Next Article in Journal
Heterogeneous Photocatalysis: A Solution for a Greener Earth
Previous Article in Journal
Evaluation of Fe2+/Peracetic Acid to Degrade Three Typical Refractory Pollutants of Textile Wastewater
 
 
Font Type:
Arial Georgia Verdana
Font Size:
Aa Aa Aa
Line Spacing:
Column Width:
Background:
Article

1,4-Butanediol Selective Dehydration to 3-Butene-1-ol over Ca–Zr–Sn Composite Oxide Catalysts

Air Environmental Modeling and Pollution Controlling Key Laboratory of Sichuan Higher Education Institutes, Chengdu University of Information Technology (CUIT), Chengdu 610225, China
*
Author to whom correspondence should be addressed.
Catalysts 2022, 12(7), 685; https://doi.org/10.3390/catal12070685
Submission received: 21 May 2022 / Revised: 12 June 2022 / Accepted: 20 June 2022 / Published: 23 June 2022
(This article belongs to the Section Catalysis in Organic and Polymer Chemistry)

Abstract

:
Ca–Zr–Sn composite oxides catalysts for 1,4-butanediol (BDO) selective dehydration to 3-butene-1-ol (BTO) are synthesized by impregnation and co-precipitation in the present work. The results show that Ca–Zr–Sn catalysts prepared from co-precipitation by using NaOH-Na2CO3 mixing alkali solution as precipitant exhibit an excellent catalytic property for BDO dehydration to BTO. For instance, Ca–Zr–Sn oxide with Ca/Zr and Sn/Zr molar ratio of 0.68 and 0.28 calcined at 650 °C gives a BDO conversion and BTO selectivity of about 97% and 82%, respectively, and exhibits no deactivation during 1000 h scale-up experimental testing. X-ray diffraction results indicate that catalytic active centers for BDO dehydration to BTO are from Ca0.15Zr0.85O crystal phase. NH3- and CO2-temperature programmed desorption prove that the surface of obtained catalysts can provide a large amount of acid and base sites simultaneously. FT-IR spectra of pyridine-adsorbed samples show that acid sites on the surface of Ca–Zr–Sn oxide catalyst mainly exist in a state of Lewis acid, which activates terminal -OH groups of BDO molecule through complexing. The activated -OH interacts with β-H activated on base sites O2− anions relative to Ca species, thereby the CH2=CH- bonds are produced through dehydration to form BTO.

1. Introduction

1,4-butanediol (BDO) containing two hydroxyl groups is an important platform chemical and has been widely applied in the production of tetrahydrofuran (THF), γ-butyrolactone (GBL), polybutylene terephthalate (PBT), polyurethane (PU), and so on [1,2,3,4]. Recently, BDO has been found to be converted to 3-butene-1-ol (BTO) through selective dehydration over metal oxide catalysts such as CeO2 [5] and ZrO2 [6,7,8]. BTO is a valuable intermediate due to the presence of a reactive double bond and hydroxyl group; it can be used in the synthesis of heterocyclic drugs such as multidrug resistant compounds, anti-HIV drugs, and antiproliferative agents [9,10,11,12]. Therefore, BDO catalytic selective dehydration to BTO has attracted increasing attention with regards to exploiting a high value-added downstream derivative of BDO [13,14,15,16].
Over solid acid catalysts such as SiO2-Al2O3, Al2O3, cation exchange resin, and heteropoly acids [5,17,18], two terminal -OH groups in BDO can be activated simultaneously, and thereby the cyclo-dehydration to THF easily takes place. Therefore, some metal oxides containing acid–base sites such as rare earth oxides (REO) [19,20] and ZrO2 [8] are selected for catalytic BDO selective dehydration of BTO. However, due to the fact that acid–base properties of these mono-component metal oxides are too poor, these catalysts give a low BDO conversion and BTO selectivity. Some researchers have introduced alkali metal Na or alkali earth metal Ca into ZrO2 by impregnation in order to improve its catalytic properties in BDO dehydration to BTO [8,13]. It has been found that the selectivity towards BTO can be improved to over 70 mol%. For instance, CaO with a strong basicity and ZrO2 with more base sites are simultaneously loaded on m-ZrO2 as a support by using impregnation; CaO-ZrO2 catalyst with acid–base sites generated by Ca-O-Zr hetero-linkage has been obtained after calcination at above 800 °C. Over the obtained catalyst, the BTO yield in BDO dehydration reaction reaches up to about 83% [3]. It has been thought that the acid sites interact with the terminal hydroxyl groups of BDO, while the basic sites activate the β-H during reaction process.
In the present work, ZrO2 and CaO are selected to act as important active species providing acid and base centers, respectively. Sn is introduced as the promoter to synthesize Ca–Zr–Sn composite oxides with an excellent acid–base property by using co-precipitation. Meanwhile, the effect of the introduced Ca and Sn amount on the base–base and catalytic property of Ca–Zr–Sn composite oxides in BDO selective dehydration to BTO are also investigated. In addition, combined with XRD, N2-adsorption/desorption, NH3-TPD and CO2-TPD results, the in-situ DRIFTS and pyridine adsorption IR techniques are introduced in order to explore the dehydration mechanism of BDO to BTO.

