An Efficient Investigation and Machine Learning-Based Prediction of Decolorization of Wastewater by Using Zeolite Catalyst in Electro-Fenton Reaction
Abstract
1. Introduction
2. Results
2.1. Characteristics of Catalyst
2.2. Catalyst Performance
2.2.1. The Effect of Solution pH
2.2.2. The Effect of Catalyst’s Concentration
2.2.3. The Effect of Current between Cathode and Anode
2.2.4. Ability to Reuse the Catalyst
3. Discussion
3.1. Kinetics of the Process
3.2. Empirical Correlations and Optimization
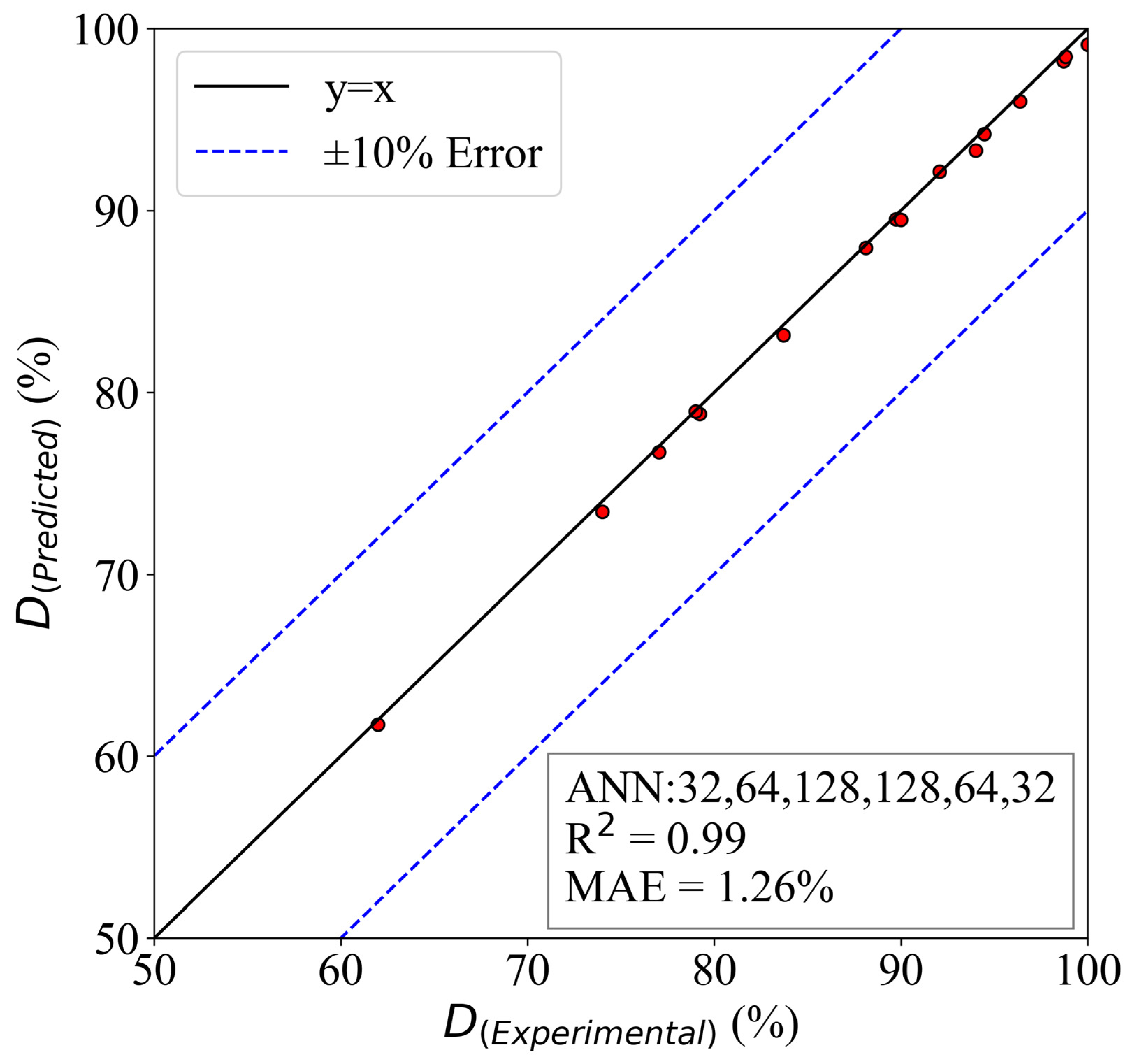
3.3. Artificial Neural Network
4. Materials and Methods
4.1. Catalyst Construction
4.2. Characterization
4.3. The Process of Quasi-EF
5. Conclusions
Author Contributions
Funding
Data Availability Statement
Acknowledgments
Conflicts of Interest
References
- Cheikh, S.; Imessaoudene, A.; Bollinger, J.C.; Hadadi, A.; Manseri, A.; Bouzaza, A.; Assadi, A.; Amrane, A.; Zamouche, M.; El Jery, A.; et al. Complete Elimination of the Ciprofloxacin Antibiotic from Water by the Combination of Adsorption–Photocatalysis Process Using Natural Hydroxyapatite and TiO2. Catalysts 2023, 13, 336. [Google Scholar] [CrossRef]
- Guo, Z.; Zhan, R.; Shi, Y.; Zhu, D.; Pan, J.; Yang, C.; Wang, Y.; Wang, J. Innovative and green utilization of zinc-bearing dust by hydrogen reduction: Recovery of zinc and lead, and synergetic preparation of Fe/C micro-electrolysis materials. Chem. Eng. J. 2023, 456, 141157. [Google Scholar] [CrossRef]
- Wang, H.; Gong, C.; Zhou, Z.; Zhou, Q.; Liu, Y.; Luo, J. Chiral 1, 2-diaminocyclohexane-α-amino ac-id-derived amidphos/AG (Ⅰ)-catalyzed divergent enantioselective 1, 3-dipolar cycloaddition of azomethine ylides. Heterocycles Int. J. Rev. Commun. Heterocycl. Chem. 2022, 104, 123–139. [Google Scholar]
- Alimoradi, H.; Shams, M.; Ashgriz, N. Enhancement in the pool boiling heat transfer of copper surface by applying electrophoretic deposited graphene oxide coatings. Int. J. Multiph. Flow 2023, 159, 104350. [Google Scholar] [CrossRef]
- Collivignarelli, M.C.; Abbà, A.; Miino, M.C.; Arab, H.; Bestetti, M.; Franz, S. Decolorization and biodegradability of a real pharmaceutical wastewater treated by H2O2-assisted photoelectrocatalysis on TiO2 meshes. J. Hazard. Mater. 2020, 387, 121668. [Google Scholar] [CrossRef]
- Li, H.; Zhao, S.; Zhang, W.; Du, H.; Yang, X.; Peng, Y.; Han, D.; Wang, B.; Li, Z. Efficient esterification over hierarchical Zr-Beta zeolite synthesized via liquid-state ion-exchange strategy. Fuel 2023, 342, 127786. [Google Scholar] [CrossRef]
- Li, G.; Huang, S.; Li, K.; Zhu, N.; Zhao, B.; Zhong, Q.; Zhang, Z.; Ge, D.; Wang, D. Near-infrared responsive Z-scheme heterojunction with strong stability and ultra-high quantum efficiency constructed by lanthanide-doped glass. Appl. Catal. B Environ. 2022, 311, 121363. [Google Scholar] [CrossRef]
