Next Article in Journal
Advanced Technologies Conciliating Desulfurization and Denitrogenation to Prepare Clean Fuels
Next Article in Special Issue
The Influence of Sulfurization and Carbonization on Mo-Based Catalysts for CH3SH Synthesis
Previous Article in Journal
Modification of SmMn2O5 Catalyst with Silver for Soot Oxidation: Ag Loading and Metal–Support Interactions
Previous Article in Special Issue
Repurposing Mining and Metallurgical Waste as Electroactive Materials for Advanced Energy Applications: Advances and Perspectives
 
 
Font Type:
Arial Georgia Verdana
Font Size:
Aa Aa Aa
Line Spacing:
Column Width:
Background:
Article

Cobalt–Magnesium Oxide Catalysts for Deep Oxidation of Hydrocarbons

by
Magira Zhylkybek
1,2,
Bolatbek Khussain
1,
Alexandr Sass
1,
Ivan Torlopov
1,
Tolkyn Baizhumanova
1,2,
Svetlana Tungatarova
1,2,*,
Alexandr Brodskiy
1,
Galina Xanthopoulou
3,
Kenzhegul Rakhmetova
1,
Rabiga Sarsenova
1,
Kaysar Kassymkan
1 and
Yermek Aubakirov
2
1
D.V. Sokolsky Institute of Fuel, Catalysis and Electrochemistry, 142, Kunaev Str., Almaty 050010, Kazakhstan
2
Department of Chemistry and Chemical Technology, Al-Farabi Kazakh National University, 71, Al-Farabi Str., Almaty 050040, Kazakhstan
3
Institute of Nanoscience and Nanotechnology, NCSR Demokritos, Aghia Paraskevi, 15310 Athens, Greece
*
Author to whom correspondence should be addressed.
Catalysts 2024, 14(2), 136; https://doi.org/10.3390/catal14020136
Submission received: 16 January 2024 / Revised: 3 February 2024 / Accepted: 5 February 2024 / Published: 9 February 2024

Abstract

Co–Mg catalysts for methane combustion were synthesized and studied, revealing the transformation of MgCo2O4 spinel into a CoO–MgO solid solution with oxygen release from the spinel lattice as the calcination temperature increased. Repeated heat treatment of the calcined solid solution at lower temperatures led to spinel regeneration with segregation of the solid solution phase. A TPR of the samples showed the presence of two characteristic peaks, the first of which relates to the transition of Co3+Oh spinel to the Co2+Oh structure of CoO, and the second to the reduction of CoO to Co°. The second peak was observed at 540–620 °C for samples calcined at temperatures below spinel decomposition, and for high-temperature samples at 900–1100 °C. Taking into account the identity of the structure of phases obtained in both cases, the formation of not a true CoO–MgO solid solution, but rather a mixture of ordered oxides (“pseudo-solid solution”) in the low-temperature region, was postulated. A study of the activity of the samples showed the high activity of the spinel systems and a linear relationship between the activation energy of methane oxidation and the heat treatment temperature.

1. Introduction

Methods based on the use of various catalytically active compositions are widely used in the purification of industrial gases from various organic products (methane and other hydrocarbons, carbon monoxide, soot, benzopyrene, aldehydes, etc.) [1,2,3,4]. Noble metals (Pt, Pd, Rh), as well as compositions based on metal oxides of variable valence, exhibit high activity in deep oxidation reactions. Among the oxides of 3d elements, cobalt oxide Co3O4 and oxide systems based on it exhibit the highest activity in deep and partial oxidation reactions [4,5]. The high mobility of lattice oxygen in systems containing Co3+ puts them on a par with catalysts based on noble metals in terms of specific activity [6]. The low cost of cobalt-oxide-based systems compared to scarce noble metals makes these catalysts especially promising [1,2,3,4].
The deep oxidation of methane and other hydrocarbons on oxide catalysts proceeds according to the Mars–van Krevelen mechanism [4,6], and therefore lattice oxygen plays a decisive role in their activity. This determines the importance of preserving the redox properties of catalysts along with their textural and mechanical characteristics, which is ensured by depositing the cobalt-containing active component on an inert support. As a rule, a low-temperature alumina modification is used as the latter, with Co/Al2O3 being the most common and well-studied Co-containing catalyst [4,7,8]. This system is characterized by deactivation under high-temperature conditions due to the formation of low-active CoAl2O4 spinel and the fixation of active Co centers in the support lattice [7,8].
In order to provide increased thermal stability while maintaining the activity of the Co-catalyst, various structural promoters are usually introduced. Oxides of divalent cations (MgO, CaO, ZnO, etc.) are among such additives; they are capable of forming their own stable spinels with the alumina support [9,10]. The issue concerning the interaction of such promoters with the active component within binary systems of the CoOx–MeO type deserves special attention.
CoOx–MgO is one such promising system. It has been studied in the Fischer–Tropsch process [11], the dry reforming of methane [12,13], the steam reforming of organic compounds [14,15], and the partial [16,17] and, especially, the deep oxidation of methane [10,18,19,20,21]. The proximity of the radii of Co and Mg cations ensures the stability of the cubic structure of the oxide phases formed [22]. Two regions are present in the phase diagram of the Co–Mg oxide system: a low-temperature region, where MgCo2O4 spinel is formed, and a high-temperature region of a continuous CoO–MgO solid solution. The phase transition between them occurs at 600–900 °C [23].
CoO–MgO high-temperature solid solutions have been considered in most work on the study of the structure, properties, and interactions between cations in this system [22]. A number of authors note the ability of a solid solution to stabilize Co2+ ions in octahedral vacancies of the cubic structure, which are active in a number of catalytic processes such as the steam reforming of ethanol [14]. Other studies note the high thermal stability of CoO–MgO solid solutions and their low tendency to coking, which determines their high potential in the dry reforming of methane [12]. Recently, the number of studies on MgCo2O4 spinel has increased in connection with the search for active components and supports for catalysts [24,25,26,27], as well as nanostructured compositions for electrocatalysis [28], thermochemical energy storage cycles [29], and electrodes for Li-ion batteries and supercapacitors [30,31]. However, studies examining the genesis of the Co–Mg oxide system during its heat treatment with the transition of the spinel into the solid solution are few and contradictory [12,31,32].
The deep oxidation of methane and other hydrocarbons occurs at high temperatures (550–800 °C) [1,4,6], with the temperature range of the catalyst operation partially coinciding with the region of phase transition, which determines the influence of mutual transformations between the spinel and the solid solution phases on the catalyst efficiency. Most importantly, reversible phase transitions of this type ensure the ability of the catalyst to regenerate after deactivation during thermal shocks or local overheating [12,27]. In this regard, establishing the patterns of formation of the CoOx–MgO oxide system as heat treatment proceeds and its effect on the catalytic activity using the example of the methane oxidation reaction is of particular relevance.