2. Results and Discussion

2.1. Selection of Preparation Method

BDO catalytic dehydration can produce two possible products including THF and BTO through cyclo-dehydration and loss of terminal hydroxyl group (see Scheme 1), respectively. From BDO catalytic dehydration of four obtained catalysts (Figure 1), it is found that BDO conversion and BTO selectivity over both Ca1.2ZrSn0.4-OH and Ca1.2ZrSn0.4-M give higher values than those over Ca1.2Sn0.4/ZrO2, showing that Ca–Zr–Sn composite metal oxides from co-precipitation exhibit more excellent catalytic property in BDO selective dehydration to BTO than that obtained by impregnation. Simultaneously, Ca–Zr–Sn composite oxide obtained by using NaOH-Na2CO3 as a precipitant is also discovered to exhibit higher BDO conversion and BTO yield than that prepared by NaOH precipitation. Therefore, co-precipitation by using NaOH-Na2CO3 mixing alkali solution as a precipitant should be the best method for preparing Ca–Zr–Sn composite oxide with an excellent catalytic property for BDO selective dehydration to BTO. Meanwhile, the composition of metallic elements in the Ca–Zr–Sn composite oxide catalyst is also discovered to play an important role on its catalytic property for BTO production.
XRD pattern of catalysts (Figure 2) from three methods show that the supported catalyst Ca1.2Sn0.4/ZrO2 gives obvious characteristic diffraction peaks attributed to monoclinic ZrO2 [13] phase (pdf No. 74-1200) at 2θ of 17.6°, 24.2°, 28.4°, 34.4°, 41.1°, 49.5°, and 50.4°, respectively. Meanwhile, some weak diffraction peaks attributed to perovskite compounds such as CaZrO3 (pdf No. 35-790) and CaSnO3 (pdf No. 24-1074) at 2θ of 22.5°, 31.7°, 45.3°, and 55.6°, and even Ca0.15Zr0.85O (pdf No.: 26-341) species at 2θ of 30.3° and 65.9° are also discovered, indicating that the introduced Ca species can react with support ZrO2 to form CaZrO3 and Ca0.15Zr0.85O species, and also interacts with supported Sn to CaSnO3 during catalyst calcination after impregnation. For the Ca1.2ZrSn0.4-OH sample made from co-precipitation using NaOH as the precipitating agent, no diffraction peaks for CaSnO3 and ZrO2 phase are detected. However, intensities of those peaks attributed to the Ca0.15Zr0.85O crystal become stronger, along with some weak CaZrO3 diffraction signals. Meanwhile, Ca1.2ZrSn0.4-M prepared by using NaOH-Na2CO3 mixing alkali solution as precipitant gives some diffraction peaks attributed to CaCO3 phase (pdf No. 85-1108) at 2θ of 23.1°, 29.5°, 36.0°, 39.6°, 43.3°, 47.7°, and 48.7°, respectively. These illustrate that the formed hydroxides of Ca, Zr, and Sn in catalyst precursors prepared by using NaOH or NaOH-Na2CO3 mixing alkali precipitant can interact to form Ca0.15Zr0.85O and CaZrO3 phase during calcination at 650 °C in air. However, the CaCO3 formed from mixing alkali precipitant is difficultly decomposed.
Their catalytic properties in BDO dehydration to BTO (Figure 1) indicate that both BDO conversion and BTO selectivity are generally found to increase as the following catalyst order: Ca1.2Sn0.4/ZrO2 < Ca1.2ZrSn0.4-OH < Ca1.2ZrSn0.4-M. Combined with XRD results, it is not difficult to deduce that the main catalytic active phase should be Ca0.15Zr0.85O for BDO selective dehydration to BTO. Meanwhile, the Ca0.8ZrSn0.4-M sample is found in Figure 1 to exhibit higher BDO conversion and BTO selectivity than Ca1.2ZrSn0.4-M, showing the content of Ca in Ca–Zr–Sn composite metal oxide catalyst plays an important role on BDO selective dehydration. As is well known, during catalysts preparation, Ca ions can convert hydroxides and carbonates of calcium when NaOH-Na2CO3 mixed alkali solution is used as a precipitant. Two precursors will interact with Zr species to the Ca0.15Zr0.85O crystal phase after calcination. From Figure 2, it is found that Ca1.2ZrSn0.4-M consists of CaCO3 besides Ca0.15Zr0.85O, indicating that the formed CaCO3 from excess Ca during precipitation is stable, and difficultly decomposed or converted to Ca–Zr composite oxides. This will exhibit a negative effect on the distribution of acid–base sites, resulting in a low catalytic activity in BDO selective dehydration. Therefore, the two key factors for the formation of the Ca0.15Zr0.85O crystal phase including calcination temperature and Ca/Zr molar ratio should be further investigated in the following work.

2.2. Calcination Temperature

From XRD patterns (Figure 3) of Ca0.8ZrSn0.4-M calcined at different calcination temperatures, it can be clearly found that the sample calcined at 450 °C has no obvious diffraction signals, indicating that the formed CaCO3 and metal composite oxides of Ca, Zr, and Sn mainly exist in the amorphous phase state. When the calcination temperature reaches 650 °C, catalytic active phase Ca0.15Zr0.85O crystal species are formed along with CaCO3. With further increase in calcination temperature, the diffraction peaks characteristic of Ca0.15Zr0.85O become weaker, and those attributed to CaCO3 disappear. In contrast, diffraction signals characteristic of CaZrO3 or CaSnO3 become stronger. It shows that calcination temperatures that are too high easily lead to CaCO3 decomposition and Ca0.15Zr0.85O crystal conversion to perovskite CaZrO3. Meanwhile, the interaction of metal oxides including Ca and Sn to perovskite CaSnO3 also takes place under a high calcination temperature.
From the catalytic properties of Ca0.8ZrSn0.4-M calcined at different temperature (Figure 4), BDO is mainly converted to THF over Ca0.8ZrSn0.4-M catalyst calcined at 450 °C. It indicates that cyclodehydration mainly occurs through two terminal -OH groups in BDO over amorphous metallic oxides phase of Ca–Zr–Sn catalysts. When the calcination temperature is increased to 650 °C, the obtained Ca–Zr–Sn composite oxide sample exhibits a good catalytic property in BDO selective dehydration with an increasing BDO conversion and BTO selectivity, and the formation of THF is drastically inhibited. This is perhaps because the right calcination temperature leads to the formation of more Ca0.15Zr0.85O crystal phase, which can provide a proper amount of acid and base sites, simultaneously. The activation of terminal -OH group and its adjacent β-H of BDO easily occurs on acid and base sites provided by the Ca0.15Zr0.85O crystal phase, respectively. This can result in the formation of C=C through selective dehydration [3]. Moreover, the presence of acid–base sites weakens the simultaneous activation of two terminal -OH groups in the BDO molecule, inhibiting the cyclo-dehydration reaction to THF. Calcination temperatures that are too high give rise to the conversion of Ca0.15Zr0.85O crystal to CaZrO3, which perhaps only provides acid centers, along with a disappearance of base sites [21]. The simultaneous activation of two terminal -OH groups in BDO molecules over acid sites easily take places, resulting in an increase in THF selectivity through cyclo-dehydration reaction.

