Abstract
The oxidation of cumene and following cleavage of cumene hydroperoxide (CHP) with sulfuric acid (Hock rearrangement) is still, by far, the dominant synthetic route to produce phenol. In 2020, the global phenol market reached a value of 23.3 billion US$ with a projected compound annual growth rate of 3.4% for 2020–2025. From ecological and economical viewpoints, the key step of this process is the cleavage of CHP. One sought-after way to likewise reduce energy consumption and waste production of the process is to substitute sulfuric acid with heterogeneous catalysts. Different types of zeolites, silicon-based clays, heteropoly acids, and ion exchange resins have been investigated and tested in various studies. For every type of these solid acid catalysts, several materials were found that show high yield and selectivity to phenol. In this mini-review, first a brief introduction and overview on the Hock process is given. Next, the mechanism, kinetics, and safety aspects are summarized and discussed. Following, the different types of heterogeneous catalysts and their performance as catalyst in the Hock process are illustrated. Finally, the different approaches to substitute sulfuric acid in the synthetic route to produce phenol are briefly concluded and a short outlook is given.
1. Introduction
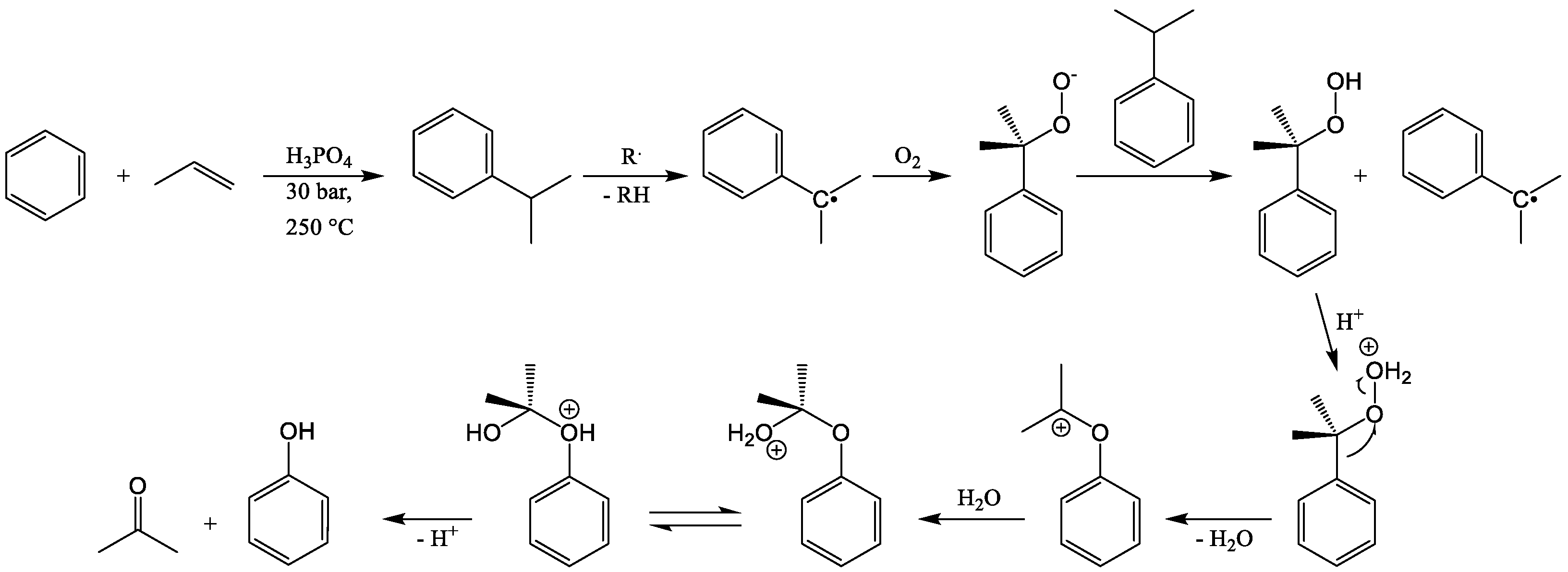
The cumene process is the worldwide most used process for producing oxygenated hydrocarbons such as phenol and acetone from petrochemical feedstocks [1]. Even though one-step routes via oxidation of benzene with oxygen, hydrogen peroxide, or nitrous oxide to produce phenol were developed [2,3,4,5,6,7,8,9], with 12.7 × 106 t/an over 97% of the worldwide produced phenol and 7.8 × 106 t/a of acetone the cumene process is still the by far most used process today [1,10]. It was discovered and developed almost parallel in the UDSSR and in Germany. In the years 1943–1946, UDRIS and SERGEEV developed a method for the synthesis of phenol and acetone by acid decomposition of cumene hydroperoxide (CHP), in 1944 Hock and Lang published a three-step route from benzene and propylene to cumene via alkylation and following autoxidation to CHP, that is cleaved to phenol and acetone by acid decomposition (Figure 1) [11,12,13].
Figure 1.
Cumene process.
