Next Article in Journal
Photocatalytic Reactor as a Bridge to Link the Commercialization of Photocatalyst in Water and Air Purification
Next Article in Special Issue
Cu/Zn/Zr/Ga Catalyst for Utilisation of Carbon Dioxide to Methanol—Kinetic Equations
Previous Article in Journal
Biochemical Characterisation and Structure Determination of a Novel Cold-Active Proline Iminopeptidase from the Psychrophilic Yeast, Glaciozyma antarctica PI12
Previous Article in Special Issue
Biosynthesis of Pyrrole-2-carbaldehyde via Enzymatic CO2 Fixation
 
 
Font Type:
Arial Georgia Verdana
Font Size:
Aa Aa Aa
Line Spacing:
Column Width:
Background:
Article

Evaluating CO2 Desorption Activity of Tri-Solvent MEA + EAE + AMP with Various Commercial Solid Acid Catalysts

1
School of Energy and Power Engineering, University of Shanghai for Science and Technology, Shanghai 200093, China
2
School of Environment and Architecture, University of Shanghai for Science and Technology, Shanghai 200093, China
3
Huzhou Institute of Zhejiang University, Huzhou 313000, China
4
College of Environmental Science & Engineering, Tongji University, 1239 Siping Road, Shanghai 200092, China
5
Carbon Neutrality Institute, China University of Mining and Technology, Xuzhou 221008, China
*
Authors to whom correspondence should be addressed.
Catalysts 2022, 12(7), 723; https://doi.org/10.3390/catal12070723
Submission received: 4 June 2022 / Revised: 27 June 2022 / Accepted: 28 June 2022 / Published: 30 June 2022
(This article belongs to the Special Issue CO2 Catalytic Conversion and Utilization)

Abstract

:
The Paris Agreement and one of its goals, “carbon neutrality,” require intensive studies on CO2 absorption and desorption processes. When searching for ways of reducing the huge energy cost of CO2 desorption in the amine scrubbing process, the combination of blended amine with solid acid catalysts turned out to be a powerful solution in need of further investigation. In this study, the tri-solvent MEA (monoethanolamine) + EAE(2-(ethylamino)ethanol) + AMP(2-amino-2-methyl-1-propanol) was prepared at: 0.2 + 2 + 2, 0.5 + 2 + 2, 0.3 + 1.5 + 2.5 and 0.2 + 1 + 3 mol/L. The heterogeneous catalytic CO2 desorptions were tested with five commercial catalysts: blended γ-Al2O3/H-ZSM-5, H-beta, H-mordenite, HND-8 and HND-580. Desorption experiments were conducted via a recirculation process with direct heating at 363 K or using temperature programming method having a range of 303–363 K. Then, the average CO2 desorption rate, heat duty and desorption factors were studied. After comparison, the order of CO2 desorption performance was found to be HND-8 > HND-580 > H-mordenite > Hβ > blended γ-Al2O3/H-ZSM-5 > no catalyst. Among the other combinations, the 0.2 + 1 + 3 mol/L MEA + EAE + AMP with HND-8 had a minimized heat duty (HD) of 589.3 kJ/mol CO2 and the biggest desorption factor (DF) of 0.0277 × (10−3 mol CO2)3/L2 kJ min. This study provided a kind of tri-solvent with catalysts as an energy-efficient solution for CO2 absorption and desorption in industrial CO2 capture pilot plants.

1. Introduction

Effective CO2 capture, utilization and storage (CCUS) technology is potentially applicable in industry to reach the goals of “Carbon Peak by 2030” and “Carbon Neutrality by 2060”. As an integral part of CCUS technology, post-combustion carbon capture (PCCC) technology is widely applied in power plants, cement plants, etc., to mitigate CO2 emissions [1,2,3,4,5,6,7,8,9]. The huge energy costs of CO2 desorption in carbon capture, accounting for 70% of the overall costs, are a major challenge for PCCC technology [10,11,12,13,14]. This drawback inhibits the implication of PCCC technology, which is of the utmost importance to tackle, since energy-efficient methods are expected to be possible solutions. For decades, several methods have proven to be effective, including solvent improvement, process intensification [1] and heterogeneous catalysis [14].
For solvent improvement, a massive number of studies reported amine blends, mostly bi-blends and some tri-blends. The bi-blends were studied intensively for decades, and we reported 5–6 branches in 2021. The tri-blends of amine A + B + C just started to draw attention in 2016 [15,16,17,18,19,20,21,22,23,24,25]. Most tri-solvents were prepared with combinations of primary amines or secondary amines and tertiary amines or stereo hindered amines. They had the advantages of enhancing amine solutions’ adsorption-desorption performances, fast absorption rates, lower heat duty, the ability to compensate for defects under different operation conditions, and providing a wide operation range of (αlean–αrich) and cyclic capacity [26]. However, the methodology of preparing amine tri-blends A + B + C at different ratios was much more complicated than that of bi-blends A + B. For a tri-solvent system, primary amine selected as amine A was usually MEA to enhance CO2 absorption performance. MEA (monoethanol amine) was a commonly used amine, and 5.0 M MEA solvent was the benchmark for CO2 capture tests in the field. A tertiary amine or stereo hindered amine, such as MDEA, DEEA or AMP, was selected as amine C to enhance CO2 desorption performance. AMP is a strictly hindered amine which has very good CO2 desorption performance because of its low carbamate stability. AMP has been widely used in amine blends because of its high desorption factor [26]. Amine B, as a CO2 converter—A proton acceptor for absorption–desorption—Can be a secondary amine with moderate absorption or desorption abilities to enhance the cyclic capacity. EAE was considered a good candidate for a secondary amine, due to its higher activity of CO2 absorption and higher pKa. Its desorption is worse than that of DEA because of its stronger carbamate stability. The intrinsic reactions within tri-solvent are complicated, and the sophisticated mechanism results in tri-solvents’ overall absorption–desorption performance being better than that of individual amines added together. Thus, tri-solvents are quite attractive.
Table 1 lists a brief literature review, showing several tri-solvents published since 2016, mostly MEA + MDEA + PZ, MEA + AMP + PZ, MEA + BEA + AMP and the recently MEA + EAE + AMP. [15,16,17,18,19,20,21,22,23,24,25]. The tri-solvent MEA + EAE + AMP was published by the author’s research group recently [25]. MEA is an activator to enhance CO2 absorption, whereas AMP was selected to reduce energy costs of desorption. EAE, as a secondary amine, was used to lift the operation region of αlean to αrich and facilitate absorption. However, that study did not involve any catalyst, and the amine concentration was fixed at 2.0 mol/L for EAE and AMP, with a narrow range of MEA concentrations [25]. The tri-solvent MEA + EAE + AMP was far superior according to analysis at various concentrations. The possible improvements in CO2 desorption brought about by catalysts aroused the authors’ strong interests.
Besides tri-solvents, studies since 2010 have shown that heterogeneously catalytic CO2 desorption is another energy efficient approach to promoting amine regeneration [16]. Solid acid catalysts generally act as both Lewis acids and BrØnsted acids. The Lewis acid, with active sites on its surface, reduces the activation energy needed for carbamate breakdown and N–C bond cleavage, and the BrØnsted acid provides protons in the basic amine solution to facilitate proton transfer [27,28]. A recent review reported the catalytic CO2 desorption of MEA solvent with various types of solid acid catalysts, such as H-ZSM-5 [27,28], Hβ, H-mordenite, MCM-41 [29] and, SO42−/ZrO2 supports [12,13,14,21,22,30,31,32,33,34,35,36,37]. That review focused on heterogeneous catalysis, the physical and chemical texture of the catalysts, structure–activity correlations and mechanisms [16]. The detailed mechanism was listed in Section 2.1. Based on analyses, the solid acid catalysts were verified to be highly energy efficient. They could significantly reduce the heat duty and decrease the desorption temperature down to 95–98 °C, below the boiling point. Therefore, the latent heat Qvap of steam was negligible, and heat duty was reduced.
Therefore, the combination of “tri-solvent” and heterogeneous catalysts turned out to be a fresh and intriguing research area. With the combination of an improved solvent and heterogeneous catalysts at an optimized ratio, the overall heat duty can be minimized, and the operation temperature of the CO2 desorber can be decreased down to 80–85 °C. This combination is highly energy efficient and applicable in industrial amine scrubbing. The above-mentioned literature indicates that there have been quite a limited number of studies on “tri-solvent + catalysts” [21,22,24], such as MEA + AMP + PZ [21], MEA + MDEA + PZ [22] and MEA + BEA + AMP [23,24]. Previous studies from the authors’ group have preliminarily revealed several highly energy efficient combinations of tri-solvents with catalysts, which cost only 33–35% as much as 5.0 M MEA—a benchmark [24].
This study introduces the tri-solvent MEA + EAE + AMP with five commercial solid acid catalysts, the combinations of which are highly energy efficient in CO2 desorption. Compared to MEA + BEA + AMP, EAE was selected to replace BEA. EAE was involved due to its fast absorption rate, which is much better than that of DEA, and larger range of operation tolerance (0.35–0.70 mol/mol) [26,38,39,40,41,42,43,44,45]. However, the lower carbamate stability of EAE is a disadvantage for CO2 desorption. Therefore, to reduce overall heat duty, we blended EAE with AMP, which is widely blended with various amines to enhance desorption performance [46,47,48,49,50,51,52,53,54]. The non-catalytic CO2 absorption and desorption with MEA + EAE + AMP at 0.1–0.5+2+2 mol/L was published recently, revealing the potential of this new tri-solvent [25]. However, this study focused on catalytic CO2 desorption with MEA + EAE + AMP at different concentrations.
In this study, CO2 desorption experiments were conducted with tri-solvent MEA + EAE + AMP at amine concentrations of 0.2 + 2 + 2, 0.5 + 2 + 2, 3 + 1.5 + 2.5 and 0.2 + 1 + 3 mol/L with five solid acid catalysts: blended γ-Al2O3/H-ZSM-5, H-β, H-mordenite, HND-8 and HND-580. The CO2 desorption profiles, average desorption rates (AD), heat duties (HD) and desorption factors (DF) were investigated systematically, in detail. The heat duty was the most important index for evaluating the energy costs of various solvent + catalyst combinations, since HD accounts for 70% of the energy costs of carbon capture. The desorption factor (DF) is a comprehensive index that evaluates heat duty, desorption rate and cyclic capacity as an integral. This DF index analysis could avoid mis-selection of some extreme cases with very small heat duty but small cyclic capacity, which is not practical in industry. By focusing on the AD, HD and DF of different tri-solvents with combinations of individual amines varying in concentration under temperature programming, we aimed at finding out the combination of tri-solvent MEA + EAE + AMP with five commercial catalysts that provides the best desorption factor.
The novelties of this manuscript: (1) Testing the CO2 desorption performance of a tri-solvent of “MEA + EAE + AMP” with four amine concentrations and five commercial solid acid catalysts. (2) The heat duty (HD) and desorption factor (DF) of the tri-solvent with catalysis were evaluated to compare various energy-efficient combinations at a consistent level. (3) One or two energy efficient-combinations were discovered and are highly suitable for the CO2 desorption process in industrial applications.

