. Chem. 2006, 4, 2337–2347. [Google Scholar] [CrossRef]
  14. Roughley, S.D.; Jordan, A.M. The Medicinal Chemist’s Toolbox: An Analysis of Reactions Used in the Pursuit of Drug Candidates. J. Med. Chem. 2011, 54, 3451–3479. [Google Scholar] [CrossRef]
  15. Jeoung, D.; Kim, K.; Han, S.H.; Ghosh, P.; Lee, S.H.; Kim, S.; An, W.; Kim, H.S.; Mishra, N.K.; Kim, I.S. Phthalazinone-Assisted C–H Amidation Using Dioxazolones Under Rh(III) Catalysis. J. Org. Chem. 2020, 85, 7014–7023. [Google Scholar] [CrossRef] [PubMed]
  16. Ghosh, P.; Samanta, S.; Hajra, A. Rhodium(III)-Catalyzed Ortho-C–H Amidation of 2-Arylindazoles with a Dioxazolone as an Amidating Reagent. Org. Biomol. Chem. 2020, 18, 1728–1732. [Google Scholar] [CrossRef] [PubMed]
  17. Tang, S.-B.; Fu, X.-P.; Wu, G.-R.; Zhang, L.-L.; Deng, K.-Z.; Yang, J.-Y.; Xia, C.-C.; Ji, Y.-F. Rhodium(III)-Catalyzed C4-Amidation of Indole-Oximes with Dioxazolones via C–H Activation. Org. Biomol. Chem. 2020, 18, 7922–7931. [Google Scholar] [CrossRef] [PubMed]
  18. Tian, X.; Li, X.; Duan, S.; Du, Y.; Liu, T.; Fang, Y.; Chen, W.; Zhang, H.; Li, M.; Yang, X. Room Temperature Benzofused Lactam Synthesis Enabled by Cobalt(III)-Catalyzed C(sp2)−H Amidation. Adv. Synth. Catal. 2021, 363, 1050–1058. [Google Scholar] [CrossRef]
  19. Khake, S.M.; Chatani, N. The Direct Rh(III)-Catalyzed C–H Amidation of Aniline Derivatives Using a Pyrimidine Directing Group: The Selective Solvent Controlled Synthesis of 1,2-Diaminobenzenes and Benzimidazoles. Org. Lett. 2020, 22, 3655–3660. [Google Scholar] [CrossRef] [PubMed]
  20. Dhiman, A.K.; Thakur, A.; Kumar, I.; Kumar, R.; Sharma, U. Co(III)-Catalyzed C–H Amidation of Nitrogen-Containing Heterocycles with Dioxazolones under Mild Conditions. J. Org. Chem. 2020, 85, 9244–9254. [Google Scholar] [CrossRef]
  21. Zhang, J.; Xie, H.; Zhu, H.; Zhang, S.; Lonka, M.R.; Zou, H. Chameleon-like Behavior of the Directing Group in the Rh(III)-Catalyzed Regioselective C–H Amidation of Indole: An Experimental and Computational Study. ACS Catal. 2019, 9, 10233–10244. [Google Scholar] [CrossRef]
  22. Wang, W.; Wu, J.; Kuniyil, R.; Kopp, A.; Nascimento Lima, R.; Ackermann, L. Peptide Late-Stage Diversifications by Rhodium-Catalyzed Tryptophan C7 Amidation. Chem 2020, 6, 3428–3439. [Google Scholar] [CrossRef]
  23. Huang, J.; Ding, J.; Ding, T.-M.; Zhang, S.; Wang, Y.; Sha, F.; Zhang, F.-Y.; Wu, X.-Y.; Li, Q. Cobalt-Catalyzed Ortho-C(sp2)–H Amidation of Benzaldehydes with Dioxazolones Using Transient Directing Groups. Org. Lett. 2019, 21, 7342–7345. [Google Scholar] [CrossRef]
  24. Kim, S.; Jeoung, D.; Kim, K.; Lee, S.B.; Lee, S.H.; Park, M.S.; Ghosh, P.; Mishra, N.K.; Hong, S.; Kim, I.S. Site-Selective C–H Amidation of 2-Aryl Quinazolinones Using Nitrene Surrogates. Eur. J. Org. Chem. 2020, 7134–7143. [Google Scholar] [CrossRef]
  25. Scamp, R.J.; deRamon, E.; Paulson, E.K.; Miller, S.J.; Ellman, J.A. Cobalt(III)-Catalyzed C−H Amidation of Dehydroalanine for the Site-Selective Structural Diversification of Thiostrepton. Angew. Chem. Int. Ed. 2020, 59, 890–895. [Google Scholar] [CrossRef] [PubMed]