2.3. Ca Function

Figure 5 depicts XRD patterns of CaxZrSn0.4-M with different Ca/Zr molar ratio prepared from co-precipitation by using Na2CO3-NaOH mixing alkali as a precipitant and calcined at 650 °C. It can be clearly discovered that Ca–Zr–Sn composite metal oxide catalysts only contain the Ca0.15Zr0.85O crystal phase when the Ca/Zr molar ratio is below 0.52. With the further increase in Ca content, a new crystal phase of CaCO3 comes forth in samples. When the Ca/Zr molar ratio exceeds 1.2, the formation of perovskite CaZrO3 besides CaCO3 is found, perhaps due to the interaction between redundant Ca species and Zr oxide.
The catalytic properties (Figure 6) of CaxZrSn0.4-M catalysts in BDO dehydration clearly indicate that both BDO conversion and BTO selectivity increase, and selectivity of by-products including THF, γ-butyrolactone, 1-butanol, 2-buten-1-ol, 1,3-butadiene, and so on decrease with an increasing Ca content. When the Ca/Zr molar ratio reaches up to 0.68, the obtained Ca–Zr–Sn composite metal oxide catalyst exhibits the highest BDO conversion and BTO selectivity, with values of about 91.7 mol% and 78.9 mol%, respectively. Meanwhile, it also gives the lowest selectivity towards by-products. However, further increase in the Ca content in the metal oxide catalyst makes BDO conversion and BTO selectivity decrease, and gives an increase in selectivity towards by-products.
From the N2 adsorption/desorption results (see Table 1), the presence of Ca is found to make Ca–Zr–Sn composite oxides exhibit a bigger surface area and pore volume, which can improve the contact chance of reactant BDO with catalytic sites over catalysts. CO2-TPD results (Figure S1 in Supplementary Materials (SI)) show that the obtained Ca–Zr–Sn composite oxides mainly give three CO2-desorption peaks at about 78 °C, 490 °C, and 610 °C, which are attributed to weak, medium-strong, and strong base sites, respectively. From Table 1 and Figure S1, it is clearly found that the amount of weak base sites over Ca–Zr–Sn composite oxide catalysts increases with the increasing Ca content. When the Ca/Zr molar ratio is below 0.52, the obtained metal oxide catalysts do not provide medium–strong and strong base sites, which are formed and increase in number with the increasing Ca content when Ca/Zr > 0.6. From XRD results (Figure 5), when Ca/Zr < 0.6, Ca–Zr–Sn composite oxides (CaxZrSn0.4-M) only contain a Ca0.15Zr0.85O crystal phase with a Ca/Zr molar ratio of about 0.176. This indicates that the redundant Ca species perhaps incorporate into Sn oxides to form amorphous CaSnO3. Both Ca0.15Zr0.85O crystals and amorphous CaSnO3 species only provide weak base sites. When Ca content further increases, amorphous CaO species, which can provide medium–strong and strong base sites, are produced besides Ca0.15Zr0.85O crystal and amorphous CaSnO3 over the surface of catalysts. The presence of more Ca species is helpful to the formation of perovskite CaZrO3 and also produces undecomposable CaCO3 during co-precipitation. Therefore, it can be concluded that Ca0.15Zr0.85O crystal mainly provides weak base sites, and the coexistence of Ca0.15Zr0.85O crystal and amorphous CaO species is helpful to the formation of more medium–strong and strong base sites.
NH3-TPD results (Figure S2 in SI) of CaxZrSn0.4-M with a different Ca content are found to also exhibit a similar trend to CO2-TPD results. It shows that catalytic active species Ca0.15Zr0.85O crystal phase mainly provide weak acid sites. The introduction of more Ca can result in the distortion of the Ca0.15Zr0.85O crystal phase, which will provide more and more medium–strong and strong acid sites. The simultaneous presence of acid and base sites with medium–strong and strong intensity makes Ca–Zr–Sn composite oxides exhibit an excellent catalytic property towards BDO selective dehydration to BTO. It indicates that BDO selective dehydration to BTO is achieved through acid–base catalysis.