The decomposition named ‘Hock rearrangement’ is a Brønsted or Lewis acid catalyzed cleavage of a hydroperoxide, resulting in an alcohol and carbonyl compound, in case of the cumene process from CHP to phenol and acetone [14]. The Hock rearrangement has a high impact on the entire cumene consumption rate of the whole phenol plant and determines the safety level of the cumene process. CHP releases a lot of heat when decomposed (−252 kJ/mol) and is an explosive chemical, resulting in a high hazard potential that has caused numerous incidents, which cause loss of life, damage to facilities, and subsequent production stops. Therefore, it is vital to understand the behavior of hydroperoxides and achieve a high selectivity in the cleavage step [15,16,17,18].
The most commonly used catalyst for the cleavage of CHP is sulfuric acid [1], which unfortunately has intrinsic disadvantages: alongside the corrosive problem it is mandatory to add a neutralization agent after the decomposition step to prevent side reactions and remove the aggressive acid before rectification. The accruing salts within the occurring aqueous phase have to be removed to prevent the evaporator of the rectification columns from fouling and plugging [19]. This recovery and reutilization have a negative impact on the overall costs of the process.
Motivated by potential significant cost savings there where different approaches to supplant commercially used mineral acids with heterogeneous catalysts. After a brief overview over the reaction mechanism and safety aspects, the efforts made to substitute sulfuric acid by a heterogeneous catalyst are summarized.
2. Mechanism, Kinetics, and Safety Aspects of the CHP Cleavage
The cumene process currently in use starts with the alkylation of benzene with propylene to cumene, followed by an oxidation of cumene to CHP in the presence of air and radical initiators. Once a radical initiator is added, CHP autocatalyzes the oxidation reaction [20]. The hydroperoxide is then reacted with sulfuric acid to form phenol and acetone. The first step is protonation of the peroxide, followed by the elimination of water due to the migration of the phenyl group to the peroxide oxygen atom. A carbocation is formed which is attacked by a water molecule and one proton switches to the oxygen of the phenyl group migrated to earlier. This oxonium-ion finally decomposes into acetone and phenol (Figure 2).
Figure 2.
Scheme of the general mechanism of the cumene process [14].
On industrial scale, the cleavage of CHP is performed in a circulation loop either in backmixed vessels [21,22,23,24,25,26,27,28] or in a series of reactors with heat exchangers (Figure 3) [29,30,31,32,33].
Figure 3.
Production of phenol from cumene. R1, R2: cumene oxidation reactors; A1, A2: activated-carbon adsorbers; VC: vacuum distillation column; R3–R5: cleavage reactors; V1: neutralization drum; C1: acetone column; C2: cumene column; C3: α-methylstyrene column; C4: phenol column; R6: hydrogenation reactor; V2: cumene scrubber [1].
The acid catalyzed cleavage of CHP to phenol and acetone is a first order decomposition. With increasing concentration of a strong acid (up to 5000 ppmw sulfuric acid) the exothermic profile moves to lower temperatures. This allows milder reaction conditions (around 5–70 °C), which helps to prevent side reactions. However, higher acid concentration also leads to much higher self-heat rates of the reaction [18,34,35,36]. Besides the acid-concentration, the wt % of CHP also has a significant impact on the temperature of the reaction system (around 7 °C per 1 wt % CHP). Therefore, the accumulation of CHP, either because of feeding to much CHP into the reaction system or as aftereffect of a deactivation of the catalyst, has to be prevented. This has to be done by implementing various safeguards and controlling, e.g., high and low temperature interlocks after every heat exchanger, using smaller but more heat exchangers and utilizing intelligent online control systems [10,37].
3. Solid Acid Catalysts
After the commercialization in Europe and the USA after World War II, different other homogeneous catalysts have been investigated [38,39,40,41,42,43,44], but none of them demonstrated superior performance to sulfuric acid regarding catalytic and cost efficiency. To eliminate the persisting issues with sulfuric acid as corrosive and homogeneous catalyst, different approaches to substitute the homogeneous catalyst with a solid catalyst have been explored in the past 20 years.
3.1. Mineral Acid-Treated Clays
Smectite clay minerals [45] are layer aluminosilicates with a broad variety of properties which are beneficial for catalyzing an organic reaction, and especially montmorillonites are used as acid catalyst [39]. Therefore, the acidity and surface area of this smectites are often modified by different methods. Furthermore, they can be altered by impregnation with metal salts or intercalation of heteropolyacids (HPA) or Lewis acids [46]. One method to modify clays is the treatment with inorganic acids such as hydrochloric acid and sulfuric acid. That results in a leaching of Al3+ and creates therefore mesopores in the clay structure, contributing to a higher surface area. In addition, interlamellar cations are replaced with protons of the applied acid. Furthermore, the leaching of Al3+ results in a decrease of strong Brønsted acid sites, but the overall concentration of weak Brønsted acid sites and the population of Lewis acid sites increases [47,48,49]. Bentonite treated with hydrochloric acid of different concentrations show a significant difference in Brønsted acid sites and according performance in a reaction system with CHP [50]. Treatment with low concentrated hydrochloric acid seems to increase the activity of the catalyst as more Brønsted acid sites are created, but treatment with highly concentrated acids leads to an elution of strong Brønsted acid sites. As strong Brønsted acid sites are required for the decomposition of CHP [51], the elutriation due to higher concentrated acids results in a deactivation.
