Ring-Opening Polymerization of rac-Lactide Catalyzed by Octahedral Nickel Carboxylate Complexes
Abstract
1. Introduction
2. Results and Discussion
2.1. Synthesis and Structure Characterization of Ni Complexes
2.2. Ring-Opening Polymerization of rac-Lactide
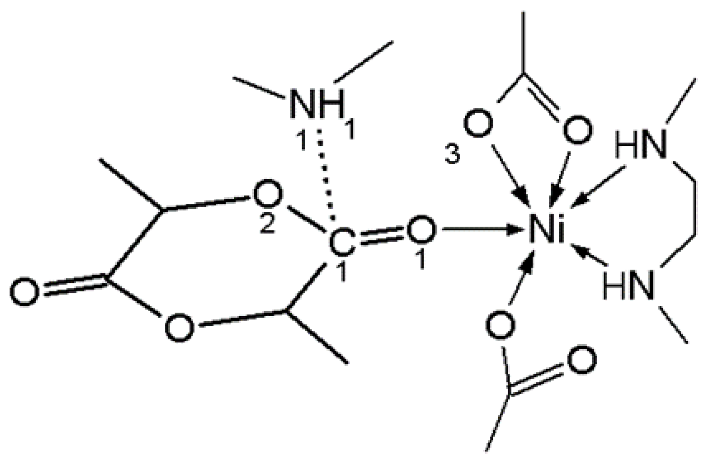
2.3. Mechanistic Aspects of Polymerization
2.3.1. Spectroscopy Investigation
2.3.2. Quantum-Chemical Modelling
2.4. Biological Evaluation
3. Materials and Methods
3.1. Chemicals and Supplements
3.2. Characterization Techniques
3.3. Synthesis of Nickel(II) Complexes
3.3.1. Preparation of trans-[Ni(DBED)2(O2CCF3)2]·C6H6 (1)
3.3.2. Preparation of trans-[Ni(DBED)2(O2CC(CH3)3)2]·(CH3)3CCO2H (2)
3.3.3. Preparation of [Ni2(μ-OH2)(μ-O2CCF3)2(O2CCF3)2(TEMED)2] (3) and [Ni2(μ-OH2)(μ-O2CC6H5)2(O2CC6H5)2(TEMED)2] (4)
3.4. Protocol of rac-LA Polymerization
3.5. Density Functional Theory (DFT) Calculation Details
3.6. Biological Evaluation
4. Conclusions
Supplementary Materials
Author Contributions
Funding
Data Availability Statement
Acknowledgments
Conflicts of Interest
References
- Prokop, A.; Jubel, A.; Helling, H.J.; Eibach, T.; Peters, C.; Baldus, S.E.; Rehm, K.E. Soft Tissue Reactions of Different Biodegradable Polylactide Implants. Biomaterials 2004, 25, 259–267. [Google Scholar] [CrossRef] [PubMed]
- Moetazedian, A.; Gleadall, A.; Han, X.; Silberschmidt, V.V. Effect of Environment on Mechanical Properties of 3D Printed Polylactide for Biomedical Applications. J. Mech. Behav. Biomed. Mater. 2020, 102, 103510. [Google Scholar] [CrossRef] [PubMed]
- Averianov, I.; Stepanova, M.; Gofman, I.; Lavrentieva, A.; Korzhikov-Vlakh, V.; Korzhikova-Vlakh, E. Osteoconductive Biocompatible 3D-Printed Composites of Poly-D,L-Lactide Filled with Nanocrystalline Cellulose Modified by Poly(Glutamic Acid). Mendeleev Commun. 2022, 32, 810–812. [Google Scholar] [CrossRef]
- Stepanova, M.; Averianov, I.; Solomakha, O.; Zabolotnykh, N.; Gofman, I.; Serdobintsev, M.; Vinogradova, T.; Korzhikov-Vlakh, V.; Korzhikova-Vlakh, E. Composite Biomaterials Based on Poly(L-Lactic Acid) and Functionalized Cellulose Nanocrystals. J. Renew. Mater. 2020, 8, 383–395. [Google Scholar] [CrossRef]
- Xiao, X.; Chevali, V.S.; Song, P.; He, D.; Wang, H. Polylactide/Hemp Hurd Biocomposites as Sustainable 3D Printing Feedstock. Compos. Sci. Technol. 2019, 184, 107887. [Google Scholar] [CrossRef]
- Averianov, I.; Stepanova, M.; Solomakha, O.; Gofman, I.; Serdobintsev, M.; Blum, N.; Kaftuirev, A.; Baulin, I.; Nashchekina, J.; Lavrentieva, A.; et al. 3D-Printed Composite Scaffolds Based on Poly(ε-caprolactone) Filled with Poly(Glutamic Acid)-modified Cellulose Nanocrystals for Improved Bone Tissue Regeneration. J. Biomed. Mater. Res. B Appl. Biomater. 2022, 110, 2422–2437. [Google Scholar] [CrossRef]
- Calzoni, E.; Cesaretti, A.; Polchi, A.; di Michele, A.; Tancini, B.; Emiliani, C. Biocompatible Polymer Nanoparticles for Drug Delivery Applications in Cancer and Neurodegenerative Disorder Therapies. J. Funct. Biomater. 2019, 10, 4. [Google Scholar] [CrossRef]
- Chen, W.; Zhou, S.; Ge, L.; Wu, W.; Jiang, X. Translatable High Drug Loading Drug Delivery Systems Based on Biocompatible Polymer Nanocarriers. Biomacromolecules 2018, 19, 1732–1745. [Google Scholar] [CrossRef] [PubMed]
- Stepanova, M.; Dobrodumov, A.; Averianov, I.; Gofman, I.; Nashchekina, J.; Guryanov, I.; Klyukin, I.; Zhdanov, A.; Korzhikova-Vlakh, E.; Zhizhin, K. Design, Fabrication and Characterization of Biodegradable Composites Containing Closo-Borates as Potential Materials for Boron Neutron Capture Therapy. Polymers 2022, 14, 3864. [Google Scholar] [CrossRef]
