Electric Field Promoted Complete Oxidation of Benzene over PdCexCoy Catalysts at Low Temperature
Abstract
1. Introduction
2. Results
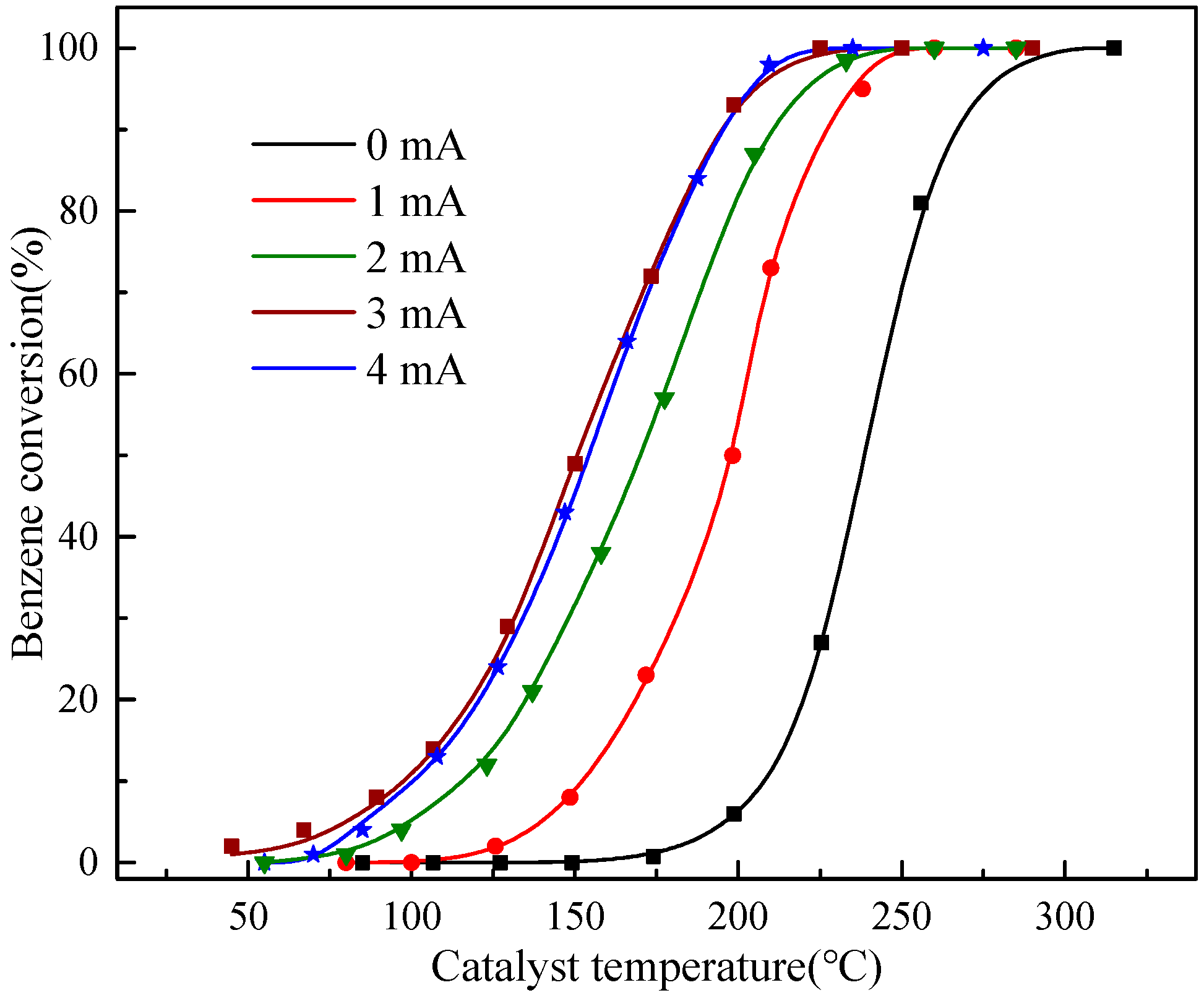
2.1. Benzene Oxidation Activity
2.2. Catalyst Characterization
2.3. H2-Temperature Programed Reduction
3. Discussion
4. Experimental
4.1. Catalyst Synthesis
4.2. Catalytic Evaluation Method
4.3. Catalyst Characterization
5. Conclusions
Author Contributions
Funding
Acknowledgments
Conflicts of Interest
References
- Li, W.B.; Wang, J.X.; Gong, H. Catalytic combustion of VOCs on non-noble metal catalysts. Catal. Today 2009, 148, 81–87. [Google Scholar] [CrossRef]
- Cuo, Z.; Deng, Y.; Li, W.; Peng, S.; Zhao, F.; Liu, H.; Chen, Y. Monolithic Mn/Ce-based catalyst of fibrous ceramic membrane for complete oxidation of benzene. Appl. Surf. Sci. 2018, 456, 594–601. [Google Scholar] [CrossRef]
- Ilieva, L.; Petrova, P.; Tabakova, T.; Zanella, R.; Abrashev, M.V.; Sobczak, J.W.; Lisowski, W.; Kaszkur, Z.; Andreeva, D. Relationship between structural properties and activity in complete benzene oxidation over Au/CeO2–CoOx catalysts. Catal. Today 2012, 187, 30–38. [Google Scholar] [CrossRef]
- Ilieva, L.; Petrova, P.; Tabakova, T.; Zanella, R.; Kaszkur, Z. Gold catalysts on ceria doped with MeOx (Me = Fe, Mn, Co and Sn) for complete benzene oxidation: Effect of composition and structure of the mixed supports. React. Kinet. Mech. Catal. 2012, 105, 23–37. [Google Scholar] [CrossRef]
- Kim, H.S.; Kim, T.W.; Koh, H.L.; Lee, S.H.; Min, B.R. Complete benzene oxidation over Pt-Pd bimetal catalyst supported on γ-alumina: Influence of Pt-Pd ratio on the catalytic activity. Appl. Catal. A Gen. 2005, 280, 125–131. [Google Scholar] [CrossRef]
- Lin, S.S.Y.; Kim, D.H.; Ha, S.Y. Hydrogen Production from Ethanol Steam Reforming Over Supported Cobalt Catalysts. Catal. Lett. 2008, 122, 295–301. [Google Scholar] [CrossRef]
- Mo, S.; Li, S.; Li, J.; peng, S.; Chen, J.; Chen, Y. Promotional effects of Ce on the activity of MnAl oxide catalysts derived from hydrotalcites for low temperature benzene oxidation. Catal. Commun. 2016, 87, 102–105. [Google Scholar] [CrossRef]
- Petrova, P.; Tabakova, T.; Munteanu, G.; Zanella, R.; Tsvetkov, M.; Ilieva, L. Gold catalysts on Co-doped ceria for complete benzene oxidation: Relationship between reducibility and catalytic activity. Catal. Commun. 2013, 36, 84–88. [Google Scholar] [CrossRef]
- Urbutis, A.; Kitrys, S. Dual function adsorbent-catalyst CuO-CeO2/NaX for temperature swing oxidation of benzene, toluene and xylene. Cent. Eur. J. Chem. 2014, 12, 492–501. [Google Scholar] [CrossRef]
- Tang, W.; Deng, Y.; Chen, Y. Promoting effect of acid treatment on Pd-Ni/SBA-15 catalyst for complete oxidation of gaseous benzene. Catal. Commun. 2017, 89, 86–90. [Google Scholar] [CrossRef]