  26. Lei, H.; Rovis, T. Ir-Catalyzed Intermolecular Branch-Selective Allylic C-H Amidation of Unactivated Terminal Olefins. J. Am. Chem. Soc. 2019, 141, 2268–2273. [Google Scholar] [CrossRef] [PubMed]
  27. Knecht, T.; Mondal, S.; Ye, J.; Das, M.; Glorius, F. Intermolecular, Branch-Selective, and Redox-Neutral Cp*Ir III -Catalyzed Allylic C−H Amidation. Angew. Chem. Int. Ed. 2019, 58, 7117–7121. [Google Scholar] [CrossRef] [PubMed]
  28. Burman, J.S.; Harris, R.J.; Farr, C.M.B.; Bacsa, J.; Blakey, S.B. Rh(III) and Ir(III)Cp∗ Complexes Provide Complementary Regioselectivity Profiles in Intermolecular Allylic C-H Amidation Reactions. ACS Catal. 2019, 9, 5474–5479. [Google Scholar] [CrossRef]
  29. For a recent catalytic metal-free allylic C−H sulfonamidation strategy, see: Teh, W.P.; Obenschain, D.C.; Black, B.M.; Michael, F.E. Catalytic Metal-Free Allylic C−H Amination of Terpenoids. J. Am. Chem. Soc. 2020, 142, 16716–16722. [Google Scholar] [CrossRef] [PubMed]
  30. Woźniak, Ł.; Tan, J.F.; Nguyen, Q.H.; Madron Du Vigné, A.; Smal, V.; Cao, Y.X.; Cramer, N. Catalytic Enantioselective Functionalizations of C-H Bonds by Chiral Iridium Complexes. Chem. Rev. 2020, 120, 10516–10543. [Google Scholar] [CrossRef]
  31. Fanourakis, A.; Docherty, P.J.; Chuentragool, P.; Phipps, R.J. Recent Developments in Enantioselective Transition Metal Catalysis Featuring Attractive Noncovalent Interactions between Ligand and Substrate. ACS Catal. 2020, 10, 10672–10714. [Google Scholar] [CrossRef]
  32. Yoshino, T.; Satake, S.; Matsunaga, S. Diverse Approaches for Enantioselective C−H Functionalization Reactions Using Group 9 CpxMIII Catalysts. Chem. Eur. J. 2020, 26, 7346–7357. [Google Scholar] [CrossRef] [PubMed]
  33. Li, Y.L.; Gu, Z.Y.; Xia, J.B. Transition-Metal-Catalyzed Intermolecular C-H Carbonylation toward Amides. Synlett 2021, 32, 7–13. [Google Scholar]
  34. Yang, Y.; Arnold, F.H. Navigating the Unnatural Reaction Space: Directed Evolution of Heme Proteins for Selective Carbene and Nitrene Transfer. Acc. Chem. Res. 2021, 54, 1209–1225. [Google Scholar] [CrossRef] [PubMed]
  35. Liu, W.; Bang, J.; Zhang, Y.; Ackermann, L. Manganese(I)-Catalyzed C-H Aminocarbonylation of Heteroarenes. Angew. Chem. Int. Ed. 2015, 54, 14137–14140. [Google Scholar] [CrossRef] [PubMed]
  36. Yuan, S.W.; Han, H.; Li, Y.L.; Wu, X.; Bao, X.; Gu, Z.Y.; Xia, J.B. Intermolecular C−H Amidation of (Hetero)Arenes to Produce Amides through Rhodium-Catalyzed Carbonylation of Nitrene Intermediates. Angew. Chem. Int. Ed. 2019, 58, 8887–8892. [Google Scholar] [CrossRef]
  37. Jang, Y.S.; Dieckmann, M.; Cramer, N. Cooperative Effects between Chiral Cpx–Iridium(III) Catalysts and Chiral Carboxylic Acids in Enantioselective C−H Amidations of Phosphine Oxides. Angew. Chem. Int. Ed. 2017, 56, 15088–15092. [Google Scholar] [CrossRef] [PubMed]
  38. Sun, Y.; Cramer, N. Enantioselective Synthesis of Chiral-at-Sulfur 1,2-Benzothiazines by CpxRhIII-Catalyzed C−H Functionalization of Sulfoximines. Angew. Chem. Int. Ed. 2018, 57, 15539–15543. [Google Scholar] [CrossRef]