- Alimoradi, H.; Shams, M.; Ashgriz, N. Bubble behavior and nucleation site density in subcooled flow boiling using a novel method for simulating the microstructure of surface roughness. Korean J. Chem. Eng. 2022, 39, 2945–2958. [Google Scholar] [CrossRef]
- Hao, O.J.; Kim, H.; Chiang, P.-C. Decolorization of Wastewater. Crit. Rev. Environ. Sci. Technol. 2000, 30, 449–505. [Google Scholar] [CrossRef]
- Liang, Y.; Li, J.; Xue, Y.; Tan, T.; Jiang, Z.; He, Y.; Shangguan, W.; Yang, J.; Pan, Y. Benzene decomposition by non-thermal plasma: A detailed mechanism study by synchrotron radiation photoionization mass spectrometry and theoretical calculations. J. Hazard. Mater. 2021, 420, 126584. [Google Scholar] [CrossRef]
- Xia, G.; Zheng, Y.; Sun, Z.; Xia, S.; Ni, Z.; Yao, J. Fabrication of ZnAl-LDH mixed metal-oxide composites for photocatalytic degradation of 4-chlorophenol. Environ. Sci. Pollut. Res. 2022, 29, 39441–39450. [Google Scholar] [CrossRef] [PubMed]
- Zaboli, S.; Alimoradi, H.; Shams, M. Numerical investigation on improvement in pool boiling heat transfer characteristics using different nanofluid concentrations. J. Therm. Anal. Calorim. 2022, 147, 10659–10676. [Google Scholar] [CrossRef]
- Zhang, L.-C.; Jia, Z.; Lyu, F.; Liang, S.-X.; Lu, J. A review of catalytic performance of metallic glasses in wastewater treatment: Recent progress and prospects. Prog. Mater. Sci. 2019, 105, 100576. [Google Scholar] [CrossRef]
- Wei, S.; Chen, T.; Hou, H.; Xu, Y. Recent advances in electrochemical sterilization. J. Electroanal. Chem. 2023, 937, 117419. [Google Scholar] [CrossRef]
- Geng, C.; Zhao, F.; Niu, H.; Zhang, J.; Dong, H.; Li, Z.; Chen, H. Enhancing the permeability, anti-biofouling performance and long-term stability of TFC nanofiltration membrane by imidazole-modified carboxylated graphene oxide/polyethersulfone substrate. J. Membr. Sci. 2022, 664, 121099. [Google Scholar] [CrossRef]
- Alimoradi, H.; Zaboli, S.; Shams, M. Numerical simulation of surface vibration effects on improvement of pool boiling heat transfer characteristics of nanofluid. Korean J. Chem. Eng. 2022, 39, 69–85. [Google Scholar] [CrossRef]
- Alvarez, L.H.; Perez-Cruz, M.A.; Rangel-Mendez, J.R.; Cervantes, F.J. Immobilized redox mediator on metal-oxides nanoparticles and its catalytic effect in a reductive decolorization process. J. Hazard. Mater. 2010, 184, 268–272. [Google Scholar] [CrossRef]
- Tang, X.; Ye, J.; Guo, L.; Pu, T.; Cheng, L.; Cao, X.; Guo, Y.; Wang, L.; Guo, Y.; Zhan, W.; et al. Atomic Insights into the Cu Species Supported on Zeolite for Direct Oxidation of Methane to Methanol via Low-Damage HAADF-STEM. Adv. Mater. 2023, 35, 2208504. [Google Scholar] [CrossRef]
- Chen, D.; Savidge, T. Comment on “Extreme electric fields power catalysis in the active site of ketosteroid isomerase”. Science 2015, 349, 936. [Google Scholar] [CrossRef]