Knifton and Sandserson used acid treated montmorillonites clays with different acidity, ranging from 10–16 mg KOH/g, in batch and continuous experiments. The former showed a yield of 98 mol % for the clays with high acidity. The experiments in a continuous plug-flow reactor revealed that acid treated montmorillonites clays are capable of performing for at least 1000 h in continuous conditions. The reaction parameters were set between 60 to 80 °C, 6 to 65 bar and a LHSV from 1 to 10 Lh−1. Although the reactor was cooled, the temperature profile in the reactor raised up to 25 °C with LHSV 1 and 45 °C at LHSV 10. With a set temperature of 80 °C this leads to a drop of the phenol yield to 94% and shows the significant problem with heat removal operating this highly exothermic reaction in a fixed bed reactor [52]. Han et al. activated montmorillonite powder with 30 wt % sulfuric acid and used cordierite as support. The loading of montmorillonite on the support varied between 13.0 wt % and 38.5 wt %. Phenol yields ranged from about 65% with 19.5 wt % montmorillonite loading and 75% with 38.5 wt % montmorillonite loading at 60 °C and about 85% phenol yield with 19.5 wt % montmorillonite loading and 95% with 38.5 wt % montmorillonite loading at a reaction temperature of 90 °C. The highest selectivity was achieved at 60 °C with >99%, slightly dropping to about 99.5% at 90 °C. In their experiments HAN et al. also used a plug-flow reactor and found the optimum WHSV at 90 h−1. Overall, the optimal parameters with montmorillonite on cordierite wherewith a loading of 32.5 wt % acid per clay, reaction temperature of 80 °C, WHSV of 90 h−1, and mass ratio of CHP to acetone of 1:3 [53].
3.2. Heteropoly Acids (HPA) on Supports
Heteropolyacids (HPAs) are complex proton acids which are formed by condensation of transition metal oxoacids. The octahedral structure is built by heteroatoms (group I–VII possible) connected to a transition metal (addenda atoms, mostly Mo, W, and V) via oxygen atoms. The most researched HPAs are those with the Keggin structure, as these HPAs are simply prepared and show the highest Brønsted acidity [54,55,56,57,58,59]. Immobilized on supports like clays or titania, the downsides that normally occur if used as homogeneous catalyst plus the low surface area can be eluded. Experiments with dodecatungstophosphoric acid (DTP) and similar HPAs with Keggin structure show phenol yields up to 99 mol % at quantitative conversion of CHP if impregnated on a montmorillonite clay, even with high feed rates like LHSV at 10 h−1 [52]. To achieve a high stability of the HPAs in solution and to enhance the surface area and thermal stability, protons can be partial substituted with Cs+-Ions. The modified salts of HPAs und montmorillonite clays show high stability and reusability with high conversion rates of CHP [18].
3.3. Zeolites
During the last three decades, zeolites have become more and more relevant catalysts as they are cheap, readily available, and—due to their strong acidity—capable of phasing-out several mineral acids. Zeolites are shape-selective, often improving the processes yield and selectivity, and consequentially products quality. For the cleavage of CHP in the cumene process, several types of zeolites have been tested, including X-, USY-, Beta-, and ZSM-5-type zeolites [51,60,61,62,63,64,65,66]. Zeolites are mostly used in a fixed bed reactor and the reaction parameters strongly depend on the used zeolite. Beta and ZSM-5 zeolites and corresponding metallosilicates containing trivalent elements in the framework (B, Fe, Ga) are active at room-temperature and a reaction time of 5 min are enough for 100% conversion of CHP [51]. The selectivity to phenol varies from 86% to 92%, with a slightly better selectivity if Beta zeolites are used. Over 10 h under fixed-bed conditions the H-Al-Beta zeolite can hold the conversion rate of 100%, but the selectivity towards phenol decreases from 95% to 90%. ZSM-12, NCL-1, ZSM-22, EU-1, MCM-22, and ZSM 48 need elevated temperatures (40–60 °C) to reach high conversion rates [51]. With medium-pore unidimensional zeolites like ZSM-22 and ZSM-48 the CHP conversion is significantly lower than over ZSM 5 or Beta zeolites, 65% for ZSM-22, and 45% for ZSM-48. This can be explained with diffusion restrictions due to the channel system of these zeolites. The performance of unidimensional zeolites with larger pores and thus better accessible channel system (ZSM-12, NCL-1, and MCM-22) show 85–90% conversion. The selectivity is only slightly inferior to ZSM-5 and Beta zeolites. KUMAR showed that lowering the particle size of ZSM-5 crystals from 90 nm to nanocrystals with a particle size of 18.3 nm results in a rise in CHP conversion from 60.1% to 94% [66] due to lower diffusion restrictions and therefore an enhanced accessibility to the acid sites. Besides good accessibility of the catalytic active sites of the catalyst, the conversion of CHP strongly depends on the number and strength of Brønsted acid sites of the zeolites [51,65]. The lack or only small amount of acid sites in molecular sieves like AIPO-5 and SAPO 5 results in low conversions of 10% for the aluminophosphate and 25% for the silico-aluminophosphate, respectively [51,67,68]. The maximum number of protonic sites is equal to the number of framework aluminum atoms [69,70], but the strength of the acid site is higher if isolated by Si in next nearest neighbor (NNN)-positions. The strength of the protic sites is therefore inversely proportional to the Al content [65,69,71]. For ultra-stable Y zeolites in H-form (HUSY) an additional property has been found: partially dealuminated HUSY can mediate reactions only expectable to occur in superacids. The protonation inside the zeolite pores follow a certain mechanism, resulting in high kinetic acidity. Over HUSY with Si/Al ratios of 15–40 CHP converts up to 100% with good selectivity (0.1% w/w HUSY, 60 °C, 20 min reaction time). The high hydrophilicity of the HUSY zeolite require to be activated at 500 °C. That pre-activation diminishes poisoning by water, preventing loss of activity over several runs [66,72,73,74].