2. Results

2.1. Phase Composition and Structure of Samples

The structure of the synthesized catalyst samples with different heat treatment temperatures was studied by X-ray diffraction (XRD), Fourier-transform infrared spectroscopy (FTIR), scanning electron microscopy (SEM), and electron spin resonance (ESR) methods. The results of the X-ray phase analysis of the samples are presented in Figure 1. The obtained values of the positions of diffraction maxima and their correlation to phases are summarized in Table 1.
Reflections characteristic of the spinel phase (Co3O4, JCPDS 42–1467 [27], or MgCo2O4, JCPDS 2–1073 [8,27,33], JCPDS 81–671 [34]) and the cubic oxide phases (MgO, JCPDS 45–946 [27], and CoO, JCPDS 48–1719 [24]) or their solid solution were observed in the diffraction patterns of the Co–Mg samples.
Cobalt oxide Co3O4 is a standard normal spinel A2+B23+O4, with tetrahedral vacancies occupied by Co2+ cations, and octahedral vacancies by Co3+ (Co2+[Co3+O4]) [35]. In addition to normal spinels, inverse spinels B3+[A2+B3+O4] are known, in which divalent cations occupy an octahedral position, while half of the trivalent cations occupy a tetrahedral position [36], as well as intermediate spinels characterized by a certain degree of inversion. Calculations using the Co3O4–Al2O3 system as an example [37] indicate a direct relationship between the degree of spinel inversion and its lattice parameter. The latter, according to the literature data for MgCo2O4, is characterized by a significant scatter (8.123 [33], 8.139 [34], 8.086 [38], 8.107 [39], 8.09 [40]). This suggests that the degree of inversion of the Co–Mg spinel is largely determined by the sample preparation technique. In this study, the spinel lattice parameter remained approximately constant with increasing heat treatment temperature (Table 1). The average lattice parameter was 8.089 Å, which supposedly corresponds to a low degree of spinel inversion. However, the large spread of the lattice parameter values prevents obtaining unambiguous results regarding the formation of a single phase of constant composition that would not depend on the heat treatment temperature. The absence of characteristic MgO reflections in the diffraction patterns of the samples indicates the formation of the MgxCo3–xO4 compound under these conditions rather than a mixture of MgO and Co3O4, contrary to [23].
The gradual formation of a Co–Mg substitutional solid solution from the spinel phase was observed during heat treatment at temperatures above 550–650 °C. A further increase in temperature led to a sharp increase in the content of the solid solution and the complete disappearance of the spinel at ~1000 °C (Figure 2).
At low calcination temperatures, the cubic oxide phase was characterized by lattice parameter values close to the values for pure MgO (Table 1) [12,32]. The lattice parameter increased and reached a value approximately corresponding to the Mg:Co = 1:2 ratio [41], indicating the formation of the solid solution phase.
This is explained by the presence of residual MgO at low temperatures. A sharp increase in the lattice parameter of the solid solution occurs simultaneously with the accumulation of this phase during heat treatment and corresponds to the saturation of the solid solution with cobalt.
The X-ray phase analysis of the Co–Mg(1100 + 750) sample subjected to secondary heat treatment, compared with the initial Co–Mg(1100) sample, showed the presence of a spinel phase along with the solid solution formed at 1100 °C (Table 1). This confirms the possibility of the reoxidation of a part of the Co2+ in the solid solution structure into Co3+ in an oxygen-containing atmosphere with the spinel phase formation [23]. From X-ray diffraction data, it is impossible to determine which formula the resulting spinel phase corresponds to: Co3O4 or MgCo2O4.
The results of the FTIR study of the structure of the synthesized samples are presented in Figure 3.
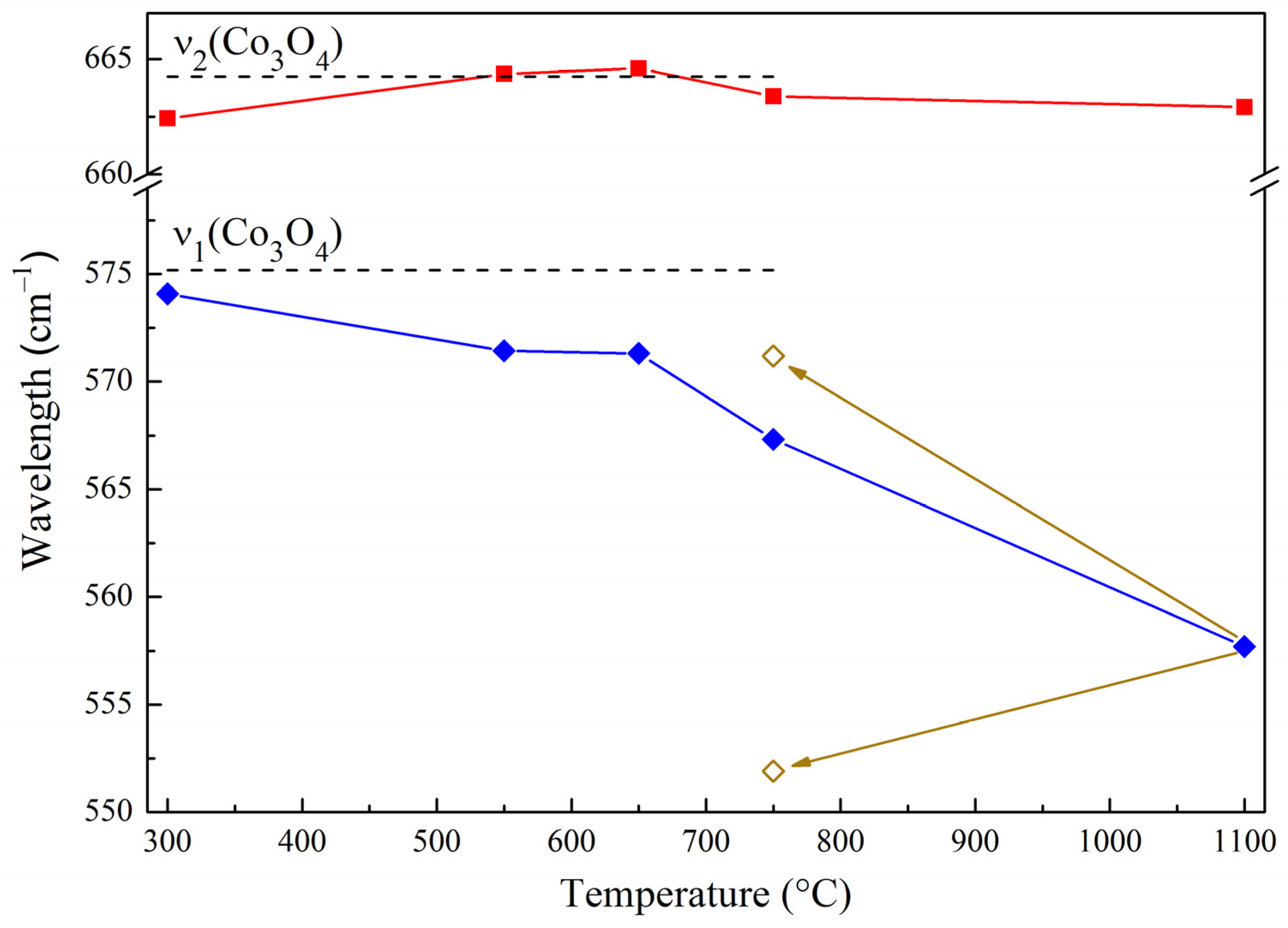
Absorption bands (a.b.) characteristic of νH2O vibrations (3420–3450, 1630–1640 cm−1) are present in the spectra of all samples. Residual NO3 (3700, 1630, 1520, 1390 cm−1) and OH-groups (3420–3450 cm−1) are present in the Co–Mg(300) sample. The key feature of the spectra is the region of 700–400 cm−1, where for samples calcined at temperatures below 1100 °C, two a.b. are observed (660–670 and 560–575 cm−1), corresponding to the ν1 and ν2 stretching vibrations of Me–O [40]. Their positions are consistent with the a.b. of Co3O4 (575 and 664 cm−1) [42,43] and are characterized by a slight shift depending on the heat treatment temperature (Figure 4).
A further increase in calcination temperature leads to the almost complete disappearance of the ν1 and ν2 absorption bands and the appearance of an intense broad band with a.b. at 440–445 cm−1, which correlates with similar a.b. of MgO (440 cm−1) [21]. In the case of the Co–Mg(1100 + 750) sample subjected to reoxidation, ν1 and ν2 a.b. characteristic of spinel are observed, with ν1 split into a.b. at 551 and 571 cm−1.
The bands at 660–670 and 560–575 cm−1 are attributed to the stretching vibrations of the Me–O bonds of the spinel structure. The ν1 band is associated with vibrations of bonds between cations located in octahedral vacancies (O–B3), and ν2 with vibrations of bonds between cations in both tetrahedral and octahedral voids (A–B–O3) [42,43]. Thus, the shift of the ν1 band to the lower region indicates an increase in the length of the bonds of cations in octahedral positions.
The shift in ν1 is especially strong at heat treatment temperatures above 650 °C, when, according to the X-ray diffraction data, the spinel structure decomposes and the solid solution forms. This is explained by the partial reoxidation of the surface of the solid solution during rapid cooling in air after heat treatment. The crystal lattice of the solid solution phase causes distortions in the spinel phase formed on its surface during reoxidation. Longer/deeper reoxidation leads to the further growth of the spinel phase and, at the same time, its partial restructuring into an undistorted structure (healing of defects), which explains the preservation of the a.b. at 551 cm−1 in the form of a shoulder with the main band at 571 cm−1.
To further study the state of Co cations, the ESR method was used. Theoretically, Co3+Oh species of the bulk MgCo2O4 structure are diamagnetic and lack an ESR signal. In the solid solution, Co2+ ions occupy octahedral vacancies and give a signal with g = 4.23–4.28 at temperatures lower than −153 °C that disappears at higher temperatures due to the Jahn–Teller effect [44,45,46]. However, the ESR spectra of the synthesized samples showcase a broad isotropic singlet with g = 2.25, related to the Co2+ species in a tetrahedral environment with the 3d5 electronic configuration [43,47] (Table 2, Figure 5).
The appearance of Co2+Td cations is possible only in the case of Co3O4 spinel. Such a spinel could theoretically be formed along with MgCo2O4 following cobalt and magnesium nitrate decomposition during the synthesis of samples. According to Table 2, a certain amount of Co2+Td, i.e., Co3O4, is present in the synthesized samples up to the temperature range of the spinel phase decomposition (up to 750 °C). The amount of Co2+Td sharply decreases in parallel with the decrease in the amount of spinel with a further increase in the calcination temperature (Figure 2). Small residual amounts of Co2+Td in high-temperature samples are apparently associated with the partial reoxidation of the CoO–MgO solid solution during the rapid cooling of the samples after heat treatment, which can have a dramatic effect on the surface phase composition: in this regard, in works [22,32] dealing with solid solutions, inert, oxygen-free media were used to eliminate spinel formation.
The morphology of particles and the elemental composition of a number of synthesized samples were studied by scanning electron microscopy. Typical micrographs of spinel and solid solution are shown in Figure 6.
According to SEM data, the spinel phase (Figure 6a,b) is formed by irregular, weakly crystallized plate-type particles 0.5–2.5 µm in size and secondary aggregates up to 10 µm in size. The Co–Mg solid solution phase formed during high-temperature calcination showcases octahedral crystals with sizes of 1–3 μm, which are also prone to aggregation. This is consistent with the data on the cubic structure of the solid solution, which is prone to the formation of octahedral particles [22].
Table 3 shows the results of the analysis of the elemental composition of the samples.
A study of the elemental composition of the samples showed a monotonous increase in the Co:Mg ratio in the surface layers with increasing heat treatment temperature. The lack of Co relative to the stoichiometric ratio for spinel 2:1 in the case of Co–Mg(400) can be explained by the suggestion that incompletely decomposed magnesium nitrate formed a film on the surface of the sample grains during synthesis at this temperature [48]. A further increase in the calcination temperature to 750 °C gives Co:Mg values close to stoichiometry. The excess of Co in the case of the Co–Mg(1100) sample, which comprises a CoO–MgO solid solution, is probably explained by the partial migration of Mg into the bulk phase during the formation of a Co3O4 spinel phase on the surface during the rapid cooling of the sample. The formation of Co3O4 under these conditions is confirmed by FTIR spectroscopy data (Figure 3).
The reoxidation of the solid solution leads to a significant increase in the spread of the Co:Mg ratio at different survey points. This, apparently, is caused by the phase segregation of the solid solution due to the uneven formation of the bulk spinel phase, enriched in cobalt compared to the solid solution.
The amount of oxygen in all samples was lower than stoichiometric for any of the possible compounds in the system of this composition (Co:Mg = 2:1), which is explained by the partial reduction in cobalt in the samples under the action of an electron beam during analysis (such an effect was not observed for pure MgO). At the same time, the initially oxidized samples showcase the small spread of oxygen content at different local points, confirming their homogeneity. Significant fluctuations in the amount of oxygen at different survey points were observed in the case of the Co–Mg(1100 + 750) sample, further confirming the formation of a cobalt-enriched spinel phase, which decomposes more easily. This effect is further substantiated by EDX analysis data (Figure 6).