  39. Zhou, Y.; Engl, O.D.; Bandar, J.S.; Chant, E.D.; Buchwald, S.L. CuH-Catalyzed Asymmetric Hydroamidation of Vinylarenes. Angew. Chem. Int. Ed. 2018, 57, 6672–6675. [Google Scholar] [CrossRef]
  40. Uchida, T.; Katsuki, T. Asymmetric Nitrene Transfer Reactions: Sulfimidation, Aziridination and C-H Amination Using Azide Compounds as Nitrene Precursors. Chem. Rec. 2014, 14, 117–129. [Google Scholar] [CrossRef]
  41. Wu, X.; Qu, J.; Chen, Y. Quinim: A New Ligand Scaffold Enables Nickel-Catalyzed Enantioselective Synthesis of α-Alkylated γ-Lactam. J. Am. Chem. Soc. 2020, 142, 15654–15660. [Google Scholar] [CrossRef]
  42. Ju, M.; Zerull, E.E.; Roberts, J.M.; Huang, M.; Guzei, I.A.; Schomaker, J.M. Silver-Catalyzed Enantioselective Propargylic C–H Bond Amination through Rational Ligand Design. J. Am. Chem. Soc. 2020, 142, 12930–12936. [Google Scholar] [CrossRef] [PubMed]
  43. Ye, L.; Tian, Y.; Meng, X.; Gu, Q.S.; Liu, X.Y. Enantioselective Copper(I)/Chiral Phosphoric Acid Catalyzed Intramolecular Amination of Allylic and Benzylic C−H Bonds. Angew. Chem. Int. Ed. 2020, 59, 1129–1133. [Google Scholar] [CrossRef] [PubMed]
  44. Hassan, I.S.; Ta, A.N.; Danneman, M.W.; Semakul, N.; Burns, M.; Basch, C.H.; Dippon, V.N.; McNaughton, B.R.; Rovis, T. Asymmetric δ-Lactam Synthesis with a Monomeric Streptavidin Artificial Metalloenzyme. J. Am. Chem. Soc. 2019, 141, 4815–4819. [Google Scholar] [CrossRef]
  45. Enantioselective C-H amidations have been, in part, covered in the following recent review: Woźniak, Ł.; Tan, J.F.; Nguyen, Q.H.; Madron Du Vigné, A.; Smal, V.; Cao, Y.X.; Cramer, N. Catalytic Enantioselective Functionalizations of C-H Bonds by Chiral Iridium Complexes. Chem. Rev. 2020, 120, 10516–10543. [Google Scholar] [CrossRef]
  46. Enantioselective C-H amidations have been, in part, covered in the following recent review: Fanourakis, A.; Docherty, P.J.; Chuentragool, P.; Phipps, R.J. Recent Developments in Enantioselective Transition Metal Catalysis Featuring Attractive Noncovalent Interactions between Ligand and Substrate. ACS Catal. 2020, 10, 10672–10714. [Google Scholar] [CrossRef]
  47. Enantioselective C-H amidations have been, in part, covered in the following recent review: Yoshino, T.; Satake, S.; Matsunaga, S. Diverse Approaches for Enantioselective C−H Functionalization Reactions Using Group 9 CpxMIII Catalysts. Chem. Eur. J. 2020, 26, 7346–7357. [Google Scholar] [CrossRef] [PubMed]
  48. Enantioselective C-H amidations have been, in part, covered in the following recent review: Hayashi, H.; Uchida, T. Nitrene Transfer Reactions for Asymmetric C–H Amination: Recent Development. Eur. J. Org. Chem. 2020, 909–916. [Google Scholar] [CrossRef]
  49. Fukagawa, S.; Kato, Y.; Tanaka, R.; Kojima, M.; Yoshino, T.; Matsunaga, S. Enantioselective C(sp3)–H Amidation of Thioamides Catalyzed by a Cobalt III/Chiral Carboxylic Acid Hybrid System. Angew. Chem. Int. Ed. 2019, 58, 1153–1157. [Google Scholar] [CrossRef] [PubMed]