- Alimoradi, H.; Shams, M.; Valizadeh, Z. The effects of nanoparticles in the subcooled boiling flow in the channels with different cross-sectional area and same hydraulic diameter. Modares Mech. Eng. 2017, 16, 545–554. [Google Scholar]
- Mahboub, M.J.D.; Ahmadpour, A.; Rashidi, H. Improving methane storage on wet activated carbons at various amounts of water. J. Fuel Chem. Technol. 2012, 40, 385–389. [Google Scholar] [CrossRef]
- Zuo, L.; Yu, S.; Zhang, R.; Li, H.; Wu, Y.; Abiev, R.; Sun, Z.; Sun, Z. Tunning Pd–Cu-based catalytic oxygen carrier for intensifying low-temperature methanol reforming. J. Clean. Prod. 2023, 410, 137212. [Google Scholar] [CrossRef]
- Rashid, T.; Iqbal, D.; Hazafa, A.; Hussain, S.; Sher, F.; Sher, F. Formulation of zeolite supported nano-metallic catalyst and applications in textile effluent treatment. J. Environ. Chem. Eng. 2020, 8, 104023. [Google Scholar] [CrossRef]
- Pang, S.; Zhou, C.; Sun, Y.; Zhang, K.; Ye, W.; Zhao, X.; Cai, L.; Hui, B. Natural wood-derived charcoal embedded with bimetallic iron/cobalt sites to promote ciprofloxacin degradation. J. Clean. Prod. 2023, 414, 137569. [Google Scholar] [CrossRef]
- de Souza, C.C.; Oliveira, D.; Silva, S.V.; de Souza, I.F.M.; de Melo, I.M.M.; Moreira, C.R.; da Silva, E.F.; de Oliveira, M.A.; Bezerra, A.C.D.S.; Machado, A.R.T. Activated carbon impregnated with copper to remove l-cysteine in an aqueous medium. Int. J. Environ. Sci. Technol. 2021, 18, 809–818. [Google Scholar] [CrossRef]
- Alimoradi, H.; Shams, M. Numerical simulation of the effects of surface roughness on nucleation site density of nanofluid boiling. Modares Mech. Eng. 2019, 19, 1613–1622. [Google Scholar]
- Ejhieh, A.N.; Khorsandi, M. Photodecolorization of Eriochrome Black T using NiS–P zeolite as a heterogeneous catalyst. J. Hazard. Mater. 2010, 176, 629–637. [Google Scholar] [CrossRef]
- Ge, D.; Yuan, H.; Xiao, J.; Zhu, N. Insight into the enhanced sludge dewaterability by tannic acid conditioning and pH regulation. Sci. Total Environ. 2019, 679, 298–306. [Google Scholar] [CrossRef]
- Bai, B.; Bai, F.; Nie, Q.; Jia, X. A high-strength red mud–fly ash geopolymer and the implications of curing temperature. Powder Technol. 2023, 416, 118242. [Google Scholar] [CrossRef]
- Chamgordani, M.A. The Entanglement Properties of Superposition of Fermionic Coherent States. Int. J. Theor. Phys. 2022, 61, 33. [Google Scholar] [CrossRef]
- Wang, G.; Huang, R.; Zhou, A.; Xu, Q. Degradation of methyl orange by a new catalyst glyphosate ferrous. Solid State Sci. 2019, 95, 105933. [Google Scholar] [CrossRef]
- Wang, Z.; Hu, L.; Zhao, M.; Dai, L.; Hrynsphan, D.; Tatsiana, S.; Chen, J. Bamboo charcoal fused with polyurethane foam for efficiently removing organic solvents from wastewater: Experimental and simulation. Biochar 2022, 4, 28. [Google Scholar] [CrossRef]