- Ahmed, J.; Mulla, M.Z.; Al-Zuwayed, S.A.; Joseph, A.; Auras, R. Morphological, Barrier, Thermal, and Rheological Properties of High-Pressure Treated Co-Extruded Polylactide Films and the Suitability for Food Packaging. Food Packag. Shelf Life 2022, 32, 100812. [Google Scholar] [CrossRef]
- Naser, A.Z.; Deiab, I.; Darras, B.M. Poly(Lactic Acid) (PLA) and Polyhydroxyalkanoates (PHAs), Green Alternatives to Petroleum-Based Plastics: A Review. RSC Adv. 2021, 11, 17151–17196. [Google Scholar] [CrossRef]
- Freeland, B.; McCarthy, E.; Balakrishnan, R.; Fahy, S.; Boland, A.; Rochfort, K.D.; Dabros, M.; Marti, R.; Kelleher, S.M.; Gaughran, J. A Review of Polylactic Acid as a Replacement Material for Single-Use Laboratory Components. Materials 2022, 15, 2989. [Google Scholar] [CrossRef]
- Stepanova, M.; Korzhikova-Vlakh, E. Modification of Cellulose Micro- and Nanomaterials to Improve Properties of Aliphatic Polyesters/Cellulose Composites: A Review. Polymers 2022, 14, 1477. [Google Scholar] [CrossRef]
- Auras, R.; Lim, L.T.; Selke, S.E.M.; Tsuji, H. Poly(Lactic Acid): Synthesis, Structures, Properties, Processing, and Applications; John Wiley & Sons, Inc.: Hoboken, NJ, USA, 2010; p. 432. [Google Scholar] [CrossRef]
- Moins, S.; Hoyas, S.; Lemaur, V.; Orhan, B.; Chiaie, K.D.; Lazzaroni, R.; Taton, D.; Dove, A.P.; Coulembier, O. Stereoselective Rop of Rac-and Meso-Lactides Using Achiral Tbd as Catalyst. Catalysts 2020, 10, 620. [Google Scholar] [CrossRef]
- Leenslag, J.W.; Pennings, A.J. Synthesis of High-Molecular-Weight Poly(L-Lactide) Initiated with Tin 2-Ethylhexanoate. Die Makromol. Chem. 1987, 188, 1809–1814. [Google Scholar] [CrossRef]
- Schwach, G.; Coudane, J.; Engel, R.; Vert, M. More about the Polymerization of Lactides in the Presence of Stannous Octoate. J. Polym. Sci. A Polym. Chem. 1997, 35, 3431–3440. [Google Scholar] [CrossRef]
- Dubois, P.; Jacobs, C.; Jérôme, R.; Teyssté, P. Macromolecular Engineering of Polylactones and Polylactides. 4. Mechanism and Kinetics of Lactide Homopolymerization by Aluminum Isopropoxide. Macromolecules 1991, 24, 2266–2270. [Google Scholar] [CrossRef]
- Dechy-Cabaret, O.; Martin-Vaca, B.; Bourissou, D. Controlled Ring-Opening Polymerization of Lactide and Glycolide. Chem. Rev. 2004, 104, 6147–6176. [Google Scholar] [CrossRef] [PubMed]
- Fuoco, T.; Pappalardo, D. Aluminum Alkyl Complexes Bearing Salicylaldiminato Ligands: Versatile Initiators in the Ring-Opening Polymerization of Cyclic Esters. Catalysts 2017, 7, 64. [Google Scholar] [CrossRef]
- Dubey, S.; Abhyankar, H.; Marchante, V.; Brighton, J.; Blackburn, K. Chronological Review of the Catalytic Progress of Polylactic Acid Formation through Ring Opening Polymerization. Int. Res. J. Pure Appl. Chem. 2016, 12, 1–20. [Google Scholar] [CrossRef]
- Mezzasalma, L.; Dove, A.P.; Coulembier, O. Organocatalytic Ring-Opening Polymerization of l-Lactide in Bulk: A Long Standing Challenge. Eur. Polym. J. 2017, 95, 628–634. [Google Scholar] [CrossRef]
- Lewinski, P.; Sosnowski, S.; Penczek, S. L-Lactide Polymerization—Living and Controlled—Catalyzed by Initiators: Hydroxyalkylated Organic Bases. Polymer 2017, 108, 265–271. [Google Scholar] [CrossRef]
- Lewinski, P.; Kaluzynski, K.; Pretula, J.; Mielniczak, G.; Penczek, S. Catalysis in Polymerization of Cyclic Esters. Catalyst and Initiator in One Molecule. Polymerization of Lactide. J. Catal. 2022, 405, 249–264. [Google Scholar] [CrossRef]
- Gadomska-Gajadhur, A.; Ruśkowski, P. Biocompatible Catalysts for Lactide Polymerization—Catalyst Activity, Racemization Effect, and Optimization of the Polymerization Based on Design of Experiments. Org. Process Res. Dev. 2020, 24, 1435–1442. [Google Scholar] [CrossRef]
- Zhang, L.; Pratt, R.C.; Nederberg, F.; Horn, H.W.; Rice, J.E.; Waymouth, R.M.; Wade, C.G.; Hedrick, J.L. Acyclic Guanidines as Organic Catalysts for Living Polymerization of Lactide. Macromolecules 2010, 43, 1660–1664. [Google Scholar] [CrossRef]