2.2. Binding Energy and Oxygen Reactivity of Samples

Oxygen associated with the surface and structure of the catalyst is important in catalytic deep oxidation reactions [4,6]. Lattice oxygen, the amount of which determines the catalyst specific activity, plays a particularly important role in the reaction of methane deep oxidation, which occurs at temperatures of 550–800 °C according to the Mars–van Krevelen mechanism [6]. In this regard, temperature-programmed desorption of oxygen (TPD) and temperature-programmed reduction by hydrogen (H2–TPR) methods were used to study the amount of different types of oxygen.
The results of the study of the catalyst samples using TPD analysis are presented in Figure 7. Table 4 shows the quantitative characteristics of the thermal desorption of the samples: temperatures of oxygen release maxima, volumes of oxygen released during desorption, and desorption activation energies for different regions.
Oxygen desorption occurs in three regions (Figure 7): 1—300–400 °C, 2—600–650 °C, and 3—650–900 °C, with characteristic maxima (Table 4). There is a peak in region 2 on the Co–Mg(400) sample, which turns into a shoulder upon transition to Co–Mg(550) and disappears with a further increase in the heat treatment temperature. The oxygen released during thermal desorption was divided into two parts: low temperature (region 1, characterized by the desorption of physically adsorbed oxygen) and high temperature (regions 2 and 3, associated with the stepwise desorption of lattice oxygen).
Region 1 is characterized by relatively high desorption activation energies (45–50 kJ/mol) at low heat treatment temperatures (400–550 °C). This can be explained by the fact that these samples contain the products of incomplete decomposition of the initial cobalt and magnesium nitrates. A further increase in the calcination temperature leads to a decrease in the activation energy of desorption of region 1 to 10–25 kJ/mol, which is a typical value for physically adsorbed oxygen [22].
Regions 2 and 3 are characterized by a much more intense release of oxygen due to the decomposition of Co–Mg compounds. Stepwise decomposition is observed, presumably due to the incomplete formation of the spinel crystal lattice in the case of low-temperature samples (400–550 °C). The activation energies of desorption under these conditions are 80–120 and 140–170 kJ/mol for the first and second stages, respectively. Regions 2 and 3 merge into one with a further increase in the calcination temperature. The activation energy remains approximately constant (190–210 kJ/mol) at temperatures of 650–1300 °C. The total amount of released oxygen monotonously decreases in this heat treatment temperature range. A particularly sharp drop is observed at temperatures above 800 °C, which corresponds to the formation of a solid solution phase.
Reflections characteristic of the CoO–MgO solid solution were present in the diffraction pattern of the Co–Mg(650) sample subjected to thermal desorption up to 900 °C (Figure 8). Thus, oxygen desorbed in the high-temperature region is supposedly associated with the decomposition of MgCo2O4 spinel and its transition into a solid solution, which is substantiated by [22,49,50], where oxygen release from different cobalt oxide structures was observed.
Figure 9 shows the TPR profiles of the synthesized samples for different heat treatment temperatures in comparison with Co3O4. Table 5 summarizes the quantitative characteristics of the TPR profiles of the samples.
It is known from the literature that the reduction in Co3O4 occurs in two temperature regions: in the first region, Co3+ is reduced to Co2+, and in the second, Co2+ is reduced to Co0 [9,25,26,27,42]. The stoichiometric ratio of oxygen in the first and second regions is 1:3. This agrees well with the data in Table 5. When replacing Co in this spinel with Mg, the theoretical ratio between them should change to 1:2. This ratio is approximately maintained at heat treatment temperatures of 400–650 °C, after which it increases due to a decrease in the amount of Co3+ in the samples as the spinel phase transitions to a solid solution. At the same time, starting from these temperatures (750 °C and above), a gradual decrease in the total amount of oxygen capable of reduction is observed (Table 5). All samples at the end of TPR consisted of Co0 and MgO phases.
The TPR profiles of the samples calcined in the temperature range 400–800 °C are similar to those commonly presented in the literature [9,12,16,25,26,27]. The first reduction peak is observed at 420–470 °C, and the second, much broader, stretches to ~900 °C and is characterized by a maximum at 540–620 °C. A further increase in heat treatment temperature with the transition of spinel into a solid solution led to a gradual transformation of the TPR profiles. The first peak (410–420 °C) decreased significantly, while the second peak underwent a significant shift to the high-temperature region (maximum at 1010–1080 °C). These TPR profiles are partially described in the works of Wang and Ruckenstein [12,16], in which an increase in hydrogen consumption is observed before the stop of their TPR experiments at 1000 °C, with the maximum intake not reached.
A series of experiments involving stopping the TPR process at certain temperatures was carried out to study, in detail, the change in phase composition during the reduction of the samples. Temperatures of 400, 530, 700, and 1000 °C were chosen for the Co–Mg(550) sample, and 1000 and 1100 °C—for the Co–Mg(1000) sample (Figure 9). The results of the analysis of the phase composition of the resulting reduced samples are presented in Figure 10, Figure 11 and Figure 12.
According to the X-ray diffraction data, peaks from the solid solution phase appear in its diffraction pattern when the Co–Mg(550) sample is reduced to 400 °C (in the region of the maximum of the first TPR peak), while the intensity of the spinel phase peaks decreases by half. A decrease in the intensity of the bands corresponding to the spinel phase is observed in the FTIR spectrum. An increase in the reduction temperature to 530 °C (the region between the first and second TPR peaks) leads to the complete disappearance of spinel peaks in the diffraction pattern and an increase in reflections from the CoO–MgO solid solution. The FTIR spectrum similarly demonstrates the disappearance of spinel a.b. and the appearance of a broad band of the solid solution (442 cm−1). A further increase in the final reduction temperature to 700 °C (the region of the maximum of the second TPR peak) causes the appearance of peaks of the metallic Co0 phase in the cubic β-form (JCPDS 15–806 [17]) in the diffraction pattern and a decrease in the intensity of reflections of the solid solution. Only the CoO–MgO a.b. (450 cm−1) is present in the FTIR spectrum, since metal phases are not observed by FTIR spectroscopy. The metallic β-cobalt and the cubic oxide phase, which, in terms of the lattice parameter value, is rather the MgO phase than the CoO–MgO solid solution, are observed at a reduction temperature of 1000 °C, according to the X-ray diffraction data, while the FTIR spectrum showcases an a.b. with a maximum at 447 cm−1, again corresponding to the solid solution or MgO phase.
The Co–Mg(1000) sample, which, according to the X-ray diffraction data, is a solid solution, after TPR up to 1000 °C is characterized by reflections of the solid solution and metallic cobalt phases. The overall peak intensity was lower than that of the original sample. FTIR spectroscopy data confirm the presence of a solid solution (473 cm−1). Reduction to 1100 °C gives reflections of Co0 and the MgO phase according to XRD.
Summarizing the obtained data, it can be argued that the first TPR peak relates to the absorption of oxygen in the spinel structure associated with Co3+Oh ions, with the reduction of Co3+Oh into the Co2+Oh structure of CoO, regardless of the heat treatment temperature of the sample. The temperature of this peak is higher compared to the maximum of the first peak of the reduction in Co3O4, which can be explained by the higher binding energy of oxygen in the MgCo2O4 structure.
The behavior of the second TPR peak largely depends on the heat treatment temperature and the Co:Mg ratio in the sample [12,16]. In this work, low-temperature samples containing the spinel phase in the initial state showed a wider second TPR peak than in the case of Co3O4, with a maximum at temperatures of 540–620 °C. According to literature studies, with a decrease in the Co content in the catalyst, this peak broadens and shifts to higher temperatures relative to the first peak [16]. In the case of high-temperature samples, which, according to X-ray diffraction data, predominantly contain the solid solution phase in the initial state, the second peak is shifted to the region of 900–1100 °C. This shift occurs sharply between 800 and 900 °C as the calcination temperature increases. In [12], Wang and Ruckenstein argue that the difficulty of Co2+ reduction in this case is due to the fact that the CoO dispersed in the solid solution lattice contains oxygen, which is also associated with Mg2+ cations, which are not subject to reduction under these conditions.
It can be assumed that CoO formed following the reduction in MgCo2O4 spinel during the TPR of low-temperature samples and CoO in the solid solution phase of high-temperature samples are of a different nature. The reduction temperature of CoO according to the literature is 480–500 °C [42], which makes it possible to assert that the second TPR peak of the low-temperature samples relates to the reduction in free CoO, in contrast to the high-temperature samples, where CoO is in a bound state in a solid solution. Therefore, the corresponding phases are of a different nature, although the diffraction patterns obtained after partial reduction to the temperature at which the second peak begins are the same in the case of both Co–Mg(550) and Co–Mg(1100) samples. While this phase is a solid solution in the case of Co–Mg(1100), for the Co–Mg(550) sample, it represents a superposition of two oxides, CoO and MgO, with similar crystal lattices, or a “pseudo” solid solution that turns into a true solid solution at temperatures above 800 °C. The differences between these structures are also due to the size and morphology of their particles. The SEM results showed that the spinel phase and, accordingly, the cubic phase obtained from it during reduction are formed by irregular plate-type particles, while the true solid solution has the form of relatively large bulk crystals with good faceting (Figure 6). The formation of a “pseudo” solid solution during reduction is also supported by the coincidence of the TPR peak region of CoO as an individual compound with the region of the second TPR peak of low-temperature samples, as well as an increase in the reduction temperature when diluting the samples with magnesium oxide.