- Bordbar, M.; Naderi, N.; Chamgordani, M.A. The relation of entanglement to the number of qubits and interactions between them for different graph states. Indian J. Phys. 2021, 95, 901–909. [Google Scholar] [CrossRef]
- Hammood, Z.A.; Chyad, T.F.; Al-Saedi, R. Adsorption Performance of Dyes Over Zeolite for Textile Wastewater Treatment. Ecol. Chem. Eng. S 2021, 28, 329–337. [Google Scholar] [CrossRef]
- Wang, Z.; Dai, L.; Yao, J.; Guo, T.; Hrynsphan, D.; Tatsiana, S.; Chen, J. Enhanced adsorption and reduction performance of nitrate by Fe–Pd–Fe3O4 embedded multi-walled carbon nanotubes. Chemosphere 2021, 281, 130718. [Google Scholar] [CrossRef] [PubMed]
- Naderi, N.; Bordbar, M.; Hasanvand, F.K.; Chamgordani, M.A. Influence of inhomogeneous magnetic field on the qutrit teleportation via XXZ Heisenberg chain under intrinsic decoherence. Optik 2021, 247, 167948. [Google Scholar] [CrossRef]
- Yu, F.; Wang, L.; Ma, H.; Pan, Y. Zeolitic imidazolate framework-8 modified active carbon fiber as an efficient cathode in electro-Fenton for tetracycline degradation. Sep. Purif. Technol. 2020, 237, 116342. [Google Scholar] [CrossRef]
- Wang, H.-C.; Liu, Y.; Yang, Y.-M.; Fang, Y.-K.; Luo, S.; Cheng, H.-Y.; Wang, A.-J. Element sulfur-based autotrophic denitrification constructed wetland as an efficient approach for nitrogen removal from low C/N wastewater. Water Res. 2022, 226, 119258. [Google Scholar] [CrossRef]
- Wang, Z.; Chen, C.; Liu, H.; Hrynshpan, D.; Savitskaya, T.; Chen, J.; Chen, J. Enhanced denitrification performance of Alcaligenes sp. TB by Pd stimulating to produce membrane adaptation mechanism coupled with nanoscale zero-valent iron. Sci. Total Environ. 2020, 708, 135063. [Google Scholar] [CrossRef]
- Sapawe, N. Effective solar-based iron oxide supported HY zeolite catalyst for the decolorization of organic and simulated dyes. New J. Chem. 2015, 39, 6377–6387. [Google Scholar] [CrossRef]
- Liu, W.; Huang, F.; Liao, Y.; Zhang, J.; Ren, G.; Zhuang, Z.; Zhen, J.; Lin, Z.; Wang, C. Treatment of CrVI -Containing Mg(OH)2 Nanowaste. Angew. Chem. 2008, 47, 5619–5622. [Google Scholar] [CrossRef] [PubMed]
- Wang, Z.; Liu, X.; Ni, S.-Q.; Zhuang, X.; Lee, T. Nano zero-valent iron improves anammox activity by promoting the activity of quorum sensing system. Water Res. 2021, 202, 117491. [Google Scholar] [CrossRef] [PubMed]
- Dükkancı, M.; Gündüz, G.; Yılmaz, S.; Prihod’ko, R. Heterogeneous Fenton-like degradation of Rhodamine 6G in water using CuFeZSM-5 zeolite catalyst prepared by hydrothermal synthesis. J. Hazard. Mater. 2010, 181, 343–350. [Google Scholar] [CrossRef] [PubMed]
- Zhao, Y.; Li, Q.; Cui, Q.; Ni, S.-Q. Nitrogen recovery through fermentative dissimilatory nitrate reduction to ammonium (DNRA): Carbon source comparison and metabolic pathway. Chem. Eng. J. 2022, 441, 135938. [Google Scholar] [CrossRef]