2. Theory

2.1. The Coordinative Effects within MEA vs. EAE

The “coordinative effect” was revealed to exist in MEA + RR’NH bi-blends, such as MEA + DEA [55] and MEA + BEA [56]; and MEA + BEA + AMP [23], MEA + EAE and MEA + EAE + AMP [57]. The heat duty of MEA + RR’NH bi-blends at a narrow but specific ratio is even lower than that of single secondary amines [55,56,58].
This performance seems to be contradictory to the widely acknowledged idea that MEA effectively enhances CO2 absorption but deteriorates desorption performance in amine blends [26]. After our detailed analysis, we found the above to be maintained by 95% of cases; a narrow but specific range of blending ratios make up the other 5% of cases [23]. The optimized ratio containing the coordinative effect was 0.2/2 for MEA/EAE at CO2 absorption, whereas it was 0.4/2 for CO2 desorption [25]. For MEA + EAE + AMP tri-solvents, the optimized ratio containing the coordinative effect of MEA/EAE was consistent as 02/2 for both absorption and desorption. At those specific ratios, the heat duty with the MEA blend was even lower than that of EAE or EAE + AMP alone. The intrinsic principle of the coordinative effect was published and explained repeatedly: introducing 0.1–0.5 mol/L of MEA (a small amount) increased the heat input (Qinput) about 5–10%, and it enhanced CO2 production to 10–20%. This simultaneous increase both Qinput and nCO2 resulted in the reduction of heat duty (HD = Qinput/nCO2) down to 5–10%. [58]. The principle of heat duty reduction provides two options: (1) reduce Qinput directly, as is common; (2) enhance Qinput and nCO2 simultaneously under a specific ratio [58]. The detailed mechanism was published repeatedly, to indicate extra nCO2 production with blending of MEA [23,55,56,59,60,61].

2.2. The Mechanism of Catalytic CO2 Desorption

The reaction schemes of MEA-CO2 and EAE-CO2 are the same, as listed in Scheme 1. The carbamate is the main product of CO2–amine for MEA (primary amine) and EAE (secondary amine). The reaction of AMP–CO2 produces unstable carbamate, which converts to bicarbonate finally. Based on Scheme 1, the possible reactions of proton transfer from AmineH+ to Lewis Base increase from two to six, tripling; there are four more low energy pathways than for MEA.
A recent review (2020) categorized several similar catalytic CO2 desorption mechanisms [16] with similar diagrams, which involved several consecutive key steps, such as (1) “carbamate formation”, (2) “carry protons”, (3) “chemical adsorption”, (4) “isomerization”, (5) “stretching”, (6) “C–N bond cleavage/breaking” and (7) “desorption/separation” [16]. This mechanism was proposed by the author first in 2011, involving three steps: heterogeneous adsorption, surface reaction and heterogeneous desorption [62]. The mechanism was plotted in Figure S1 in Supplementary Materials. With solid acid catalysts introduced into the amine solvent or packed in a desorber, the carbamate breakdown and CO2 desorption can proceed under 80–95 °C, which is below the boiling point of water. Therefore, the heat duty (HD) is reduced with negligible latent heat of steam, H = Qreac + Qsensi [63].

2.3. The Average Desorption Rate, Heat Duty and Desorption Factor of CO2 Desorption

The CO2 desorption was too fast to analyze accurately, so the average desorption rates were calculated with Equation (1). The heat duty (HD) was calculated with Equation (2) below, which is the most important parameter of evaluating CO2 desorption performance. The heat input (Qinput) was evaluated with an electrometer (E), and CO2 production (nCO2) was estimated with (αrich − αlean) × C × V at different time periods. The absolute heat duty (HD) was not indicative, since different studies adopted different operation conditions (C, V, T, Qloss, etc.), so the H is not comparable. The relative heat duty (RH) was calculated by Equation (3), with Hbaseline for various benchmarks. The RH can help to find the most energy efficient combinations.
Average   desorption   rate = nCO 2 time
HD = Heat   input / time nCO 2 / time = Electricity ( kJ ) nCO 2 ( mol )
RH = H i H baseline × 100 %
Recently, the CO2 desorption was evaluated comprehensively with a desorption factor [22]. The average desorption rates, cyclic capacity and heat duty were calculated for desorption factor with Equation (5) [32,33]. Cyclic capacity was calculated from αricheq to αlean along different time periods and the results were included into the desorption factor as an integral.
Cyclic Capacity = (αrich − αlean) × CA
Desorption   Factor = Average   Desorption   Rate   ×   Cyclic   Capacity Heat   Duty

3. Results and Discussion

This study involved CO2 desorption tests of the following three sets of tri-solvents for various purposes: (1) MEA + EAE + AMP (0.1–0.5 + 2 + 2 mol/L) with blended γ-Al2O3/HZSM-5 catalysts with direct heating to find out suitable blending ratios. (2) MEA + EAE + AMP (0.2 + 2 + 2 and 0.5 + 2 + 2 mol/L) with five commercial catalysts with temperature programming to discover energy efficient combinations. (3) MEA+EAE+AMP (0.3 + 1.5 + 2.5 and 0.2 + 1 + 3 mol/L) at different EAE/AMP ratios with five commercial catalysts with temperature programming to find out other potential energy efficient combinations.

3.1. CO2 Desorption of Tri-Solvents MEA + EAE + AMP with Blended γ-Al2O3/HZSM-5 Catalyst

Similarly to those studies [25,56], the CO2 desorption tests were performed within tri-solvent of 0.1–0.5 + 2 + 2 mol/L MEA + EAE + AMP with blended γ-Al2O3/HZSM-5 catalysts. Existing reports have proved repeatedly that the efficiency ranking of catalysis was: blended γ-Al2O3/HZSM-5 in the ratio 2:1 > HZSM-5 > γ-Al2O3 [24]. The purpose of this part of the study was to discover the optimized blending ratio of tri-solvent within 0.1–0.5 + 2 + 2 mol/L with catalysts, and compared with the boundary conditions (0.5 + 2 + 2 mol/L) of tri-solvent with best catalysis.