3.4. Ion Exchange Resins
Another class that can be used as catalysts for CHP cleavage is ion exchange resins. The resins used consist of a macroporous polystyrene backbone and sulfonic acid groups as ion-exchange groups. Ye et al. used AMBERLYST 35WET and AMBERLYST 35DRY with the polystyrene-backbone cross-linked with divinylbenzene [74]. Huang et al. selected a resin entitled TH-02 with additional not otherwise specified functional groups to obtain higher exchange capacity and large internal pores [75]. The larger internal pores result from less crosslinking, making the resins mechanically less stable. Therefore, Huang et al. used a special reactor consisting of a riser, a main reactor, a liquid–solid separator and a loop, called TPCFB reactor [75]. At a WHSV of 30 h−1 the conversion of CHP varies between 99.5% at 60 °C and 100% at 90 °C and higher. The selectivity is >99.9% at 60 °C and drops slightly to 97% at 98 °C. YE et al. used a lab-scale RD column to test the AMBERLYST 35 resins for the decomposition of CHP. Their experiments showed that a dry resin has superior catalytic activity. This is explained by the negative influence of the high water content on the intermediate dehydration step in the CHP decomposition [74].
The different catalysts and their performance regarding the decomposition of CHP are listed in Table 1.
Table 1.
Catalytic decomposition of cumene hydroperoxide over various catalysts.
4. Conclusions
In this mini-review, we examined the progress of the CHP decomposition to phenol and acetone in the attempt to substitute sulfuric acid with heterogeneous catalysts to enhance ecological and economic progress. Different types of acidic heterogeneous catalysts are capable of performing with high conversion rates related to the decomposition of CHP. The key for high conversion rates are strong Brønsted acid sides, and the effect of Lewis acid sites has to be further investigated. Beyond that, the pore structure of the catalyst has significant effects on the production of secondary products and therefore can prevent the catalyst from coking and poisoning. A three-dimensional structure with larger diameters is preferred. Montmorillonite clays treated with mineral acids or as support for HPAs showed high performance at high WHSV under plug-flow conditions. Several different types of zeolites were tested, showing that especially ZSM-5 and Beta zeolites perform with high conversion rates and phenol yields. Additionally, HUSY with high silica content shows a great potential due to high acidity inside their pores. Ion exchange resins have not received as much attention as zeolites and clays, but they also show good performance in the decomposition of CHP. However, none of the mentioned catalysts has been tested in long term conditions to evaluate their service lives. To replace sulfuric acid with a heterogeneous catalyst, the cost factor depends on the longevity of the catalysts. This includes coking and general poisoning as well as thermal stability in case of ion exchange resins. The challenge for future studies on this topic is to find a highly acidic structure with good accessibility for fast diffusion of the substrate and products. Beyond that, the catalyst- and reactor-design must be appropriate for reliable and agile temperature control to ensure consistent yields and eliminate safety hazards.
Author Contributions
Conceptualization, J.D. and M.E.; methodology, J.D.; validation, P.H., R.P. and M.E.; formal analysis, P.H. and M.E.; investigation, J.D.; data curation, J.D.; writing—original draft preparation, J.D.; writing—review and editing, P.H.; visualization, J.D.; supervision, M.E.; project administration, R.P. and M.E.; funding acquisition, M.E. All authors have read and agreed to the published version of the manuscript.
Funding
This study was funded by the German Federal Ministry of Education and Research (FKZ: 031B0671).
Data Availability Statement
Not applicable.
Conflicts of Interest
The authors declare no conflict of interest.