- Le, T.X.H.; Drobek, M.; Bechelany, M.; Motuzas, J.; Julbe, A.; Cretin, M. Application of Fe-MFI zeolite catalyst in heterogeneous electro-Fenton process for water pollutants abatement. Microporous Mesoporous Mater. 2019, 278, 64–69. [Google Scholar] [CrossRef]
- Oturan, N.; Zhou, M.; Oturan, M.A. Metomyl Degradation by Electro-Fenton and Electro-Fenton-Like Processes: A Kinetics Study of the Effect of the Nature and Concentration of Some Transition Metal Ions As Catalyst. J. Phys. Chem. A 2010, 114, 10605–10611. [Google Scholar] [CrossRef]
- Zhou, H.; Su, Y.; Liao, W.; Deng, W.; Zhong, F. NO reduction by propane over monolithic cordierite-based Fe/Al2O3 catalyst: Reaction mechanism and effect of H2O/SO2. Fuel 2016, 182, 352–360. [Google Scholar] [CrossRef]
- Li, S. Efficient algorithms for scheduling equal-length jobs with processing set restrictions on uniform parallel batch machines. Math. Biosci. Eng. 2022, 19, 10731–10740. [Google Scholar] [CrossRef]
- Xie, R.; Liu, G.; Liu, D.; Liang, S.; Lei, D.; Dong, H.; Huang, H.; Leung, D.Y. Wet scrubber coupled with heterogeneous UV/Fenton for enhanced VOCs oxidation over Fe/ZSM-5 catalyst. Chemosphere 2019, 227, 401–408. [Google Scholar] [CrossRef]
- Askari, R.; Afshin, S.; Rashtbari, Y.; Moharrami, A.; Mohammadi, F.; Vosuoghi, M.; Dargahi, A. Synthesis of activated carbon from walnut wood and magnetized with cobalt ferrite (CoFe2O4) and its application in removal of cephalexin from aqueous solutions. J. Dispers. Sci. Technol. 2021, 44, 1183–1194. [Google Scholar] [CrossRef]
- Aghakhani, M.; Naderian, P. Modeling and optimization of dilution in SAW in the presence of Cr2O3 nano-particles. Int. J. Adv. Manuf. Technol. 2015, 78, 1665–1676. [Google Scholar] [CrossRef]
- Naderian, P.; Aghakhani, M.; Khoshboo, S. Modelling the hardness of weld metal in the submerged arc welding of low carbon steel plates: Addition of CR2O3 nanoparticles. Adv. Mater. Process. Technol. 2022, 9, 221–236. [Google Scholar] [CrossRef]
- Sun, S.; Liu, H.; Zhang, J.; Wang, W.; Xu, P.; Zhu, X.; Wang, Y.; Wan, S. Application of a novel coagulant in reservoir water treatment in Qingdao. Desalination Water Treat. 2023, 284, 49–60. [Google Scholar] [CrossRef]
- Shen, J.; Li, Y.; Zhu, Y.; Hu, Y.; Li, C. Aerosol synthesis of Graphene-Fe3O4 hollow hybrid microspheres for heterogeneous Fenton and electro-Fenton reaction. J. Environ. Chem. Eng. 2016, 4, 2469–2476. [Google Scholar] [CrossRef]
- Rostamizadeh, M.; Yaripour, F.; Hazrati, H. Ni-doped high silica HZSM-5 zeolite (Si/Al = 200) nanocatalyst for the selective production of olefins from methanol. J. Anal. Appl. Pyrolysis 2018, 132, 1–10. [Google Scholar] [CrossRef]
- Horikawa, T.; Katoh, M.; Tomida, T. Preparation and characterization of nitrogen-doped mesoporous titania with high specific surface area. Microporous Mesoporous Mater. 2008, 110, 397–404. [Google Scholar] [CrossRef]