The Catalytic CO2 Desorption of MEA + EAE + AMP with Direct Heating

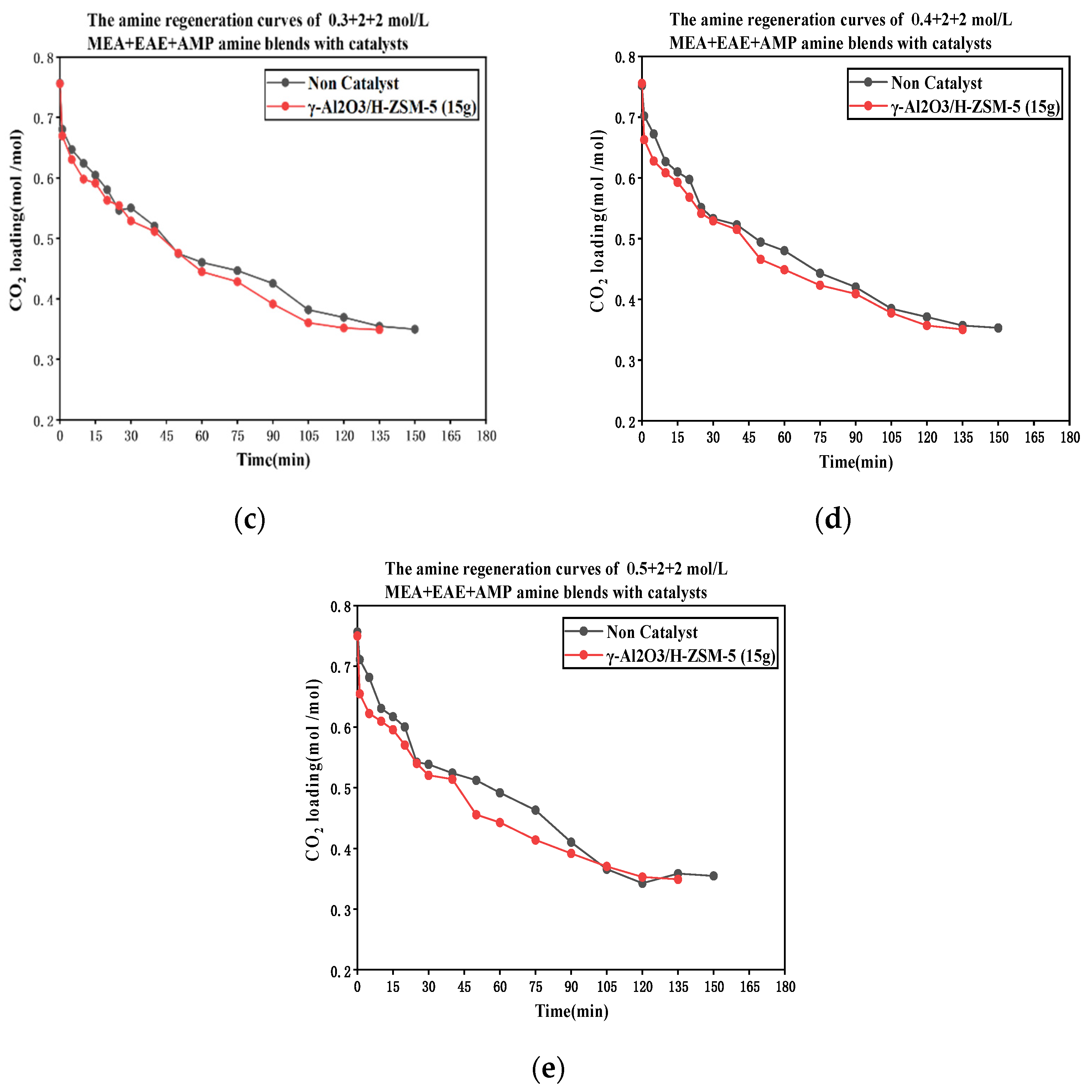
Figure 1a–e plots five CO2 desorption profiles of tri-solvents MEA + EAE + AMP at 0.1–0.5 + 2 + 2 mol/mol with the blended solid acid catalyst γ-Al2O3/H-ZSM-5. For noncatalytic tests, the desorption period was consistently 150 min. In comparison, the catalytic desorption took 120–150 min, about 15–30 min shorter. The CO2 loading decreased from equilibrium loading to αlean of 0.35 mol/mol. After 150 min, the CO2 loading could hardly further decrease under the desorption temperature of direct heating, and most of the lifecycle of CO2 desorption was completed. For tri-solvents with the same amine concentration, the catalytic desorption curves are below those of their non-catalytic counterparts.
The average desorption rates at 15 and 30 min were plotted into bar graphs in Figure 2a,b. Higher average desorption rates were seen in catalytic tests compared with their non-catalytic counterparts. Figure 3a,b displays the heat duties of amine blends with catalysts. In Figure 3a, the trends are similar for both catalytic and non-catalytic cases. Absolute heat duty (HD) decreased first and reached the minimum value at 0.2 + 2 + 2 mol/L, and then increased in the range of 0.3–0.5 + 2 + 2 mol/L. In Figure 3a, the relative heaty duty (%) of catalytic desorption vs. that of non-catalytic counterparts ranged from 71.3% at 0.2 + 2 + 2 mol/L to 92.4% at 0.3 + 2 + 2 mol/L; it was 85.3% at the boundary condition of 0.5 + 2 + 2 mol/L. With increased amine centration, the catalysts started to work on MEA to desorb extra CO2, which made the H of 0.5 + 2 + 2 mol/L lower than that of 0.3 + 2 + 2 mol/L. In Figure 3b, the relative heat duty (%) ranges from 83.6% at 0.2 + 2 + 2 mol/L to 96.6% at 0.4 + 2 + 2 mol/L; it is 84.3% at the boundary condition of 0.5 + 2 + 2 mol/L. In both periods, the absolute heat duty reached the minimum value when the ratio was 0.2 + 2 + 2 mol/L and catalysts were added; the maximum heat duty was reached when the ratio was 0.5 + 2 + 2 mol/L and catalysts were excluded. In Figure 3, the difference in absolute HD between catalytic desorption and non-catalytic desorption at 0.2 + 2 + 2 mol/L is −170 kJ at 15 min, and −127 kJ at 30 min. After thorough comparisons, Figure 1, Figure 2 and Figure 3 verified repeatedly that solid acid catalysis could enhance CO2 desorption, and 0.2 + 2 + 2 mol/L MEA + EAE + AMP with catalyst was the best solution among the above-mentioned options [14].
The findings in Figure 1, Figure 2 and Figure 3 can be summarized as this. The mixing ratio 0.2/2 mol/L for MEA/EAE contributed to minimum heat duty. This result is consistent with findings from previous studies in tri-solvent MEA + EAE + AMP [57]. The coordinative effect mainly resulted from MEA and EAE, since MEA + R3N and MEA + AMP contained negligible coordination [56]. In Figure 3b, the heat duty of catalytic CO2 desorption is the lowest at 0.2 + 2 + 2 mol/L, and the boundary condition of 0.5 + 2 + 2 mol/L is the second lowest value. This phenomenon was explicable, since the optimized blending ratio of 0.2/2 with solid acid was slightly better than the biggest blending ratio 0.5/2 with optimized catalysis. This result and academic explanation are similar to those of another test on MEA + BEA + DEEA + γ-Al2O3/H-ZSM-5 [64]. The comparison of optimized ratio plus catalysts with boundary ratio plus optimized catalysis needs to be further studied case by case.
In order to compare different amine blends under a consistent level, the CO2 desorption factors (DF) of five tri-solvents without and with γ-Al2O3/HZSM-5 were categorized in Table 2. Table 1 shows that the optimized ratio of individual amines in tri-solvent with γ-Al2O3/HZSM-5 was 0.2 + 2 + 2 mol/L, due to its higher desorption rate and relatively lower heat duty among the rests. The desorption factor was mainly determined by heat duty, followed by the average desorption rate. The heat duties were different based on different desorption periods, so that the desorption factors were different. The heat duty of catalytic tri-solvent with the ratio of 0.2 + 2 + 2 mol/L was the lowest of all sets, indicating its optimized DF.

3.2. Catalytic CO2 Desorption of Tri-Solvents with Temperature Programming

Only one type of catalyst, γ-Al2O3/HSM-5, was not adequate for this study. Four amine conditions were selected for further catalytic CO2 desorption tests with the ratios of 0.2 + 2 + 2 and 0.5 + 2 + 2 again. Additionally, various EAE/AMP ratios of 0.3 + 1.5 + 2.5 and 0.2 + 1 + 3 mol/L were set, and five commercial solid acid catalysts were involved. It was necessary to investigate the four solid acid catalysts systematically.

3.2.1. The CO2 Desorption of 0.2 + 2 + 2 and 0.5 + 2 + 2 mol/L Solvents with Five Catalysts

Recently, a new type of pilot plant using hot water as the heat source instead of steam was designed and developed for CO2 capture [16]. Several publications reported steady-state operations with the aid of catalytic packing [65,66,67,68]. The new process used a heat exchanger, instead of a reboiler, to conduct heat transfer, with operation temperatures lower than 100 °C [69]. As long as the CO2 desorption process was completed at 75–95 °C, the heat input Qinput could be greatly reduced. The heat duty will certainly decrease. Based on these publications, the similar temperature programming was adopted in this study [32,70,71,72].
Studies in this section were carried out in two tri-solvents with several commercial catalysts under temperature programming. Figure 4 reports CO2 desorption curves with tri-solvent at two temperatures. It shows that massive CO2 was released at 30–70 °C. The temperature topped 90 °C for 0.2 + 2 + 2 mol/L and 95 °C for 0.5 + 2 + 2 mol/L, which was mainly determined by αlean of various tri-solvents. The TP reflected a desorption temperature scope of superior performance for tri-solvent MEA + EAE + AMP with catalysts [14]. This study confirmed that tri-solvent MEA + EAE + AMP could release CO2 at a temperature as low as 90 °C, with operation temperature reaching 85–95 °C.
The average CO2 desorption rates (AD) and heat duties (HD) were plotted into bar graphs in Figure 5 and Figure 6. For 0.2 + 2 + 2 and 0.5 + 2 + 2 mol/L, the order of AD was the same: HND-8 > HND-580 > H-mordenite > Hβ > blended γ-Al2O3/H-ZSM-5 > no catalyst; the order of HD was HND-8 < HND-580 < H-mordenite < Hβ< blended γ-Al2O3/H-ZSM-5 < no catalyst at 30 and 60 min. The whole sets of 0.2 + 2 + 2 mol/L + catalysts also performed slightly better than 0.5 + 2 + 2 mol/L + catalysts. The higher rates and lower heat duty contributed to better desorption performance. After comparison, the heat duty of 0.2 + 2 + 2 mol/L with HND-8 was the optimized combination with minimized heat duty at 0.1–0.5 + 2 + 2 mol/L.
Comparing Figure 6 with Figure 3, the authors found that heat duty of TP in the non-catalytic process was higher than that in direct heating. This can be explained by the lesser amount of CO2 desorption resulting from a lower temperature and inadequate heat input. In Figure 6, the heat duties of the first 30 min are around 200 kJ/mol CO2, smaller than those of the first 60 min. This effect resulted from the complex interaction of CO2 released under the operation temperature range. With temperature programming from rich to lean loading regions, heat inputted into the system from unique operation process became inadequate. Firstly, there was more CO2 released in the first 30 min than in the second 30 min, since HCO3 was released first at rich loading and then followed by its carbamate breakdown at lean loading. According to reaction enthalpy analyses, compared with carbamate, it is much easier for bicarbonate to convert CO2. On the other hand, the temperature range of the first 30 min was smaller than that of the second 30 min, which indicated weaker catalysis and reactivity of endothermic reaction. After calculating the exact amount of CO2 released during the two periods, the first 30 min of TP reflected less heat duty compared with the first 60 min. The large amount of bicarbonate conversion was dominant under inadequate heat input.
The desorption factors of 0.2 + 2 + 2 and 0.5 + 2 + 2 mol/L were categorized in Table 3. Among five commercial catalysts, HND-8 was the best, and the factors of 0.2 + 2 + 2 and 0.5 + 2 + 2 mol/L were comparable with each other using the TP method. The desorption factor should take heat duty, average desorption rate and cyclic capacity into consideration. The HD of 0.5 + 2 + 2 mol/L was slightly lower than that of 0.2 + 2 + 2 mol/L, and the AD of 0.5 + 2 + 2 mol/L was slightly higher than that of 0.2 + 2 + 2 mol/L because of its slightly higher amine concentration with catalysts. After calculation, the desorption factors for the two cases were very close to each other. Both combinations were applicable for an industrial desober, and CO2 absorption tests were required to further determine the better one.