- Liu, N.; Gu, C.; Chen, M.; Zhang, J.; Yang, W.; Zhan, A.; Zhang, K.; Lin, Q.; Zhu, L. Terpolymerizations of CO2, Propylene Oxide and DL-Lactide Catalyzed by Zn-Fe DMC Catalysts with Quaternary Ammonium Salts. ChemistrySelect 2020, 5, 2388–2394. [Google Scholar] [CrossRef]
- Schäfer, P.M.; Herres-Pawlis, S. Robust Guanidine Metal Catalysts for the Ring-Opening Polymerization of Lactide under Industrially Relevant Conditions. ChemPlusChem 2020, 85, 1044–1052. [Google Scholar] [CrossRef] [PubMed]
- Kricheldorf, H.R.; Weidner, S.M. High Molecular Weight Poly(L-lactide) via ring-opening Polymerization with Bismuth Subsalicylate—The Role of Cocatalysts. J. Appl. Polym. Sci. 2021, 138, 50394. [Google Scholar] [CrossRef]
- Myers, M.; Connor, E.F.; Glauser, T.; Möck, A.; Nyce, G.; Hedrick, J.L. Phosphines: Nucleophilic Organic Catalysts for the Controlled Ring-Opening Polymerization of Lactides. J. Polym. Sci. A Polym. Chem. 2002, 40, 844–851. [Google Scholar] [CrossRef]
- Luo, Z.; Chaemchuen, S.; Zhou, K.; Verpoort, F. Ring-Opening Polymerization of L-Lactide to Cyclic Poly(Lactide) by Zeolitic Imidazole Framework ZIF-8 Catalyst. ChemSusChem 2017, 10, 4135–4139. [Google Scholar] [CrossRef] [PubMed]
- Rentero, C.; Damián, J.; Medel, A.; Fernández-Millán, M.; Rusconi, Y.; Talarico, G.; Cuenca, T.; Sessini, V.; Mosquera, M.E.G. Ring-Opening Polymerization of L-Lactide Catalyzed by Potassium-Based Complexes: Mechanistic Studies. Polymers 2022, 14, 2982. [Google Scholar] [CrossRef]
- Kremer, A.B.; Mehrkhodavandi, P. Dinuclear Catalysts for the Ring Opening Polymerization of Lactide. Coord. Chem. Rev. 2019, 380, 35–57. [Google Scholar] [CrossRef]
- Wu, L.-J.; Lee, W.; Kumar Ganta, P.; Chang, Y.-L.; Chang, Y.-C.; Chen, H.-Y. Multinuclear Metal Catalysts in Ring-Opening Polymerization of ε-caprolactone and Lactide: Cooperative and Electronic Effects between Metal Centers. Coord. Chem. Rev. 2023, 475, 214847. [Google Scholar] [CrossRef]
- Wang, H.; Cue, J.M.O.; Calubaquib, E.L.; Kularatne, R.N.; Taslimy, S.; Miller, J.T.; Stefan, M.C. Neodymium Catalysts for Polymerization of Dienes, Vinyl Monomers, and ε-Caprolactone. Polym. Chem. 2021, 12, 6790–6823. [Google Scholar] [CrossRef]
- Kricheldorf, H.R.; Serra, A. Polylactones. Polym. Bull. 1985, 14, 497–502. [Google Scholar] [CrossRef]
- Khononov, M.; Liu, H.; Fridman, N.; Tamm, M.; Eisen, M.S. Mono(Imidazolin-2-Iminato) Hafnium Complexes: Synthesis and Application in the Ring-Opening Polymerization of ε-Caprolactone and rac-Lactide. Catalysts 2022, 12, 1201. [Google Scholar] [CrossRef]
- Zhang, X.; Prior, T.J.; Chen, K.; Santoro, O.; Redshaw, C. Ring Opening Polymerization of Lactides and Lactones by Multimetallic Titanium Complexes Derived from the Acids Ph2C(X)CO2H (X = OH, NH2). Catalysts 2022, 12, 935. [Google Scholar] [CrossRef]
- Jenkins, D.T.; Fazekas, E.; Patterson, S.B.H.; Rosair, G.M.; Vilela, F.; McIntosh, R.D. Polymetallic Group 4 Complexes: Catalysts for the Ring Opening Polymerisation of Rac-Lactide. Catalysts 2021, 11, 551. [Google Scholar] [CrossRef]
- Rosen, T.; Rajpurohit, J.; Lipstman, S.; Venditto, V.; Kol, M. Isoselective Polymerization of rac-Lactide by Highly Active Sequential {ONNN} Magnesium Complexes. Chem. Eur. J. 2020, 26, 17183–17189. [Google Scholar] [CrossRef]
- Devaine-Pressing, K.; Oldenburg, F.J.; Menzel, J.P.; Springer, M.; Dawe, L.N.; Kozak, C.M. Lithium, Sodium, Potassium and Calcium Amine-Bis(Phenolate) Complexes in the Ring-Opening Polymerization of rac-Lactide. Dalton Trans. 2020, 49, 1531–1544. [Google Scholar] [CrossRef]