- Kruk, M.; Kohlhaas, K.M.; Dufour, B.; Celer, E.B.; Jaroniec, M.; Matyjaszewski, K.; Ruoff, R.S.; Kowalewski, T. Partially graphitic, high-surface-area mesoporous carbons from polyacrylonitrile templated by ordered and disordered mesoporous silicas. Microporous Mesoporous Mater. 2007, 102, 178–187. [Google Scholar] [CrossRef]
- Cabral de Menezes, S.M.; Lam, Y.; Damodaran, K.; Pruski, M. Modification of H-ZSM-5 zeolites with phosphorus. 1. Identification of aluminum species by 27Al solid-state NMR and characterization of their catalytic properties. Microporous Mesoporous Mater. 2006, 95, 286–295. [Google Scholar] [CrossRef]
- Jentys, A.; Warecka, G.; Derewinski, M.; Lercher, J.A. Adsorption of water on ZSM 5 zeolites. J. Phys. Chem. 1989, 93, 4837–4843. [Google Scholar] [CrossRef]
- Gorzin, F.; Darian, J.T.; Yaripour, F.; Mousavi, S.M. Preparation of hierarchical HZSM-5 zeolites with combined desilication with NaAlO2/tetrapropylammonium hydroxide and acid modification for converting methanol to propylene. RSC Adv. 2018, 8, 41131–41142. [Google Scholar] [CrossRef]
- Campbell, S.M.; Jiang, X.-Z.; Howe, R.F. Methanol to hydrocarbons: Spectroscopic studies and the significance of extra-framework aluminium. Microporous Mesoporous Mater. 1999, 29, 91–108. [Google Scholar] [CrossRef]
- Shah, A.K.; Shah, G.T.; Shah, A.A.; Park, Y.H.; Shah, A.A.; Choi, M.; Ahmed, S.; Bukhari, S.N.S.; Chandio, A.D.; Mahar, M.A.; et al. Design of Nickel Supported Hierarchical ZSM-5/USY Zeolite Bifunctional Catalysts for One-Pot Menthol Synthesis via Liquid-Phase Citral Hydrogenation. Molecules 2023, 28, 743. [Google Scholar] [CrossRef] [PubMed]
- Kim, J.R.; Santiano, B.; Kim, H.; Kan, E. Heterogeneous Oxidation of Methylene Blue with Surface-Modified Iron-Amended Activated Carbon. Am. J. Anal. Chem. 2013, 4, 115–122. [Google Scholar] [CrossRef]
- Spagnoli, A.A.; Giannakoudakis, D.A.; Bashkova, S. Adsorption of methylene blue on cashew nut shell based carbons activated with zinc chloride: The role of surface and structural parameters. J. Mol. Liq. 2017, 229, 465–471. [Google Scholar] [CrossRef]
- Basaleh, A.A.; Al-Malack, M.H.; Saleh, T.A. Methylene Blue removal using polyamide-vermiculite nanocomposites: Kinetics, equilibrium and thermodynamic study. J. Environ. Chem. Eng. 2019, 7, 103107. [Google Scholar] [CrossRef]
- Nidheesh, P.V.; Olvera-Vargas, H.; Oturan, N.; Oturan, M.A. Heterogeneous Electro-Fenton Process: Principles and Applications. In Electro-Fenton Process; Springer: Singapore, 2017; pp. 85–110. [Google Scholar] [CrossRef]
- Neamţu, M.; Catrinescu, C.; Kettrup, A. Effect of dealumination of iron(III)—Exchanged Y zeolites on oxidation of Reactive Yellow 84 azo dye in the presence of hydrogen peroxide. Appl. Catal. B Environ. 2004, 51, 149–157. [Google Scholar] [CrossRef]
- Nidheesh, P.; Zhou, M.; Oturan, M.A. An overview on the removal of synthetic dyes from water by electrochemical advanced oxidation processes. Chemosphere 2018, 197, 210–227. [Google Scholar] [CrossRef] [PubMed]
