Overview of Catalysts with MIRA21 Model in Heterogeneous Catalytic Hydrogenation of 2,4-Dinitrotoluene
Abstract
:1. Introduction
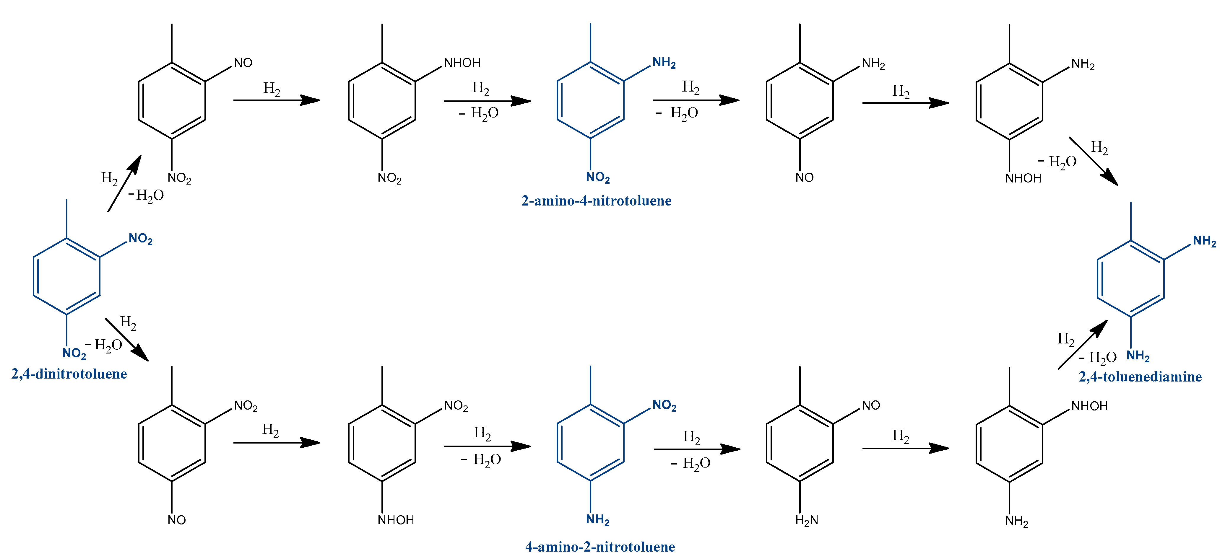
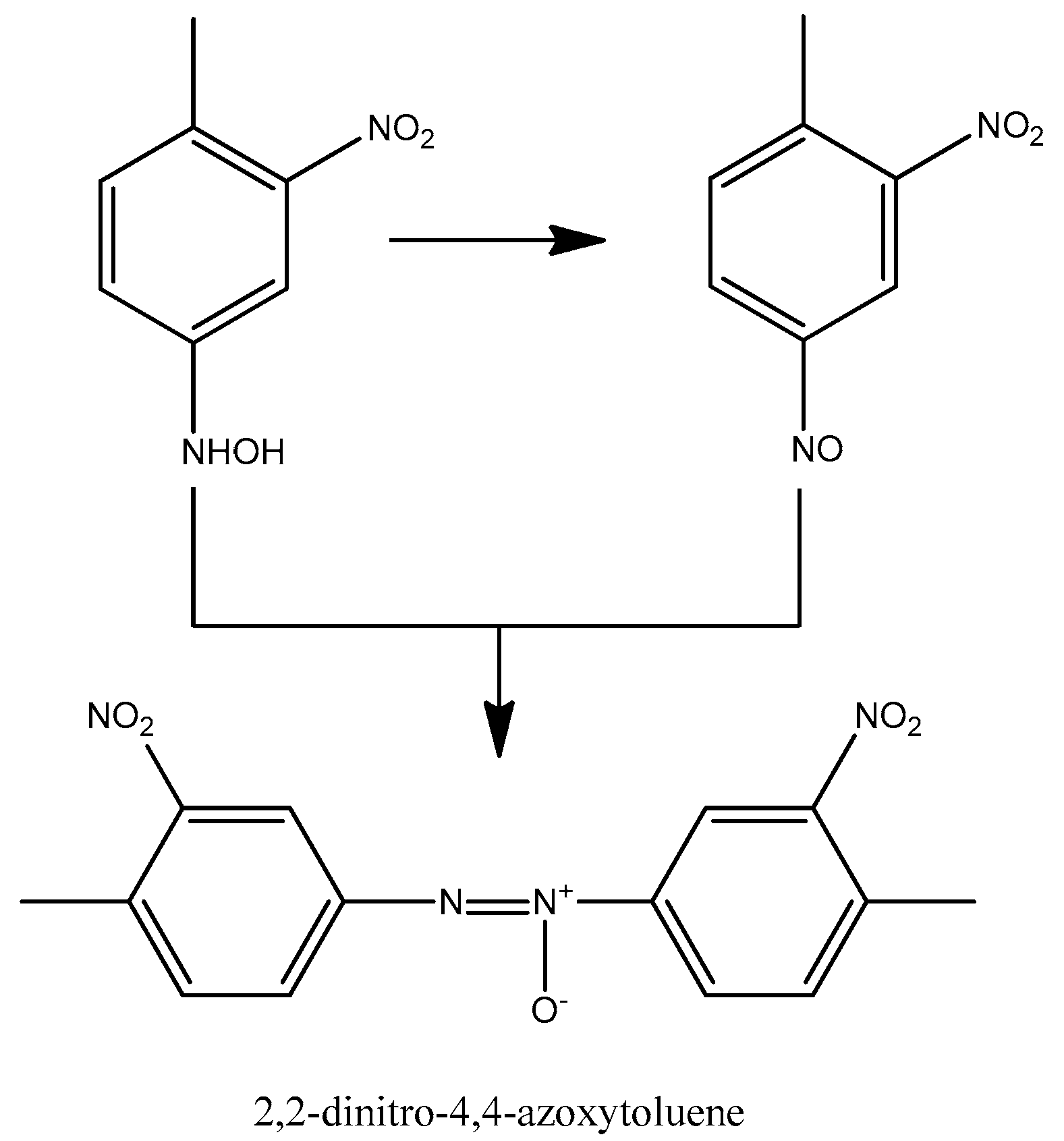
2. Reaction Mechanism and Kinetics
3. Results and Discussion of TDA Synthesis Catalysts
3.1. Catalyst Library
3.2. Catalyst Ranking and Characterization
4. MIRA21 Method
5. Summary and Conclusions
Author Contributions
Funding
Acknowledgments
Conflicts of Interest
References
- Ashida, K. Polyurethane and Related Foams, Polyurethane Relat. Foam. 2006. Available online: https://www.taylorfrancis.com/books/mono/10.1201/9780203505991/polyurethane-related-foams-kaneyoshi-ashida (accessed on 15 December 2022).
- Polyurethane Market Size|Global Research Report [2021–2028], (n.d.). Available online: https://www.fortunebusinessinsights.com/industry-reports/polyurethane-pu-market-101801 (accessed on 29 December 2021).
- Dinitrotoluene Hydrogenation Toluenediamine—Google Patents, (n.d.). Available online: https://patents.google.com/?q=dinitrotoluene+hydrogenation+toluenediamine&oq=dinitrotoluene+hydrogenation+toluenediamine (accessed on 15 December 2022).
- CH372683A—Process for the Catalytic Hydrogenation of Dinitro Derivatives of Benzene and Toluene to Give the Corresponding Diamines—Google Patents, (n.d.). Available online: https://patents.google.com/patent/CH372683A/en?q=dinitrotoluene+hydrogenation+toluenediamine&oq=dinitrotoluene+hydrogenation+toluenediamine&sort=old&page=1 (accessed on 15 December 2022).
- DE1092478B—Process for the Catalytic Reduction of Dinitrobenzenes and Dinitrotoluenes to the Corresponding Diamine—Google Patents, (n.d.). Available online: https://patents.google.com/patent/DE1092478B/en?q=dinitrotoluene+hydrogenation+toluenediamine&oq=dinitrotoluene+hydrogenation+toluenediamine&sort=old&page=1 (accessed on 15 December 2022).