- Chandanabodhi, D.; Nanok, T. A DFT Study of the Ring-Opening Polymerization Mechanism of L-Lactide and ε-Caprolactone Using Aluminium Salen-Type Initiators: Towards an Understanding of Their Reactivities in Homo- and Copolymerization. Mol. Catal. 2017, 436, 145–156. [Google Scholar] [CrossRef]
- Nifant’ev, I.E.; Shlyakhtin, A.V.; Bagrov, V.V.; Minyaev, M.E.; Churakov, A.V.; Karchevsky, S.G.; Birin, K.P.; Ivchenko, P.V. Mono-BHT Heteroleptic Magnesium Complexes: Synthesis, Molecular Structure and Catalytic Behavior in the Ring-Opening Polymerization of Cyclic Esters. Dalton Trans. 2017, 46, 12132–12146. [Google Scholar] [CrossRef]
- Jitonnom, J.; Meelua, W. DFT Study of Lactide Ring-Opening Polymerizations by Aluminium Trialkoxides: Understanding the Effects of Monomer, Alkoxide Substituent, Solvent and Metal. Chem. Phys. Lett. 2020, 750, 137482. [Google Scholar] [CrossRef]
- Ozen, C.; Satoh, T.; Maeda, S. A Theoretical Study on the Alkali Metal Carboxylate-Promoted L-Lactide Polymerization. J. Comput. Chem. 2020, 41, 2197–2202. [Google Scholar] [CrossRef]
- Albertsson, A.C.; Varma, I.K. Recent Developments in Ring Opening Polymerization of Lactones for Biomedical Applications. Biomacromolecules 2003, 4, 1466–1486. [Google Scholar] [CrossRef] [PubMed]
- Kricheldorf, H.R.; Kreiser-Saunders, I.; Stricker, A. Polylactones 48. SnOct2-Initiated Polymerizations of Lactide: A Mechanistic Study. Macromolecules 2000, 33, 702–709. [Google Scholar] [CrossRef]
- Ogoshi, S. Nickel Catalysis in Organic Synthesis: Methods and Reactions; Wiley-VCH: Weinheim, Germany, 2019; p. 352. [Google Scholar] [CrossRef]
- Tasker, S.Z.; Standley, E.A.; Jamison, T.F. Recent Advances in Homogeneous Nickel Catalysis. Nature 2014, 509, 299–309. [Google Scholar] [CrossRef]
- Zhang, X.; Qi, D.; Jiao, C.; Liu, X.; Zhang, G. Nickel-Catalyzed Deaminative Sonogashira Coupling of Alkylpyridinium Salts Enabled by NN2 Pincer Ligand. Nat. Commun. 2021, 12, 4904. [Google Scholar] [CrossRef]
- Zhu, F.; Li, C.X.; Wu, Z.L.; Cai, T.; Wen, W.; Guo, Q.X. Chiral Aldehyde-Nickel Dual Catalysis Enables Asymmetric α-propargylation of Amino Acids and Stereodivergent Synthesis of NP25302. Nat. Commun. 2022, 13, 7290. [Google Scholar] [CrossRef]
- Malyshev, D.A.; Scott, N.M.; Marion, N.; Stevens, E.D.; Ananikov, V.P.; Beletskaya, I.P.; Nolan, S.P. Homogeneous Nickel Catalysts for the Selective Transfer of a Single Arylthio Group in the Catalytic Hydrothiolation of Alkynes. Organometallics 2006, 25, 4462–4470. [Google Scholar] [CrossRef]
- Ananikov, V.P. Nickel: The “Spirited Horse” of Transition Metal Catalysis. ACS Catal. 2015, 5, 1964–1971. [Google Scholar] [CrossRef]
- Brown, D.A.; Glass, W.K.; Fitzpatrick, N.J.; Kemp, T.J.; Errington, W.; Müller-Bunz, H.; Hussein, A.J.; Nimir, H. Mononuclear and Dinuclear Model Hydrolases of Nickel and Cobalt. Inorg. Chim. Acta 2005, 358, 2755–2762. [Google Scholar] [CrossRef]
- Routaray, A.; Mantri, S.; Nath, N.; Sutar, A.K.; Maharana, T. Nickel(II) Complex Catalyzed Ring-Opening Polymerization of Lactide. Polyhedron 2016, 119, 335–341. [Google Scholar] [CrossRef]
- Sun, J.; Shi, W.; Chen, D.; Liang, C. The Ring-Opening Polymerization Of D,L-Lactide Catalyzed by New Complexes of Cu, Zn, Co, and Ni Schiff Base Derived from Salicylidene And L-Aspartic Acid. J. Appl. Polym. Sci. 2002, 86, 3312–3315. [Google Scholar] [CrossRef]
- Ding, L.; Jin, W.; Chu, Z.; Chen, L.; Lü, X.; Yuan, G.; Song, J.; Fan, D.; Bao, F. Bulk Solvent-Free Melt Ring-Opening Polymerization (ROP) of L-Lactide Catalyzed by Ni(II) and Ni(II)–Ln(III) Complexes Based on the Acyclic Salen-Type Schiff-Base Ligand. Inorg. Chem. Commun. 2011, 14, 1274–1278. [Google Scholar] [CrossRef]