2.3. Catalytic Activity of Samples

The test results of catalyst samples calcined at temperatures of 550, 750, 900, and 1100 °C in the methane combustion reaction are shown in Figure 13. The results of the activity tests of Co–Mg catalysts obtained at a ratio of Co:Mg = 1:1 are also given.
From the data in Figure 13, it follows that the activity of the catalysts decreases with increasing temperature. This is due to the transformation of the spinel phase into the solid solution and the sintering of particles. The activity of the samples obtained with a ratio of Co:Mg = 1:1 differs little from the activity of the samples with a Co:Mg = 2:1 ratio. However, the slope of the curves increases in the vicinity of the 50% degree of conversion. The catalysts synthesized at 550 °C, especially the sample synthesized at a Co:Mg = 1:1 ratio, have the highest activity among the studied samples. The characteristics of the tested catalysts are summarized in Table 6.
The resulting relationship between the apparent activation energies calculated from the catalyst test data and the heat treatment temperature at two Co:Mg ratios is presented in Figure 14.
From the presented data, it follows that the apparent activation energy of the methane combustion reaction increases linearly with the increasing heat treatment temperature of the catalysts. Moreover, the activation energy values are slightly higher for the Co:Mg = 1:1 ratio. At the same time, the magnitude of the change in the activation barrier upon transition from Co–Mg(550) (spinel) to Co–Mg(1100) (solid solution) is small and amounts to 31.5 kJ/mol, which indicates the similarity of the nature of the active centers on these samples. This is consistent with the data obtained, according to which the repeated formation of spinel structures of the Co3O4 and/or MgCo2O4 type occurs during reoxidation on the surface of a solid solution in excess oxygen. Such structures, in particular, are formed during the rapid oxidation and cooling of the samples after heat treatment, as indicated by their TPR profiles (Figure 9), where, even for samples obtained at temperatures above 900 °C, the first peak corresponding to the reduction of Co3+ to Co2+ is retained.
The increase in the activation energy of the methane oxidation reaction with increasing heat treatment temperature is logical in the context of the general relationship of these parameters for the Co–Mg oxide system. Figure 15 shows the literature and our data on the activation energies of methane combustion depending on the composition and heat treatment temperature.
The activation energy for methane combustion on Co3O4 is low, amounting to 50–70 kJ/mol, and depends on the catalyst preparation technique [5,6,18]. In the case of MgO, the activation energy is much higher and equals 185–190 kJ/mol [20,21].
Intermediate systems, in this regard, can be divided into two categories. Firstly, these are systems with a low cobalt content (Co:Mg < 1:1), where the activation energy of methane oxidation is relatively high (100–180 kJ/mol) [10,19,20,21] and is characterized by a sharp change with temperature [20]. Secondly, these are systems with a high cobalt content (Co:Mg > 1:1), in which the activation energy is not higher than 100 kJ/mol [5,6,18], with the exception of stoichiometric MgCo2O4 spinel, obtained and tested by Popovskii and coworkers, for which the value of the activation energy is overestimated due to the inhibition of the reaction by CO2 adsorption [6]. The results obtained in this work, presented in Figure 15 along with the literature, are consistent with the general picture of the relationship between these parameters.

3. Materials and Methods

3.1. Preparation of Catalysts

Cobalt–magnesium oxide catalysts were synthesized by the thermal decomposition of nitrate salts. The initial mixture of magnesium nitrate (Mg(NO3)2·6H2O, 99%, Sigma-Aldrich, Darmstadt, Germany) and cobalt (Co(NO3)2·6H2O, ≥98%, Sigma-Aldrich, Darmstadt, Germany) powders, taken in a given Co:Mg molar ratio, was dissolved in distilled water. The solution was evaporated on a heated magnetic stirrer with constant stirring. The stirrer was heated with a gradual increase in temperature from 100 to 180 °C for 8 h. The resulting dry product, after removing most of the water from the solution, was transferred to a muffle furnace and calcined at 275 °C for 15 h. The resulting precipitate was thoroughly ground and then calcined at various temperatures. Heat treatment was carried out in a muffle furnace with a heating rate of 10°/min, with samples kept at a given temperature for 1 h. After the end of the heat treatment, the sample was removed from the furnace and rapidly cooled to room temperature. The standard Co:Mg ratio used in this work was 2:1. Samples with this ratio of metals were designated Co–Mg(T), where T is the heat treatment temperature of the sample. Samples with a Co:Mg = 1:1 ratio were designated Co(1)–Mg(1)(T).
Additionally, one of the samples with a Co:Mg = 2:1 ratio was heat treated at 1100 °C for 14 h, after which, in order to study the effect of reoxidation, it was subjected to repeated heat treatment at other, lower, temperatures. The samples obtained in this way were designated Co–Mg(1100 + T), where T is the temperature of the repeated heat treatment of the sample.
Reactive cobalt oxide (Co3O4, ≥98%, Sigma-Aldrich, Darmstadt, Germany) and magnesium oxide obtained from nitrate by heat treatment at 750 °C were also used as standards in the studies.