3.2.2. The CO2 Desorption of 0.3 + 1.5 + 2.5 and 0.2 + 1 + 3 mol/L Solvents with Catalysts

After the above-mentioned studies, two other combinations were selected and tested. The amine concentration for EAE + AMP was fixed at 4 mol/L again, but with different ratios of 1.5/2.5 and 1/3 instead. The different ratios of EAE/AMP resulted in various desorption performances, because AMP facilitated desorption, whereas EAE was good at absorption [25]. The AMP concentrations were increased to 2.5 and 3.0 mol/L to enhance the desorption performance, and the fixed concentrations of EAE + AMP were used to maintain the similar cyclic capacity, making them comparable towards 0.2 + 2 + 2 and 0.5 + 2 + 2 mol/L. Furthermore, the ratio of MEA/EAE was fixed at 1/5, which was the optimized value for coordinative effect in CO2 desorption [25]
Figure 7 reflects the CO2 desorption curves of 0.3 + 1.5 + 2.5 mol/L with five commercial catalysts under TP, and their average absorption rates are plotted in Figure 8. Their heat duties are plotted in Figure 9. Among five solid acid catalysts, HND-8 possessed the highest rates and lowest heat duty in general. The ranking of heat duty performance was: no catalysis > blended γ-Al2O3/H-ZSM-5 > Hβ > H-mordenite > HND-580 > HND-8. The lower, the better. The order was consistent with conclusions in the previous two cases.
The absolute value of heat duty of 0.3 + 1.5 + 2.5 mol/L was slightly higher than that of 0.2 + 2 + 2 mol/L. The ratio of 1.5/2.5 for EAE/AMP produced worse performance than that of 2/2 with the temperature programming method. This seems to be contradictory to the better desorption, and less heat duty was achieved through higher ratio of AMP/EAE. However, it can still be explained by comparing Figure 4a and Figure 7 carefully. The main reason turned out to be its operation temperatures. The operation temperature at the first 30 min only reached 60 °C at 0.3 + 1.5 + 2.5 mol/L, and it reached 70 °C at 0.2 + 2 + 2 mol/L. Lower temperature resulted in weaker catalysis and less CO2 desorption, giving rise to higher heat duty. The intrinsic reasons await further analyses.
Finally, the tri-solvent of 0.2 + 1 + 3 mol/L was tested, and the ratio of EAE/AMP was reduced to 1/3 to make full use of AMP’s advantages in CO2 desorption. The concentration of MEA + EAE was narrowed down to 1.2 mol/L in total. Figure 10 reports the CO2 desorption profile. Figure 11 reports the average desorption rates. Additionally, Figure 12 reports heat duties. Figure 10 indicates that the operation region of αlean to αrich could achieve 0.25–0.70 mol/mol, which is a relatively wide range that is suitable for industrial applications. The temperature reached 70 °C at 30 min and 78–85 °C at 60 min, which are comparable to those of 0.2 + 2 + 2 in Figure 4a.
Figure 11 and Figure 12 reflected the ranking of heat duty as follows: blank > blended γ-Al2O3/H-ZSM-5 > Hβ > H-mordenite > HND-580 > HND-8. The smaller, the better. This outcome was not only similar to those in the other three cases, but also accorded with previous studies in tri-solvent MEA + BEA + DEEA [64]. The heat duty of HND-8 was the lowest among the five types of solid acid catalysts.
Compared Figure 12 with Figure 6, the heat duty of 0.2 + 1 + 3 mol/L was less than that of 0.2 + 2 + 2 mol/L at both 30 and 60 min. The HD was 589.3 kJ/mol CO2 at 30 min and 748.1 kJ/mol CO2 at 60 min, which were the minimum values among the five sets of tri-solvents. Under comparable operation temperatures, the larger AMP/EAE ratio reflected less energy costs of desorption and lower heat duty.
The results that the ranking of heat duties 1/3 > 2/2 > 1.5/2.5 EAE/AMP followed those of temperature programming were quite indicative. The intrinsic reason for the abnormal case of 1.5/2.5 was mainly its lower operation temperature. The temperature was 60 °C at 30 min, and it was 70 °C at 60 min for 0.3 + 1.5 + 2.5 mol/L, which was the lowest among these three sets. The CO2 desorption of MEA + EAE + AMP tri-solvents required desorption temperatures of at least 70 °C to maintain catalysis and desorption rates up to threshold. The reaction kinetics for this await further studies. Table 3 reflected the desorption factors for the first 30 min, and 0.2 + 1 + 3 mol/L was much better than 0.3 + 1.5 + 2.5 mol/L given the much lower heat duty.

3.3. The Optimized Combination of Tri-Solvent MEA + EAE + AMP with Catalysts at Four Different Concentrations

The heat duty (HD) was one of the most important parameters with which to evaluate energy efficiency for various combinations [58]. For this study, combinations with various HD could be compared because of their similar amine concentrations. For each set with the same concentration, the lowest HD was discovered when each type of amine was blended with HND-8. If the heat duties of different amine concentrations are compared based on Figure 6, Figure 9, and Figure 12, we can see that the heat duties of HND-8 followed the order of 0.2 + 1 + 3 < 0.2 + 2 + 2 < 0.5 + 2 + 2 < 0.3 + 1.5 + 2.5 mol/L. The lower, the better.
As shown in Table 3 and Table 4, the desorption factors of all the systems followed the same order as that of HND-8: 0.2 + 1 + 3 > 0.2 + 2 + 2 > 0.5 + 2 + 2 > 0.3 + 1.5 + 2.5 mol/L. The bigger, the better. The 0.2 + 1 + 3 + HND-8 was the most energy efficient combination in this study. The operation temperature was better if it was higher up to 90 °C. The AMP concentration in this combination was the biggest, which resulted in extra bicarbonate in the amine solution. The explanation for the worst case of 0.3 + 1.5 + 2.5 mol/L may be the lower desorption temperature, which inhibited CO2 desorption. Therefore, the operation temperature of desorption for MEA + EAE + AMP tri-solvent needed to be at least 70 °C. The threshold temperature was 70–75 °C, which is quite practical for its application.

3.4. The Structure–Activity Correlations of Various Catalysts

These five commercial solid acid catalysts have similar properties, as they contain both Lewis acid and BrØnsted acid sites. According to recent studies [16], an intensive characterization method was used on these catalysts via XRD, SEM, BET, NH3-TPD, Py-TPD, etc. Based on plenty of existing publications, the structure–activity correlation was mainly due to the MSA (mesopore surface area), TAS (total active sites), B/L ratio (BrØnsted/Lewis acid ratio) and BAS (BrØnsted acid sites). The solid catalysts with optimized performance were mainly due to TAS, BAS and in most cases, the product of MSA*TAS for different types of amine [14]. However, there is not a universal structure–activity correlation for various solid acid catalysts, yet. Even for single amine MEA, it is challenging to work out a concise structure–activity correlation for various types of solid acid catalysts because of different surface areas, pore volumes and sizes, acidity and other possible physico-chemical properties.
This study did not design characterization experiments catering for five catalysts because all these catalysts are commercially available and have similar data. The characteristics of catalysts γ-Al2O3, H-ZSM-5, Hβ and H-mordenite were published repeatedly and categorized in a recent review [16]. The characteristics of HND-8 and HND-580 catalysts are provided in Table 5 herein. The HND-8 contains 24.75 mmol/g acidity by strength, and this advantage results in its super desorption ability compared with the rest of the catalysts in this study. The structure–activity correlations of these catalysts may require further study.

4. Materials and Methods

4.1. Chemicals, Solid Acid Catalysts and CO2 Loading Tests

The 99% pure CO2 gas was purchased. Different amines (MEA, EAE and AMP) were purchased from Sigma Aldrich to prepare the tri-solvent. The solid acid catalysts were commercially available for this study. The HCl (1.0 mol/L) was a standard solution for titration for the amine concentration CA of the tri-solvent; methyl orange was the indicator. The main experimental data, CO2 loading α, of various samples were determined with a special Chittick apparatus. The CO2 loading analysis method was based on the standard of the Association of Official Analytical Chemists (AOAC). [72]. Each sample experienced a CO2 loading testing 2–3 times to maintain error less than 3%.

4.2. Experimental Procedures for CO2 Desorption for Temperature Programming

This CO2 desorption process was similar to that of other study [19,61] with a recirculation process and an oil bath [23,24,25,56,57,61]. The diagram and photos of the process are provided in the Figure S2 in Supplementary Materials. From repeated publications, the mass balance of CO2 desorption in gas phase and difference in CO2 loading in the liquid phase are relatively small, within 5% [16]. The tri-solvent MEA + EAE + AMP of this study is highly energy efficient; the desorption process was completed at 85–90 °C. The difference in catalytic CO2 desorption under direct heating was quite narrow. Therefore, this study used temperature programming (TP) to distinguish various desorption tests. This study set the initial temperature of the oil bath to 298 K. Then, the temperate increased gradually with temperature programming to reach 85–95 °C. The CO2 desorption curve was plotted based on CO2 loading, along with the simultaneous temperature profiles in the same figure.
The desorption periods were around 120–150 min for this study, from αrich close to 0.70 mol/mol to αlean nearing 0.35 mol/mol. After loading reached 0.35 mol/mol, the CO2 loading can hardly decrease based on the heating input and operation temperature. The desorption period was not a fixed value. As soon as the CO2 loading reached 0.35 mol/mol for the tri-solvents, the desorption process was completed. Usually, the process took 120–150 min.
The desorption process under TP was indicative of: (1) Various CO2 loading levels αlean at 30 and 60 min. (2) Special CO2 desorption, performed with inadequate heat input. The CO2 desorption process included multiple endo-thermic reactions based on Scheme 1. The kinetics of CO2 release can be discovered carefully. (3) The suitable operation temperature and threshold of the desorber column. Under steady state process with constant heat input (Qinput), the heat was mostly converted to continuous reaction heat Qreac, heat loss Qloss and CO2 release/desorption; little was used for temperature increase ΔT and sensible heat Qsensi. Therefore, the steady-state temperature of the desorption was indicative of an industrial amine scrubbing process.