- US2894036A—Catalytic Reduction of Aromatic Polynitro Compounds—Google Patents, (n.d.). Available online: https://patents.google.com/patent/US2894036A/en?q=dinitrotoluene+hydrogenation+toluenediamine&oq=dinitrotoluene+hydrogenation+toluenediamine&sort=old (accessed on 15 December 2022).
- DE951930C—Process for the Preparation of Tolylenediamine—Google Patents, (n.d.). Available online: https://patents.google.com/patent/DE951930C/en?q=dinitrotoluene+hydrogenation+toluenediamine&oq=dinitrotoluene+hydrogenation+toluenediamine&sort=old (accessed on 15 December 2022).
- DE1044099B—Process for the Preparation of Tolylenediamine—Google Patents, (n.d.). Available online: https://patents.google.com/patent/DE1044099B/en?q=dinitrotoluene+hydrogenation+toluenediamine&oq=dinitrotoluene+hydrogenation+toluenediamine&sort=old (accessed on 15 December 2022).
- CN114289034A—Noble Metal Catalyst, Preparation Method and Application Thereof in Preparation of Toluenediamine by Catalyzing Dinitrotoluene Hydrogenation—Google Patents, (n.d.). Available online: https://patents.google.com/patent/CN114289034A/en?q=dinitrotoluene+hydrogenation+toluenediamine&oq=dinitrotoluene+hydrogenation+toluenediamine&sort=new (accessed on 15 December 2022).
- CN114682288A—Supported Catalyst for Hydrogenation of Aromatic Nitro Compound and Preparation Method Thereof—Google Patents, (n.d.). Available online: https://patents.google.com/patent/CN114682288A/en?q=dinitrotoluene+hydrogenation+toluenediamine&oq=dinitrotoluene+hydrogenation+toluenediamine&sort=new (accessed on 15 December 2022).