  50. Sekine, D.; Ikeda, K.; Fukagawa, S.; Kojima, M.; Yoshino, T.; Matsunaga, S. Chiral 2-Aryl Ferrocene Carboxylic Acids for the Catalytic Asymmetric C(sp3)-H Activation of Thioamides. Organometallics 2019, 38, 3970–3978. [Google Scholar] [CrossRef]
  51. For a racemic version of this reaction, see: Tan, P.W.; Mak, A.M.; Sullivan, M.B.; Dixon, D.J.; Seayad, J. Thioamide-Directed Cobalt(III)-Catalyzed Selective Amidation of C(sp3)-H Bonds. Angew. Chem. Int. Ed. 2017, 56, 16550–16554. [Google Scholar] [CrossRef]
  52. Papers have been submitted in 24 October 2018 and in 5 November 2018 respectively.
  53. Park, Y.; Chang, S. Asymmetric Formation of γ-Lactams via C–H Amidation Enabled by Chiral Hydrogen-Bond-Donor Catalysts. Nat. Catal. 2019, 2, 219–227. [Google Scholar] [CrossRef]
  54. Tan, T.D.; Ye, L.W. Chiral γ-lactam synthesis via asymmetric C–H amidation. Nat. Catal. 2019, 2, 182–183. [Google Scholar] [CrossRef]
  55. Hong, S.Y.; Park, Y.; Hwang, Y.; Kim, Y.B.; Baik, M.H.; Chang, S. Selective Formation of γ-Lactams via C-H Amidation Enabled by Tailored Iridium Catalysts. Science 2018, 359, 1016–1021. [Google Scholar] [CrossRef]
  56. Wang, H.; Park, Y.; Bai, Z.; Chang, S.; He, G.; Chen, G. Iridium-Catalyzed Enantioselective C(sp3)-H Amidation Controlled by Attractive Noncovalent Interactions. J. Am. Chem. Soc. 2019, 141, 7194–7201. [Google Scholar] [CrossRef] [PubMed]
  57. Xing, Q.; Chan, C.M.; Yeung, Y.W.; Yu, W.Y. Ruthenium(II)-Catalyzed Enantioselective γ-Lactams Formation by Intramolecular C-H Amidation of 1,4,2-Dioxazol-5-Ones. J. Am. Chem. Soc. 2019, 141, 3849–3853. [Google Scholar] [CrossRef]
  58. Zhou, Z.; Chen, S.; Hong, Y.; Winterling, E.; Tan, Y.; Hemming, M.; Harms, K.; Houk, K.N.; Meggers, E. Non- C2-Symmetric Chiral-at-Ruthenium Catalyst for Highly Efficient Enantioselective Intramolecular C(sp3)-H Amidation. J. Am. Chem. Soc. 2019, 141, 19048–19057. [Google Scholar] [CrossRef]
  59. See also: Zhou, Z.; Tan, Y.; Yamahira, T.; Ivlev, S.; Xie, X.; Riedel, R.; Hemming, M.; Kimura, M.; Meggers, E. Enantioselective Ring-Closing C–H Amination of Urea Derivatives. Chem 2020, 6, 2024–2034. [Google Scholar] [CrossRef]
  60. Fukagawa, S.; Kojima, M.; Yoshino, T.; Matsunaga, S. Catalytic Enantioselective Methylene C(sp3)-H Amidation of 8-Alkylquinolines Using a Cp*RhIII/Chiral Carboxylic Acid System. Angew. Chem. Int. Ed. 2019, 58, 18154–18158. [Google Scholar] [CrossRef]
  61. Farr, C.M.B.; Kazerouni, A.M.; Park, B.; Poff, C.D.; Won, J.; Sharp, K.R.; Baik, M.H.; Blakey, S.B. Designing a Planar Chiral Rhodium Indenyl Catalyst for Regio- And Enantioselective Allylic C-H Amidation. J. Am. Chem. Soc. 2020, 142, 13996–14004. [Google Scholar] [CrossRef]
  62. Obtained by chiral HPLC resolution of Rh(I)-COD mixture of enantiomers.
  63. For a recent review, see: Zu, B.; Guo, Y.; Ke, J.; He, C. Transient- and Native-Directing-Group-Enabled Enantioselective C–H Functionalization. Synthesis 2021. [Google Scholar] [CrossRef]