- Zuo, S.; Du, Y.; Liu, F.; Han, D.; Qi, C. Influence of ceria promoter on shell-powder-supported Pd catalyst for the complete oxidation of benzene. Appl. Catal. A Gen. 2013, 451, 65–70. [Google Scholar] [CrossRef]
- He, C.; Li, J.; Li, P.; Cheng, J.; Hao, Z.; Xu, Z.-P. Comprehensive investigation of Pd/ZSM-5/MCM-48 composite catalysts with enhanced activity and stability for benzene oxidation. Appl. Catal. B Environ. 2010, 96, 466–475. [Google Scholar] [CrossRef]
- Okada, S.; Manabe, R.; Inagaki, R.; Ogo, S.; Sekine, Y. Methane dissociative adsorption in catalytic steam reforming of methane over Pd/CeO2 in an electric field. Catal. Today 2018, 307, 272–276. [Google Scholar] [CrossRef]
- Li, K.; Liu, K.; Xu, D.J.; Ni, H.; Shen, F.X.; Chen, T.; Guan, B.; Zhan, R.; Huang, Z.; Lin, H. Lean methane oxidation over Co3O4/Ce0.75Zr0.25 catalysts at low-temperature: Synergetic effect of catalysis and electric field. Chem. Eng. J. 2019, 369, 660–671. [Google Scholar] [CrossRef]
- Yabe, T.; Mitarai, K.; Kazumasa, O.; Ogo, S.; Sekine, Y. Low-temperature dry reforming of methane to produce syngas in an electric field over La-doped Ni/ZrO2 catalysts. Fuel Process. Technol. 2017, 158, 96–103. [Google Scholar] [CrossRef]
- Oshima, K.; Shinagawa, T.; Haraguchi, M.; Sekine, Y. Low temperature hydrogen production by catalytic steam reforming of methane in an electric field. Int. J. Hydrog. Energy 2013, 38, 3003–3011. [Google Scholar] [CrossRef]
- Li, K.; Xu, D.; Liu, K.; Ni, H.; Shen, F.; Chen, T.; Guan, B.; Zhan, R.; Huang, Z.; Lin, H. Catalytic Combustion of Lean Methane Assisted by an Electric Field over MnxCoy Catalysts at Low Temperature. J. Phys. Chem. C 2019, 123, 10377–10388. [Google Scholar] [CrossRef]
- Li, K.; Liu, K.; Ni, H.; Guan, B.; Zhan, R.; Huang, Z.; Lin, H. Electric field promoted ultra-lean methane oxidation over Pd-Ce-Zr catalysts at low temperature. Mol. Catal. 2018, 459, 78–88. [Google Scholar] [CrossRef]
- Karolewska, M.; Truszkiewicz, E.; Mierzwa, B.; Kępiński, L.; Raróg-Pilecka, W. Ammonia synthesis over cobalt catalysts doped with cerium and barium. Effect of the ceria loading. Appl. Catal. A Gen. 2012, 445–446, 280–286. [Google Scholar] [CrossRef]
- Zuo, S.; Liu, F.; Tong, J.; Qi, C. Complete oxidation of benzene with cobalt oxide and ceria using the mesoporous support SBA-16. Appl. Catal. A Gen. 2013, 467, 1–6. [Google Scholar] [CrossRef]
- Zuo, S.; Qi, C. Modification of Co/Al2O3 with Pd and Ce and their effects on benzene oxidation. Catal. Commun. 2011, 15, 74–77. [Google Scholar] [CrossRef]
- Zhang, X.; Yuezong, C.; Zhuofeng, L.; Xuerong, Z.; He, G. Cobalt modification for improving potassium resistance of Mn/Ce-ZrO2 in selective catalytic reduction. Chem. Eng. Technol. 2016, 39, 874–882. [Google Scholar]