3.2. Study of Catalysts

The methods of X-ray diffraction (XRD), low-temperature nitrogen adsorption (BET), scanning electron microscopy (SEM), Fourier-transform infrared spectroscopy (FTIR), electron spin resonance (ESR), temperature-programmed desorption of oxygen (TPD), and temperature-programmed reduction by hydrogen (H2-TPR) were used to study the structure of the catalyst samples.
The X-ray diffraction study was carried out on a DRON-4-07 powder diffractometer (Burevestnik, Saint-Petersburg, Russia), Co Kα radiation, Ni filter, over a 2θ range of 10–90° with a step size of 0.02°. The phase composition analysis according to X-ray diffraction data was carried out on the basis of the areas of diffraction maxima for the spinel and solid solution phases, respectively. The values of the lattice parameters were determined from the positions of the diffraction maxima.
The specific surface area and characteristics of the porous structure of the samples were studied on a Thermo Scientific Surfer gas adsorption porosimeter (Thermo Fisher Scientific, Milan, Italy) at liquid nitrogen temperature using nitrogen (N2) as an adsorbate. The specific surface area was determined using the Brunauer–Emmett–Teller (BET) method.
The FTIR study was carried out on a Nicolet iS5 FTIR spectrometer (Thermo Fisher Scientific, Milan, Italy) at room temperature in the range of 4000–400 cm−1. The samples were pressed into KBr pellets.
The structure of the samples was studied by SEM using a low-vacuum scanning electron raster microscope JSM–6610LV (JEOL, Tokyo, Japan) with an attachment for microanalysis and local X-ray fluorescence analysis of the elemental composition of the surface.
The ESR study was carried out on a JES-ME-3X spectrometer (JEOL, Tokyo, Japan), wavelength 3 cm. The spectra were recorded at room temperature. The g-factor values of the samples were determined relative to the DPPH standard.
Temperature-programmed desorption of oxygen (TPD) was carried out using the Khemosorb setup (Novosibirsk, Russia) in a He flow, with a catharometer detector, flow rate 30 cm3/min, heating rate 10 °C/min up to 900 °C. Kinetic analysis of the obtained thermal desorption profiles was carried out using the Polanyi–Wigner equation [51].
Temperature-programmed reduction by hydrogen (H2-TPR) was carried out on a self-made installation with analysis of the gas flow on a Chromatek-Kristall 5000 chromatograph (Chromatek, Yoshkar-Ola, Russia) with a catharometer detector. The samples were reduced with a gas mixture of 5% H2 in Ar. The flow rate was 30 cm3/min. Heating was carried out in linear mode at a rate of 10 °C/min to 1100 °C and followed by thermostatting at this temperature for 40 min.
The Co–Mg(550) and Co–Mg(1100) samples were studied in detail by TPR with stopping at different temperatures and cooling to room temperature in a flow of H2–Ar mixture. The resulting partially reduced samples were studied by XRD and FTIR.
Experiments on methane combustion were carried out in a flow-type setup at atmospheric pressure in a tubular quartz reactor with a fixed bed of catalyst. The catalyst was placed in the central part of the reactor, and quartz wool was located above and below the catalyst layer. The catalytic reaction of methane combustion was carried out at 100–750 °C using a gas mixture of 5% CH4, 30% O2, and the rest, Ar. The mixture flow rate was 300 mL/min with a catalyst loading volume of 1 cm3. An Agilent 6890N gas chromatograph (Agilent Technologies, Singapore Pte. Ltd., Singapore) equipped with a flame ionization detector and a thermal conductivity detector was used to analyze the starting materials and reaction products. The initial gas mixture and reaction products were analyzed on a copper capillary column HP–PLOT Q with a length of 30 m and a diameter of 0.53 mm, filled with polystyrene–divinylbenzene.
The kinetic analysis of the obtained light-off curves of the catalyst samples was carried out at constant gas flow assuming a first-order reaction with respect to methane. The data in the temperature range 100–550 °C was chosen for data fitting in order to avoid the influence of diffusion inhibition [6]. The apparent activation energy for the methane deep oxidation reaction was calculated from the slopes of the corresponding Arrhenius plots using the least squares fitting method. Activation energy values for Co–Mg catalysts of different composition and heat treatment from the literature data were calculated in a similar fashion.

4. Conclusions

A study of Co–Mg catalysts for methane deep oxidation synthesized by the joint thermal decomposition of corresponding nitrate salts was conducted in order to establish formation patterns of the CoO–MgO solid solution from the corresponding stoichiometric spinel and its effect on the catalytic activity. The study confirmed the phase transition of the MgCo2O4 spinel phase to the CoO–MgO solid solution with increasing calcination temperature, primarily above 650 °C. This transformation occurred together with a change in the size and morphology of the catalyst particles. At low calcination temperatures, the catalyst samples also contained small amounts of Co2+Td, presumably corresponding to Co3O4 spinel and decreasing in parallel with the transformation of MgCo2O4 into a solid solution. The release of oxygen from the spinel lattice occurs in the region of this phase transition according to TPD data.
The TPR analysis of the samples calcined at temperatures below the phase transition temperatures confirmed the presence of two peaks of oxygen reduction: the first (420–470 °C) corresponding to the transition of spinel Co3+Oh to Co2+Oh of the rock salt structure, and the second (540–620 °C) to the reduction of Co2+Oh (CoO) to Co0. In the case of samples calcined above the phase transition temperature, the first peak decreased significantly, while the second peak moved to the temperature range of 900–1100 °C, presumably corresponding to the reduction of CoO in the true solid solution structure to Co0. The XRD analysis of partially reduced samples confirmed the identity of the phases of low-temperature and high-temperature solid solution phases. Despite this, the drastic difference in the reduction temperatures of these phases indicates their fundamental difference: CoO–MgO formed in the low-temperature region during spinel phase reduction is suggested to be a mixture of ordered oxides that do not form an equilibrium solid solution phase, the formation of which requires higher temperatures (a “pseudo-solid solution”).
Subjecting catalyst samples calcined at 1100 °C to repeated heat treatment at lower temperatures confirmed the ability of the solid solution to partially regenerate through reoxidation. Simultaneously, phase segregation was observed in the regenerated samples, supposedly due to the formation of a new spinel phase enriched in cobalt.
A study of the activity of the synthesized catalysts in the combustion of methane showed high activity of spinel-based samples and a linear correlation of the activation energy of the reaction with the heat treatment temperature. The relatively low change in the activation barrier value during the transition from spinel to a true solid solution indicates the similarity of the nature of their active centers due to the formation of surface spinel even at high heat treatment temperatures upon rapid cooling after calcination.
The results of the study showcase the possibility of obtaining both active and thermally stable Co–Mg deep oxidation catalysts, outlining further prospective studies of the formation patterns of Co–Mg catalysts of other, non-stoichiometric compositions, as well as their activity and long-term regenerative ability in different environments.

Author Contributions

Conceptualization, A.S. and I.T.; methodology, B.K. and A.B.; software, K.R.; validation, B.K. and G.X.; formal analysis, M.Z., R.S. and K.R.; investigation, M.Z. and K.K.; resources, Y.A.; data curation, T.B.; writing—original draft preparation, I.T.; writing—review and editing, A.S., A.B. and S.T.; visualization, K.R.; supervision, S.T. and G.X.; project administration, Y.A.; funding acquisition, T.B. All authors have read and agreed to the published version of the manuscript.

Funding

This research was funded by the Science Committee of the Ministry of Education and Science of the Republic of Kazakhstan, grant number AP19677006.

Data Availability Statement

The data presented in this study are available upon request from the corresponding author.

Acknowledgments

The authors are especially grateful to the staff of the Laboratory of Physical and Chemical Research Methods.

Conflicts of Interest

The authors declare no conflicts of interest. The funders had no role in the design of the study; in the collection, analyses, or interpretation of data; in the writing of the manuscript; or in the decision to publish the results.