- Xiao, G.; Yan, B.; Ma, R.; Jin, W.J.; Lü, X.Q.; Ding, L.Q.; Zeng, C.; Chen, L.L.; Bao, F. Bulk Ring-Opening Polymerization (ROP) of L-Lactide Catalyzed by Ni(II) and Ni(II)-Sm(II) Complexes Based on a Salen-Type Schiff-Base Ligand. Polym. Chem. 2011, 2, 659–664. [Google Scholar] [CrossRef]
- Bette, S.; Rincke, C.; Dinnebier, R.E.; Voigt, W. Crystal Structure and Hydrate Water Content of Synthetic Hellyerite, NiCO3·5.5H2O. Z. Anorg. Allg. Chem. 2016, 642, 652–659. [Google Scholar] [CrossRef]
- Blinou, D.O.; Nikiforov, A.A.; Gurzhiy, V.V.; Minkovich, A.E.; Maksimov, M.Y.; Panina, N.S.; Belyaev, A.N.; Eremin, A.V. Complexes [Ni2(μ-OH2)(μ-O2CCH(CH3)2)2L2–4((CH3)2CHCO2)2]: Synthesis, Structure, and Mass Spectrometric Studies. Russ. J. Coord. Chem. 2020, 46, 81–88. [Google Scholar] [CrossRef]
- Ahlgrén, M.; Turpeinen, U. The Structure of μ-Aqua-Bis(μ-Trifluoroacetato-O,O′)-Bis[(N,N,N′, N′-Tetramethylethylenediamine)(Trifluoroacetato)Nickel(II)]. Acta Crystallogr. B 1982, 38, 276–279. [Google Scholar] [CrossRef]
- Brown, D.A.; Glass, W.K.; Fitzpatrick, N.J.; Kemp, T.J.; Errington, W.; Clarkson, G.J.; Haase, W.; Karsten, F.; Mahdy, A.H. Structural Variations in Dinuclear Model Hydrolases and Hydroxamate Inhibitor Models: Synthetic, Spectroscopic and Structural Studies. Inorg. Chim. Acta 2004, 357, 1411–1436. [Google Scholar] [CrossRef]
- Romakh, V.B.; Therrien, B.; Labat, G.; Stoekli-Evans, H.; Shul’pin, G.B.; Süss-Fink, G. Dinuclear Iron, Ruthenium and Cobalt Complexes Containing 1,4-Dimethyl-1,4,7-Triazacyclononane Ligands as Well as Carboxylato and Oxo or Hydroxo Bridges. Inorg. Chim. Acta 2006, 359, 3297–3305. [Google Scholar] [CrossRef]
- Hagen, K.S.; Lachicotte, R.; Kitaygorodskiy, A. Supramolecular Control of Stepwise and Selective Carboxylate Ligand Substitution in Aqua-Carboxylato-Bridged Dimetal(II) Complexes. J. Am. Chem. Soc. 1993, 115, 12617–12618. [Google Scholar] [CrossRef]
- Singh, S.; Saini, D.; Mehta, S.K.; Choquesillo-Lazarte, D. Synthesis, Spectroscopic, and Thermal Analyses of Binuclear Mixed Ligand Co(II) and Ni(II) Complexes. J. Coord. Chem. 2011, 64, 1544–1553. [Google Scholar] [CrossRef]
- Müller, K.; Korb, M.; Koo, C.; Klingeler, R.; Miesel, D.; Hildebrandt, A.; Rüffer, T.; Lang, H. Tri- (M = CuII) and Hexanuclear (M = NiII, CoII) Heterometallic Coordination Compounds with Ferrocene Monocarboxylate Ligands: Solid-State Structures and Thermogravimetric, Electrochemical and Magnetic Properties. Polyhedron 2017, 138, 185–193. [Google Scholar] [CrossRef]
- Steed, J.W.; Atwood, J.L. Supramolecular Chemistry; John Wiley & Sons, Ltd.: Chichester, UK, 2009; p. 990. [Google Scholar] [CrossRef]
- Dance, I. Distance Criteria for Crystal Packing Analysis of Supramolecular Motifs. New J. Chem. 2003, 27, 22–27. [Google Scholar] [CrossRef]
- Nikiforov, A.A.; Dubrov, E.N.; Blinou, D.O.; Gurzhiy, V.V.; Selyutin, A.A.; Klyukin, I.N.; Zhdanov, A.P.; Minkovich, A.E.; Panina, N.S.; Eremin, A.V. Penta- and Dinuclear Carboxylate Nickel(II) Complexes with Pyrazole-Based Ligands: Syntheses, Magnetic Properties and DFT Calculations. Polyhedron 2021, 195, 114971. [Google Scholar] [CrossRef]
- Basolo, F.; Pearson, R.G. Mechanisms of Inorganic Reactions, 2nd ed.; John Wiley and Sons, Inc.: New York, NY, USA, 1958; p. 426. [Google Scholar]
- Rothenberg, G. Catalysis: Concepts and Green Applications; Wiley-VCH: Weinheim, Germany, 2008; p. 279. [Google Scholar]
- Chen, Y.-J.; Fang, H.-J.; Hsu, S.C.N.; Jheng, N.-Y.; Chang, H.-C.; Ou, S.-W.; Peng, W.-T.; Lai, Y.-C.; Chen, J.-Y.; Chen, P.-L.; et al. Improving the Ring-Opening Polymerization of ε-Caprolactone and L-Lactide Using Stannous Octanoate. Polym. Bull. 2013, 70, 993–1001. [Google Scholar] [CrossRef]
- Stridsberg, K.M.; Ryner, M.; Albertsson, A.C. Controlled Ring-Opening Polymerization: Polymers with Designed Macromolecular Architecture. Adv. Polym. Sci. 2002, 157, 41–65. [Google Scholar] [CrossRef]