2.4. Sn Function

From XRD patterns (Figure 7) of Ca0.68ZrSnx-M metal oxides with a different Sn content calcined at 650 °C, the samples are clearly observed to mainly contain the CaCO3 and Ca0.15Zr0.85O phase. However, no obvious diffraction signals assigned to Sn oxides, CaZrO3, Zr-Sn, or Ca-Sn composite oxides are detected. With the increase in Sn content, the intensity of diffraction signals attributed to CaCO3 is weakened, and that of those assigned to Ca0.15Zr0.85O crystal phase is gradually increased. This is mainly due to the introduced Sn species being converted to amorphous CaSnO3 through the interaction with Ca [22]. The presence of Sn can also be concluded to promote the formation of Ca0.15Zr0.85O and inhibit the further conversion of Ca0.15Zr0.85O to CaZrO3.
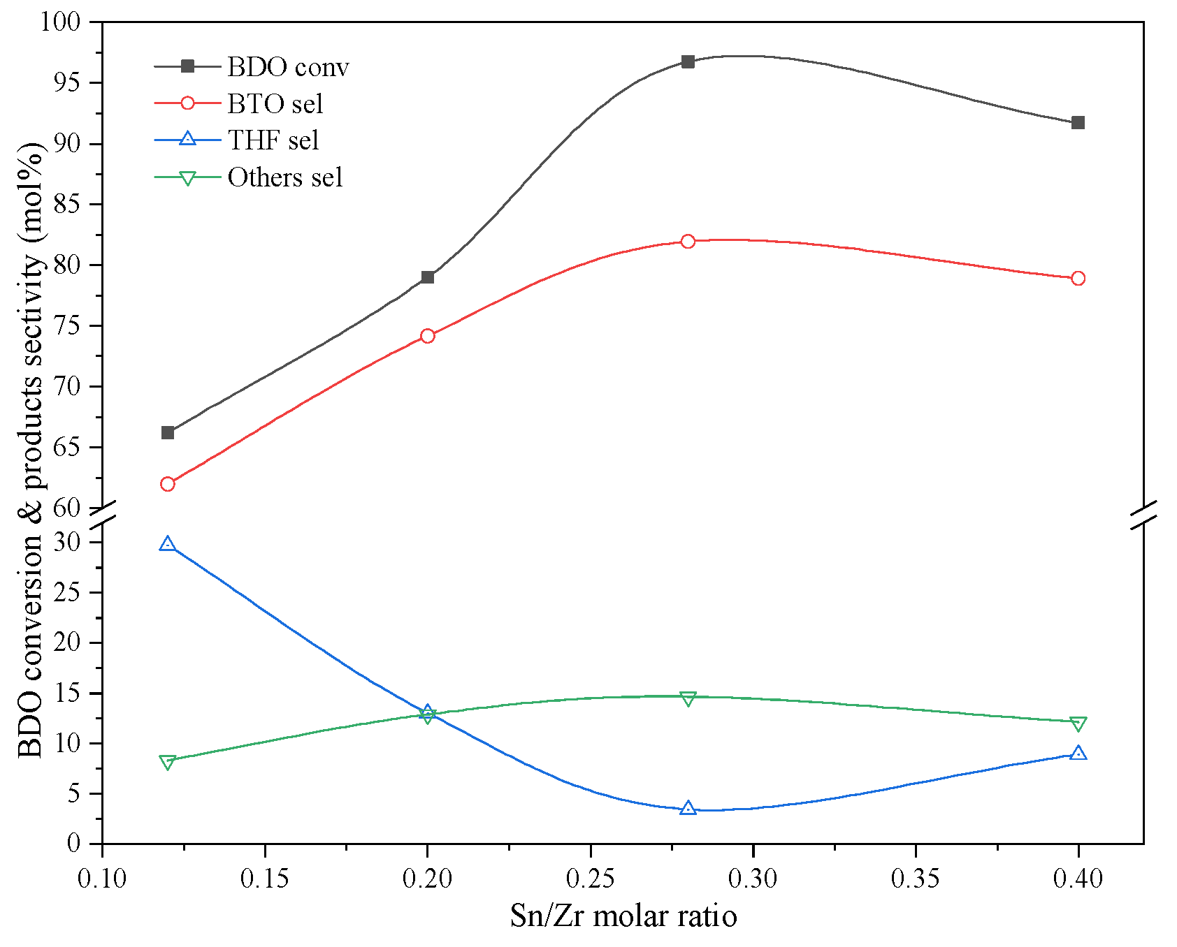
The catalytic properties of Ca0.68ZrSnx-M with a different Sn content in BDO dehydration (Figure 8) show that both BDO conversion and BTO selectivity first increase and then decrease with an increasing Sn amount, and reach up to the highest values when the Sn/Zr molar ratio is 0.28. According to the above XRD results, the presence of proper Sn leads to the formation of catalytic active sites Ca0.15Zr0.85O, and further promotes the Ca0.15Zr0.85O crystal phase to provide proper amounts of acid–base sites. From CO2-TPD and NH3-TPD results, the increase in the introduced Sn amount into catalysts can greatly increase the amounts of acid–base sites, especially medium–strong and strong acid–base sites over the catalyst surface (see Table 2). It further shows that the medium–strong and strong acid–base sites provided by the Ca0.15Zr0.85O phase act as the catalytic sites for BDO dehydration. From the NH3-TPD curves (Figure S4 in Supplementary Materials) of Ca0.68ZrSnx-M with different Sn amounts, it is clear that the introduction of Sn species makes the NH3-desorption peaks provided by medium–strong and strong acid sites exhibit stronger signals and shift to a higher temperature, indicating that its increase in acidity.
Combined with catalytic results, BDO dehydration is further concluded to mainly occur on the acid–base sites. The terminal -OH groups in BDO molecules are easily activated by medium–strong and strong acid sites. Meanwhile, the activation of H located on the β-CH2 group easily carries out on medium–strong and strong base sites. These are helpful to BDO selective dehydration to BTO. However, catalytic active sites with an acidity that is too strong can simultaneously activate two terminal -OH groups of BDO, leading to the increase in cyclo-dehydration to THF. Moreover, the obtained Ca0.68ZrSn0.28-M is also found from Figure 9 to exhibit a good catalytic stability with no deactivation in BDO selective to BTO after the 1000 h catalytic life scale-up test. BDO conversion and BTO selectivity can keep about 92% and 82%, respectively.

2.5. Mechanism of BDO Dehydration to BTO

FT-IR spectra of adsorbed pyridine on Ca–Zr–Sn composite oxides with different Ca and Sn contents (Figure 10a,b) only feature the adsorption band at about 1440 cm−1, which is assigned to the contribution of the Lewis acid sites over the catalyst surface [23,24,25]. Meanwhile, it is found that the intensity of the adsorption band decreases with the increasing Ca or Sn content. When the content of Ca or Sn is low, the obtained catalysts mainly contain amorphous Zr oxides, producing more Lewis acid sites. The introduced Ca species can interact with amorphous Zr oxides to form the Ca0.15Zr0.85O crystal phase (see above XRD results), which can also be improved by the introduction of Sn species. The produced Lewis acid sites easily activate the terminal -OH groups through complexing with O atom located in -OH of BDO. Moreover, the presence of Ca elements in the Ca0.15Zr0.85O crystal phase can produce base sites composing of surface O2− anions [26,27], which can activate H located in β-CH2 of BDO. The activated terminal -OH groups over acid sites interact with β-H activated by base sites to form BTO, as ascribed in Scheme 2.
From DRIFTS of BDO adsorbed on the Ca0.68ZrSn0.28-M catalyst, two strong adsorption bands at about 3692 and 3702 cm−1 (see Figure 11a) are observed for samples after adsorbing BDO at 40 °C. They are assigned to the stretching vibration of intermediate species from the -OH groups of BDO activated on Lewis acid sites of the catalyst surface [16,28,29,30]. When adsorption temperature is increased to 300 or 380 °C, the intensity of both adsorption bands weakens. This is perhaps due to the occurrence of dehydration to BTO through the interaction between -OH and adjacent β-H at a high temperature. There are some weak adsorption bands at 3734, 3739, and 3750 cm−1, respectively. These can be assigned to the stretching vibration of the isolated -OH groups of the formed BTO [28,29]. Moreover, when adsorption temperature reaches up to above 300 °C, two adsorption bands at about 2852 and 2920 cm−1 (Figure 11b) assigned to the C–H asymmetrical and symmetrical stretching vibration of α-CH2 and β-CH2 of adsorbed BDO [16] disappear, and new weak bands appear, including those attributed to the C-H asymmetrical and symmetrical stretching vibration of -CH=CH2 (3006 and 3029 cm−1 in Figure 11b) and -CH2- (2870 cm−1 in Figure 11b) of the formed BTO [16]. More importantly, an obvious positive adsorption band also appears and becomes stronger at 873 cm−1 (Figure 11c) with an increasing adsorption temperature, which is assigned to the rocking vibration H-C located on -HC=CH2 olefinic bond surface [30]. All evidences indicates that BDO selective dehydration takes place through the interaction of terminal -OH groups and their adjacent β-H to olefinic compounds.