- WO2022234021A1—A Catalytic Material Suitable for Hydrogenation Reactions Comprising ni, One or More Additional Metals m, and a Specific Oxidic Support Material—Google Patents, (n.d.). Available online: https://patents.google.com/patent/WO2022234021A1/en?q=dinitrotoluene+hydrogenation+toluenediamine&oq=dinitrotoluene+hydrogenation+toluenediamine&sort=new (accessed on 15 December 2022).
- Jackson, S.D.; AlAsseel, A.K.A.; Allgeier, A.M.; Hargreaves, J.S.J.; Kelly, G.J.; Kirkwood, K.; Lok, C.M.; Schauermann, S.; Schmidt, R.S.; Sengupta, S.K. Hydrogenation: Catalysts and Processes; De Guyter: Berlin, Germany; Boston, MA, USA, 2018. [Google Scholar] [CrossRef]
- Dinitrotoluene Hydrogenation Toluenediamine—Google Tudós, (n.d.). Available online: https://scholar.google.com/scholar?hl=hu&as_sdt=0%2C5&q=dinitrotoluene+hydrogenation+toluenediamine&btnG= (accessed on 16 December 2022).
- Yu, Z.; Liao, S.; Xu, Y.; Yang, B.; Yu, D. Hydrogenation of nitroaromatics by polymer-anchored bimetallic palladium-ruthenium and palladium-platinum catalysts under mild conditions. J. Mol. Catal. A Chem. 1997, 120, 247–255. [Google Scholar] [CrossRef]
- Mathew, S.; Rajasekharam, M.; Chaudhari, R. Hydrogenation of p-isobutyl acetophenone using a Ru/Al2O3 catalyst: Reaction kinetics and modelling of a semi-batch slurry reactor. Catal. Today 1999, 49, 49–56. [Google Scholar] [CrossRef]
- Kut, O.M.; Yücelen, F.; Gut, G. Selective liquid-phase hydrogenation of 2,6-dinitrotoluene with platinum catalysts. J. Chem. Technol. Biotechnol. 1987, 39, 107–114. [Google Scholar] [CrossRef]
- Song, J.; Huang, Z.-F.; Pan, L.; Li, K.; Zhang, X.; Wang, L.; Zou, J.-J. Review on selective hydrogenation of nitroarene by catalytic, photocatalytic and electrocatalytic reactions. Appl. Catal. B Environ. 2018, 227, 386–408. [Google Scholar] [CrossRef]
- Anand, S.; Pinheiro, D.; Devi, K.R.S. Recent Advances in Hydrogenation Reactions Using Bimetallic Nanocatalysts: A Review. Asian J. Org. Chem. 2021, 10, 3068–3100. [Google Scholar] [CrossRef]
- Qi, S.-C.; Wei, X.-Y.; Zong, Z.-M.; Wang, Y.-K. Application of supported metallic catalysts in catalytic hydrogenation of arenes. RSC Adv. 2013, 3, 14219–14232. [Google Scholar] [CrossRef]
- Kamalzare, M. Recovery and Reusability of Catalysts in Various Organic Reactions; Micro and Nano Technologies: Rajasthan, India, 2022; pp. 149–165. [Google Scholar] [CrossRef]
- Sheldon, R.A. Engineering a more sustainable world through catalysis and green chemistry. J. R. Soc. Interface 2016, 13, 20160087. [Google Scholar] [CrossRef]
- Sciscenko, I.; Arques, A.; Escudero-Oñate, C.; Roccamante, M.; Ruiz-Delgado, A.; Miralles-Cuevas, S.; Malato, S.; Oller, I. A Rational Analysis on Key Parameters Ruling Zerovalent Iron-Based Treatment Trains: Towards the Separation of Reductive from Oxidative Phases. Nanomaterials 2021, 11, 2948. [Google Scholar] [CrossRef]
- The Value of Basic Scientific Research (Dec 2004)—ICSU, (n.d.). Available online: https://web.archive.org/web/20170506184955/http://www.icsu.org/publications/icsu-position-statements/value-scientific-research (accessed on 16 December 2022).