References
- Weber, M.M.; Weber, M.M.; Weber, V. Phenol; Wiley-VCH Verlag GmbH & Co. KgaA: Weinheim, Germany, 2020; pp. 4–7. [Google Scholar] [CrossRef]
- Sheldon, R.A. Homogeneous and Heterogeneous Catalytic Oxidations with Peroxide Reagents. Org. Peroxygen Chem. 1993, 164, 21–43. [Google Scholar] [CrossRef]
- Alekar, N.A.; Indira, V.; Halligudi, S.B.; Srinivas, D.; Gopinathan, S.; Gopinathan, C. Kinetics and Mechanism of Selective Hydroxylation of Benzene Catalysed by Vanadium Substituted Heteropolymolybdates. J. Mol. Catal. A Chem. 2000, 164, 181–189. [Google Scholar] [CrossRef]
- Lee, C.W.; Lee, W.J.; Park, Y.K.; Park, S.E. Catalytic Hydroxylation of Benzene over Vanadium-Containing Molecular Sieves. Catal. Today 2000, 61, 137–141. [Google Scholar] [CrossRef]
- Olah, G.A.; Ohnishi, R. Oxyfunctionalization of Hydrocarbons. 8. Electrophilic Hydroxylation of Benzene, Alkylbenzenes, and Halobenzenes with Hydrogen Peroxide in Superacids. J. Org. Chem. 1978, 43, 865–867. [Google Scholar] [CrossRef]
- Kuznetsova, N.I.; Kuznetsova, L.I.; Kirillova, N.V.; Pokrovskii, L.M.; Detusheva, L.G. Oxidation of Cyclohexene and α Pinene with O2—H2 Mixture. Russ. Chem. Bull. 2003, 52, 1544–1551. [Google Scholar] [CrossRef]
- Niwa, S.I.; Eswaramoorthy, M.; Nair, J.; Raj, A.; Itoh, N.; Shoji, H.; Namba, T.; Mizukami, F. A One-Step Conversion of Benzene to Phenol with a Palladium Membrane. Science 2002, 295, 105–107. [Google Scholar] [CrossRef]
- Sobolev, V.I.; Dubkov, K.A.; Paukshtis, E.A.; Piratko, L.V.; Rodkin, M.A.; Kharitonov, A.S.; Panov, G.I. On the Role of Brønsted Acidity in the Oxidation of Benzene to Phenol by Nitrous Oxide. Appl. Catal. A Gen. 1996, 141, 185–192. [Google Scholar] [CrossRef]
- Dubkov, K.A.; Sobolev, V.I.; Talsi, E.P.; Rodkin, M.A.; Watkins, N.H.; Shteinman, A.A.; Panov, G.I. Kinetic Isotope Effects and Mechanism of Biomimetic Oxidation of Methane and Benzene on FeZSM-5 Zeolite. J. Mol. Catal. A Chem. 1997, 123, 155–161. [Google Scholar] [CrossRef]
- Zakoshansky, V. Phenol Process Celebrates Its 60th Anniversary: The Role of Chemical Principles in Technological Breakthroughs. Russ. J. Gen. Chem. 2009, 79, 2267–2271. [Google Scholar] [CrossRef]
- Morachevskii, A.G.; Nemtsov, M.S. Vospominaniya i Razmyshleniya (Zapiski Khimika) (Recollections and Reflection (Chemist’s Memoirs)). Russ. J. Appl. Chem. 2007, 80, 511–512. [Google Scholar] [CrossRef]
- Hock, H.; Lang, S. Autoxydation von Koblenwasserstoffen: Über Peroxyde von Benzol-Derivaten. Eur. J. Inorg. Chem. 1944, 77, 257–263. [Google Scholar]
- Udris, R.J.; Sergeyev, P.G.; Kruzhalov, B.D. Sposob Polucheniya Gidroperekisejj Alkilirovannykh-Proizvodnykh Benzola Ili Alicikloaromaticheskikh Uglevodorodov. USSR Patent 106,666, 7 January 1947. [Google Scholar]
- Yaremenko, I.A.; Vil’, V.A.; Demchuk, D.V.; Terent’ev, A.O. Rearrangements of Organic Peroxides and Related Processes. Beilstein J. Org. Chem. 2016, 12, 1647–1748. [Google Scholar] [CrossRef] [Green Version]
- Duh, Y.S.; Kao, C.S.; Hwang, H.H.; Lee, W.W.L. Thermal Decomposition Kinetics of Cumene Hydroperoxide. Process Saf. Environ. Prot. 1998, 76, 271–276. [Google Scholar] [CrossRef] [Green Version]
- Tsai, H.F.; Guo, S.J.; Wu, S.H. Fire and Thermal Hazard Analyses of Industrial Zeolite Catalysis for Phenol Production. Adv. Mater. Res. 2012, 560–561, 161–166. [Google Scholar] [CrossRef]
- The 100 Largest Losses 1972–2011; Marsh & McLennan: New York, NY, USA, 2011; pp. 1–42.