3. Materials and Methods

3.1. Catalysts Preparation

Ca–Zr–Sn composite oxide catalysts were prepared by using co-precipitation in the present work. All used chemical regents including calcium nitrate tetrahydrate (Ca(NO3)2·4H2O), basic zirconium carbonate (Zr(OH)2CO3), tin (IV), and chloride pentahydrate (SnCl4·5H2O) were purchased from Shanghai Aladdin Bio-Chem Technology Co., Ltd., Shanghai, China. Basic zirconium carbonate was first converted to zirconium nitrate salt by using 63% concentrated nitric acid and diluted by an amount of distilled water. Ca(NO3)2·4H2O and SnCl4·5H2O were then dissolved successively in the zirconium salt solution obtained above. The total concentration of metallic ions was controlled to 1 mol·L−1. Under drastic stirring, the metallic ions solution and mixed alkali solution containing 0.2 mol·L−1 Na2CO3 and 1 mol·L−1 NaOH as precipitant were simultaneously added dropwise into a 5 L reactor containing 200 mL water for co-precipitation. The temperature and pH value of the co-precipitation slurry solution were controlled to 70 °C and 8.5, respectively. After finishing, the slurry solution was aged at 70 °C for 12 h and then filtered and washed with distilled water. The obtained filtered cash was dried at 60 °C and calcined at a desired temperature in air for 6 h. The obtained Ca–Zr–Sn composite oxide catalysts were denoted as CaxZrSny-M, wherein x and y represented the molar ratio of Ca and Sn relative to Zr, respectively. For comparison, another Ca–Zr–Sn composite oxide denoted as Ca1.2ZrSn0.4-OH was prepared by using 1 mol·L−1 NaOH aqueous solution as precipitant according to the same method. Additionally, the supported catalyst Ca1.2-Sn0.4/ZrO2 was prepared by incipient wetness impregnation as following: 50 g ZrO2 are impregnated by using about 60 mL aqueous solution containing 0.488 mol Ca(NO3)2 and 0.163 mol SnCl4. The obtained sample was dried at 110 °C and then calcined at 650 °C for 6 h in air. The support ZrO2 was obtained from the decomposition of basic zirconium carbonate through calcination at 500 °C in air.

3.2. Catalysts Characterization

N2-adsorption/desorption of catalysts were carried out on an SSA-4200 aperture analysis device (Beijing Builder Instrument Co. Ltd., Beijing, China) at −196 °C. The specific surface area of the sample was calculated by the BET method according to N2-adsorption isotherm. Pore volume and average pore diameter were calculated by BJH method according to desorption isotherm. X-ray diffraction patterns (XRD) were recorded on a DX-2700BH (Dandong Haoyuan Instrument Co., Ltd., Dandong, China) using Cu Kα radiation (λ = 0.154056 nm) to detect the crystal structure of the samples. The tube voltage and current were 40 kV and 30 mA, respectively.
Temperature-programmed desorption of NH3 and CO2 profiles were collected on a Builder PCA-1200 chemisorption apparatus (Beijing Builder Instrument Co. Ltd., Beijing, China) and were measured to estimate the acidity and basicity of the catalysts, respectively. 100 mg sample was preheated at 650 °C for 1 h in a 30 mL·min−1 He flow. During adsorption, the adsorption gas used was 30 mL·min−1 5%NH3-95%N2 mixed gas and pure CO2 for NH3 and CO2-TPD, respectively. The adsorption temperature and time were room temperature and 0.5 h, respectively. For desorption, the sample was heated from room temperature to 650 °C at a heating rate of 10 °C·min−1 under a 30 mL·min−1 He flow. The desorbed molecules were monitored by a thermal conductivity detector (TCD).
In situ diffuse reflectance infrared Fourier transform spectroscopy (in situ DRIFTS) of catalysts were performed on a Nicolet iS50 spectrometer (Thermo Scientific, Waltham, MA, USA) equipped with a diffuse IR reflectance accessory, which consists of a heat chamber, DRIFT cell with KBr window, and an MCT/A detector. All spectra were collected in Kubelka-Munk units and were averaged over 32 scans at 4 cm−1 resolution at a desired temperature. In a typical process, a sample pellet was placed in a DRIFTS cell, heated to 500 °C in a 30 mL·min−1 Ar flow, and kept for 1 h. Then, the temperature was controlled to a desired value under Ar flow. After stabilization, the background spectrum was collected. BDO was introduced by bubbling with a 30 mL·min−1 Ar flow into sample cell, and the spectra were recorded every 30 s at the corresponding temperature, simultaneously. The FT-IR spectra of pyridine-adsorbed catalysts was collected according to the similar method at room temperature.

3.3. Catalytic Test

BDO dehydration was carried out in a fixed-bed continuous reactor under atmospheric pressure with a 60 mL·min−1 N2 as balance gas at 380 °C and BDO LHSV 2 h−1. For a typical procedure, 15 g catalysts were sandwiched by quartz sand in a stainless tube reactor (i.d. 2 cm) and pretreated for 1 h at 380 °C in a 60 mL·min−1 N2 flow. The introduction of BDO with a liquid flow of 30 mL·min−1 was through pumping by a HPLC pump. The reacted mixture was collected by cooling through a water condenser. For the scale-up experimental, catalyst weight, BDO liquid flow, and balance gas N2 flow were 300 g, 600 mL·h−1, and 600 mL·min−1, respectively. The un-converted BDO, target product BTO, by-products including tetrahydrofuran THF, and others in the collected mixture were analyzed by gas chromatography (GC) equipped with a DB-5 capillary column (30 m × 0.32 mm × 0.5 μm) and flame ionization detector (FID). BDO conversion, selectivity towards target product BTO, and by-products were calculated according to GC analysis results of the reaction mixture.

4. Conclusions

Co-precipitation by using NaOH-Na2CO3 mixing alkali solution as precipitant is the best methods for preparation of Ca–Zr–Sn composite oxide catalysts for BDO selective dehydration to BTO. The Ca0.15Zr0.85O crystal phase Ca–Zr–Sn composite oxide is proved to be a catalytic active species for BTO production. The introduction of Sn is helpful to the formation of the Ca0.15Zr0.85O crystal phase from the solid reaction between amorphous CaCO3 and Zr hydroxides during calcination. Overall, 650 °C is an optimum calcination temperature for the formation of Ca0.15Zr0.85O, which can be further converted to CaZrO3 at a higher temperature. The catalytic active species Ca0.15Zr0.85O can simultaneous provide acid and base sites, which activate the terminal -OH and its adjacent β-H of BDO molecules, respectively. In situ IR results show that the activation of terminal -OH group mainly occurs on the Lewis acid sites. β-H activation takes place on the base sites composing of O2− anions provided by Ca species.