- Jakab-Nácsa, A.; Sikora, E.; Prekob, Á.; Vanyorek, L.; Szőri, M.; Boros, R.Z.; Nehéz, K.; Szabó, M.; Farkas, L.; Viskolcz, B. Comparison of Catalysts with MIRA21 Model in Heterogeneous Catalytic Hydrogenation of Aromatic Nitro Compounds. Catalysts 2022, 12, 467. [Google Scholar] [CrossRef]
- BorsodChem Zrt. Sustainability Report 2019–2020; BorsodChem Zrt: Kazincbarcika, Hungary, 2020. [Google Scholar]
- Charra, F.; Gota-Goldmann, S.; Warlimont, H. Nanostructured Materials. In Springer Handbook of Materials Data; Springer: Cham, Switzerland, 2018. [Google Scholar] [CrossRef]
- SMahood, A.; Schaffner, P.V.L. 2,4-DIAMINOTOLUENE. Org. Synth. 1931, 11, 32. [Google Scholar] [CrossRef]
- Saboktakin, M.R.; Tabatabaie, R.M.; Maharramov, A.; Ramazanov, M. Hydrogenation of 2,4-Dinitrotoluene to 2,4-Diaminotoluene over Platinum Nanoparticles in a High-Pressure Slurry Reactor. Synth. Commun. 2011, 41, 1455–1463. [Google Scholar] [CrossRef]
- Westerterp, K.; Molga, E.; van Gelder, K. Catalytic hydrogenation reactors for the fine chemicals industries. Their design and operation. Chem. Eng. Process.-Process. Intensif. 1997, 36, 17–27. [Google Scholar] [CrossRef]
- Westerterp, K.; Janssen, H.; van der Kwast, H. The catalytic hydrogenation of 2,4-dinitrotoluene in a continuous stirred three-phase slurry reactor with an evaporating solvent. Chem. Eng. Sci. 1992, 47, 4179–4189. [Google Scholar] [CrossRef]
- Molga’, E.; Westerterpf, K. Kinetics of the hydrogenation of 2,4-dinitrotoluene over a palladium on alumina catalyst. Chem. Eng. Sci. 1992, 47, 1733–1749. [Google Scholar] [CrossRef]
- Rajashekharam, M.V.; Nikalje, D.D.; Jaganathan, R.; Chaudhari, R.V. Hydrogenation of 2,4-Dinitrotoluene Using a Pd/Al2O3 Catalyst in a Slurry Reactor: A Molecular Level Approach to Kinetic Modeling and Nonisothermal Effects. Ind. Eng. Chem. Res. 1997, 36, 592–604. [Google Scholar] [CrossRef]
- Dovell, F.S.; Ferguson, W.E. Greenfield Kinetic Study of Hydrogenation of dinitrotoluene and m-Dinitrobenzene. Ind. Eng. Chem. Prod. Res. Develop. 1970, 9, 224–229. [Google Scholar] [CrossRef]
- Kreutzer, M.T.; Kapteijn, F.; Moulijn, J.A. Fast gas-liquid-solid reactions in monoliths: A case study of nitro-aromatic hydrogenation. Catal. Today 2005, 105, 421–428. [Google Scholar] [CrossRef]
- Janssen, H.; Kruithof, A. Kinetics of the catalytic hydrogenation of 2,4-dinitrotoluene. 1. Experiments, Reaction Scheme and Catalyst Activity. Ind. Eng. Chem. Res. 1990, 29, 754–766. [Google Scholar] [CrossRef]
- Janssen, H.; Kruithof, A. Kinetics of the catalytic hydrogenation of 2,4-dinitrotoluene. 2. Modeling of the Reaction Rates and Catalyst Activity. Ind. Eng. Chem. Res. 1990, 29, 1822–1829. [Google Scholar] [CrossRef]
- Neri, G.; Rizzo, G.; Milone, C.; Galvagno, S.; Musolino, M.G.; Capanelli, G. Microstructural characterization of doped-Pd/C catalysts for the selective hydrogenation of 2,4-dinitrotoluene to arylhydroxylamines. Appl. Catal. A Gen. 2003, 249, 303–311. [Google Scholar] [CrossRef]
- Neri, G.; Musolino, M.G.; Milone, C.; Visco, A.M.; Di Mario, A. Mechanism of 2,4-dinitrotoluene hydrogenation over Pd/C. J. Mol. Catal. A Chem. 1995, 95, 235–241. [Google Scholar] [CrossRef]
- Neri, G.; Musolino, M.G.; Rotondo, E.; Galvagno, S. Catalytic hydrogenation of 2,4-dinitrotoluene over a Pd/C catalyst: Identification of 2-(hydroxyamino)-4-nitrotoluene (2HA4NT) as reaction intermediate. J. Mol. Catal. A Chem. 1996, 111, 257–260. [Google Scholar] [CrossRef]