- Yu, Y.; Fischer, E.J.; Storti, G.; Morbidelli, M. Modeling of Molecular Weight Distribution in Ring-Opening Polymerization of L,L-Lactide. Ind. Eng. Chem. Res. 2014, 53, 7333–7342. [Google Scholar] [CrossRef]
- Coudane, J.; Ustariz-Peyret, C.; Schwach, G.; Vert, M. More about the Stereodependence of DD and LL Pair Linkages during the Ring-Opening Polymerization of Racemic Lactide. J. Polym. Sci. A Polym. Chem. 1997, 35, 1651–1658. [Google Scholar] [CrossRef]
- Yu, M.; Petrick, L. Untargeted High-Resolution Paired Mass Distance Data Mining for Retrieving General Chemical Relationships. Commun. Chem. 2020, 3, 157. [Google Scholar] [CrossRef] [PubMed]
- Brine, G.A.; Boldt, K.G.; Prakash, D.; Kotchmar, D.J.; Bondeson, V.C.; Bradley, D.J.; Singh, P.; Carroll, F.I. P-Hydroxymethadone: Synthesis, Crystal Structure and CD Properties. J. Chem. Soc. Perkin Trans. 1 1991, 1809–1814. [Google Scholar] [CrossRef]
- Verkuijl, B.J.V.; Maas, J.C.H. Method for the Manufacture of N,N-diallkyllactamide. U.S. Patent 10,144,702, 7 April 2016. [Google Scholar]
- Mostovaya, O.A.; Padnya, P.L.; Shurpik, D.N.; Shiabiev, I.E.; Stoikov, I.I. Novel Lactide Derivatives of P-tert-Butylthiacalix[4]Arene: Directed Synthesis and Molecular Recognition of Catecholamines. J. Mol. Liq. 2021, 327, 114806. [Google Scholar] [CrossRef]
- Alba, A.; du Boullay, O.T.; Martin-Vaca, B.; Bourissou, D. Direct Ring-Opening of Lactide with Amines: Application to the Organo-Catalyzed Preparation of Amide End-Capped PLA and to the Removal of Residual Lactide from PLA Samples. Polym. Chem. 2015, 6, 989–997. [Google Scholar] [CrossRef]
- May, M.; Bardos, T.J.; Barger, F.L.; Lansford, M.; Ravel, J.M.; Sutherland, G.L.; Shive, W. Synthetic and Degradative Investigations of the Structure of Folinic Acid-SF. J. Am. Chem. Soc. 1951, 73, 3067–3075. [Google Scholar] [CrossRef]
- Ogawa, T.; Tomisawa, K.; Sota, K. Preparation of D-Penicillamine. Reaction of Penilloic Acid, Penicilloic Acid α-Amides and Benzylpenicillin with N,N′-Diphenylethylenediamine. Heterocycles 1988, 27, 2815–2823. [Google Scholar] [CrossRef]
- Zienty, F.B. Cyclic Thioureas. J. Am. Chem. Soc. 1946, 68, 1388–1389. [Google Scholar] [CrossRef]
- Teng, L.; Xu, X.; Nie, W.; Zhou, Y.; Song, L.; Chen, P. Synthesis and Degradability of a Star-Shaped Polylactide Based on L-Lactide and Xylitol. J. Polym. Res. 2015, 22, 83. [Google Scholar] [CrossRef]
- Wang, B.; Wei, Y.; Li, Z.J.; Pan, L.; Li, Y.S. From Zn(C6F5)2 to ZnEt2-Based Lewis Pairs: Significantly Improved Catalytic Activity and Monomer Adaptability for the Ring-Opening Polymerization of Lactones. ChemCatChem 2018, 10, 5287–5296. [Google Scholar] [CrossRef]
- Sattayanon, C.; Sontising, W.; Limwanich, W.; Meepowpan, P.; Punyodom, W.; Kungwan, N. Effects of Alkoxide Alteration on the Ring-Opening Polymerization of ε-Caprolactone Initiated by n-Bu3SnOR: A DFT Study. Struct. Chem. 2015, 26, 695–703. [Google Scholar] [CrossRef]
- Trygubenko, S.A.; Wales, D.J. A Doubly Nudged Elastic Band Method for Finding Transition States. J. Chem. Phys. 2004, 120, 2082–2094. [Google Scholar] [CrossRef] [PubMed]
- Ryner, M.; Stridsberg, K.; Albertsson, A.C.; von Schenck, H.; Svensson, M. Mechanism of Ring-Opening Polymerization of 1,5-Dioxepan-2-One and L-Lactide with Stannous 2-Ethylhexanoate. A Theoretical Study. Macromolecules 2001, 34, 3877–3881. [Google Scholar] [CrossRef]
- Lin, Y.F.; Jheng, N.Y. Mechanistic Insight into the Ring-Opening Polymerization of ε-Caprolactone and L-Lactide Using Ketiminate-Ligated Aluminum Catalysts. Polymers 2019, 11, 1530. [Google Scholar] [CrossRef] [PubMed]
- Nifant’ev, I.; Ivchenko, P. Coordination Ring-Opening Polymerization of Cyclic Esters: A Critical Overview of DFT Modeling and Visualization of the Reaction Mechanisms. Molecules 2019, 24, 4117. [Google Scholar] [CrossRef]