Supplementary Materials

The following are available online at https://www.mdpi.com/article/10.3390/catal12070685/s1, Figure S1: CO2-TPD profiles of CaxZr1Sn0.4-M catalysts calcined at 650 °C, Figure S2: NH3-TPD profiles of CaxZr1Sn0.4-M catalysts calcined at 650 °C; Figure S3: CO2-TPD profiles of Ca0.68ZrSnx-M catalysts calcined at 650 °C; Figure S4: NH3-TPD profiles of Ca0.68ZrSnx-M catalysts calcined at 650 °C.

Author Contributions

Methodology, C.-H.X.; investigation, H.D., F.-L.Y., L.D. and L.W.; writing—original draft preparation, H.D. and F.-L.Y.; writing—review and editing, C.-L.L. and W.-J.C.; supervision, C.-H.X. All authors have read and agreed to the published version of the manuscript.

Funding

This research was funded by Key Projects from Department of Science and Technology of Shaanxi Province (2019ZDLGY06-06) and International Corporation Projects from Department of Science and Technology of Sichuan Province (2020YFH0133).

Data Availability Statement

Data is contained within the article or Supplementary Material.

Acknowledgments

We would like to thank Jie Liu and Hong Ren for their help with suggestion on writing.

Conflicts of Interest

The authors declare no conflict of interest.