- Neri, G.; Musolino, M.G.; Milone, C.; Pietropaolo, D.; Galvagno, S. Particle size effect in the catalytic hydrogenation of 2,4-dinitrotoluene over Pd/C catalysts. Appl. Catal. A Gen. 2001, 208, 307–316. [Google Scholar] [CrossRef]
- Neri, G.; Musolino, M.G.; Bonaccorsi, L.; Donato, A.; Mercadante, L.; Galvagno, S. Catalytic Hydrogenation of 4-(Hydroxyamino)-2-nitrotoluene and 2,4-Nitroaminotoluene Isomers: Kinetics and Reactivity. Ind. Eng. Chem. Res. 1997, 36, 3619–3624. [Google Scholar] [CrossRef]
- Barone, G.; Duca, D. Hydrogenation of 2,4-Dinitro-toluene on Pd/C Catalysts: Computational Study on the Influence of the Molecular Adsorption Modes and of Steric Hindrance and Metal Dispersion on the Reaction Mechanism. J. Catal. 2002, 211, 296–307. [Google Scholar] [CrossRef]
- Barone, G.; Duca, D. New time-dependent Monte Carlo algorithm designed to model three-phase batch reactor processes: Applications on 2,4-dinitro-toluene hydrogenation on Pd/C catalysts. Chem. Eng. J. 2003, 91, 133–142. [Google Scholar] [CrossRef]
- Hajdu, V.; Jakab-Nácsa, A.; Muránszky, G.; Kocserha, I.; Fiser, B.; Ferenczi, T.; Nagy, M.; Viskolcz, B.; Vanyorek, L. Precious-Metal-Decorated Chromium(IV) Oxide Nanowires as Efficient Catalysts for 2,4-Toluenediamine Synthesis. Int. J. Mol. Sci. 2021, 22, 5945. [Google Scholar] [CrossRef]
- Rajashekharam, V.; Malyala, V.; Chaudhari, V.R. Hydrogenation of 2,4-Dinitrotoluene Using a Supported Ni Catalyst: Reaction Kinetics and Semibatch Slurry Reactor Modeling. Ind. Eng. Chem. Res. 1999, 38, 906–915. [Google Scholar] [CrossRef]
- Yan, S.; Fan, H.; Liang, C.; Li, Z.; Yu, Z. Preparation and Characterization of Ni-La-B Amorphous Alloy Catalyst for Low-Pressure Dinitrotoluene Hydrogenation. Chin. J. Catal. (Chin. Version) 2012, 33, 1374–1382. [Google Scholar] [CrossRef]
- Zhang, X.M.; Niu, F.X. Liquid-Phase Hydrogenation to 2, 4-Tolylenediamine over Supported HY Catalysts. Adv. Mater. Res. 2012, 512–515, 2381–2385. [Google Scholar] [CrossRef]
- Suh, D.J.; Tae-Jin, P.; Son-Ki, I. Effect of surface oxygen groups of carbon supports on the characteristics of Pd/C catalysts. Carbon 1993, 31, 427–435. [Google Scholar] [CrossRef]
- Dell’Anna, M.M.; Gagliardi, M.; Mastrorilli, P.; Suranna, G.P.; Nobile, C. Hydrogenation reactions catalysed by a supported palladium complex. J. Mol. Catal. A Chem. 2000, 158, 515–520. [Google Scholar] [CrossRef]
- Hajdu, V.; Sikora, E.; Kristály, F.; Muránszky, G.; Fiser, B.; Viskolcz, B.; Nagy, M.; Vanyorek, L. Palladium Decorated, Amine Functionalized Ni-, Cd- and Co-Ferrite Nanospheres as Novel and Effective Catalysts for 2,4-Dinitrotoluene Hydrogenation. Int. J. Mol. Sci. 2022, 23, 13197. [Google Scholar] [CrossRef]
- Zhao, F.; Fujita, S.-I.; Sun, J.; Ikushima, Y.; Arai, M. Hydrogenation of nitro compounds with supported platinum catalyst in supercritical carbon dioxide. Catal. Today 2004, 98, 523–528. [Google Scholar] [CrossRef]
- Auer, E.; Gross, M.; Panster, P.; Takemoto, K. Supported iridium catalysts—A novel catalytic system for the synthesis of toluenediamine. Catal. Today 2001, 65, 31–37. [Google Scholar] [CrossRef]
- Hajdu, V.; Varga, M.; Muránszky, G.; Karacs, G.; Kristály, F.; Fiser, B.; Viskolcz, B.; Vanyorek, L. Development of magnetic, ferrite supported palladium catalysts for 2,4-dinitrotoluene hydrogenation. Mater. Today Chem. 2021, 20, 100470. [Google Scholar] [CrossRef]