- Yadav, G.D.; Asthana, N.S. Selective Decomposition of Cumene Hydroperoxide into Phenol and Acetone by a Novel Cesium Substituted Heteropolyacid on Clay. Appl. Catal. A Gen. 2003, 244, 341–357. [Google Scholar] [CrossRef]
- Schmidt, R.J. Industrial Catalytic Processes—Phenol Production. Appl. Catal. A Gen. 2005, 280, 89–103. [Google Scholar] [CrossRef]
- Twigg, G.H. Liquid-Phase Oxidation (of Organic Compounds) by Molecular Oxygen. Chem. Ind. 1962, 1, 4–11. [Google Scholar]
- Weber, M.; Daldrup, J.B.G.; Weber, M. Noncatalyzed Radical Chain Oxidation: Cumene Hydroperoxide. In Liquid Phase Aerobic Oxidation Catalysis: Industrial Applications and Academic Perspectives; John Wiley & Sons: Hoboken, NJ, USA, 2016; pp. 15–31. [Google Scholar] [CrossRef]
- Hattori, H. Heterogeneous Basic Catalysis. Chem. Rev. 1995, 95, 537–558. [Google Scholar] [CrossRef]
- Cooke, M.D. The Distillers Company Limited Improvements in or relating to the Manufacture of Alkyl Benzene Peroxides. Br. Patent No. 610293A, 13 October 1948. [Google Scholar]
- Cooke, M.D. The Distillers Company Limited Verfahren zur Anreicherung Cumolhydroperoxid. DE1114817B, 12 October 1961. [Google Scholar]
- Hall, R.H.; Quin, D.C. Hercules Powder Company Manufacture of Alkyl Benzene Peroxides. U.S. Patent 2547938A, 10 April 1951. [Google Scholar]
- Lorand, E.J.; Reese, J.E. Hercules Powder Company Oxidation of Aromatic Hydrocarbons. U.S. Patent 2548435A, 10 April 1951. [Google Scholar]
- Sodomann, H.; Hauschulz, B. Phenolchemie Verfahren zur Herstellung von Aralkylmonohydroperoxyden. DE1131674B, 20 June 1960. [Google Scholar]
- Sifniades, S.; Tunick, A.A.; Koff, F.W. Decomposition of Cumene Oxidation Product. U.S. Patent 4358618A, 9 November 1982. [Google Scholar]
- Mategazza, A.; Reni, C.; Arsizio, B.; Societa Italiana Resine. Verfahren und Vorrichtung zum kontinuierlichen katalytischen Spalten von Alkylarylhydroperoxyden, besonders Cumolhydroperoxid, mit Schwefelsäure. DE1443329B1, 2 January 1970. [Google Scholar]
- Zakoshansky, V.M. Method for the Dewcompostion of Cujmene Hydroperoxide by Acidic Catalyst to Phenol and Acetone. U.S. Patent 5254751A, 19 October 1993. [Google Scholar]
- Zakoshansky, V.M.; Griaznov, A.K.; Vasilieva, I.I. Method for Preparing Phenol and Carbonyl Compounds. Russian Patent RU2142932C1, 20 December 1999. [Google Scholar]
- Zakoshansky, V.M.; Vasilieva, I.I.; Griaznov, A.K.; Youriev, Y.N.; Van Barnefeld, H.; Gerlich, O. Improved Method for Producing Phenol and Acetone from Cumol. International Patent WO98/27039, 25 June 1998. [Google Scholar]
- Zakoshansky, V.M.; Griaznov, A.K.; Vasilieva, I.I. High Selective Method of Phenol and Acetone Production. U.S. Patent 6057483A, 2 May 2000. [Google Scholar]
- Kozhevnikov, I.V.; Mastikhin, V.M.; Matveev, K.I.; Kirichenko, G.N.; Churkin, Y.V.; Glazunova, V.I. Kinetics of Decomposition of Isopropylbenzene Hydroperoxide Catalyzed By Dodecamolybdophosphoric Acid. React. Kinet. Catal. Lett. 1977, 7, 291–296. [Google Scholar] [CrossRef]
- Levin, M.E.; Gonzales, N.O.; Zimmerman, L.W.; Yang, J. Kinetics of Acid-Catalyzed Cleavage of Cumene Hydroperoxide. J. Hazard. Mater. 2006, 130, 88–106. [Google Scholar] [CrossRef]
- Jung, G.; Just, G. Thermokinetische Untersuchung Der Cumolhydroperoxidzersetzung. J. Prakt. Chem. 1971, 313, 377–394. [Google Scholar] [CrossRef]
- Weber, M.; Hoffmann, R.; Weber, M. Some Safety Aspects on the Cleavage of Cumene Hydroperoxide in the Phenol Process. Process Saf. Prog. 2019, 38, 1–4. [Google Scholar] [CrossRef]