References

  1. Feng, X.; Jiang, L.; Li, D.; Tian, S.; Zhu, X.; Wang, H.; He, C.; Li, K. Progress and key challenges in catalytic combustion of lean methane. J. Energy Chem. 2022, 75, 173–215. [Google Scholar] [CrossRef]
  2. Li, K.; Luo, X. Research progress on catalytic combustion of volatile organic compounds in industrial waste gas. Catalysts 2023, 13, 268. [Google Scholar] [CrossRef]
  3. Feng, Y.; Liu, Y.; Dai, H.; Deng, J. Review and perspectives of enhancement in the catalytic stability for the complete combustion of CO, CH4, and volatile organic compounds. Energy Fuels 2023, 37, 3590–3604. [Google Scholar] [CrossRef]
  4. Chen, J.; Arandiyan, H.; Gao, X.; Li, J. Recent advances in catalysts for methane combustion. Catal. Surv. Asia 2015, 19, 140–171. [Google Scholar] [CrossRef]
  5. Zheng, Y.; Liu, Y.; Zhou, H.; Huang, W.; Pu, Z. Complete combustion of methane over Co3O4 catalysts: Influence of pH values. J. Alloys Compd. 2018, 734, 112–120. [Google Scholar] [CrossRef]
  6. Golodets, G.I. Heterogenous Catalytic Reactions Involving Molecular Oxygen. Stud. Surf. Sci. Catal. 1983, 15, 437–469. [Google Scholar]
  7. Choya, A.; de Rivas, B.; Gutiérrez-Ortiz, J.I.; López-Fonseca, R. Comparative study of strategies for enhancing the performance of Co3O4/Al2O3 catalysts for lean methane combustion. Catalysts 2020, 10, 757. [Google Scholar] [CrossRef]
  8. Massenova, A.; Kalykberdiyev, M.; Sass, A.; Kenzin, N.; Ussenov, A.; Baiken, A.; Rakhmetova, K. Catalytic technologies for solving environmental problems in the production of fuels and motor transport in Kazakhstan. Catalysts 2020, 10, 1197. [Google Scholar] [CrossRef]
  9. Zhao, L.; Ji, S.; Yin, F.; Lu, Z.; Liu, H.; Li, C. Catalytic combustion of methane over Co1–xMgxO/Al2O3/FeCrAl monolithic catalysts. J. Nat. Gas Chem. 2006, 15, 287–296. [Google Scholar] [CrossRef]
  10. Choya, A.; de Rivas, B.; González-Velasco, J.R.; Gutiérrez-Ortiz, J.I.; López-Fonseca, R. On the beneficial effect of MgO promoter on the performance of Co3O4/Al2O3 catalysts for combustion of dilute methane. Appl. Catal. A 2019, 582, 117099. [Google Scholar] [CrossRef]
  11. Chen, L.; Tian, X.; Fu, Y.; Shen, J. The effect of surface acidic and basic properties of highly loaded Co catalysts on the Fischer–Tropsch synthesis. Catal. Commun. 2012, 28, 155–158. [Google Scholar] [CrossRef]
  12. Wang, H.Y.; Ruckenstein, E. CO2 reforming of CH4 over Co/MgO solid solution catalysts—Effect of calcination temperature and Co loading. Appl. Catal. A 2001, 209, 207–215. [Google Scholar] [CrossRef]
  13. Sukri, M.F.F.; Khavarian, M.; Mohamed, A.R. Effect of cobalt loading on suppression of carbon formation in carbon dioxide reforming of methane over Co/MgO catalyst. Res. Chem. Intermed. 2018, 44, 2585–2605. [Google Scholar] [CrossRef]
  14. El-Salamony, R.A.; Morshedy, A.S.; El Naggar, A.M.A. Elevated CO-free hydrogen productivity through ethanol steam reforming using cubic Co-nanoparticles based MgO catalyst. Environ. Technol. 2022, 43, 1860–1869. [Google Scholar] [CrossRef]
  15. Furusawa, T.; Tsutsumi, A. Development of cobalt catalysts for the steam reforming of naphthalene as a model compound of tar derived from biomass gasification. Appl. Catal. A 2005, 278, 195–205. [Google Scholar] [CrossRef]
  16. Wang, H.Y.; Ruckenstein, E. Partial oxidation of methane to synthesis gas over alkaline earth metal oxide supported cobalt catalysts. J. Catal. 2001, 199, 309–317. [Google Scholar] [CrossRef]
  17. Moral, A.; Reyero, I.; Llorca, J.; Bimbela, F.; Gandía, L.M. Partial oxidation of methane to syngas using Co/Mg and Co/Mg-Al oxide supported catalysts. Catal. Today 2019, 333, 259–267. [Google Scholar] [CrossRef]
  18. Anderson, R.B.; Stein, K.C.; Feenan, J.J.; Hofer, L.J.E. Catalytic oxidation of methane. Ind. Eng. Chem. 1961, 53, 809–812. [Google Scholar] [CrossRef]
  19. Ulla, M.A.; Spretz, R.; Lombardo, E.; Daniell, W.; Knözinger, H. Catalytic combustion of methane on Co/MgO: Characterisation of active cobalt sites. Appl. Catal. B 2001, 29, 217–229. [Google Scholar] [CrossRef]
  20. Ji, S.-F.; Xiao, T.-C.; Wang, H.-T.; Flahaut, E.; Coleman, K.S.; Green, M.L.H. Catalytic combustion of methane over cobalt-magnesium oxide solid solution catalysts. Catal. Lett. 2001, 75, 65–71. [Google Scholar] [CrossRef]
  21. Xiao, T.-C.; Ji, S.-F.; Wang, H.-T.; Coleman, K.S.; Green, M.L. Methane combustion over supported cobalt catalysts. J. Mol. Catal. A Chem. 2001, 175, 111–123. [Google Scholar] [CrossRef]
  22. Kiselev, V.F.; Krylov, O.V.B. Adsorption and Catalysis on Transition Metals and Their Oxides; Springer: Berlin/Heidelberg, Germany, 1989; p. 445. [Google Scholar]
  23. Robin, J. Recherches sur la constitution et la stabilité de quelques solutions solides a base d’oxyde de cobalt. Ann. Chim. 1955, 12, 389–412. [Google Scholar]
  24. Zamudio, M.A.; Bensaid, S.; Fino, D.; Russo, N. Influence of the MgCo2O4 preparation method on N2O catalytic decomposition. Ind. Eng. Chem. Res. 2011, 50, 2622–2627. [Google Scholar] [CrossRef]
  25. Fadlalla, M.I.; Nyathi, T.M.; Claeys, M. Magnesium as a methanation suppressor for iron- and cobalt-based oxide catalysts during the preferential oxidation of carbon monoxide. Catalysts 2022, 12, 118. [Google Scholar] [CrossRef]
  26. Zigla, A.A.; Kox, T.; Mevoa, D.; Assaouka, H.T.; Nsangou, I.N.; Daawe, D.M.; Kenmoe, S.; Kouotou, P.M. Magnesium-modified Co3O4 catalyst with remarkable performance for toluene low temperature deep oxidation. Catalysts 2022, 12, 411. [Google Scholar] [CrossRef]
  27. Veselov, G.B.; Stoyanovskii, V.O.; Cherepanova, S.V.; Vedyagin, A.A. Sol–gel prepared Co–Mg–O oxide systems: Redox behavior, thermal stability and catalytic performance in CO oxidation. React. Kinet. Mech. Catal. 2023, 136, 233–250. [Google Scholar] [CrossRef]
  28. Ya, M.; Wang, J.; Li, G.; Gao, G.; Zhao, X.; Cui, J.; Wu, H.; Li, L. Surface engineering in MgCo2O4 spinel oxide for an improved oxygen evolution reaction. ACS Sustain. Chem. Eng. 2023, 11, 744–750. [Google Scholar] [CrossRef]
  29. Han, X.; Wang, L.; Ling, H.; Ge, Z.; Lin, X.; Dai, X.; Chen, H. Critical review of thermochemical energy storage systems based on cobalt, manganese, and copper oxides. Renew. Sustain. Energy Rev. 2022, 158, 112076. [Google Scholar] [CrossRef]
  30. Wang, H.; Mi, N.; Sun, S.; Zhang, W.; Yao, S. Oxygen vacancies enhancing capacitance of MgCo2O4 for high performance asymmetric supercapacitors. J. Alloys Compd. 2021, 869, 159294. [Google Scholar] [CrossRef]
  31. Kamioka, N.; Ichitsubo, T.; Uda, T.; Imashuku, S.; Taninouchi, Y.K.; Matsubara, E. Synthesis of spinel-type magnesium cobalt oxide and its electrical conductivity. Mater. Trans. 2008, 49, 824–828. [Google Scholar] [CrossRef]
  32. Hagan, A.P.; Lofthouse, M.G.; Stone, F.S.; Trevethan, M.A. High surface area oxide solid solution catalyst. Stud. Surf. Sci. Catal. 1979, 3, 417–438. [Google Scholar]
  33. Holgersson, S.; Karlsson, A. Röntgenographische Untersuchungen einiger Mischkristallsysteme mit Monoxyden als Komponenten. Z. Anorg. Allg. Chem. 1929, 182, 255–271. [Google Scholar] [CrossRef]
  34. Krezhov, K.; Konstantinov, P. On the cationic distribution in MgxCo3–xO4 spinels. J. Phys. Condens. Matter 1992, 4, L543–L548. [Google Scholar] [CrossRef]
  35. Casas-Cabanas, M.; Binotto, G.; Larcher, D.; Lecup, A.; Giordani, V.; Tarascon, J.M. Defect chemistry and catalytic activity of nanosized Co3O4. Chem. Mater. 2009, 21, 1939–1947. [Google Scholar] [CrossRef]
  36. McCormack, S.J.; Navrotsky, A. Thermodynamics of high entropy oxides. Acta Mater. 2021, 202, 1–21. [Google Scholar] [CrossRef]
  37. Ichimura, H.; Komatsu, W. Distribution of various dopants cations (Li+, Al3+, Ga3+, and In3+) in cobalt spinel. J. Chem. Soc. Jpn. 1972, 4, 690–695. [Google Scholar]
  38. Peshev, P.; Toshev, A.; Gyurov, G. Preparation of high-dispersity MCo2O4 (M = Mg, Ni, Zn) spinels by thermal dissociation of coprecipitated oxalates. Mater. Res. Bull. 1989, 24, 33–40. [Google Scholar] [CrossRef]
  39. Yagi, S.; Ichikawa, Y.; Yamada, I.; Doi, T.; Ichitsubo, T.; Matsubara, E. Synthesis of binary magnesium-transition metal oxides via inverse co-precipitation. Jap. J. Appl. Phys. 2013, 52, 025501. [Google Scholar] [CrossRef]
  40. Syeda, A.F.; Khan, M.N. Spin state of cobalt and electrical transport in MgCo2O4 system. J. Supercond. Nov. Magn. 2018, 31, 3545–3551. [Google Scholar] [CrossRef]
  41. Aukrust, E.; Muan, A. Activities of components in oxide solid solutions: The systems CoO–MgO, CoO–MnO, and CoO–FeO at 1200 °C. Trans. Metall. Soc. AIME 1963, 227, 1378–1380. [Google Scholar]
  42. Wang, C.W.; Wang, C.B.; Chien, S.H. Characterization of cobalt oxides studied by FT-IR, Raman, TPR and TG-MS. Thermochim. Acta 2008, 473, 68–73. [Google Scholar]
  43. Nayak, S.; Dasari, K.; Joshi, D.C. Spectroscopic studies of Co2TiO4 and Co3O4 two-phase composites. Phys. Status Solidi B 2016, 253, 2270–2282. [Google Scholar] [CrossRef]
  44. Dyrek, K.; Sojka, Z. Coordination and dispersion of Co2+ ions in CoO–MgO solid solutions. J. Chem. Soc. Faraday Trans. 1 Phys. Chem. Condens. Phases 1982, 78, 3177–3185. [Google Scholar] [CrossRef]
  45. Gazzoli, D.; Occhiuzzi, M.; Cimino, A.; Cordischi, D.; Minelli, G.; Pinzari, F. XPS and EPR study of high and low surface area CoO–MgO solid solutions: Surface composition and Co2+ ion dispersion. J. Chem. Soc. Faraday Trans. 1996, 92, 4567–4574. [Google Scholar] [CrossRef]
  46. Querini, C.A.; Ulla, M.A.; Requejo, F.; Soria, J.; Sedrán, U.A.; Miró, E.E. Catalytic combustion of diesel soot particles. Activity and characterization of Co/MgO and Co, K/MgO catalysts. Appl. Catal. B 1998, 15, 5–19. [Google Scholar] [CrossRef]
  47. Dutta, P.; Seehra, M.S.; Thota, S.; Kumar, J. A comparative study of the magnetic properties of bulk and nanocrystalline Co3O4. J. Phys. Condens. Matter 2008, 20, 015218. [Google Scholar] [CrossRef]
  48. Gardner, T.J.; Messing, G.L. Magnesium salt decomposition and morphological development during evaporative decomposition of solutions. Thermochim. Acta 1984, 78, 17–27. [Google Scholar] [CrossRef]
  49. Raveau, B.; Seikh, M. Cobalt Oxides: From Crystal Chemistry to Physics; Wiley–VCH: Weinheim, Germany, 2012; p. 333. [Google Scholar]
  50. Guan, D.; Shi, C.; Xu, H.; Gu, Y.; Zhong, J.; Sha, Y.; Hu, Z.; Ni, M.; Shao, Z. Simultaneously mastering operando strain and reconstruction effects via phase-segregation strategy for enhanced oxygen-evolving electrocatalysis. J. Energy Chem. 2023, 82, 572–580. [Google Scholar] [CrossRef]
  51. De Jong, A.M.; Niemantsverdriet, J.W. Thermal desorption analysis: Comparative test of ten commonly applied procedures. Surf. Sci. 1990, 233, 355–365. [Google Scholar] [CrossRef]