- Ren, X.; Li, J.; Wang, S.; Zhang, D.; Wang, Y. Preparation and catalytic performance of ZrO2-supported Pt single-atom and cluster catalyst for hydrogenation of 2,4-dinitrotoluene to 2,4-toluenediamine. J. Chem. Technol. Biotechnol. 2020, 95, 1675–1682. [Google Scholar] [CrossRef]
- Hajdu, V.; Muránszky, G.; Hashimoto, M.; Kristály, M.; Szőri, M.; Fiser, B.; Kónya, Z.; Viskolcz, B.; Vanyorek, L. Combustion method combined with sonochemical step for synthesis of maghemite-supported catalysts for the hydrogenation of 2,4-dinitrotoluene. Catal. Commun. 2021, 159, 106342. [Google Scholar] [CrossRef]
- Yanji, Z.; Zhou, J. Synergistic-catalysis-by-a-hybrid-nanostructure-Pt-catalyst-for-high-efficiency-selective-hydrogenation-of-nitroarenes. J. Catal. 2021, 395, 445–456. [Google Scholar]














| D1 CATALYSTS | ||||||
|---|---|---|---|---|---|---|
| No. | CATALYST ID | Catalyst Name | Support | Active Component | Number of Known Parameters | MIRA21 Number | 
| 1 | HDNT/MIS/2021/2/2 | Pt/CrO2 | Chromium(IV)-dioxide | Platinum | 15 | 11.50 | 
| 2 | HDNT/MIS/2021/2/1 | Pd/CrO2 | Chromium(IV)-dioxide | Palladium | 15 | 11.49 | 
| 3 | HDNT/MIS/2021/3/1 | Pd/NiFe2O4 | Nickel ferrite | Palladium | 15 | 11.45 | 
| 4 | HDNT/TIA/2020/1/3 | 15Pt/ZrO2-300 | Zirconium-dioxide | Platinum | 13 | 11.44 | 
| 5 | HDNT/TIA/2020/1/4 | 15Pt/ZrO2-400 | Zirconium-dioxide | Platinum | 13 | 11.43 | 
| 6 | HDNT/TIA/2020/1/2 | 15Pt/ZrO2-200 | Zirconium-dioxide | Platinum | 13 | 11.42 | 
| 7 | HDNT/MIS/2021/1/2 | Pd/maghemite | Maghemite | Palladium | 15 | 11.35 | 
| 8 | HDNT/TIA/2020/1/5 | 45Pt/ZrO2-300 | Zirconium-dioxide | Platinum | 13 | 11.06 | 
| Categories | No. | Notation | Name | Unit | Definition | ||
|---|---|---|---|---|---|---|---|
| Quantifiable parameters | Catalyst performance | I. | 1. | XPRmax | Maximum conversion | n/n% | Maximum desired product conversion achieved on a given catalyst | 
| 2. | YPR | Product yield | n/n% | Product yield for maximum conversion | |||
| 3. | SPR | Product selectivity | n/n% | Product selectivity for maximum conversion | |||
| 4. | TONPR | Turnover number | - | Number of moles of product formed per 1 mol active metal when the maximum conversion reached | |||
| Reaction conditions | II. | 5. | Tmax.conv. | Temperature | K | Reaction temperature for maximum conversion | |
| 6. | Pmax.conv. | Pressure | atm | Reaction pressure for maximum conversion | |||
| 7. | tmax.conv. | Time | min | Time required to reach maximum conversion | |||
| 8. | ncat. | Molar amount of initial catalyst | mol | The molar amount of the active metal involved in the reaction; in case of several metals, the sum of molar numbers | |||
| 9. | nstart | Molar amount of starting reagent | mol | The initial amount of starting reagent involved in the reaction | |||
| Catalyst conditions | III. | 10. | CPZ | Catalyst particle size | nm | Average particle size of the catalyst | |
| 11. | CSA | Catalyst surface area | m2/g | Catalyst (active metal + support) surface area | |||
| Does the publication contain information about these subjects? | |||||||
| Non-quantifiable parameters | Sustainable parameters | IV. | 12. | Rea | Information about reactivation | - | Reactivation means the physical process by which the activity of the catalyst used returns to or near the original activity level. | 
| 13. | Stab | Information about stability of catalyst | - | Stability means preservation of catalytic activity | |||
| 14. | Care | Information about catalyst carrier effect | - | Carrier effect means the catalyst support influences the catalytic reaction | |||