References

  1. Takagaki, A. Kinetic analysis of aqueous-phase cyclodehydration of 1,4-butanediol and erythritol over a layered niobium molybdate solid acid. Catal. Sci. Technol. 2016, 6, 791–799. [Google Scholar] [CrossRef]
  2. Bhanushali, J.T.; Prasad, D.; Patil, K.N.; Reddy, K.S.; Rao, K.S.R.; Jadhav, A.H.; Nagaraja, B.M. Simultaneous dehydrogenation of 1,4-butanediol to γ-butyrolactone and hydrogenation of benzaldehyde to benzyl alcohol mediated over competent CeO2-Al2O3 supported Cu as catalyst. Int. J. Hydrogen Energy 2020, 45, 12874–12888. [Google Scholar] [CrossRef]
  3. Duan, H.L.; Hirota, T.; Ohtsuka, S.; Yamada, Y.; Sato, S. Vapor-phase catalytic dehydration of 1,4-butanediol to 3-buten-1-ol over modified ZrO2 catalysts. Appl. Catal. A 2017, 535, 9–16. [Google Scholar] [CrossRef]
  4. Bhanushalia, J.T.; Prasada, D.; Patil, K.N.; Reddy, K.S.; Kainthla, I.; Rao, K.S.R.; Jadhav, A.H.; Nagaraja, B.M. Tailoring the catalytic activity of basic mesoporous Cu/CeO2 catalyst by Al2O3 for selective lactonization and dehydrogenation of 1,4-butanediol to γ-butyrolactone. Catal. Commun. 2020, 143, 106049. [Google Scholar] [CrossRef]
  5. Sato, S.; Takahashi, R.; Sodesawa, T.; Yamamoto, N. Dehydration of 1,4-butanediol into 3-buten-1-ol catalyzed by ceria. Catal. Commun. 2004, 5, 397–400. [Google Scholar] [CrossRef]
  6. Igarashi, A.; Ichikawa, N.; Sato, S.; Takahashi, R.; Sodesawa, T. Dehydration of butanediols over CeO2 catalysts with different particle sizes. Appl. Catal. A 2006, 300, 50–57. [Google Scholar] [CrossRef]
  7. Yamamoto, N.; Sato, S.; Takahashi, R.; Inui, K. Synthesis of homoallyl alcohol from 1,4-butanediol over ZrO2 catalyst. Catal. Commun. 2005, 6, 480–484. [Google Scholar] [CrossRef]
  8. Yamamoto, N.; Sato, S.; Takahashi, R.; Inui, K. Synthesis of 3-buten-1-ol from 1,4-butanediol over ZrO2 catalyst. J. Mol. Catal. A 2006, 243, 52–59. [Google Scholar] [CrossRef]
  9. Magnin-Lachaux, M.; Tan, Z.; Liang, B.; Negishi, E.I. Efficient and selective synthesis of siphonarienolone and related reduced polypropionates via Zr-catalyzed asymmetric carboalumination. Org. Lett. 2004, 6, 1425–1427. [Google Scholar] [CrossRef]
  10. Min, T.; Yi, B.X.; Zhang, P.; Liu, J.; Zhang, C.; Zhou, H.P. Novel furoxan NO-donor pemetrexed derivatives: Design, synthesis, and preliminary biological evaluation. Med. Chem. Res. 2009, 18, 495–510. [Google Scholar] [CrossRef]
  11. Michalak, O.; Gruza, M.M.; Witkowska, A.; Bujak, I.; Cmoch, P. Synthesis and physicochemical characterization of the impurities of pemetrexed disodium, an anticancer drug. Molecules 2015, 20, 10004–10031. [Google Scholar] [CrossRef] [PubMed] [Green Version]
  12. Qi, H.; Wen, J.; Li, L.; Bai, R.; Chen, L.; Wang, D. An efficient synthesis of pemetrexed disodium. J. Heterocycl. Chem. 2014, 52, 1565–1569. [Google Scholar] [CrossRef]
  13. Zhang, Q.; Zhang, Y.; Li, H.T.; Gao, C.G.; Zhao, Y.X. Heterogeneous CaO-ZrO2 acid-base bifunctional catalysts for vapor-phase selective dehydration of 1,4-butanediol to 3-buten-1-ol. Appl. Catal. A 2013, 466, 233–239. [Google Scholar] [CrossRef]
  14. Sato, S.; Takahashi, R.; Yamamoto, N.; Kaneko, E.; Inoue, H. Vapor-phase dehydration of 1,5-pentanediol into 4-penten-1-ol. Appl. Catal. A 2008, 334, 84–91. [Google Scholar] [CrossRef]
  15. He, Y.Y.; Li, Q.B.; Wang, Y.Z.; Zhao, Y.X. Selective catalytic dehydration of 1,4-butanediol to 3-buten-1-ol over CeO2 with different morphology. Chin. J. Catal. 2010, 31, 619–622. [Google Scholar] [CrossRef]
  16. Mi, R.L.; Hu, Z.; Yang, B.L. In situ DRIFTS for the mechanistic studies of 1,4-butanediol dehydration over Yb/Zr catalysts. J. Catal. 2019, 370, 138–151. [Google Scholar] [CrossRef]
  17. Vaidya, S.H.; Bhandari, V.M.; Chaudhari, R.V. Reaction kinetics studies on catalytic dehydration of 1,4-butanediol using cation exchange resin. Appl. Catal. A 2003, 242, 321–328. [Google Scholar] [CrossRef]
  18. Baba, T.; Ono, Y. Kinetic studies in liquid phase dehydration-cyclization of 1,4-butanediol to tetrahydrofuran with heteropoly acids. J. Mol. Catal. 1986, 37, 317–326. [Google Scholar] [CrossRef]
  19. Igarashi, A.; Sato, S.; Takahashi, R.; Sodesawa, T.; Kobune, M. Dehydration of 1,4-butanediol over lanthanide oxides. Catal. Commun. 2007, 8, 807–810. [Google Scholar] [CrossRef]
  20. Inoue, H.; Sato, S.; Takahashi, R.; Izawa, Y.; Ohno, H.; Takahashi, K. Dehydration of 1,4-butanediol over supported rare earth oxide catalysts. Appl. Catal. A 2009, 352, 66–73. [Google Scholar] [CrossRef]
  21. Zhao, C.J.; Zhou, Z.M.; Cheng, Z.M.; Fang, X.C. Sol-gel-derived, CaZrO3-stabilized Ni/CaO-CaZrO3 bifunctional catalyst for sorption-enhanced steam methane reforming. Appl. Catal. B. 2016, 196, 16–26. [Google Scholar] [CrossRef]
  22. Moshtaghi, S.; Gholamrezaei, S.; Niasari, M.S. Nano cube of CaSnO3: Facile and green co-precipitation synthesis, characterization and photocatalytic degradation of dye. J. Mol. Struct. 2017, 1134, 511–519. [Google Scholar] [CrossRef] [Green Version]
  23. Klein, S.; Thorimbert, S.; Maier, W.F. Amorphous microporous titania-silica mixed oxides: Preparation, characterization, and catalytic redox properties. J. Catal. 1996, 163, 476–488. [Google Scholar] [CrossRef]
  24. Nakabayashi, H. Properties of acid sites on TiO2-SiO2 and TiO2-Al2O3 mixed oxides measured by infrared spectroscopy. Bull. Chem. Soc. Jpn. 1992, 65, 914–916. [Google Scholar] [CrossRef]
  25. Miller, J.B.; Ko, E.I. Acidic properties of silica-containing mixed oxide aerogels: Preparation and characterization of zirconia-silica and comparison to titania-silica. J. Catal. 1996, 159, 58–68. [Google Scholar] [CrossRef]
  26. Sato, S.; Sato, F.; Gotoh, H.; Yamada, Y. Selective dehydration of alkanediols into unsaturated alcohols over rare earth oxide catalysts. ACS Catal. 2013, 3, 721–734. [Google Scholar] [CrossRef]
  27. Sato, S.; Takahashi, R.; Kobune, M.; Inoue, H.; Izawa, Y.; Ohno, H.; Takahashi, K. Dehydration of 1,4-butanediol over rare earth oxides. Appl. Catal. A 2009, 356, 64–71. [Google Scholar] [CrossRef]
  28. Yang, X.M.; Wei, Y.; Su, Y.L.; Zhou, L.P. Characterization of fused Fe-Cu based catalyst for higher alcohols synthesis and DRIFTS investigation of TPSR. Fuel Process. Technol. 2010, 91, 1168–1173. [Google Scholar] [CrossRef]
  29. Plyler, E.K. Infrared spectra of methanol, ethanol, and n-propanol. J. Res. Nat. Bur. Stand. 1952, 48, 281–286. [Google Scholar] [CrossRef]
  30. Bensitel, M.; Moravek, V.; Lamotte, J.; Saur, O.; Lavalley, J.C. Infrared study of alcohols adsorption on zirconium oxide: Reactivity of alkoxy species towards CO2. Spectrochim. Acta 1987, 43, 1487–1491. [Google Scholar] [CrossRef]
Scheme 1. Possible products of BDO catalytic dehydration.
Scheme 1. Possible products of BDO catalytic dehydration.
Catalysts 12 00685 sch001
Figure 1. Selective dehydration of BDO to BTO over Ca–Zr–Sn oxide catalysts. Catalyst calcined at 650 °C; BDO dehydration conditions: temperature 380 °C, catalyst weight 15.0 g (about 15 mL), BDO liquid feed rate 30 mL·h−1, balance gas N2 60 mL·min−1.
Figure 1. Selective dehydration of BDO to BTO over Ca–Zr–Sn oxide catalysts. Catalyst calcined at 650 °C; BDO dehydration conditions: temperature 380 °C, catalyst weight 15.0 g (about 15 mL), BDO liquid feed rate 30 mL·h−1, balance gas N2 60 mL·min−1.
Catalysts 12 00685 g001
Figure 2. XRD patterns of Ca–Zr–Sn oxide catalysts calcined at 650 °C.
Figure 2. XRD patterns of Ca–Zr–Sn oxide catalysts calcined at 650 °C.
Catalysts 12 00685 g002
Figure 3. XRD patterns of Ca0.8ZrSn0.4-M calcined at different temperature.
Figure 3. XRD patterns of Ca0.8ZrSn0.4-M calcined at different temperature.
Catalysts 12 00685 g003
Figure 4. Selective dehydration of BDO to BTO over Ca0.8ZrSn0.4-M calcined at different temperature. BDO dehydration conditions: temperature 380 °C, catalyst weight 15.0 g (about 15·mL), BDO liquid feed rate 30 mL·h−1, balance gas N2 60 mL·min−1.
Figure 4. Selective dehydration of BDO to BTO over Ca0.8ZrSn0.4-M calcined at different temperature. BDO dehydration conditions: temperature 380 °C, catalyst weight 15.0 g (about 15·mL), BDO liquid feed rate 30 mL·h−1, balance gas N2 60 mL·min−1.
Catalysts 12 00685 g004
Figure 5. XRD patterns of CaxZrSn0.4-M catalysts calcined at 650 °C.
Figure 5. XRD patterns of CaxZrSn0.4-M catalysts calcined at 650 °C.
Catalysts 12 00685 g005
Figure 6. Selective dehydration of BDO to BTO over CaxZrSn0.4-M catalysts calcined at 650 °C. BDO dehydration conditions: temperature 380 °C, catalyst weight 15.0 g (about 15·mL), BDO liquid feed rate 30 mL·h−1, balance gas N2 60 mL·min−1.
Figure 6. Selective dehydration of BDO to BTO over CaxZrSn0.4-M catalysts calcined at 650 °C. BDO dehydration conditions: temperature 380 °C, catalyst weight 15.0 g (about 15·mL), BDO liquid feed rate 30 mL·h−1, balance gas N2 60 mL·min−1.
Catalysts 12 00685 g006
Figure 7. XRD patterns of Ca0.68ZrSnx-M catalysts calcined at 650 °C.
Figure 7. XRD patterns of Ca0.68ZrSnx-M catalysts calcined at 650 °C.
Catalysts 12 00685 g007
Figure 8. Selective dehydration of BDO to BTO over Ca0.68ZrSnx-M catalysts calcined at 650 °C. BDO dehydration conditions: temperature 380 °C, catalyst weight 15.0 g (about 15·mL), BDO liquid feed rate 30 mL·h−1, balance gas N2 60 mL·min−1.
Figure 8. Selective dehydration of BDO to BTO over Ca0.68ZrSnx-M catalysts calcined at 650 °C. BDO dehydration conditions: temperature 380 °C, catalyst weight 15.0 g (about 15·mL), BDO liquid feed rate 30 mL·h−1, balance gas N2 60 mL·min−1.
Catalysts 12 00685 g008
Figure 9. Catalytic life of Ca0.68ZrSn0.28-M catalysts in scale-up experiment of BDO selective dehydration to BTO. BDO dehydration conditions: temperature 380 °C, catalyst weight 300 g (about 300·mL), BDO liquid feed rate 600 mL·h−1, balance gas N2 600 mL·min−1.
Figure 9. Catalytic life of Ca0.68ZrSn0.28-M catalysts in scale-up experiment of BDO selective dehydration to BTO. BDO dehydration conditions: temperature 380 °C, catalyst weight 300 g (about 300·mL), BDO liquid feed rate 600 mL·h−1, balance gas N2 600 mL·min−1.
Catalysts 12 00685 g009
Figure 10. FT-IR spectra of pyridine absorbed on pure CaxZrSn0.4-M (a) and Ca0.68ZrSnx-M (b) catalysts.
Figure 10. FT-IR spectra of pyridine absorbed on pure CaxZrSn0.4-M (a) and Ca0.68ZrSnx-M (b) catalysts.
Catalysts 12 00685 g010
Scheme 2. Possible dehydration pathway of BDO over Ca–Zr–Sn composite oxides.
Scheme 2. Possible dehydration pathway of BDO over Ca–Zr–Sn composite oxides.
Catalysts 12 00685 sch002
Figure 11. DRIFTS of BDO adsorbed on Ca0.68ZrSn0.28-M catalyst at different temperature at (a) 3650–3800 cm−1; (b) 2800–3050 cm−1; (c) 840–1200 cm−1.
Figure 11. DRIFTS of BDO adsorbed on Ca0.68ZrSn0.28-M catalyst at different temperature at (a) 3650–3800 cm−1; (b) 2800–3050 cm−1; (c) 840–1200 cm−1.
Catalysts 12 00685 g011
Table 1. Textural and acid–base properties of CaxZrSn0.4-M catalysts calcined at 650 °C.
Table 1. Textural and acid–base properties of CaxZrSn0.4-M catalysts calcined at 650 °C.
Ca/Zr
Molar Ratio
SBET
(m2·g−1)
VBJH
(cm3·g−1)
Dpore
(nm)
Acid Amount (μmol·g−1) aBase Amount (μmol·g−1) a
WeakMediumStrongWeakMediumStrong
0.43.770.0723.51187.2--294.3--
0.5211.130.1120.16210.5--313.2--
0.629.730.2516.85321.3238.5-342.1284.4-
0.6849.230.2610.21845.3934.7253.5367.8224.91718.3
0.857.240.329.44795.6999.5163.1381.2325.74306.6
1.269.240.287.9758.6210.8357.7923.2203.35040.6
a The amounts of acid and base sites on catalysts are derived from NH3-TPD and CO2-TPD analysis, which are expressed as the molar number of NH3 or CO2 molecules adsorbed per gram of catalyst.
Table 2. Textural and acid–base properties of Ca0.68ZrSnx-M catalysts calcined at 650 °C.
Table 2. Textural and acid–base properties of Ca0.68ZrSnx-M catalysts calcined at 650 °C.
Sn/Zr
Molar Ratio
SBET
(m2·g−1)
VBJH
(cm3·g−1)
Dpore
(nm)
Acid Amount (μmol·g−1) aBasic Amount (μmol·g−1) a
WeakMediumStrongWeakMediumStrong
0.1224.270.2115.68354.3163.5-298.4-39.8
0.249.230.2511.221213.4795.5-334.2-808.9
0.2849.590.2810.911352.3813.3318.8310.6120.51266.9
0.456.070.3110.211398.3934.7323.5273.5124.91718.3
a. The amounts of acid and base sites on catalysts are derived from NH3-TPD and CO2-TPD analysis, which are expressed as the molar number of NH3 or CO2 molecules adsorbed per gram of catalyst.
Publisher’s Note: MDPI stays neutral with regard to jurisdictional claims in published maps and institutional affiliations.