  64. Liu, Y.H.; Li, P.X.; Yao, Q.J.; Zhang, Z.Z.; Huang, D.Y.; Le, M.D.; Song, H.; Liu, L.; Shi, B.F. Cp*Co(III)/MPAA-Catalyzed Enantioselective Amidation of Ferrocenes Directed by Thioamides under Mild Conditions. Org. Lett. 2019, 21, 1895–1899. [Google Scholar] [CrossRef] [PubMed]
  65. Liu, L.; Song, H.; Liu, Y.H.; Wu, L.S.; Shi, B.F. Achiral CpxIr(III)/Chiral Carboxylic Acid Catalyzed Enantioselective C-H Amidation of Ferrocenes under Mild Conditions. ACS Catal. 2020, 10, 7117–7122. [Google Scholar] [CrossRef]
  66. Liu, W.; Yang, W.; Zhu, J.; Guo, Y.; Wang, N.; Ke, J.; Yu, P.; He, C. Dual-Ligand-Enabled Ir(III)-Catalyzed Enantioselective C-H Amidation for the Synthesis of Chiral Sulfoxides. ACS Catal. 2020, 10, 7207–7215. [Google Scholar] [CrossRef]
  67. See also: Diesel, J.; Cramer, N. Generation of Heteroatom Stereocenters by Enantioselective C-H Functionalization. ACS Catal. 2019, 9, 9164–9177. [Google Scholar] [CrossRef]
  68. Singh, H.; Sen, C.; Suresh, E.; Panda, A.B.; Ghosh, S.C. C–H Amidation and Amination of Arenes and Heteroarenes with Amide and Amine Using Cu-MnO as a Reusable Catalyst under Mild Conditions. J. Org. Chem. 2021, 86, 3261–3275. [Google Scholar] [CrossRef] [PubMed]
  69. Chen, C.; Shi, C.; Yang, Y.; Zhou, B. Rh(III)-Catalyzed Tandem Annulative Redox-Neutral Arylation/Amidation of Aromatic Tethered Alkenes. Chem. Sci. 2020, 11, 12124–12129. [Google Scholar] [CrossRef]
Scheme 1. C-H amidation reactions.
Scheme 1. C-H amidation reactions.
Catalysts 11 00471 sch001
Scheme 2. Dioxazolones 1 synthesis.
Scheme 2. Dioxazolones 1 synthesis.
Catalysts 11 00471 sch002
Figure 1. Simplified mechanism for C(sp2)-H amidation. DG = Directing Group.
Figure 1. Simplified mechanism for C(sp2)-H amidation. DG = Directing Group.
Catalysts 11 00471 g001
Scheme 3. Recent (non-exhaustive) examples of products issued from Csp2-H amidation reactions. pym = pyrimidyl.
Scheme 3. Recent (non-exhaustive) examples of products issued from Csp2-H amidation reactions. pym = pyrimidyl.
Catalysts 11 00471 sch003
Scheme 4. C(sp2)-H functionalization for the structural diversification of thiostrepton.
Scheme 4. C(sp2)-H functionalization for the structural diversification of thiostrepton.
Catalysts 11 00471 sch004
Scheme 5. Regio(branch)-selective allylic C(sp3)-H amidation.
Scheme 5. Regio(branch)-selective allylic C(sp3)-H amidation.
Catalysts 11 00471 sch005
Scheme 6. Enantioselective thioamide C(sp3)-H amidations.
Scheme 6. Enantioselective thioamide C(sp3)-H amidations.
Catalysts 11 00471 sch006
Scheme 7. Enantioselective thioamide C(sp3)-H amidations.
Scheme 7. Enantioselective thioamide C(sp3)-H amidations.
Catalysts 11 00471 sch007
Scheme 8. Enantioselective prochiral C(sp3)-H amidations.
Scheme 8. Enantioselective prochiral C(sp3)-H amidations.
Catalysts 11 00471 sch008
Scheme 9. Desymmetrization of enantiotopic substrates.
Scheme 9. Desymmetrization of enantiotopic substrates.
Catalysts 11 00471 sch009
Scheme 10. Mechanistic insights into Ir-catalyzed enantioselective formation of γ-lactams.
Scheme 10. Mechanistic insights into Ir-catalyzed enantioselective formation of γ-lactams.