- Báthori, N.B.; Nassimbeni, L.R. Selectivity of Amides by Host-Guest Inclusion. CrystEngComm 2011, 13, 3156–3161. [Google Scholar] [CrossRef]
- Morozov, I.V.; Karpova, E.V.; Glazunova, T.Y.; Boltalin, A.I.; Zakharov, M.A.; Tereshchenko, D.S.; Fedorova, A.A.; Troyanov, S.I. Trifluoroacetate Complexes of 3d Elements: Specific Features of Syntheses and Structures. Russ. J. Coord. Chem. 2016, 42, 647–661. [Google Scholar] [CrossRef]
- Chaboussant, G.; Basler, R.; Güdel, H.U.; Ochsenbein, S.; Parkin, A.; Parsons, S.; Rajaraman, G.; Sieber, A.; Smith, A.A.; Timco, G.A.; et al. Nickel Pivalate Complexes: Structural Variations and Magnetic Susceptibility and Inelastic Neutron Scattering Studies. Dalton Trans. 2004, 2758–2766. [Google Scholar] [CrossRef]
- Spackman, M.A.; Jayatilaka, D. Hirshfeld Surface Analysis. CrystEngComm 2009, 11, 19–32. [Google Scholar] [CrossRef]
- Turner, M.J.; McKinnon, J.J.; Wolff, S.K.; Grimwood, D.J.; Spackman, P.R.; Jayatilaka, D.; Spackman, M.A. CrystalExplorer17; The University of Western Australia: Perth, Australia, 2017. [Google Scholar]
- CrysAlisPro. Rigaku Oxford Diffraction, Version 1.171.36.32.; Rigaku: Tokyo, Japan, 2013.
- Sheldrick, G.M. SHELXT—Integrated Space-Group and Crystal-Structure Determination. Acta Crystallogr. A Found. Adv. 2015, A71, 3–8. [Google Scholar] [CrossRef]
- Sheldrick, G.M. Crystal Structure Refinement with SHELXL. Acta Crystallogr. C Struct. Chem. 2015, C71, 3–8. [Google Scholar] [CrossRef]
- Dolomanov, O.V.; Bourhis, L.J.; Gildea, R.J.; Howard, J.A.K.; Puschmann, H. OLEX2: A Complete Structure Solution, Refinement and Analysis Program. J. Appl. Crystallogr. 2009, 42, 339–341. [Google Scholar] [CrossRef]
- Spek, A.L. PLATON SQUEEZE: A Tool for the Calculation of the Disordered Solvent Contribution to the Calculated Structure Factors. Acta Crystallogr. C Struct. Chem. 2015, C71, 9–18. [Google Scholar] [CrossRef] [PubMed]
- Neese, F. Software Update: The ORCA Program System, Version 4.0. Wiley Interdiscip. Rev. Comput. Mol. Sci. 2018, 8, e1327. [Google Scholar] [CrossRef]
- Neese, F.; Wennmohs, F.; Becker, U.; Riplinger, C. The ORCA Quantum Chemistry Program Package. J. Chem. Phys. 2020, 152, 224108. [Google Scholar] [CrossRef]
- Adamo, C.; Barone, V. Toward Reliable Density Functional Methods without Adjustable Parameters: The PBE0 Model. J. Chem. Phys. 1999, 110, 6158. [Google Scholar] [CrossRef]
- Brandenburg, J.G.; Bannwarth, C.; Hansen, A.; Grimme, S. B97-3c: A Revised Low-Cost Variant of the B97-D Density Functional Method. J. Chem. Phys. 2018, 148, 064108. [Google Scholar] [CrossRef] [PubMed]
- Weigend, F.; Ahlrichs, R. Balanced Basis Sets of Split Valence, Triple Zeta Valence and Quadruple Zeta Valence Quality for H to Rn: Design and Assessment of Accuracy. Phys. Chem. Chem. Phys. 2005, 7, 3297–3305. [Google Scholar] [CrossRef]
- Panina, N.S.; Nikiforov, A.A.; Blinou, D.O.; Dubrov, E.N.; Ponyaev, A.I.; Eremin, A.V.; Belyaev, A.N. Formation of Oligo-Nuclear Carboxylate Nickel(II) Complexes with Nitrogen-Containing Ligands. Quantum-Chemical Simulation. Russ. J. Gen. Chem. 2019, 89, 2264–2272. [Google Scholar] [CrossRef]
- Henkelman, G.; Jónsson, H. Improved Tangent Estimate in the Nudged Elastic Band Method for Finding Minimum Energy Paths and Saddle Points. J. Chem. Phys. 2000, 113, 9978. [Google Scholar] [CrossRef]
- Henkelman, G.; Arnaldsson, A.; Jónsson, H. Theoretical Calculations of CH4 and H2 Associative Desorption from Ni(111): Could Subsurface Hydrogen Play an Important Role? J. Chem. Phys. 2006, 124, 044706. [Google Scholar] [CrossRef]