| 15. | Catalyst carrier effect | - | Nature of the effect (positive, no effect, negative) | ||||
| CATALYSTS | |||||||
|---|---|---|---|---|---|---|---|
| No. | CATALYST ID | Catalyst Name | Catalyst Support | Main Active Component | Known Par. | MIRA21 Number | Class | 
| 1 | HDNT/MIS/2021/2/2 | Pt/CrO2 | Chromium(IV)-dioxide | Platinum | 15 | 11.50 | D1 | 
| 2 | HDNT/MIS/2021/2/1 | Pd/CrO2 | Chromium(IV)-dioxide | Palladium | 15 | 11.49 | D1 | 
| 3 | HDNT/MIS/2021/3/1 | Pd/NiFe2O4 | Nickel ferrite | Palladium | 15 | 11.45 | D1 | 
| 4 | HDNT/TIA/2020/1/3 | 15Pt/ZrO2-300 | Zirconium-dioxide | Platinum | 13 | 11.44 | D1 | 
| 5 | HDNT/TIA/2020/1/4 | 15Pt/ZrO2-400 | Zirconium-dioxide | Platinum | 13 | 11.43 | D1 | 
| 6 | HDNT/TIA/2020/1/2 | 15Pt/ZrO2-200 | Zirconium-dioxide | Platinum | 13 | 11.42 | D1 | 
| 7 | HDNT/MIS/2021/1/2 | Pd/maghemite | Maghemite | Palladium | 15 | 11.35 | D1 | 
| 8 | HDNT/TIA/2020/1/5 | 45Pt/ZrO2-300 | Zirconium-dioxide | Platinum | 13 | 11.06 | D1 | 
| 9 | HDNT/TIA/2020/1/6 | 60Pt/ZrO2-300 | Zirconium-dioxide | Platinum | 13 | 11.01 | Q1 | 
| 10 | HDNT/TIA/2020/1/7 | 85Pt/ZrO2-300 | Zirconium-dioxide | Platinum | 13 | 11.00 | Q1 | 
| 11 | HDNT/MIS/2021/3/2 | Pd/CoFe2O4 | Cobalt ferrite | Palladium | 15 | 10.84 | Q1 | 
| 12 | HDNT/SHA/2012/1/1 | Ni/HY catalyst | HY molecular sieve | Nickel | 15 | 10.77 | Q1 | 
| 13 | HDNT/MIS/2021/1/1 | Pt/maghemite | Maghemite | Platinum | 15 | 10.67 | Q1 | 
| 14 | HDNT/MIS/2021/3/3 | Pd/CuFe2O4 | Copper ferrite | Palladium | 15 | 10.48 | Q1 | 
| 15 | HDNT/MIS/2022/1/3 | Pd/NiFe2O4-NH2 | Nickel-ferrite | Palladium | 13 | 10.31 | Q1 | 
| 16 | HDNT/MIS/2022/1/1 | Pd/CoFe2O4-NH2 | Cobalt-ferrite | Palladium | 13 | 10.28 | Q2 | 
| 17 | HDNT/MIS/2021/1/3 | Pd-Pt/maghemite | Maghemite | Palladium | 14 | 10.14 | Q2 | 
| 18 | HDNT/PUN/1999/1/5 | 20% Ni/HY | HY zeolite | Nickel | 14 | 9.50 | Q2 | 
| 19 | HDNT/DAL/1997/1/2 | PVP-Pd-1/4 Pt | PVP | Palladium | 13 | 9.47 | Q2 | 
| 20 | HDNT/PUN/1999/1/6 | 10% Ni/HY | HY zeolite | Nickel | 14 | 9.44 | Q2 | 
| 21 | HDNT/MES/2001/1/1 | MGPd05 | Chemviron SC XII active carbon | Palladium | 13 | 9.24 | Q2 | 
| 22 | HDNT/MES/2001/1/3 | MGPd1b | Chemviron SC XII active carbon | Palladium | 13 | 9.23 | Q2 | 
| 23 | HDNT/MES/2001/1/8 | MGPd5a | Chemviron SC XII active carbon | Palladium | 13 | 9.20 | Q2 | 
| 24 | HDNT/HAN/2001/1/2 | B | Chemically activated carbon | Iridium | 13 | 9.19 | Q2 | 
| 25 | HDNT/MES/2001/1/4 | MGPd1c | Chemviron SC XII active carbon | Palladium | 13 | 9.19 | Q2 | 
| 26 | HDNT/HAN/2001/1/1 | A | Chemically activated carbon | Iridium | 13 | 9.19 | Q2 | 
| 27 | HDNT/MES/2001/1/7 | MGPd5 | Chemviron SC XII active carbon | Palladium | 13 | 9.17 | Q2 | 
| 28 | HDNT/MES/2001/1/5 | MGPd1d | Chemviron SC XII active carbon | Palladium | 13 | 9.14 | Q2 | 
| 29 | HDNT/MES/2001/1/2 | MGPd1a | Chemviron SC XII active carbon | Palladium | 13 | 9.13 | Q2 | 
| 30 | HDNT/MES/2001/1/6 | MGPd3 | Chemviron SC XII active carbon | Palladium | 13 | 9.06 | Q3 | 
| 31 | HDNT/HAN/2001/1/3 | C | Steam activated carbon | Palladium | 13 | 9.03 | Q3 | 
| 32 | HDNT/MIS/2022/1/2 | Pd/CdFe2O4-NH2 | Cadmium-ferrite | Palladium | 13 | 8.95 | Q3 | 
| 33 | HDNT/ZUR/1987/1/1 | 0.5 % Pt/Al2O3 | Al2O3 | Platinum | 13 | 8.88 | Q3 | 
| 34 | HDNT/HAN/2001/1/4 | D | Steam activated carbon | Palladium | 13 | 8.79 | Q3 | 
| 35 | HDNT/HAN/2001/1/5 | E | Oleophilic carbon black | Palladium | 13 | 8.78 | Q3 | 