- Nidheesh, P.; Gandhimathi, R. Trends in electro-Fenton process for water and wastewater treatment: An overview. Desalination 2012, 299, 1–15. [Google Scholar] [CrossRef]
- Zazou, H.; Oturan, N.; Zhang, H.; Hamdani, M.; Oturan, M.A. Comparative study of electrochemical oxidation of herbicide 2,4,5-T: Kinetics, parametric optimization and mineralization pathway. Sustain. Environ. Res. 2017, 27, 15–23. [Google Scholar] [CrossRef]
- Ganiyu, S.O.; Zhou, M.; Martínez-Huitle, C.A. Heterogeneous electro-Fenton and photoelectro-Fenton processes: A critical review of fundamental principles and application for water/wastewater treatment. Appl. Catal. B Environ. 2018, 235, 103–129. [Google Scholar] [CrossRef]
- Gogoi, A.; Navgire, M.; Sarma, K.C.; Gogoi, P. Fe3O4-CeO2 metal oxide nanocomposite as a Fenton-like heterogeneous catalyst for degradation of catechol. Chem. Eng. J. 2017, 311, 153–162. [Google Scholar] [CrossRef]
- Salem Attia, T.M.; Hu, X.L.; Yin, D.Q. Synthesized magnetic nanoparticles coated zeolite for the adsorption of pharmaceutical compounds from aqueous solution using batch and column studies. Chemosphere 2013, 93, 2076–2085. [Google Scholar] [CrossRef] [PubMed]
- Wang, N.; Zheng, T.; Zhang, G.; Wang, P. A review on Fenton-like processes for organic wastewater treatment. J. Environ. Chem. Eng. 2016, 4, 762–787. [Google Scholar] [CrossRef]
- Qiang, Z.; Chang, J.-H.; Huang, C.-P. Electrochemical regeneration of Fe2+ in Fenton oxidation processes. Water Res. 2003, 37, 1308–1319. [Google Scholar] [CrossRef] [PubMed]
- Wang, J.; Tan, Y.; Pan, Y.; Zhen, G.; Lu, X.; Song, Y.; Zhao, Y.; Ushani, U.K. Altering Extracellular Biopolymers and Water Distribution of Waste Activated Sludge by Fe(II) Persulfate Oxidation with Natural Zeolite and Polyelectrolyte as Skeleton Builders for Positive Feedbacks to Dewaterability. ACS Sustain. Chem. Eng. 2019, 7, 16549–16559. [Google Scholar] [CrossRef]
- Hou, B.; Han, H.; Jia, S.; Zhuang, H.; Xu, P.; Wang, D. Heterogeneous electro-Fenton oxidation of catechol catalyzed by nano-Fe3O4: Kinetics with the Fermi’s equation. J. Taiwan Inst. Chem. Eng. 2015, 56, 138–147. [Google Scholar] [CrossRef]
- Babuponnusami, A.; Muthukumar, K. Advanced oxidation of phenol: A comparison between Fenton, electro-Fenton, sono-electro-Fenton and photo-electro-Fenton processes. Chem. Eng. J. 2012, 183, 1–9. [Google Scholar] [CrossRef]
- Alimoradi, H.; Eskandari, E.; Pourbagian, M.; Shams, M. A parametric study of subcooled flow boiling of Al2O3/water nanofluid using numerical simulation and artificial neural networks. Nanoscale Microscale Thermophys. Eng. 2022, 26, 129–159. [Google Scholar] [CrossRef]
- Eskandari, E.; Alimoradi, H.; Pourbagian, M.; Shams, M. Numerical investigation and deep learning-based prediction of heat transfer characteristics and bubble dynamics of subcooled flow boiling in a vertical tube. Korean J. Chem. Eng. 2022, 39, 3227–3245. [Google Scholar] [CrossRef]