5. Conclusions

This study evaluated multiple energy efficient combinations of tri-solvent MEA + EAE + AMP under four different concentrations with five commercial catalysts: blended γ-Al2O3/H-ZSM-5, Hβ, H-mordenite, HND-580 and HND-8. The heat duty (HD) and desorption factor (DF) were major indexes of evaluation of the energy efficient combinations.
(1)
The coordinative effect of MEA and EAE indicated that 0.2 + 2 + 2 mol/L was the best among 0.1–0.5 + 2 + 2 mol/L scenarios with blended catalyst γ-Al2O3/H-ZSM-5.
(2)
With the aid of five commercial solid acid catalysts, the tri-solvents at various concentrations (0.2 + 1 + 3, 0.2 + 2 + 2, 0.5 + 2 + 2 and 0.3 + 1.5 + 2.5 mol/L) were consistent in the order of heat duty performance: blank > γ-Al2O3/H-ZSM-5 > H-mordenite > Hβ > HND-580 > HND-8. The lower, the better. HND-8 was the best solid acid catalyst due to its super acidity by strength. The structure–activity correlations of these catalysts await further studies.
(3)
With HND-8 as an energy efficient catalyst, the order of DF with various amine concentrations was: 0.2 + 1 + 3 > 0.2 + 2 + 2 > 0.5 + 2 + 2 > 0.3 + 1.5 + 2.5. The bigger, the better. The optimized desorption condition was 0.2+1+3 MEA+EAE+AMP with HND-8 at 95 °C. This combination of 0.2 + 1 + 3 + HND-8 + 95 °C is quite applicable for industrial CO2 capture processes.
(4)
The order of HD with different ratios of EAE/AMP was: 1/3 > 1/1 > 1.5/2.5. Generally, higher AMP concentration resulted in better desorption performance. The abnormal case happened when EAE/AMP was 1.5/2.5, which resulted from its lower operation temperature with inadequate heat input, which led to much less CO2 desorption.

Supplementary Materials

The following supporting information can be downloaded at: https://www.mdpi.com/article/10.3390/catal12070723/s1, Figure S1: The mechanism of catalytic CO2 desorption and carbamate breakdown. Figure S2: The picture of CO2 desorber process.

Author Contributions

Conceptualization, H.S. and B.Z.; methodology, J.P.; software, Y.L.; validation, J.H.; formal analysis, B.Z.; investigation, H.S.; resources, S.L.; data curation, J.P.; writing—original draft preparation, B.Z. and H.S.; writing—review and editing, H.S.; supervision, H.S.; funding acquisition, H.S. and J.J. All authors have read and agreed to the published version of the manuscript.

Funding

This study was funded by National Natural Science Foundation of China (NSFC 21606150, NSFC 51976129) and the Bureau of Huzhou Municipal Science and Technology, (2021ZD2043).

Data Availability Statement

No new data were created or analyzed in this study. Data sharing is not applicable to this article.

Acknowledgments

This study was funded by National Natural Science Foundation of China (NSFC 21606150, 51976129) and the Bureau of Huzhou Municipal Science and Technology, (2021ZD2043).

Conflicts of Interest

The authors declare no conflict of interest.

Nomenclature

CA:Lconcentration of solute A in the bulk liquid (k mol/m3) (mol/L)
DFDesorption Factor
HDHeat duty
PTotal system pressure (kPa)
QinputHeat input

Greek Symbols

ACO2 loading (mol CO2/mol amine)
αeqCO2 loading of solution in equilibrium with PCO2

Abbreviation

AMP2-amino-2-methyl-1-propanol
BEAButylethanol amine
DEADiethanol amine
DEEA(N, N-diethylethanolamine
EAE2-(ethylamino)ethanol
MEAmonoethanol amine
PZPiperizine