- Mills, G.; Jónsson, H.; Schenter, G.K. Reversible Work Transition State Theory: Application to Dissociative Adsorption of Hydrogen. Surf. Sci. 1995, 324, 305–337. [Google Scholar] [CrossRef]














| Catalyst | [rac-LA]/[Ni]/ [BnOH] | In Toluene | In Bulk | ||||||
|---|---|---|---|---|---|---|---|---|---|
| Mn | Đ | Conv. (%) | TON | Mn | Đ | Conv. (%) | TON | ||
| 1 | 250/1/0 | 5400 | 1.4 | 45 | 112 | 6300 | 1.4 | 84 | 210 |
| 250/1/1 | 5800 | 1.5 | 58 | 145 | n/d | ||||
| 500/1/0 | 600 | 1.1 | 6 | 30 | 7400 | 1.5 | 52 | 260 | |
| 2 | 250/1/0 | 5800 | 1.5 | 69 | 172 | 7500 | 1.7 | 98 | 245 |
| 250/1/1 | 6000 | 1.6 | 78 | 195 | n/d | ||||
| 500/1/0 | 6300 | 1.4 | 31 | 155 | 9000 | 1.6 | 84 | 420 | |
| 3 | 250/1/0 | 1400 | 1.0 | <1 | - | 1300 | 1.0 | <1 | - |
| 250/1/1 | 800 | 1.0 | <1 | - | n/d | ||||
| 500/1/0 | 800 | 1.0 | <1 | - | 800 | 1.0 | <1 | - | |
| 4 | 250/1/0 | 2700 | 1.5 | 58 | 145 * | 3700 | 1.1 | 21 | 52 * |
| 250/1/1 | 2000 | 1.3 | 79 | 197 * | n/d | ||||
| 500/1/0 | 2500 | 1.3 | 25 | 125 * | 1900 | 1.1 | 8 | 40 * | |
| Entry | Temp. (°C) | Time (h) | Mn * | Đ * | Conv. * (%) |
|---|---|---|---|---|---|
| 1 | 140 | 72 | 5800 | 1.5 | 69 |
| 2 | 130 | 72 | 4400 | 1.6 | 68 |
| 3 | 120 | 72 | 3000 | 1.3 | 46 |
| 4 | 110 | 72 | 3000 | 1.3 | 51 |
| 5 | 100 | 72 | 2700 | 1.2 | 34 |
| 6 | 100 | 48 | 2600 | 1.2 | 31 |
| 7 | 100 | 24 | 900 | 1.1 | 19 |
| n | ((DBED)(Lac)n) + Na+ | ((DBED)(Lac)n + C2H4−O) + Na+ | ||
|---|---|---|---|---|
| m/z(experimental) | m/z(theoretical) | m/z(experimental) | m/z(theoretical) | |
| 2 | 407.1953 | 407.1947 | not detected | 347.2099 |
| 3 | 479.2165 | 479.2158 | 491.2544 | 491.2522 |
| 4 | 551.2378 | 551.2369 | 563.2333 | 563.2733 |
| 5 | 623.2591 | 623.2581 | 635.2955 | 635.2944 |
| 6 | 695.2804 | 695.2792 | 707.3168 | 707.3156 |
| 7 | 767.3016 | 767.3003 | 779.3382 | 779.3367 |
| 8 | 839.3230 | 839.3214 | 851.3594 | 851.3578 |
| 9 | 911.3444 | 911.3426 | 923.3806 | 923.3789 |
| 10 | 983.3666 | 983.3637 | 995.4020 | 995.4001 |
Disclaimer/Publisher’s Note: The statements, opinions and data contained in all publications are solely those of the individual author(s) and contributor(s) and not of MDPI and/or the editor(s). MDPI and/or the editor(s) disclaim responsibility for any injury to people or property resulting from any ideas, methods, instructions or products referred to in the content. |
© 2023 by the authors. Licensee MDPI, Basel, Switzerland. This article is an open access article distributed under the terms and conditions of the Creative Commons Attribution (CC BY) license (https://creativecommons.org/licenses/by/4.0/).
Share and Cite
Nikiforov, A.; Panina, N.; Blinou, D.; Gurzhiy, V.; Nashchekina, J.; Korzhikova-Vlakh, E.; Eremin, A.; Stepanova, M. Ring-Opening Polymerization of rac-Lactide Catalyzed by Octahedral Nickel Carboxylate Complexes. Catalysts 2023, 13, 304. https://doi.org/10.3390/catal13020304
Nikiforov A, Panina N, Blinou D, Gurzhiy V, Nashchekina J, Korzhikova-Vlakh E, Eremin A, Stepanova M. Ring-Opening Polymerization of rac-Lactide Catalyzed by Octahedral Nickel Carboxylate Complexes. Catalysts. 2023; 13(2):304. https://doi.org/10.3390/catal13020304
Chicago/Turabian StyleNikiforov, Alexey, Natalia Panina, Daniil Blinou, Vladislav Gurzhiy, Juliya Nashchekina, Evgenia Korzhikova-Vlakh, Alexey Eremin, and Mariia Stepanova. 2023. "Ring-Opening Polymerization of rac-Lactide Catalyzed by Octahedral Nickel Carboxylate Complexes" Catalysts 13, no. 2: 304. https://doi.org/10.3390/catal13020304
APA StyleNikiforov, A., Panina, N., Blinou, D., Gurzhiy, V., Nashchekina, J., Korzhikova-Vlakh, E., Eremin, A., & Stepanova, M. (2023). Ring-Opening Polymerization of rac-Lactide Catalyzed by Octahedral Nickel Carboxylate Complexes. Catalysts, 13(2), 304. https://doi.org/10.3390/catal13020304