Figure 1. X-ray diffraction patterns of Co–Mg samples calcined in air at different temperatures, and Co3O4 standard: ♦—MgCo2O4 (JCPDS 2–1073, JCPDS 81–671) or Co3O4 (JCPDS 42–1467), *—(Co, Mg)O (JCPDS 45–946, JCPDS 48–1719).
Figure 1. X-ray diffraction patterns of Co–Mg samples calcined in air at different temperatures, and Co3O4 standard: ♦—MgCo2O4 (JCPDS 2–1073, JCPDS 81–671) or Co3O4 (JCPDS 42–1467), *—(Co, Mg)O (JCPDS 45–946, JCPDS 48–1719).
Catalysts 14 00136 g001
Figure 2. Influence of spinel heat treatment temperature on the content of spinel and solid solution phases according to X-ray diffraction data: Catalysts 14 00136 i001 spinel phase: Catalysts 14 00136 i002—S2.86/S2.44, Catalysts 14 00136 i003—S2.02/S2.44, Catalysts 14 00136 i004—S1.56/S2.44, Catalysts 14 00136 i005—S1.43/S2.44. Catalysts 14 00136 i006 solid solution phase: Catalysts 14 00136 i007—S2.12/S2.44, Catalysts 14 00136 i008—S1.50/S2.44.
Figure 2. Influence of spinel heat treatment temperature on the content of spinel and solid solution phases according to X-ray diffraction data: Catalysts 14 00136 i001 spinel phase: Catalysts 14 00136 i002—S2.86/S2.44, Catalysts 14 00136 i003—S2.02/S2.44, Catalysts 14 00136 i004—S1.56/S2.44, Catalysts 14 00136 i005—S1.43/S2.44. Catalysts 14 00136 i006 solid solution phase: Catalysts 14 00136 i007—S2.12/S2.44, Catalysts 14 00136 i008—S1.50/S2.44.
Catalysts 14 00136 g002
Figure 3. FTIR spectra of Co–Mg samples calcined at various temperatures and standard Co3O4 and MgO.
Figure 3. FTIR spectra of Co–Mg samples calcined at various temperatures and standard Co3O4 and MgO.
Catalysts 14 00136 g003
Figure 4. Dependence of the position of a.b. on the FTIR spectra of samples on the heat treatment temperature: Catalysts 14 00136 i009—ν1 a.b., Catalysts 14 00136 i010—ν2 a.b., Catalysts 14 00136 i011—changes in the position of bands during reoxidation.
Figure 4. Dependence of the position of a.b. on the FTIR spectra of samples on the heat treatment temperature: Catalysts 14 00136 i009—ν1 a.b., Catalysts 14 00136 i010—ν2 a.b., Catalysts 14 00136 i011—changes in the position of bands during reoxidation.
Catalysts 14 00136 g004
Figure 5. Influence of the heat treatment temperature of Co–Mg samples on the relative intensity of the ESR signal of Co2+Td ions.
Figure 5. Influence of the heat treatment temperature of Co–Mg samples on the relative intensity of the ESR signal of Co2+Td ions.
Catalysts 14 00136 g005
Figure 6. SEM micrographs: (a,b)—Co–Mg(400) sample; (c,d)—Co–Mg(1100) sample; (a,c)—magnification 3000; (b,d)—magnification 10,000; EDX analysis images: (eg)—Co–Mg(1100) sample; (hj)—Co–Mg(1100 + 750) sample; (e,h)—O K; (f,i)—Mg K; (g,j)—Co K.
Figure 6. SEM micrographs: (a,b)—Co–Mg(400) sample; (c,d)—Co–Mg(1100) sample; (a,c)—magnification 3000; (b,d)—magnification 10,000; EDX analysis images: (eg)—Co–Mg(1100) sample; (hj)—Co–Mg(1100 + 750) sample; (e,h)—O K; (f,i)—Mg K; (g,j)—Co K.
Catalysts 14 00136 g006
Figure 7. Thermal desorption profiles of synthesized samples for different calcination temperatures.
Figure 7. Thermal desorption profiles of synthesized samples for different calcination temperatures.
Catalysts 14 00136 g007
Figure 8. Diffraction patterns of a sample calcined at 650 °C before (a) and after (b) TPD up to 900 °C: ♦—MgCo2O4 (JCPDS 2–1073, JCPDS 81–671) or Co3O4 (JCPDS 42–1467), *—(Co, Mg)O (JCPDS 45–946, JCPDS 48–1719).
Figure 8. Diffraction patterns of a sample calcined at 650 °C before (a) and after (b) TPD up to 900 °C: ♦—MgCo2O4 (JCPDS 2–1073, JCPDS 81–671) or Co3O4 (JCPDS 42–1467), *—(Co, Mg)O (JCPDS 45–946, JCPDS 48–1719).
Catalysts 14 00136 g008
Figure 9. TPR profiles of synthesized samples for different heat treatment temperatures: ◊—TPR stopping points.
Figure 9. TPR profiles of synthesized samples for different heat treatment temperatures: ◊—TPR stopping points.
Catalysts 14 00136 g009
Figure 10. Diffraction patterns of a sample calcined at 550 °C before (a) and after TPR: (b) up to 400 °C, (c) up to 530 °C, (d) up to 700 °C and (e) up to 1000 °C: ♦—MgCo2O4 (JCPDS 2–1073, JCPDS 81–671) or Co3O4 (JCPDS 42–1467), *—(Co, Mg)O (JCPDS 45–946, JCPDS 48–1719), ○—β-Co0 (JCPDS 15–806).
Figure 10. Diffraction patterns of a sample calcined at 550 °C before (a) and after TPR: (b) up to 400 °C, (c) up to 530 °C, (d) up to 700 °C and (e) up to 1000 °C: ♦—MgCo2O4 (JCPDS 2–1073, JCPDS 81–671) or Co3O4 (JCPDS 42–1467), *—(Co, Mg)O (JCPDS 45–946, JCPDS 48–1719), ○—β-Co0 (JCPDS 15–806).
Catalysts 14 00136 g010
Figure 11. Diffraction patterns of a sample calcined at 1000 °C before (a) and after TPR: (b) up to 1000 °C and (c) up to 1100 °C: *—(Co, Mg)O (JCPDS 45–946, JCPDS 48–1719), ○—β-Co0 (JCPDS 15–806).
Figure 11. Diffraction patterns of a sample calcined at 1000 °C before (a) and after TPR: (b) up to 1000 °C and (c) up to 1100 °C: *—(Co, Mg)O (JCPDS 45–946, JCPDS 48–1719), ○—β-Co0 (JCPDS 15–806).
Catalysts 14 00136 g011
Figure 12. FTIR spectra of a sample calcined at 550 °C before (a) and after TPR: (b) up to 400 °C, (c) up to 530 °C, (d) up to 700 °C and (e) up to 1000 °C, as well as (f) sample calcined at 1000 °C after TPR up to 1000 °C.
Figure 12. FTIR spectra of a sample calcined at 550 °C before (a) and after TPR: (b) up to 400 °C, (c) up to 530 °C, (d) up to 700 °C and (e) up to 1000 °C, as well as (f) sample calcined at 1000 °C after TPR up to 1000 °C.
Catalysts 14 00136 g012
Figure 13. Light-off curves of methane conversion over synthesized catalysts.
Figure 13. Light-off curves of methane conversion over synthesized catalysts.
Catalysts 14 00136 g013
Figure 14. Dependence of the apparent activation energy of methane oxidation on the temperature of heat treatment of samples.
Figure 14. Dependence of the apparent activation energy of methane oxidation on the temperature of heat treatment of samples.
Catalysts 14 00136 g014
Figure 15. Activation energies of methane combustion on Co–Mg catalysts of various compositions and heat treatment temperatures [5,6,10,18,19,20,21].
Figure 15. Activation energies of methane combustion on Co–Mg catalysts of various compositions and heat treatment temperatures [5,6,10,18,19,20,21].
Catalysts 14 00136 g015
Table 1. Diffraction maxima of XRD spectra and the corresponding phases of samples calcined at different temperatures.
Table 1. Diffraction maxima of XRD spectra and the corresponding phases of samples calcined at different temperatures.
SampleInterplanar Distances (Å)Lattice Parameter (Å)Phase Composition
Co–Mg(300)2.8593, 2.4436, 2.0213, 1.5559, 1.42918.086MgCo2O4
Co–Mg(400)2.8649, 2.4471, 2.0231, 1.5571, 1.4303
2.4471, 2.1118, 1.4912
8.095
4.223
MgCo2O4
(Co, Mg)O, (MgO)
Co–Mg(550)2.8598, 2.4438, 2.0219, 1.5564, 1.4296
2.4438, 2.1112, 1.4883
8.088
4.219
MgCo2O4
(Co, Mg)O, (MgO)
Co–Mg(650)2.8604, 2.4389, 2.0220, 1.5564, 1.4297
2.4389, 2.1094, 1.4963
8.089
4.219
MgCo2O4
(Co, Mg)O
Co–Mg(750)2.8588, 2.4378, 2.0209, 1.5558, 1.4291
2.4378, 2.1139, 1.4951
8.085
4.228
MgCo2O4,
(Co, Mg)O
Co–Mg(800)2.8630, 2.4408, 2.0232, 1.5568, 1.4299
2.4408, 2.1221, 1.5002
8.093
4.244
MgCo2O4
(Co, Mg)O
Co–Mg(900)2.8607, 2.4535, 2.0184, 1.5566, 1.4269
2.4535, 2.1247, 1.5020
8.086
4.249
MgCo2O4
(Co, Mg)O
Co–Mg(1000)2.4542, 2.1254, 1.50294.251(Co, Mg)O
Co–Mg(1100)2.4543, 2.1256, 1.50284.251(Co, Mg)O
Co–Mg(1300)2.4585, 2.1283, 1.50414.256(Co, Mg)O
Co–Mg(1100 + 750)2.8625, 2.4466, 2.0284, 1.5614, 1.4363
2.4466, 2.1291, 1.5079
8.086
4.246
MgCo2O4/Co3O4,
(Co, Mg)O
Co3O42.8585, 2.4375, 2.0209, 1.5557, 1.42908.084Co3O4
Table 2. Relative ESR signal of samples depending on heat treatment temperature.
Table 2. Relative ESR signal of samples depending on heat treatment temperature.
SampleRatio of Signal and Standard Intensities
Co–Mg(300)0.50
Co–Mg(400)1.35
Co–Mg(550)1.46
Co–Mg(650)1.51
Co–Mg(750)1.56
Co–Mg(800)0.88
Co–Mg(900)0.58
Co–Mg(1000)0.49
Co–Mg(1100)0.51
Co–Mg(1300)0.24
Co3O46.63
Table 3. Local elemental composition of Co–Mg samples.
Table 3. Local elemental composition of Co–Mg samples.
SamplePoint of AnalysisAmount of Element per Unit MgSum of Elements
OMgCo
Co–Mg(400)Point 11.541.001.243.78
Point 21.781.001.284.06
Point 31.641.001.323.96
Average1.641.001.283.92
Co–Mg(750)Point 11.851.001.614.46
Point 21.901.001.814.71
Point 31.911.001.644.55
Average1.891.001.694.58
Co–Mg(1100)Point 13.031.003.357.38
Point 22.951.003.137.08
Point 33.051.003.247.29
Average3.001.003.247.24
Co–Mg(1100 + 750)Point 13.301.006.0910.39
Point 23.141.004.598.73
Point 31.831.002.305.13
Average2.511.003.777.28
Table 4. Characteristics of thermal desorption of synthesized samples for different calcination temperatures.
Table 4. Characteristics of thermal desorption of synthesized samples for different calcination temperatures.
SampleDesorption Peak Temperatures (°C)Volume of O2 Release in the Temperature Range (mL/g)Activation Energies (kJ/mol)
123123
Co–Mg(400)33760086714.32652.5049.180.6168.0
(200–450)(500–900)
Co–Mg(550)33965185158.60719.9244.0116.1142.3
(200–450)(550–900)
Co–Mg(650)335-8568.02516.799.5-192.0
(200–450)(600–900)
Co–Mg(750)343-8718.22459.0311.0-212.5
(200–450)(600–900)
Co–Mg(800)--85111.43500.6417.5-203.8
(200–450)(600–900)
Co–Mg(900)328-80118.44150.9918.8-201.3
(200–450)(600–900)
Co–Mg(1000)335-76612.838.4625.2-232.3
(200–450)(600–900)
Co–Mg(1300)365-6952.406.2010.4-213.9
(200–450)(500–900)
Table 5. Amount of hydrogen consumed corresponding to the TPR peaks of samples calcined in air and its total amount in mmol/g.
Table 5. Amount of hydrogen consumed corresponding to the TPR peaks of samples calcined in air and its total amount in mmol/g.
Temperature (°C)Peak 1Peak 2Total Peak AreaPeak Area Ratio
Co3O44.5113.1017.611:2.90
Co–Mg(400)5.539.3414.711:1.69
Co–Mg(550)4.8110.0414.861:2.09
Co–Mg(650)4.2010.2514.481:2.44
Co–Mg(750)3.579.7413.321:2.73
Co–Mg(800)2.829.4812.291:3.36
Co–Mg(900)1.499.7111.191:6.52
Co–Mg(1000)1.039.9010.931:9.61
Co–Mg(1300)0.079.769.83
Table 6. Characteristics and activity of synthesized catalysts.
Table 6. Characteristics and activity of synthesized catalysts.
SampleSpecific Area (m2/g)T50% (°C)E (kJ/mol)
Co–Mg(550)9.649262.1
Co–Mg(750)7.751374.9
Co–Mg(900)3.852181.8
Co–Mg(1100)2.255193.6
Co(1)-Mg(1)(550)14.948877.6
Co(1)-Mg(1)(1100)2.856099.2
Disclaimer/Publisher’s Note: The statements, opinions and data contained in all publications are solely those of the individual author(s) and contributor(s) and not of MDPI and/or the editor(s). MDPI and/or the editor(s) disclaim responsibility for any injury to people or property resulting from any ideas, methods, instructions or products referred to in the content.