References

  1. Rochelle, G. Amine Scrubbing for CO2 capture. Science 2009, 325, 1652–1654. [Google Scholar] [CrossRef] [PubMed]
  2. Wang, M.; Lawal, A.; Stephenson, P.; Sidders, J.; Ramshaw, C. Post-combustion CO2 capture with chemical absorption: A state-of-the-art review. Chem. Eng. Res. Des. 2011, 89, 1609–1624. [Google Scholar] [CrossRef] [Green Version]
  3. Gelowitz, D.; Supap, T.; Abdulaziz, N.; Sema, T.; Idem, R.; Tontiwachwuthikul, P. Part 8: Post-combustion CO2 capture: Pilot plant operation issues. Carbon Manag. 2013, 4, 215–231. [Google Scholar] [CrossRef]
  4. Idem, R.; Supap, T.; Shi, H.; Gelowitz, D.; Ball, M.; Campbell, C.; Tontiwachwuthikul, P. Practical experience in post-combustion CO2 capture using reactive solvents in large pilot and demonstration plants. Int. J. Greenh. Gas Control 2015, 40, 6–25. [Google Scholar] [CrossRef]
  5. Liang, Z.; Rongwong, W.; Liu, H.; Fu, K.; Gao, H.; Cao, F.; Zhang, R.; Sema, T.; Henni, A.; Sumon, K.Z.; et al. Recent progress and new developments in post-combustion carbon-capture technology with amine based solvents. Int. J. Greenh. Gas Control 2015, 40, 26–54. [Google Scholar] [CrossRef] [Green Version]
  6. Li, T.; Keener, T.C. A review: Desorption of CO2 from rich solutions in chemical absorption processes. Int. J. Greenh. Gas Control 2016, 51, 290–304. [Google Scholar] [CrossRef]
  7. Liang, Z.; Fu, K.; Idem, R.; Tontiwachwuthikul, P. Review on current advances, future challenges and consideration issues for post-combustion CO2 capture using amine-based absorbents. Chin. J. Chem. Eng. 2016, 24, 278–288. [Google Scholar] [CrossRef]
  8. Bernhardsen, I.M.; Knuutila, H.K. A review of potential amine solvents for CO2 absorption process: Absorption capacity, cyclic capacity and pKa. Int. J. Greenh. Gas Control 2017, 61, 27–48. [Google Scholar] [CrossRef]
  9. Zebardasti, A.; Dekamin, M.G.; Doustkhah, E.; Assadi, M.H.N. Carba-mate-Isocyanurate-Bridged Periodic Mesoporous Organosilica for van der Waals CO2 Capture. Inorg. Chem. 2020, 59, 11223–11227. [Google Scholar] [CrossRef]
  10. Sakwattanapong, R.; Amornvadee, A.; Veawab, A. Behavior of Reboiler heat duty for CO2 capture plants using re-generable single and blended alkanolamines. Ind. Eng. Chem. Res. 2005, 44, 4465–4473. [Google Scholar] [CrossRef]
  11. Idem, R.; Wilson, M.; Tontiwachwuthikul, P.; Chakma, A.; Veawab, A.; Aroonwilas, A.; Gelowitz, D. Pilot Plant Studies of the CO2 Capture Performance of Aqueous MEA and Mixed MEA/MDEA Solvents at the University of Regina CO2 Capture Technology Development Plant and the Boundary Dam CO2 Capture Demonstration Plant. Ind. Eng. Chem. Res. 2005, 45, 2414–2420. [Google Scholar] [CrossRef]
  12. Bui, M.; Adjiman, C.S.; Bardow, A.; Anthony, E.J.; Boston, A.; Brown, S.; Fennell, P.S.; Fuss, S.; Galindo, A.; Hackett, L.A.; et al. Carbon capture and storage (CCS): The way forward. Energy Environ. Sci. 2018, 11, 1062–1176. [Google Scholar] [CrossRef] [Green Version]
  13. Sim, K.; Lee, N.; Kim, J.; Cho, E.-B.; Gunathilake, C.; Jaroniec, M. CO2 Adsorption on Amine-Functionalized Periodic Mesoporous Benzenesilicas. ACS Appl. Mater. Interfaces 2015, 7, 6792–6802. [Google Scholar] [CrossRef] [PubMed]
  14. Zhang, X.; Hong, J.; Liu, H.; Luo, X.; Olson, W.; Tontiwachwuthikul, P.; Liang, Z. SO42−/ZrO2 supported on γ-Al2O3 as a catalyst for CO2 desorption from CO2-loaded monoethanolamine solutions. AIChE J. 2018, 64, 3988–4001. [Google Scholar] [CrossRef]
  15. Zhang, X.; Liu, H.; Liang, Z.; Idem, R.; Tontiwachwuthikul, P.; Al-Marri, M.J.; Benamor, A. Reducing energy consumption of CO2 desorption in CO2-loaded aqueous amine solution using Al2O3/HZSM-5 bifunctional catalysts. Appl. Energy 2018, 229, 562–576. [Google Scholar] [CrossRef]
  16. Alivand, M.S.; Mazaheri, O.; Wu, Y.; Stevens, G.W.; Scholes, C.A.; Mumford, K.A. Catalytic Solvent Regeneration for Ener-gy-Efficient CO2 Capture. ACS Sustain. Chem. Eng. 2020, 8, 18755–18788. [Google Scholar] [CrossRef]
  17. Nwaoha, C.; Saiwan, C.; Supap, T.; Idem, R.; Tontiwachwuthikul, P.; Rongwong, W.; Al-Marri, M.J.; Benamor, A. Carbon dioxide (CO2) capture performance of aqueous tri-solvent blends containing 2-amino-2-methyl-1-propanol (AMP) and methyldi-ethanolamine (MDEA) promoted by diethylenetriamine (DETA). Int. J. Greenh. Gas Control 2016, 53, 292–304. [Google Scholar] [CrossRef]
  18. Nwaoha, C.; Saiwan, C.; Tontiwachwuthikul, P.; Supap, T.; Rongwong, W.; Idem, R.; Al-Marri, M.J.; Benamor, A. Carbon dioxide (CO2) capture: Absorption-desorption capabilities of 2-amino-2-methyl-1-propanol (AMP), piperazine (PZ) and monoeth-anolamine (MEA) tri-solvent blends. J. Nat. Gas Sci. Eng. 2016, 33, 742–750. [Google Scholar] [CrossRef]
  19. Nwaoha, C.S.C.; Supap, T.; Idem, R.; Tontiwachwuthikul, P.; Al-Marri, M.J.; Benamor, A. Regeneration energy analysis of aqueous tri-solvent blends containing AMP, MDEA and DETA for CO2 capture. Energy Procedia 2017, 114, 2039–2046. [Google Scholar] [CrossRef]
  20. Nwaoha, C.; Idem, R.; Supap, T.; Saiwan, C.; Tontiwachwuthikul, P.; Rongwong, W.; Al-Marri, M.J.; Benamor, A. Heat duty, heat of absorption, sensible heat and heat of vaporization of 2–Amino–2–Methyl–1–Propanol (AMP), Piperazine (PZ) and Monoethanolamine (MEA) tri–solvent blend for carbon dioxide (CO2) capture. Chem. Eng. Sci. 2017, 170, 26–35. [Google Scholar] [CrossRef]
  21. Zhang, R.; Zhang, X.; Yang, Q.; Yu, H.; Liang, Z.; Luo, X. Analysis of the reduction of energy cost by using MEA-MDEA-PZ solvent for post-combustion CO2 capture (PCC). Appl. Energy 2017, 205, 1002–1011. [Google Scholar] [CrossRef]
  22. Nwaoha, C.; Beaulieu, M.; Tontiwachwuthikul, P.; Gibson, M.D. Techno-economic analysis of CO2 capture from a 1.2 million MTPA cement plant using AMP-PZ-MEA blend. Int. J. Greenh. Gas Control 2018, 78, 400–412. [Google Scholar] [CrossRef]
  23. Zhang, X.; Zhang, R.; Liu, H.; Gao, H.; Liang, Z. Evaluating CO2 desorption performance in CO2-loaded aqueous tri-solvent blend amines with and without solid acid catalysts. Appl. Energy 2018, 218, 417–429. [Google Scholar] [CrossRef]
  24. Zhang, X.; Huang, Y.; Gao, H.; Luo, X.; Liang, Z.; Tontiwachwuthikul, P. Zeolite catalyst-aided tri-solvent blend amine regeneration: An alternative pathway to reduce the energy consumption in amine-based CO2 capture process. Appl. Energy 2019, 240, 827–841. [Google Scholar] [CrossRef]
  25. Shi, H.; Cui, M.; Fu, J.; Dai, W.; Huang, M.; Han, J.; Quan, L.; Tontiwachwuthikul, P.; Liang, Z. Application of “coordinative ef-fect” into tri-solvent MEA+BEA+AMP blends at concentrations of 0.1 + 2 + 2∼0.5 + 2 + 2 mol/L with absorption, desorption and mass transfer analyses. Int. J. Greenh. Gas Control 2021, 107, 103267. [Google Scholar] [CrossRef]
  26. Shi, H.; Yang, X.; Feng, H.; Fu, J.; Zou, T.; Yao, J.; Wang, Z.; Jiang, L.; Tontiwachwuthikul, P. Evaluating Energy-Efficient Solu-tions of CO2 Capture within Tri-solvent MEA+BEA+AMP within 0.1 + 2 + 2–0.5 + 2 + 2 mol/L Combining Heterogeneous Acid–Base Catalysts. Ind. Eng. Chem. Res. 2021, 60, 7352–7366. [Google Scholar] [CrossRef]
  27. Shi, H.; Cheng, X.; Peng, J.; Feng, H.; Tontiwachwuthikul, P.; Hu, J. The CO2 absorption and desorption analysis of tri-solvent MEA + EAE + AMP compared with MEA + BEA + AMP along with “coordination effects” evaluation. Environ. Sci. Pollut. Res. 2022, 29, 40686–40700. [Google Scholar] [CrossRef]
  28. Muchan, P.; Saiwan, C.; Narku-Tetteh, J.; Idem, R.; Supap, T.; Tontiwachwuthikul, P. Screening tests of aqueous alkanolamine solutions based on primary, secondary, and tertiary structure for blended aqueous amine solution selection in post com-bustion CO2 capture. Chem. Eng. Sci. 2017, 170, 574–582. [Google Scholar] [CrossRef]
  29. Shi, H.; Naami, A.; Idem, R.; Tontiwachwuthikul, P. Catalytic and non catalytic solvent regeneration during absorption-based CO2 capture with single and blended reactive amine solvents. Int. J. Greenh. Gas Control 2014, 26, 39–50. [Google Scholar] [CrossRef]
  30. Liang, Z.; Idem, R.; Tontiwachwuthikul, P.; Yu, F.; Liu, H.; Rongwong, W. Experimental study on the solvent regeneration of a CO2-loaded MEA solution using single and hybrid solid acid catalysts. AIChE J. 2015, 62, 753–765. [Google Scholar] [CrossRef]
  31. Liu, H.; Zhang, X.; Gao, H.; Liang, Z.; Idem, R.; Tontiwachwuthikul, P. Investigation of CO2 Regeneration in Single and Blended Amine Solvents with and without Catalyst. Ind. Eng. Chem. Res. 2017, 56, 7656–7664. [Google Scholar] [CrossRef]
  32. Bairq, Z.A.S.; Gao, H.; Huang, Y.; Zhang, H.; Liang, Z. Enhancing CO2 desorption performance in rich MEA solution by addi-tion of SO42-/ZrO2/SiO2 bifunctional catalyst. Appl. Energy 2019, 252, 113440. [Google Scholar] [CrossRef]
  33. Zhang, X.; Zhu, Z.; Sun, X.; Yang, J.; Gao, H.; Huang, Y.; Luo, X.; Liang, Z.; Tontiwachwuthikul, P. Reducing Energy Penalty of CO2 Capture Using Fe Promoted SO42-/ZrO2/MCM-41 Catalyst. Environ. Sci. Technol. 2019, 53, 6094–6102. [Google Scholar] [CrossRef] [PubMed]
  34. Bairq, Z.A.S.; Gao, H.X.; Murshed, F.A.M.; Tontiwachwuthikul, P.; Liang, Z.W. Modified Heterogeneous Catalyst-Aided Re-generation of CO2 Capture Amines: A Promising Perspective for a Drastic Reduction in Energy Consumption. ACS Sustain. Chem. Eng. 2020, 8, 9526–9536. [Google Scholar] [CrossRef]
  35. Gao, H.; Huang, Y.; Zhang, X.; Bairq, Z.A.S.; Huang, Y.; Tontiwachwuthikul, P.; Liang, Z. Catalytic performance and mechanism of SO42−/ZrO2/SBA-15 catalyst for CO2 desorption in CO2-loaded monoethanolamine solution. Appl. Energy 2020, 259, 114179. [Google Scholar] [CrossRef]
  36. Xing, L.; Wei, K.; Li, Q.; Wang, R.; Zhang, S.; Wang, L. One-Step Synthesized SO42-/ZrO2-HZSM-5 Solid Acid Catalyst for Car-bamate Decomposition in CO2 Capture. Environ. Sci. Technol. 2020, 54, 13944–13952. [Google Scholar] [CrossRef]
  37. Zhang, X.; Huang, Y.; Yang, J.; Gao, H.; Huang, Y.; Luo, X.; Liang, Z.; Tontiwachwuthikul, P. Amine-based CO2 capture aided by acid-basic bifunctional catalyst: Advancement of amine regeneration using metal modified MCM-41. Chem. Eng. J. 2019, 383, 123077. [Google Scholar] [CrossRef]
  38. Huang, Y.; Zhang, X.; Luo, X.; Gao, H.; Bairq, Z.A.S.; Tontiwachwuthikul, P.; Liang, Z. Catalytic Performance and Mechanism of Meso–Microporous Material β-SBA-15-Supported FeZr Catalysts for CO2 Desorption in CO2-Loaded Aqueous Amine Solu-tion. Ind. Eng. Chem. Res. 2021, 60, 2698–2709. [Google Scholar] [CrossRef]
  39. Sun, Q.; Li, T.; Mao, Y.; Gao, H.; Sema, T.; Wang, S.; Liu, L.; Liang, Z. Reducing Heat Duty of MEA Regeneration Using a Sulfonic Acid-Functionalized Mesoporous MCM-41 Catalyst. Ind. Eng. Chem. Res. 2021, 60, 18304–18315. [Google Scholar] [CrossRef]
  40. Biernacki, P.; Steinigeweg, S.; Paul, W.; Brehm, A. Eco-Efficiency Analysis of Biomethane Production. Ind. Eng. Chem. Res. 2014, 53, 19594–19599. [Google Scholar] [CrossRef]
  41. El Hadri, N.; Quang, D.V.; Goetheer, E.L.; Abu Zahra, M.R. Aqueous amine solution characterization for post-combustion CO2 capture process. Appl. Energy 2017, 185, 1433–1449. [Google Scholar] [CrossRef]
  42. Gao, H.; Gao, G.; Liu, H.; Luo, X.; Liang, Z.; Idem, R.O. Density, Viscosity, and Refractive Index of Aqueous CO2-Loaded and -Unloaded Ethylaminoethanol (EAE) Solutions from 293.15 to 323.15 K for Post Combustion CO2 Capture. J. Chem. Eng. Data 2017, 62, 4205–4214. [Google Scholar] [CrossRef]
  43. Hwang, S.J.; Kim, J.; Kim, H.; Lee, K.S. Solubility of Carbon Dioxide in Aqueous Solutions of Three Secondary Amines: 2-(Butylamino)ethanol, 2-(Isopropylamino)ethanol, and 2-(Ethylamino)ethanol Secondary Alkanolamine Solutions. J. Chem. Eng. Data 2017, 62, 2428–2435. [Google Scholar] [CrossRef]
  44. Liu, S.; Gao, H.; He, C.; Liang, Z. Experimental evaluation of highly efficient primary and secondary amines with lower en-ergy by a novel method for post-combustion CO2 capture. Appl. Energy 2019, 233–234, 443–452. [Google Scholar] [CrossRef]
  45. Gao, H.; Wang, N.; Du, J.; Luo, X.; Liang, Z. Comparative kinetics of carbon dioxide (CO2) absorption into EAE, 1DMA2P and their blends in aqueous solution using the stopped-flow technique. Int. J. Greenh. Gas Control 2020, 94, 102948. [Google Scholar] [CrossRef]
  46. Pandey, D.; Mondal, M.K. Thermodynamic modeling and new experimental CO2 solubility into aqueous EAE and AEEA blend, heat of absorption, cyclic absorption capacity and desorption study for post-combustion CO2 capture. Chem. Eng. J. 2021, 410, 128334. [Google Scholar] [CrossRef]
  47. Pandey, D.; Mondal, M.K. Experimental data and modeling for density and viscosity of carbon dioxide (CO2)-loaded and -unloaded aqueous blend of 2-(ethylamino)ethanol (EAE) and aminoethylethanolamine (AEEA) for post-combustion CO2 capture. J. Mol. Liq. 2021, 330, 115678. [Google Scholar] [CrossRef]
  48. Ciftja, A.F.; Hartono, A.; Svendsen, H.F. Experimental study on carbamate formation in the AMP–CO2–H2O system at differ-ent temperatures. Chem. Eng. Sci. 2014, 107, 317–327. [Google Scholar] [CrossRef]