| 36 | HDNT/PUN/1999/1/2 | 20% Ni/SiO2 | SiO2 | Nickel | 14 | 8.63 | Q3 | 
| 37 | HDNT/SHA/2012/1/4 | Ni-La6-B | Nickel | 12 | 8.36 | Q3 | |
| 38 | HDNT/SHA/2012/1/3 | Ni-La4-B | Nickel | 12 | 8.34 | Q3 | |
| 39 | HDNT/SHA/2012/1/2 | Ni-La2-B | Nickel | 12 | 8.33 | Q3 | |
| 40 | HDNT/SHA/2012/1/1 | Ni-La0-B | Nickel | 12 | 8.32 | Q3 | |
| 41 | HDNT/SAP/2004/1/3 | Pt/C in ethanol | Active carbon | Platinum | 13 | 8.02 | Q3 | 
| 42 | HDNT/SHA/2012/1/5 | Ni-La8-B | Nickel | 12 | 7.92 | Q3 | |
| 43 | HDNT/SAP/2004/1/2 | Pt/C in ethanol | Active carbon | Platinum | 13 | 7.90 | Q3 | 
| 44 | HDNT/TIA/2020/1/1 | 15Pt/ZrO2-100 | Zirconium-dioxide | Platinum | 13 | 7.85 | Q4 | 
| 45 | HDNT/PUN/1999/1/4 | 20% Ni/HZSM-5 | HZSM-5 | Nickel | 14 | 7.75 | Q4 | 
| 46 | HDNT/TAE/1993/1/1 | SA | Activated carbon | Palladium | 11 | 7.58 | Q4 | 
| 47 | HDNT/TAE/1993/1/3 | DA | Activated carbon | Palladium | 11 | 7.52 | Q4 | 
| 48 | HDNT/TAE/1993/1/2 | SAON | Activated carbon | Palladium | 11 | 7.50 | Q4 | 
| 49 | HDNT/TAE/1993/1/4 | DAON | Activated carbon | Palladium | 11 | 7.49 | Q4 | 
| 50 | HDNT/PUN/1999/1/1 | 20% Ni/Al2O3 | Al2O3 | Nickel | 14 | 7.43 | Q4 | 
| 51 | HDNT/BAR/2000/1/1 | Pd(AAEMA)2/EMA/EGDMA | Polymer-supported complex | Palladium | 13 | 7.27 | Q4 | 
| 52 | HDNT/DAL/1997/1/1 | PVP-PdCl2 | PVP | Palladium | 10 | 6.99 | Q4 | 
| 53 | HDNT/PUN/1999/1/3 | 20% Ni/TiO2 | TiO2 | Nickel | 14 | 6.95 | Q4 | 
| 54 | HDNT/TAE/1993/1/7 | VB | Carbon black | Palladium | 10 | 6.80 | Q4 | 
| 55 | HDNT/TAE/1993/1/8 | VON | Carbon black | Palladium | 10 | 6.80 | Q4 | 
| 56 | HDNT/TAE/1993/1/6 | DAOH | Activated carbon | Palladium | 10 | 6.80 | Q4 | 
| 57 | HDNT/TAE/1993/1/5 | DAOS | Activated carbon | Palladium | 10 | 6.80 | Q4 | 
| 58 | HDNT/SAP/2004/1/1 | Pt/C in scCO2 | Active carbon | Platinum | 13 | 6.68 | Q4 | 
| Disclaimer/Publisher’s Note: The statements, opinions and data contained in all publications are solely those of the individual author(s) and contributor(s) and not of MDPI and/or the editor(s). MDPI and/or the editor(s) disclaim responsibility for any injury to people or property resulting from any ideas, methods, instructions or products referred to in the content. | 
© 2023 by the authors. Licensee MDPI, Basel, Switzerland. This article is an open access article distributed under the terms and conditions of the Creative Commons Attribution (CC BY) license (https://creativecommons.org/licenses/by/4.0/).
Share and Cite
Jakab-Nácsa, A.; Hajdu, V.; Vanyorek, L.; Farkas, L.; Viskolcz, B. Overview of Catalysts with MIRA21 Model in Heterogeneous Catalytic Hydrogenation of 2,4-Dinitrotoluene. Catalysts 2023, 13, 387. https://doi.org/10.3390/catal13020387
Jakab-Nácsa A, Hajdu V, Vanyorek L, Farkas L, Viskolcz B. Overview of Catalysts with MIRA21 Model in Heterogeneous Catalytic Hydrogenation of 2,4-Dinitrotoluene. Catalysts. 2023; 13(2):387. https://doi.org/10.3390/catal13020387
Chicago/Turabian StyleJakab-Nácsa, Alexandra, Viktória Hajdu, László Vanyorek, László Farkas, and Béla Viskolcz. 2023. "Overview of Catalysts with MIRA21 Model in Heterogeneous Catalytic Hydrogenation of 2,4-Dinitrotoluene" Catalysts 13, no. 2: 387. https://doi.org/10.3390/catal13020387
APA StyleJakab-Nácsa, A., Hajdu, V., Vanyorek, L., Farkas, L., & Viskolcz, B. (2023). Overview of Catalysts with MIRA21 Model in Heterogeneous Catalytic Hydrogenation of 2,4-Dinitrotoluene. Catalysts, 13(2), 387. https://doi.org/10.3390/catal13020387
 
        


 
       