- Giménez-Mañogil, J.; Bueno-López, A.; García-García, A. Preparation, characterisation and testing of CuO/Ce0.8Zr0.2O2 catalysts for NO oxidation to NO2 and mild temperature diesel soot combustion. Appl. Catal. B Environ. 2014, 152–153, 99–107. [Google Scholar] [CrossRef]
- Qin, R.; Chen, J.; Gao, X.; Zhu, X.; Yu, X.; Cen, K. Catalytic oxidation of acetone over CuCeOx nanofibers prepared by electrospinning method. RSC Adv. 2014, 4. [Google Scholar] [CrossRef]
- Aranda, A.; Agouram, S.; López, J.M.; Mastral, A.M.; Sellick, D.R.; Solsona, B.; Taylor, S.H.; García, T. Oxygen defects: The key parameter controlling the activity and selectivity of mesoporous copper-doped ceria for the total oxidation of naphthalene. Appl. Catal. B Environ. 2012, 127, 77–88. [Google Scholar] [CrossRef]
- Martínez-Arias, A.; Hungría, A.B.; Munuera, G.; Gamarra, D. Preferential oxidation of CO in rich H2 over CuO/CeO2: Details of selectivity and deactivation under the reactant stream. Appl. Catal. B Environ. 2006, 65, 207–216. [Google Scholar] [CrossRef]
- Luo, J.-Y.; Meng, M.; Li, X.; Li, X.-G.; Zha, Y.-Q.; Hu, T.-D.; Xie, Y.-N.; Zhang, J. Mesoporous Co3O4–CeO2 and Pd/Co3O4–CeO2 catalysts: Synthesis, characterization and mechanistic study of their catalytic properties for low-temperature CO oxidation. J. Catal. 2008, 254, 310–324. [Google Scholar] [CrossRef]
- Liotta, L.; Di Carlo, G.; Pantaleo, G.; Deganello, G. Co3O4/CeO2 and Co3O4/CeO2–ZrO2 composite catalysts for methane combustion: Correlation between morphology reduction properties and catalytic activity. Catal. Commun. 2005, 6, 329–336. [Google Scholar] [CrossRef]
- Liotta, L.; Di Carlo, G.; Pantaleo, G.; Venezia, A.M.; Deganello, G. Co3O4/CeO2 composite oxides for methane emissions abatement: Relationship between Co3O4–CeO2 interaction and catalytic activity. Appl. Catal. B 2006, 66, 217–227. [Google Scholar] [CrossRef]
- Liu, J.; Zhao, Z.; Wang, J.; Xu, C.; Duan, A.; Jiang, G.; Yang, Q. The highly active catalysts of nanometric CeO2-supported cobalt oxides for soot combustion. Appl. Catalb. 2008, 84, 185–195. [Google Scholar] [CrossRef]
- Ercolino, G.; Stelmachowski, P.; Grzybek, G.; Kotarba, A.; Specchia, S. Optimization of Pd catalysts supported on Co3O4 for low-temperature lean combustion of residual methane. Appl. Catalb. 2017, 206, 712–725. [Google Scholar] [CrossRef]
- Zhang, F.; Hakanoglu, C.; Hinojosa, J.A.; Weaver, J.F. Inhibition of methane adsorption on PdO(101) by water and molecular oxygen. Surf. Sci. 2013, 617, 249–255. [Google Scholar] [CrossRef]