  49. Hairul, N.A.H.; Shariff, A.M.; Bustam, M.A. Process behaviour in a packed absorption column for high pressure CO2 absorp-tion from natural gas using PZ + AMP blended solution. Fuel Processing Technol. 2017, 157, 20–28. [Google Scholar] [CrossRef]
  50. Liu, F.; Jing, G.; Zhou, X.; Lv, B.; Zhou, Z. Performance and Mechanisms of Triethylene Tetramine (TETA) and 2-Amino-2-methyl-1-propanol (AMP) in Aqueous and Nonaqueous Solutions for CO2 Capture. ACS Sustain. Chem. Eng. 2017, 6, 1352–1361. [Google Scholar] [CrossRef]
  51. Hassankiadeh, M.N.; Jahangiri, A. Application of aqueous blends of AMP and piperazine to the low CO2 partial pressure capturing: New experimental and theoretical analysis. Energy 2018, 165, 164–178. [Google Scholar] [CrossRef]
  52. Jahangiri, A.; Hassankiadeh, M.N. Effects of piperazine concentration and operating conditions on the solubility of CO2 in AMP solution at low CO2 partial pressure. Sep. Sci. Technol. 2018, 54, 1067–1078. [Google Scholar] [CrossRef]
  53. Nwaoha, C.; Tontiwachwuthikul, P.; Benamor, A. A comparative study of novel activated AMP using 1,5-diamino-2-methylpentane vs MEA solution for CO2 capture from gas-fired power plant. Fuel 2018, 234, 1089–1098. [Google Scholar] [CrossRef]
  54. Nwaoha, C.; Tontiwachwuthikul, P.; Benamor, A. CO2 capture from lime kiln using AMP-DA2MP amine solvent blend: A pilot plant study. J. Environ. Chem. Eng. 2018, 6, 7102–7110. [Google Scholar] [CrossRef]
  55. Pakzad, P.; Mofarahi, M.; Izadpanah, A.A.; Afkhamipour, M.; Lee, C.-H. An experimental and modeling study of CO2 solubili-ty in a 2-amino-2-methyl-1-propanol (AMP) + N-methyl-2-pyrrolidone (NMP) solution. Chem. Eng. Sci. 2018, 175, 365–376. [Google Scholar] [CrossRef]
  56. Wai, S.K.; Nwaoha, C.; Saiwan, C.; Idem, R.; Supap, T. Absorption heat, solubility, absorption and desorption rates, cyclic ca-pacity, heat duty, and absorption kinetic modeling of AMP–DETA blend for post–combustion CO2 capture. Sep. Purif. Technol. 2018, 194, 89–95. [Google Scholar] [CrossRef]
  57. Shi, H.; Zheng, L.; Huang, M.; Zuo, Y.; Li, M.; Jiang, L.; Idem, R. Tontiwachwuthikul, CO2 desorption tests of blended mo-noethanolamine-diethanolamine solutions to discover novel energy efficient solvents. Asia-Pac. J. Chem. Eng. 2018, 13, e2186. [Google Scholar] [CrossRef]
  58. Shi, H.; Feng, H.; Yang, X.; Zou, T.; Tontiwachwuthikul, P.; Jiang, L. Study of “coordinative effect” within bi-blended amine MEA + AMP and MEA + BEA at 0.1 + 2–0.5 + 2 mol/L with absorption–desorption parameter analyses. Asia-Pac. J. Chem. Eng. 2021, 16, e2645. [Google Scholar] [CrossRef]
  59. Shi, H.; Cheng, X.; Peng, J.; Feng, H.; Yang, X.; Quan, L.; Jiang, L.; Tontiwachwuthikul, P. Structure–Activity Correlation Analyses of MEA + 3A1P/MAE Isomers with a Coordinative Effect Study. Ind. Eng. Chem. Res. 2022, 61, 3091–3103. [Google Scholar] [CrossRef]
  60. Shi, H.; Zheng, L.; Huang, M.; Zuo, Y.; Kang, S.; Huang, Y.; Idem, R.; Tontiwachwuthikul, P. Catalytic-CO2-Desorption Studies of DEA and DEA–MEA Blended Solutions with the Aid of Lewis and Brønsted Acids. Ind. Eng. Chem. Res. 2018, 57, 11505–11516. [Google Scholar] [CrossRef]
  61. Xiao, S.; Liu, H.; Gao, H.; Xiao, M.; Luo, X.; Idem, R.; Tontiwachwuthikul, P.; Liang, Z. Kinetics and mechanism study of homo-geneous reaction of CO2 and blends of diethanolamine and monoethanolamine using the stopped-flow technique. Chem.-Cal. Eng. J. 2017, 316, 592–600. [Google Scholar] [CrossRef]
  62. Liu, H.; Li, M.; Luo, X.; Liang, Z.; Idem, R.; Tontiwachwuthikul, P. Investigation mechanism of DEA as an activator on aqueous MEA solution for postcombustion CO2 capture. AICHE J. 2018, 64, 2515–2525. [Google Scholar] [CrossRef]
  63. Shi, H.; Fu, J.; Wu, Q.; Huang, M.; Jiang, L.; Cui, M.; Idem, R.; Tontiwachwuthikul, P. Studies of the coordination effect of DEA-MEA blended amines (within 1 + 4 to 2 + 3 M) under heterogeneous catalysis by means of absorption and desorption parameters. Sep. Purif. Technol. 2019, 236, 116179. [Google Scholar] [CrossRef]
  64. Shi, H.; Peng, J.; Cheng, X.; Yang, X.; Jin, J.; Hu, J. The CO2 desorption analysis of tri-solvent MEA + BEA + DEEA with several commercial solid acid catalysts. Int. J. Greenh. Gas Control 2022, 116, 103647. [Google Scholar] [CrossRef]
  65. Idem, R.; Shi, H.; Gelowitz, D.; Tontiwachwuthikul, P. Catalytic Method and Apparatus for Separating a Gaseous Component from an Incoming Gas Stream; W.I.P. Organization: Regina, SK, Canada, 2011. [Google Scholar]
  66. Zhao, B.; Liu, F.; Cui, Z.; Liu, C.; Yue, H.; Tang, S.; Liu, Y.; Lu, H.; Liang, B. Enhancing the energetic efficiency of MDEA/PZ-based CO2 capture technology for a 650 MW power plant: Process improvement. Appl. Energy 2017, 185, 362–375. [Google Scholar] [CrossRef]
  67. Akachuku, A.; Osei, P.A.; Decardi-Nelson, B.; Srisang, W.; Pouryousefi, F.; Ibrahim, H.; Idem, R. Experimental and kinetic study of the catalytic desorption of CO2 from CO2-loaded monoethanolamine (MEA) and blended monoethanolamine—Me-thyl-diethanolamine (MEA-MDEA) solutions. Energy 2019, 179, 475–489. [Google Scholar] [CrossRef]
  68. Afari, D.B.; Coker, J.; Narku-Tetteh, J.; Idem, R. Comparative Kinetic Studies of Solid Absorber Catalyst (K/MgO) and Solid Desorber Catalyst (HZSM-5)-Aided CO2 Absorption and Desorption from Aqueous Solutions of MEA and Blended Solu-tions of BEA-AMP and MEA-MDEA. Ind. Eng. Chem. Res. 2018, 57, 15824–15839. [Google Scholar] [CrossRef]
  69. Narku-Tetteh, J.; Afari, D.B.; Coker, J.; Idem, R. Evaluation of the Roles of Absorber and Desorber Catalysts in the Heat Duty and Heat of CO2 Desorption from BEA-AMP and MEA-MDEA Solvent Blends in a Bench-Scale CO2 Capture Pilot Plant. Energy Fuels 2018, 32, 9711–9726. [Google Scholar] [CrossRef]
  70. Natewong, P.; Prasongthum, N.; Reubroycharoen, P.; Idem, R.O. Evaluating the CO2 Capture Performance Using a BEA-AMP Biblend Amine Solvent with Novel High-Performing Absorber and Desorber Catalysts in a Bench-Scale CO2 Capture Pilot Plant. Energy Fuels 2019, 33, 3390–3402. [Google Scholar] [CrossRef]
  71. Prasongthum, N.; Natewong, P.; Reubroycharoen, P.; Idem, R. Solvent Regeneration of a CO2-Loaded BEA–AMP Bi-Blend Amine Solvent with the Aid of a Solid Brønsted Ce(SO4)2/ZrO2 Superacid Catalyst. Energy Fuels 2019, 33, 1334–1343. [Google Scholar] [CrossRef]
  72. Horwitz, W. Association of Official Analytical Chemists (AOAC) Methods; George Banta Co.: Menasha, WI, USA, 1975. [Google Scholar]
Scheme 1. The reaction pathways of CO2 desorption for MEA/RR’NH and R3N [22].
Scheme 1. The reaction pathways of CO2 desorption for MEA/RR’NH and R3N [22].
Catalysts 12 00723 sch001
Figure 1. The CO2 desorption profiles of MEA + EAE + AMP with catalysts within 0.1 + 2 + 2 mol/L–0.5 + 2 + 2 mol/L. (a) 0.1 + 2 + 2 mol/L, (b) 0.2 + 2 + 2 mol/L, (c) 0.3 + 2 + 2 mol/L, (d) 0.4 + 2 + 2 mol/L, (e) 0.5 + 2 + 2 mol/L.
Figure 1. The CO2 desorption profiles of MEA + EAE + AMP with catalysts within 0.1 + 2 + 2 mol/L–0.5 + 2 + 2 mol/L. (a) 0.1 + 2 + 2 mol/L, (b) 0.2 + 2 + 2 mol/L, (c) 0.3 + 2 + 2 mol/L, (d) 0.4 + 2 + 2 mol/L, (e) 0.5 + 2 + 2 mol/L.
Catalysts 12 00723 g001aCatalysts 12 00723 g001b
Figure 2. The average desorption rates of MEA + EAE + AMP at 0.1–0.5 + 2 + 2 mol/L with catalysts at (a) 15 min and (b) 30 min.
Figure 2. The average desorption rates of MEA + EAE + AMP at 0.1–0.5 + 2 + 2 mol/L with catalysts at (a) 15 min and (b) 30 min.
Catalysts 12 00723 g002aCatalysts 12 00723 g002b
Figure 3. The heat duties of MEA + EAE + AMP at 0.1–0.5 + 2 + 2 mol/L with various catalysts: (a) 15 min, (b) 30 min.
Figure 3. The heat duties of MEA + EAE + AMP at 0.1–0.5 + 2 + 2 mol/L with various catalysts: (a) 15 min, (b) 30 min.
Catalysts 12 00723 g003aCatalysts 12 00723 g003b
Figure 4. The CO2 desorption profiles of MEA + EAE + AMP with catalysts at (a) 0.2 + 2 + 2 mol/L and (b) 0.5 + 2 + 2 mol/L.
Figure 4. The CO2 desorption profiles of MEA + EAE + AMP with catalysts at (a) 0.2 + 2 + 2 mol/L and (b) 0.5 + 2 + 2 mol/L.
Catalysts 12 00723 g004
Figure 5. The average desorption rates of MEA + EAE + AMP with catalysts at (a) 30 min and (b) 60 min.
Figure 5. The average desorption rates of MEA + EAE + AMP with catalysts at (a) 30 min and (b) 60 min.
Catalysts 12 00723 g005
Figure 6. The heat duties of MEA + EAE + AMP with various catalysts at (a) 30 min and (b) 60 min.
Figure 6. The heat duties of MEA + EAE + AMP with various catalysts at (a) 30 min and (b) 60 min.
Catalysts 12 00723 g006
Figure 7. The CO2 desorption profiles of MEA + EAE + AMP at 0.3 + 1.5 + 2.5 mol/L with catalysts of 0.3 + 1.5 + 2.5 mol/L.
Figure 7. The CO2 desorption profiles of MEA + EAE + AMP at 0.3 + 1.5 + 2.5 mol/L with catalysts of 0.3 + 1.5 + 2.5 mol/L.
Catalysts 12 00723 g007
Figure 8. The average desorption rates of MEA + EAE + AMP at 0.3 + 1.5 + 2.5 mol/L with catalysts at (a) 30 min, (b) 60 min.
Figure 8. The average desorption rates of MEA + EAE + AMP at 0.3 + 1.5 + 2.5 mol/L with catalysts at (a) 30 min, (b) 60 min.
Catalysts 12 00723 g008aCatalysts 12 00723 g008b
Figure 9. The heat duties of MEA + EAE + AMP at 0.3 + 1.5 + 2.5 mol/L with various catalysts at (a) 30 min, (b) 60 min.
Figure 9. The heat duties of MEA + EAE + AMP at 0.3 + 1.5 + 2.5 mol/L with various catalysts at (a) 30 min, (b) 60 min.
Catalysts 12 00723 g009aCatalysts 12 00723 g009b
Figure 10. The CO2 desorption profiles of MEA + EAE + AMP at 0.2 + 1 + 3 mol/L with catalysts.
Figure 10. The CO2 desorption profiles of MEA + EAE + AMP at 0.2 + 1 + 3 mol/L with catalysts.
Catalysts 12 00723 g010
Figure 11. The average desorption rates of MEA + EAE + AMP at 0.2 + 1 + 3 mol/L with catalysts at (a) 30 min and (b) 60 min.
Figure 11. The average desorption rates of MEA + EAE + AMP at 0.2 + 1 + 3 mol/L with catalysts at (a) 30 min and (b) 60 min.
Catalysts 12 00723 g011aCatalysts 12 00723 g011b
Figure 12. The heat duties of MEA + EAE + AMP at 0.2 + 1 + 3 mol/L with various catalysts at (a) 30 min and (b) 60 min.
Figure 12. The heat duties of MEA + EAE + AMP at 0.2 + 1 + 3 mol/L with various catalysts at (a) 30 min and (b) 60 min.
Catalysts 12 00723 g012aCatalysts 12 00723 g012b
Table 1. Studies of various tri-solvents since 2016 [15,16,17,18,19,20,21,22,23,24,25].
Table 1. Studies of various tri-solvents since 2016 [15,16,17,18,19,20,21,22,23,24,25].
Tri-SolventConcentration RangeReference
MEA + MDEA + PZ3 + 1.5–2.5 + 0.5–1.5 mol/L[19]
MEA + MDEA + PZ3 + 2.5 + 0.5 mol/L[22]
MEA + AMP + PZ3 + 1.5–2.5 + 0.5–1.5 mol/L[21]
AMP + PZ + MEA1.5–2.5 + 0.5–1.5 + 3 mol/L[15]
AMP + PZ + MEA1.5–2.5 + 0.5–1.5 + 3 mol/L[16]
AMP + PZ + MEA2 + 1 + 2 mol/L[18,20]
MEA + BEA + AMP0.1–0.5 + 2 + 2 mol/L[23,24]
MEA + BEA + DEEA0.1–0.5 + 2 + 2 mol/LAccepted in IJGGC
MEA + EAE + AMP0.1–0.5 + 2 + 2 mol/L[25]
MEA + EAE + AMP0.1–0.5 + 1–2 + 2–3 mol/LThis study
Table 2. The desorption factors of tri-solvent of MEA + EAE + AMP solvents with various catalysts: 15 min and 30 min.
Table 2. The desorption factors of tri-solvent of MEA + EAE + AMP solvents with various catalysts: 15 min and 30 min.
MEA + EAE + AMP Desorption Factor
(10−3 mol CO2)3/L2 kJ min
15 min30 min
(mol/L)Blankγ-Al2O3/H-ZSM-5 (15 g)Blankγ-Al2O3/H-ZSM-5 (15 g)
0.1 + 2 + 20.025 0.038 0.020 0.027
0.2 + 2 + 20.032 0.088 0.021 0.036
0.3 + 2 + 20.032 0.041 0.020 0.027
0.4 + 2 + 20.029 0.043 0.026 0.029
0.5 + 2 + 20.027 0.039 0.019 0.032
Table 3. The desorption factors of tri-solvent of MEA+EAE+AMP solvents at 0.2 + 2 + 2 and 0.5 + 2 + 2 mol/L with 5 g solid acid catalysts at 30 min.
Table 3. The desorption factors of tri-solvent of MEA+EAE+AMP solvents at 0.2 + 2 + 2 and 0.5 + 2 + 2 mol/L with 5 g solid acid catalysts at 30 min.
MEA + EAE + AMPDesorption Factor
(10−3 mol CO2)3/L2 kJ min
(mol/L)Non Catalystγ-Al2O3/H-ZSM-5H-BetaH-MordeniteHND-8HND-580
0.2 + 2 + 20.01790.01850.01880.01900.02230.0193
0.5 + 2 + 20.01700.01760.01800.01850.02200.0190
Table 4. The desorption factors of tri-solvent of MEA + EAE + AMP solvents with various catalysts at 30 min.
Table 4. The desorption factors of tri-solvent of MEA + EAE + AMP solvents with various catalysts at 30 min.
MEA + EAE + AMPDesorption Factor
(10−3 mol CO2)3/L2 kJ min
(mol/L)Non Catalystγ-Al2O3/H-ZSM-5H-BetaH-MordeniteHND-8HND-580
0.5 + 1.5 + 2.50.0094 0.0094 0.0097 0.0098 0.0126 0.0110
0.2 + 1 + 30.0072 0.0079 0.0103 0.0135 0.0277 0.0270
Table 5. The characteristics of super solid acid catalysts HND-8 and HND-580.
Table 5. The characteristics of super solid acid catalysts HND-8 and HND-580.
ParametersCatalyst
HND-8HND-580
Acidity by strength (mmol/g)24.75≥4.95
Wet apparent density (g/mL)0.75–0.850.55–0.65
Wet true density (g/mL)1.18–1.281.18–1.28
Average pore diameter (nm)≥15≥15
Surface area (m2/g)>20≥20
Pore volume (cm3/g)0.2–0.40.2–0.45
Particle size between 0.315–1.25 mm (%)>90≥90
Water content (%)≤3 (dry), 50–57 (wet)≤3
Maximum service temperature (°C)150170
Publisher’s Note: MDPI stays neutral with regard to jurisdictional claims in published maps and institutional affiliations.