Share and Cite

MDPI and ACS Style

Dong, H.; Xu, C.-H.; Yang, F.-L.; Du, L.; Liu, C.-L.; Chen, W.-J.; Wang, L. 1,4-Butanediol Selective Dehydration to 3-Butene-1-ol over Ca–Zr–Sn Composite Oxide Catalysts. Catalysts 2022, 12, 685. https://doi.org/10.3390/catal12070685

AMA Style

Dong H, Xu C-H, Yang F-L, Du L, Liu C-L, Chen W-J, Wang L. 1,4-Butanediol Selective Dehydration to 3-Butene-1-ol over Ca–Zr–Sn Composite Oxide Catalysts. Catalysts. 2022; 12(7):685. https://doi.org/10.3390/catal12070685

Chicago/Turabian Style

Dong, Hao, Cheng-Hua Xu, Fang-Lu Yang, Lei Du, Chen-Long Liu, Wen-Jing Chen, and Lin Wang. 2022. "1,4-Butanediol Selective Dehydration to 3-Butene-1-ol over Ca–Zr–Sn Composite Oxide Catalysts" Catalysts 12, no. 7: 685. https://doi.org/10.3390/catal12070685

APA Style

Dong, H., Xu, C.-H., Yang, F.-L., Du, L., Liu, C.-L., Chen, W.-J., & Wang, L. (2022). 1,4-Butanediol Selective Dehydration to 3-Butene-1-ol over Ca–Zr–Sn Composite Oxide Catalysts. Catalysts, 12(7), 685. https://doi.org/10.3390/catal12070685

Note that from the first issue of 2016, this journal uses article numbers instead of page numbers. See further details here.

Article Metrics

Back to TopTop