- Guan, B.; Lin, H.; Zhu, L.; Huang, Z. Selective Catalytic Reduction of NOx with NH3 over Mn, Ce Substitution Ti0.9V0.1O2−δ Nanocomposites Catalysts Prepared by Self-Propagating High-Temperature Synthesis Method. J. Phys. Chem. C 2011, 115, 12850–12863. [Google Scholar] [CrossRef]









| Sample | Current (mA) | Voltage (V) | T90 | T90 in EF | Ea | Eain EF |
|---|---|---|---|---|---|---|
| 1% PdCe0.75Co0.25 | 3 | 267–703 | 255 | 219 | 88.9 | 60.9 |
| 1% PdCe0.5Co0.5 | 3 | 237–678 | 252 | 200 | 99.8 | 58.7 |
| 1% PdCe0.25Co0.75 | 3 | 212–609 | 267 | 185 | 110.5 | 54.9 |
| 2% PdCe0.25Co0.75 | 3 | 165–528 | 233 | 173 | 78.2 | 50.8 |
| 4% PdCe0.25Co0.75 | 3 | 139–445 | 199 | 156 | 65.4 | 48.1 |
| Sample | Lattice Parameter (nm) | BET Area (m2/g) | Crystallite Size from XRD (nm) | |||
|---|---|---|---|---|---|---|
| Fresh | Treated | Fresh | Treated | Fresh | Treated | |
| 1% PdCe0.75Co0.25 | 0.4420 | 0.4419 | 54.2 | 53.5 | 29.8 | 27.2 |
| 1% PdCe0.5Co0.5 | 0.5419 | 0.4413 | 55.3 | 55.3 | 27.3 | 25.3 |
| 1% PdCe0.25Co0.75 | 0.4419 | 0.4410 | 50.9 | 48.8 | 24.5 | 22.2 |
| Sample | Atomic Ratio of Ce3+ (%) | Atomic Ratio of Co2+ (%) | Atomic Ratio of OA (%) | Lattice Parameter | Crystallite Size from TEM (nm) | |||||
|---|---|---|---|---|---|---|---|---|---|---|
| Fresh | Treated | Fresh | Treated | Fresh | Treated | Fresh | Treated | Fresh | Treated | |
| 1% PdCe0.75Co0.25 | 7.8 | 17.4 | 50.3 | 55.4 | 19.2 | 32.8 | 4.821 | 4.819 | 29.8 | 27.7 |
| 1% PdCe0.5Co0.5 | 9.1 | 22.2 | 46.2 | 49.8 | 21.3 | 35.7 | 4.954 | 4.951 | 31.2 | 28.2 |
| 1% PdCe0.25Co0.75 | 11.6 | 28.5 | 43.3 | 44.4 | 23.5 | 40.7 | 4.987 | 4.983 | 33.6 | 29.2 |
© 2019 by the authors. Licensee MDPI, Basel, Switzerland. This article is an open access article distributed under the terms and conditions of the Creative Commons Attribution (CC BY) license (http://creativecommons.org/licenses/by/4.0/).
Share and Cite
Shen, F.; Li, K.; Xu, D.; Li, X.; Zhao, X.; Chen, T.; Zhan, R.; Lin, H. Electric Field Promoted Complete Oxidation of Benzene over PdCexCoy Catalysts at Low Temperature. Catalysts 2019, 9, 1071. https://doi.org/10.3390/catal9121071
Shen F, Li K, Xu D, Li X, Zhao X, Chen T, Zhan R, Lin H. Electric Field Promoted Complete Oxidation of Benzene over PdCexCoy Catalysts at Low Temperature. Catalysts. 2019; 9(12):1071. https://doi.org/10.3390/catal9121071
Chicago/Turabian StyleShen, Feixiang, Ke Li, Dejun Xu, Xiaobo Li, Xuteng Zhao, Ting Chen, Reggie Zhan, and He Lin. 2019. "Electric Field Promoted Complete Oxidation of Benzene over PdCexCoy Catalysts at Low Temperature" Catalysts 9, no. 12: 1071. https://doi.org/10.3390/catal9121071
APA StyleShen, F., Li, K., Xu, D., Li, X., Zhao, X., Chen, T., Zhan, R., & Lin, H. (2019). Electric Field Promoted Complete Oxidation of Benzene over PdCexCoy Catalysts at Low Temperature. Catalysts, 9(12), 1071. https://doi.org/10.3390/catal9121071