Share and Cite

MDPI and ACS Style

Zhang, B.; Peng, J.; Li, Y.; Shi, H.; Jin, J.; Hu, J.; Lu, S. Evaluating CO2 Desorption Activity of Tri-Solvent MEA + EAE + AMP with Various Commercial Solid Acid Catalysts. Catalysts 2022, 12, 723. https://doi.org/10.3390/catal12070723

AMA Style

Zhang B, Peng J, Li Y, Shi H, Jin J, Hu J, Lu S. Evaluating CO2 Desorption Activity of Tri-Solvent MEA + EAE + AMP with Various Commercial Solid Acid Catalysts. Catalysts. 2022; 12(7):723. https://doi.org/10.3390/catal12070723

Chicago/Turabian Style

Zhang, Binbin, Jiacheng Peng, Ye Li, Huancong Shi, Jing Jin, Jiawei Hu, and Shijian Lu. 2022. "Evaluating CO2 Desorption Activity of Tri-Solvent MEA + EAE + AMP with Various Commercial Solid Acid Catalysts" Catalysts 12, no. 7: 723. https://doi.org/10.3390/catal12070723

APA Style

Zhang, B., Peng, J., Li, Y., Shi, H., Jin, J., Hu, J., & Lu, S. (2022). Evaluating CO2 Desorption Activity of Tri-Solvent MEA + EAE + AMP with Various Commercial Solid Acid Catalysts. Catalysts, 12(7), 723. https://doi.org/10.3390/catal12070723

Note that from the first issue of 2016, this journal uses article numbers instead of page numbers. See further details here.

Article Metrics

Back to TopTop