| Sample | Crystallinity (%) | ||||||
|---|---|---|---|---|---|---|---|
| Parent | 100 | 321.10 | 0.19 | 0.13 | 0.06 | 281.69 | 39.41 |
| Modified | 92.20 | 327.36 | 0.19 | 0.12 | 0.07 | 288.14 | 39.22 |
| Figure | RMSE | ||||||||||
|---|---|---|---|---|---|---|---|---|---|---|---|
| 11a | 147.5 | −0.7453 | −36.04 | −0.000584 | 0.678 | 4.106 | −0.001503 | −0.06694 | −3.277 × 10−15 | 1.43 | 0.97 |
| 11b | 13.95 | 1.733 | 283.9 | −0.01181 | −1.029 | −581.2 | 0.004251 | 0.3891 | 344.7 | 1.58 | 0.98 |
| 11c | 73.8 | 1.317 | −0.136 | −0.008033 | −0.001429 | 0.0004448 | 0 | 0 | 0 | 1.82 | 0.97 |
| Input | Hidden Layers | Activation Function | Epochs | Batch Size |
|---|---|---|---|---|
| 32,64,128,128,64,32 | ReLU | 15,000 | 32 |
Disclaimer/Publisher’s Note: The statements, opinions and data contained in all publications are solely those of the individual author(s) and contributor(s) and not of MDPI and/or the editor(s). MDPI and/or the editor(s) disclaim responsibility for any injury to people or property resulting from any ideas, methods, instructions or products referred to in the content. |
© 2023 by the authors. Licensee MDPI, Basel, Switzerland. This article is an open access article distributed under the terms and conditions of the Creative Commons Attribution (CC BY) license (https://creativecommons.org/licenses/by/4.0/).
Share and Cite
El Jery, A.; Aldrdery, M.; Shirode, U.R.; Gavilán, J.C.O.; Elkhaleefa, A.; Sillanpää, M.; Sammen, S.S.; Tizkam, H.H. An Efficient Investigation and Machine Learning-Based Prediction of Decolorization of Wastewater by Using Zeolite Catalyst in Electro-Fenton Reaction. Catalysts 2023, 13, 1085. https://doi.org/10.3390/catal13071085
El Jery A, Aldrdery M, Shirode UR, Gavilán JCO, Elkhaleefa A, Sillanpää M, Sammen SS, Tizkam HH. An Efficient Investigation and Machine Learning-Based Prediction of Decolorization of Wastewater by Using Zeolite Catalyst in Electro-Fenton Reaction. Catalysts. 2023; 13(7):1085. https://doi.org/10.3390/catal13071085
Chicago/Turabian StyleEl Jery, Atef, Moutaz Aldrdery, Ujwal Ramesh Shirode, Juan Carlos Orosco Gavilán, Abubakr Elkhaleefa, Mika Sillanpää, Saad Sh. Sammen, and Hussam H. Tizkam. 2023. "An Efficient Investigation and Machine Learning-Based Prediction of Decolorization of Wastewater by Using Zeolite Catalyst in Electro-Fenton Reaction" Catalysts 13, no. 7: 1085. https://doi.org/10.3390/catal13071085
APA StyleEl Jery, A., Aldrdery, M., Shirode, U. R., Gavilán, J. C. O., Elkhaleefa, A., Sillanpää, M., Sammen, S. S., & Tizkam, H. H. (2023). An Efficient Investigation and Machine Learning-Based Prediction of Decolorization of Wastewater by Using Zeolite Catalyst in Electro-Fenton Reaction. Catalysts, 13(7), 1085. https://doi.org/10.3390/catal13071085