Catalysts 11 00471 sch010
Scheme 11. Chiral amino-acid-based ligands for enantioselective Ir-catalyzed C-H amidation.
Scheme 11. Chiral amino-acid-based ligands for enantioselective Ir-catalyzed C-H amidation.
Catalysts 11 00471 sch011
Scheme 12. Enantioselective Ru-catalyzed intramolecular amidations.
Scheme 12. Enantioselective Ru-catalyzed intramolecular amidations.
Catalysts 11 00471 sch012
Scheme 13. Chiral-at-metal Ru catalysts for the synthesis of γ-lactams.
Scheme 13. Chiral-at-metal Ru catalysts for the synthesis of γ-lactams.
Catalysts 11 00471 sch013
Figure 2. Behavior of symmetric/non symmetric chiral-at-metal Ru catalysts in amidation reactions.
Figure 2. Behavior of symmetric/non symmetric chiral-at-metal Ru catalysts in amidation reactions.
Catalysts 11 00471 g002
Scheme 14. Enantioselective intermolecular C-H amidation of enantiotopic benzylic methylene.
Scheme 14. Enantioselective intermolecular C-H amidation of enantiotopic benzylic methylene.
Catalysts 11 00471 sch014
Scheme 15. Enantioselective allylic C-H amidation.
Scheme 15. Enantioselective allylic C-H amidation.
Catalysts 11 00471 sch015
Scheme 16. Thioamide-directed enantioselective C-H amidation of ferrocenes.
Scheme 16. Thioamide-directed enantioselective C-H amidation of ferrocenes.
Catalysts 11 00471 sch016
Scheme 17. Amide-directed enantioselective C-H amidation of ferrocenes.
Scheme 17. Amide-directed enantioselective C-H amidation of ferrocenes.
Catalysts 11 00471 sch017
Scheme 18. Ir(III)-catalyzed desymmetrization of achiral sulfoxides via C-H amidation.
Scheme 18. Ir(III)-catalyzed desymmetrization of achiral sulfoxides via C-H amidation.
Catalysts 11 00471 sch018
Scheme 19. Ir(III)-catalyzed amidation of non-symmetrical achiral sulfoxides via parallel kinetic resolution (PKR).
Scheme 19. Ir(III)-catalyzed amidation of non-symmetrical achiral sulfoxides via parallel kinetic resolution (PKR).
Catalysts 11 00471 sch019
Publisher’s Note: MDPI stays neutral with regard to jurisdictional claims in published maps and institutional affiliations.

Share and Cite

MDPI and ACS Style

Tosi, E.; de Figueiredo, R.M.; Campagne, J.-M. Enantioselective Catalytic C-H Amidations: An Highlight. Catalysts 2021, 11, 471. https://doi.org/10.3390/catal11040471

AMA Style

Tosi E, de Figueiredo RM, Campagne J-M. Enantioselective Catalytic C-H Amidations: An Highlight. Catalysts. 2021; 11(4):471. https://doi.org/10.3390/catal11040471

Chicago/Turabian Style

Tosi, Eleonora, Renata Marcia de Figueiredo, and Jean-Marc Campagne. 2021. "Enantioselective Catalytic C-H Amidations: An Highlight" Catalysts 11, no. 4: 471. https://doi.org/10.3390/catal11040471

APA Style

Tosi, E., de Figueiredo, R. M., & Campagne, J.-M. (2021). Enantioselective Catalytic C-H Amidations: An Highlight. Catalysts, 11(4), 471. https://doi.org/10.3390/catal11040471

Note that from the first issue of 2016, this journal uses article numbers instead of page numbers. See further details here.

Article Metrics

Back to TopTop