- Sheldon, R.A.; van Doorn, J.A. Observation by PMR Spectroscopy of the Intermediate Alkoxycarbonium Ions in the Acid-Catalysed Decomposition of Organic Hydroperoxides. Tetrahedron Lett. 1973, 14, 1021–1022. [Google Scholar] [CrossRef]
- Barton, D.H.R.; Delanghe, N.C. New Catalysts for the Conversion of Cumene Hydroperoxide into Phenol. Tetrahedron Lett. 1997, 38, 73–78. [Google Scholar] [CrossRef]
- Kharasch, M.S.; Fono, A.; Nudenberg, W. The Chemistry Of Hydroperoxides I. The Acid-Catalyzed Decomposition of α,α-Dimethylbenzyl (α-Cumyl) Hydroperxoide. J. Org. Chem. 1950, 15, 748–752. [Google Scholar] [CrossRef]
- Seubold, F.H.; Vaughan, W.E. Acid-Catalyzed Decomposition of Cumene Hydroperoxide. J. Am. Chem. Soc. 1953, 75, 3790–3792. [Google Scholar] [CrossRef]
- Turner, J.O. The Acid-Catalyzed Decomposition of Aliphatic Hydroperoxides: Reactions in the Presence of Alcohols. Tetrahedron Lett. 1971, 12, 887–890. [Google Scholar] [CrossRef]
- Deno, N.C.; Billups, W.E.; Kramer, K.E.; Lastomirsky, R.R. The Rearrangement of Aliphatic Primary, Secondary, and Tertiary Alkyl Hydroperoxides in Strong Acid. J. Org. Chem. 1970, 35, 3080–3082. [Google Scholar] [CrossRef]
- Hock, H.; Kropf, H. Autoxydation von Kohlenwasserstoffen Und Die Cumol-Phenol-Synthese. Angew. Chem. 1957, 69, 313–321. [Google Scholar] [CrossRef]
- Pinnavaia, T.J. Intercalated Clay Catalysts. Science 1983, 220, 365–371. [Google Scholar] [CrossRef]
- Varma, R.S. Clay and Clay-Supported Reagents in Organic Synthesis. Tetrahedron 2002, 58, 1235–1255. [Google Scholar] [CrossRef]
- Theocharis, C.R.; S’Jacob, K.J.; Gray, A.C. Enhancement of Lewis Acidity in Layer Aluminosilicates. Treatment with Acetic Acid. J. Chem. Soc. Faraday Trans. 1 Phys. Chem. Condens. Phases 1988, 84, 1509–1515. [Google Scholar] [CrossRef]
- Cativiela, C.; Fraile, J.M.; Garcia, J.I.; Mayoral, J.A.; Figueras, F.; De Menorval, L.C.; Alonso, P.J. Factors Influencing the K10 Montmorillonite-Catalyzed Diels-Alder Reaction between Methyl Acrylate and Cyclopentadiene. J. Catal. 1992, 137, 394–407. [Google Scholar] [CrossRef]
- Rhodes, C.N.; Brown, D.R. Surface Properties and Porosities of Silica and Acid-Treated Montmorillonite Catalyst Supports: Influence on Activities of Supported ZnCl2 Alkylation Catalysts. J. Chem. Soc. Faraday Trans. 1993, 89, 1387–1391. [Google Scholar] [CrossRef]
- Selvin, R.; Hsu, H.L.; Aneesh, P.; Chen, S.H.; Hung, L.H. Preparation of Acid-Modified Bentonite for Selective Decomposition of Cumene Hydroperoxide into Phenol and Acetone. React. Kinet. Mech. Catal. 2010, 100, 197–204. [Google Scholar] [CrossRef]
- Sasidharan, M.; Kumar, R. Zeolite-Catalysed Selective Decomposition of Cumene Hydroperoxide into Phenol and Acetone. J. Chem. Res.-Part S 1997, 2, 52–53. [Google Scholar] [CrossRef]
- Knifton, J.F.; Sanderson, J.R. Phenol/Acetone Cogeneration via Solid Acid Catalysis. Appl. Catal. A Gen. 1997, 161, 199–211. [Google Scholar] [CrossRef]
- Han, L.; Wang, Y.; Zhang, J.; Lei, Z.; Huang, C.; Chen, B. Acidic Montmorillonite/Cordierite Monolithic Catalysts for Cleavage of Cumene Hydroperoxide. Chin. J. Chem. Eng. 2014, 22, 854–860. [Google Scholar] [CrossRef]
- Pope, M.T. Heteropoly and Isopoly Oxometalates; Springer: Berlin/Heidelberg, Germany, 1993. [Google Scholar]
- Izumi, Y.; Urabe, K.; Onaka, M. Zeolites, Calys and Heteropoly Acids; VSH Publishers Inc.: London, UK, 1992. [Google Scholar]
- Okuhara, T.; Mizuno, N.; Misono, M. Catalytic Chemistry of Heteropoly Compounds. Adv. Catal. 1996, 41, 113–252. [Google Scholar] [CrossRef]
- Misono, M.; Nojiri, N. Recent Progress in Catalytic Technology in Japan. Appl. Catal. 1990, 64, 1–30. [Google Scholar] [CrossRef]
- Corma, A. Inorganic Solid Acids and Their Use in Acid-Catalyzed Hydrocarbon Reactions. Chem. Rev. 1995, 95, 559–614. [Google Scholar] [CrossRef]