Share and Cite

MDPI and ACS Style

Zhylkybek, M.; Khussain, B.; Sass, A.; Torlopov, I.; Baizhumanova, T.; Tungatarova, S.; Brodskiy, A.; Xanthopoulou, G.; Rakhmetova, K.; Sarsenova, R.; et al. Cobalt–Magnesium Oxide Catalysts for Deep Oxidation of Hydrocarbons. Catalysts 2024, 14, 136. https://doi.org/10.3390/catal14020136

AMA Style

Zhylkybek M, Khussain B, Sass A, Torlopov I, Baizhumanova T, Tungatarova S, Brodskiy A, Xanthopoulou G, Rakhmetova K, Sarsenova R, et al. Cobalt–Magnesium Oxide Catalysts for Deep Oxidation of Hydrocarbons. Catalysts. 2024; 14(2):136. https://doi.org/10.3390/catal14020136

Chicago/Turabian Style

Zhylkybek, Magira, Bolatbek Khussain, Alexandr Sass, Ivan Torlopov, Tolkyn Baizhumanova, Svetlana Tungatarova, Alexandr Brodskiy, Galina Xanthopoulou, Kenzhegul Rakhmetova, Rabiga Sarsenova, and et al. 2024. "Cobalt–Magnesium Oxide Catalysts for Deep Oxidation of Hydrocarbons" Catalysts 14, no. 2: 136. https://doi.org/10.3390/catal14020136

APA Style

Zhylkybek, M., Khussain, B., Sass, A., Torlopov, I., Baizhumanova, T., Tungatarova, S., Brodskiy, A., Xanthopoulou, G., Rakhmetova, K., Sarsenova, R., Kassymkan, K., & Aubakirov, Y. (2024). Cobalt–Magnesium Oxide Catalysts for Deep Oxidation of Hydrocarbons. Catalysts, 14(2), 136. https://doi.org/10.3390/catal14020136

Note that from the first issue of 2016, this journal uses article numbers instead of page numbers. See further details here.

Article Metrics

Back to TopTop