- Kozhevnikov, I.V. Heteropoly Acids as Catalysts for Fine Chemicals Synthesis; Woodhead Publishing Ltd.: Sawston, UK, 2005; Volume 6. [Google Scholar] [CrossRef]
- Chang, C.D.; Pelrine, P.P. Mobil Oil Corporation Production of Phenol. U.S. Patent 4490565A, 25 December 1984. [Google Scholar]
- Romano, U.; Clerici, M.G.; Bellussi, G.; Buonomo, F. Catalyst for the Selective Decomposition of Cumene Hydroperoxide. U.S. Patent 47543573A, 10 May 1988. [Google Scholar]
- Romano, U.; Clerici, M.G.; Bellussi, G.; Buonomo, F. Catalyst for the Selective Decompostion of Cumene Hydroperoxide and Process Using it. U.S. Patent 4849387A, 18 July 1989. [Google Scholar]
- Xu, R.; Pang, W.; Yu, J.; Huo, Q.; Chen, J. Chemistry of Zeolites and Related Porous Materials; Wiley: Hoboken, NJ, USA, 2007. [Google Scholar] [CrossRef]
- Cejka, J.; Corma, A.; Zones, S. Zeolites and Catalysis; Wiley: Hoboken, NJ, USA, 2010. [Google Scholar]
- Koltunov, K.Y.; Sobolev, V.I. Efficient Cleavage of Cumene Hydroperoxide over HUSY Zeolites: The Role of Brønsted Acidity. Appl. Catal. A Gen. 2008, 336, 29–34. [Google Scholar] [CrossRef]
- Kumar, K.P.; Selvin, R.; Kumari, P.; Roselin, L.S.; Arul, N.S.; Bououdina, M. Selective Decomposition of Cumene Hydroperoxide into Phenol and Acetone over Nanocrystalline ZSM-5. Int. J. Mater. Eng. Innov. 2010, 1, 417–425. [Google Scholar] [CrossRef]
- Hedge, S.G.; Ratnasamy, P.; Kustov, L.M.; Kazansky, V.B. Acidity and Catalytic Activity of SAPO-5 and AlPO-5 Molecular Sieves. Zeolites 1988, 8, 137–141. [Google Scholar] [CrossRef]
- Chaudhary, V.R.; Singh, A.P.; Kumar, R. Acidity and Sorbate Shape Selectivity of H-ZSM-22, H-ZSM-48, and H-ZSM-50 Zeolites. J. Catal. 1991, 129, 293–296. [Google Scholar] [CrossRef]
- Guisnet, M.; Gilson, J.-P. Zeolites for Cleaner Technologies; Imperial College Press: London, UK, 2002. [Google Scholar] [CrossRef]
- Louis, B.; Walspurger, S.; Sommer, J. Quantitative Determination of Brönsted Acid Sites on Zeolites: A New Approach towards the Chemical Composition of Zeolites. Catal. Lett. 2004, 93, 81–84. [Google Scholar] [CrossRef]
- Koltunov, K.Y.; Walspurger, S.; Sommer, J. Superelectrophilic Activation of Polyfunctional Organic Compounds Using Zeolites and Other Solid Acids. Chem. Commun. 2004, 15, 1754. [Google Scholar] [CrossRef]
- Koltunov, K.Y.; Walspurger, S.; Sommer, J. Cyclization of 1-Phenyl-2-Propen-1-Ones into 1-Indanones Using H-Zeolite and Other Solid Acids. The Role of Mono- and Dicationic Intermediates. Tetrahedron Lett. 2005, 46, 8391–8393. [Google Scholar] [CrossRef]
- Koltunov, K.Y.; Walspurger, S.; Sommer, J. Selective, C,C-Double Bond Reduction of α,β-Unsaturated Carbonyl Compounds with Cyclohexane Using Zeolites. J. Mol. Catal. A Chem. 2006, 245, 231–234. [Google Scholar] [CrossRef]
- Ye, J.; Li, J.; Sha, Y.; Xu, Y.; Zhou, D. Novel Reactive Distillation Process for Phenol Production with a Dry Cation Exchange Resin as the Catalyst. Ind. Eng. Chem. Res. 2014, 53, 12614–12621. [Google Scholar] [CrossRef]
- Huang, D.; Han, M.; Wang, J.; Jin, Y. Catalytic Decomposition Process of Cumene Hydroperoxide Using Sulfonic Resins as Catalyst. Chem. Eng. J. 2002, 88, 215–223. [Google Scholar] [CrossRef]
Publisher’s Note: MDPI stays neutral with regard to jurisdictional claims in published maps and institutional affiliations. |
© 2022 by the authors. Licensee MDPI, Basel, Switzerland. This article is an open access article distributed under the terms and conditions of the Creative Commons Attribution (CC BY) license (https://creativecommons.org/licenses/by/4.0/).


